Micronutrient Status and Dietary Intake of Iron, Vitamin A, Iodine, Folate and Zinc in Women of Reproductive Age and Pregnant Women in Ethiopia, Kenya, Nigeria and South Africa: A Systematic Review of Data from 2005 to 2015
Abstract
1. Introduction
2. Methods
2.1. Search Strategy
2.2. Inclusion Criteria
- National and subnational surveys or studies reporting data on either anaemia or iron or vitamin A or iodine or folate or zinc status in apparently healthy PW and/or WRA (aged ≥15–49 years) in each country as assessed by the following biomarkers:
- Iron:
- Anaemia: For WRA Hb < 120 g/L; for PW Hb < 110 g/L. Roughly 50% of anaemia cases are caused by iron deficiency (18), therefore, anaemia prevalence was also included;
- Iron Deficiency (ID): Serum ferritin < 15 μg/L, regardless of correction for inflammation;
- Iron Deficiency Anaemia (IDA): Combination of anaemia and ID [20]
- VAD: serum retinol < 0.7 nmol/L or (20 μg/dL) [21] for WRA and PW;
- Folate deficiency: Serum folate < 3 ng/mL (<6.8 nmol/L) severe deficiency and 3–5.9 ng/mL (6.8–13.4 nmol/L) possible deficiency [22];
- Zinc deficiency: Serum zinc < 10.7 umol/L (70 μg/dL) for WRA and 8.6 umol/L (56 μg/dL) for PW [23];
- Dietary intake data of iron, vitamin A, zinc, or folate measured at individual level and for iodine, consumption of iodized salt at household level in each country.
- Studies and surveys conducted and published 2005–2015.
2.3. Data Extraction
2.3.1. Status Data
2.3.2. Intake Data
2.3.3. Data Analysis
2.3.4. Calculating Inadequacy of Micronutrient Intakes
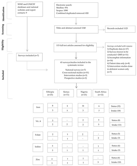
3. Results
3.1. Data Availability
3.2. Prevalence of Micronutrient Deficiencies in WRA
3.2.1. Status
3.2.2. Intake Data
3.3. Prevalence of Micronutrient Deficiencies in PW
3.3.1. Status
3.3.2. Intake Data
3.4. Biomarker Data in WRA and PW
4. Discussion
4.1. Main Findings and Their Significance
4.2. Strengths and Limitations of This Study
4.3. Findings on Micronutrient Status and Intake in WRA
4.4. Findings on Micronutrients Status and Intake in PW
4.5. Implications for Policies and Programmes
5. Conclusions
Supplementary Materials
Author Contributions
Conflicts of Interest
References
- Black, R.E.; Victora, C.G.; Walker, S.P.; Bhutta, Z.A.; Christian, P.; de, O.M.; Ezzati, M.; Grantham-McGregor, S.; Katz, J.; Martorell, R.; et al. Maternal and child undernutrition and overweight in low-income and middle-income countries. Lancet 2013, 382, 427–451. [Google Scholar] [CrossRef]
- Grieger, J.A.; Clifton, V.L. A review of the impact of dietary intakes in human pregnancy on infant birthweight. Nutrients 2014, 7, 153–178. [Google Scholar] [CrossRef] [PubMed]
- Darnton-Hill, I. Global burden and significance of multiple micronutrient deficiencies in pregnancy. Nestle Nutr. Inst. Workshop Ser. 2012, 70, 49–60. [Google Scholar] [PubMed]
- Darnton-Hill, I.; Webb, P.; Harvey, P.W.; Hunt, J.M.; Dalmiya, N.; Chopra, M.; Ball, M.J.; Bloem, M.W.; de Benoist, B. Micronutrient deficiencies and gender: Social and economic costs. Am. J. Clin. Nutr. 2005, 81, 1198s–1205s. [Google Scholar] [PubMed]
- Muthayya, S.; Rah, J.H.; Sugimoto, J.D.; Roos, F.F.; Kraemer, K.; Black, R.E. The global hidden hunger indices and maps: An advocacy tool for action. PLoS ONE 2013, 8, e67860. [Google Scholar] [CrossRef] [PubMed]
- Kozuki, N.; Lee, A.C.; Katz, J. Moderate to severe, but not mild, maternal anemia is associated with increased risk of small-for-gestational-age outcomes. J. Nutr. 2012, 142, 358–362. [Google Scholar] [CrossRef] [PubMed]
- Steer, P.J. Maternal hemoglobin concentration and birth weight. Am. J. Clin. Nutr. 2000, 71 (Suppl. 5), 1285s–1287s. [Google Scholar] [PubMed]
- Bates, C.J. Vitamin A. Lancet 1995, 345, 31–35. [Google Scholar] [CrossRef]
- Tielsch, J.M.; Rahmathullah, L.; Katz, J.; Thulasiraj, R.D.; Coles, C.; Sheeladevi, S.; Prakash, K. Maternal night blindness during pregnancy is associated with low birthweight, morbidity, and poor growth in South India. J. Nutr. 2008, 138, 787–792. [Google Scholar] [PubMed]
- Zimmermann, M.B. Iodine deficiency. Endocr. Rev. 2009, 30, 376–408. [Google Scholar] [CrossRef] [PubMed]
- Zimmermann, M.B. The Importance of Adequate Iodine during Pregnancy and Infancy. World Rev. Nutr. Diet. 2016, 115, 118–124. [Google Scholar] [PubMed]
- Hibbard, B.M.; Hibbard, E.D.; Jeffcoate, T.N. Folic acid and reproduction. Acta Obstet. Gynecol. Scand. 1965, 44, 375–400. [Google Scholar] [CrossRef] [PubMed]
- Brown, K.H.; Rivera, J.A.; Bhutta, Z.; Gibson, R.S.; King, J.C.; Lönnerdal, B.; Ruel, M.T.; Sandtröm, B.; Wasantwisut, E.; Hotz, C.; et al. International Zinc Nutrition Consultative Group (IZiNCG) technical document #1. Assessment of the risk of zinc deficiency in populations and options for its control. Food Nutr. Bull. 2004, 25 (Suppl. 2), S99–S203. [Google Scholar] [PubMed]
- Stevens, G.A.; Bennett, J.E.; Hennocq, Q.; Lu, Y.; De-Regil, L.M.; Rogers, L.; Danaei, G.; Li, G.Q.; White, R.A.; Flaxman, S.R.; et al. Trends and mortality effects of vitamin A deficiency in children in 138 low-income and middle-income countries between 1991 and 2013: A pooled analysis of population-based surveys. Lancet Glob. Health 2015, 3, e528–e536. [Google Scholar] [CrossRef]
- Stevens, G.A.; Bennett, J.E.; Hennocq, Q.; Lu, Y.; De-Regil, L.M.; Rogers, L.; Danaei, G.; Li, G.; White, R.A.; Flaxman, S.R.; et al. Global, regional, and national trends in haemoglobin concentration and prevalence of total and severe anaemia in children and pregnant and non-pregnant women for 1995–2011: A systematic analysis of population-representative data. Lancet Glob. Health 2013, 1, e16–e25. [Google Scholar] [CrossRef]
- Lartey, A. Maternal and child nutrition in Sub-Saharan Africa: Challenges and interventions. Proc. Nutr. Soc. 2008, 67, 105–108. [Google Scholar] [CrossRef] [PubMed]
- International Food Policy Research Institute. Global Nutrition Report 2016: From Promise to Impact: Ending Malnutrition by 2030; International Food Policy Research Institute: Washington, DC, USA, 2016. [Google Scholar]
- United Nations Department of Economic and Social Affairs, List of African Countries by Population. 2015. Available online: http://statisticstimes.com/population/african-countries-by-population.php (accessed on 6 March 2016).
- Frayne, B.; Crush, J.; McLachlan, M. Urbanization, nutrition and development in Southern African cities. Food Secur. 2014, 6, 101–112. [Google Scholar] [CrossRef]
- World Health Organisation. Iron Deficiency Anaemia: Assessment, Prevention, and Control. A Guide for Programme Managers. 2001. WHO/NHD/01.3. Available online: http://www.who.int/nutrition/publications/en/ida_assessment_prevention_control.pdf (accessed on 21 April 2016).
- World Health Organisation. Indicators for Assessing Vitamin A Deficiency and Thier Application in Monitoring and Evaluating Intervention Programmes; World Health Organisation: Geneva, Switzerland, 1996. [Google Scholar]
- World Health Organisation. Serum and Red Blood Cell Folate Concentrations for Assessing Folate Status in Populations. Vitamin and Mineral Nutrition Information System; World Health Organization: Geneva, Switzerland, 2012. [Google Scholar]
- De Benoist, B.; Darnton-Hill, I.; Davidsson, L.; Fontaine, O.; Hotz, C. Conclusions of the Joint WHO/UNICEF/IAEA/IZiNCG Interagency Meeting on Zinc Status Indicators. Food Nutr. Bull. 2007, 28 (Suppl. 3), S480–S484. [Google Scholar] [CrossRef] [PubMed]
- World Health Organisation (WHO). Urinary iodine concentrations for determining iodine status deficiency in populations. In Vitamin and Mineral Nutrition Information System; World Health Organisation: Geneva, Switzerland, 2013; Available online: http://www.who.int/nutrition/vmnis/indicators/urinaryiodine (accessed on 6 March 2016).
- World Health Organisation (WHO). Goitre as a determinant of the prevalence and severity of iodine deficiency disorders in populations. In Vitamin and Mineral Nutrition Information System; World Health Organisation: Geneva, Switzerland, 2014; Available online: http://apps.who.int/iris/bitstream/10665/133706/1/WHO_NMH_NHD_EPG_14.5_eng.pdf (accessed on 6 March 2016).
- Institute of Medicine. Dietary Reference Intakes: Applications in Dietary Assessment; National Academy Press: Washington, DC, USA, 2000. [Google Scholar]
- Food and Agriculture Organisation & World Health Organisation. Human Vitamin and Mineral Requirements; Food and Agriculture Organisation & World Health Organisation: Rome, Italy, 2001. [Google Scholar]
- Hartung, J.E.B.; Klosener, K.H. Statistik Lehr-Und Handbuch der Angewandten Statistik, 6th ed.; Oldenbourg: Munich, Germany, 1987. [Google Scholar]
- Ethiopian Public Health Institute. Ethiopia National Food Consumption Survey; Ethiopian Public Health Institute: Addis Ababa, Ethiopia, 2013. [Google Scholar]
- Ethiopian Public Health Institute. Ethiopian National Micronutrient Survey 2014/2015: Preliminary Report; Ethiopian Public Health Institute: Addis Ababa, Ethiopia, 2016. [Google Scholar]
- Central Statistical Agency; ICF International. Ethiopia Demographic and Health Survey 2011; Central Statistical Agency: Addis Ababa, Ethiopia; ICF International: Calverton, MD, USA, 2012. [Google Scholar]
- Kenya National Bureau of Statistics. Kenya Demographic and Health Survey 2014; Kenya National Bureau of Statistics: Nairobi, Kenya, 2015.
- National Population Commission (NPC) [Nigeria] and ICF Macro. Nigeria Demographic and Health Survey 2008; National Populaton Commission and ICF Macro: Abuja, Nigeria, 2009. [Google Scholar]
- Department of Health and Nutrition. National Food Consumption Survey—Fortification Baseline (NFCS-FB): South Africa, 2005. 2007. Available online: http://www.sajcn.co.za/index.php/SAJCN/article/view/286/281 (accessed on 28 May 2016).
- Shisana, O.; Labadarios, D.; Rehle, T.; Simbayi, L.; Zuma, K.; Dhansay, A.; Reddy, P.; Parker, W.; Hoosain, E.; Naidoo, P.; et al. South African National Health and Nutrition Examination Survey (SANHANES-1); HRSC Press: Cape Town, South Africa, 2014. [Google Scholar]
- Moher, D.; Liberati, A.; Tetzlaff, J.; Altman, D.G. Preferred reporting items for systematic reviews and meta-analyses: The PRISMA statement. Int. J. Surg. 2010, 8, 336–341. [Google Scholar] [CrossRef] [PubMed]
- Abuye, C.; Berhane, Y.; Ersumo, T. The role of changing diet and altitude on goitre prevalence in five regional states in Ethiopia. East Afr. J. Public Health 2008, 5, 163–168. [Google Scholar] [CrossRef] [PubMed]
- Amare, B.; Moges, B.; Moges, F.; Fantahun, B.; Admassu, M.; Mulu, A.; Kassu, A. Nutritional status and dietary intake of urban residents in Gondar, Northwest Ethiopia. BMC Public Health 2012, 12, 752. [Google Scholar] [CrossRef] [PubMed]
- Abriha, A.; Yesuf, M.E.; Wassie, M.M. Prevalence and associated factors of anemia among pregnant women of Mekelle town: A cross sectional study. BMC Res. Notes 2014, 7, 888. [Google Scholar] [CrossRef] [PubMed]
- Bogale, A.; Abebe, Y.; Stoecker, B.J.; Abuye, C.; Ketema, K.; Hambidge, K.M. Iodine status and cognitive function of women and their five year-old children in rural Sidama, southern Ethiopia. East Afr. J. Public Health 2009, 6, 296–299. [Google Scholar] [PubMed]
- Ersino, G.; Tadele, H.; Bogale, A.; Abuye, C.; Stoecker, B.J. Clinical assessment of goiter and low urinary iodine concentration depict presence of severe iodine deficiency in pregnant Ethiopian women: A cross-sectional study in rural Sidama, southern Ethiopia. Ethiop. Med. J. 2013, 51, 133–141. [Google Scholar] [PubMed]
- Gebremedhin, S.; Enquselassie, F.; Umeta, M. Prevalence of prenatal zinc deficiency and its association with socio-demographic, dietary and health care related factors in rural Sidama, Southern Ethiopia: A cross-sectional study. BMC Public Health 2011, 11, 898. [Google Scholar] [CrossRef] [PubMed]
- Gebremedhin, S.; Enquselassie, F.; Umeta, M. Prevalence and correlates of maternal anemia in rural Sidama, Southern Ethiopia. Afr. J. Reprod. Health 2014, 18, 44–53. [Google Scholar] [PubMed]
- Gebreselassie, S.G.; Gase, F.E.; Deressa, M.U. Prevalence and correlates of prenatal vitamin A deficiency in rural Sidama, Southern Ethiopia. J. Health Popul. Nutr. 2013, 31, 185–194. [Google Scholar] [CrossRef] [PubMed]
- Gebreegziabher, T.T.; Gase, F.E.; Deressa, M.U. Lack of dietary sources of iodine and the prevalence of iodine deficiency in rural women from Sidama zone, southern Ethiopia. Afr. J. Food Agric. Nutr. Dev. 2013, 13, 8401–8414. [Google Scholar]
- Gibson, R.S.; Abebe, Y.; Stabler, S.; Allen, R.H.; Westcott, J.E.; Stoecker, B.J.; Krebs, N.F.; Hambidge, K.M. Zinc, gravida, infection, and iron, but not vitamin B-12 or folate status, predict hemoglobin during pregnancy in Southern Ethiopia. J. Nutr. 2008, 138, 581–586. [Google Scholar] [PubMed]
- Haidar, J.A.; Pobocik, R.S. Iron deficiency anemia is not a rare problem among women of reproductive ages in Ethiopia: A community based cross sectional study. BMC Blood Disord. 2009, 9, 7. [Google Scholar] [CrossRef] [PubMed]
- Haidar, J.; Melaku, U.; Pobocik, R.S. Folate defciency in women of reproductive age in nine administrative regions of Ethiopia: An emerging public health problem. S. Afr. J. Clin. Nutr. 2010, 23, 132–137. [Google Scholar] [CrossRef]
- Hambidge, K.M.; Abebe, Y.; Gibson, R.S.; Westcott, J.E.; Miller, L.V.; Lei, S.; Stoecker, B.J.; Arbide, I.; Teshome, A.; Bailey, K.B.; et al. Zinc absorption during late pregnancy in rural southern Ethiopia. Am. J. Clin. Nutr. 2006, 84, 1102–1106. [Google Scholar] [PubMed]
- Joray, M.L.; Yu, T.W.; Ho, E.; Clarke, S.L.; Stanga, Z.; Gebreegziabher, T.; Hambidge, K.M.; Stoecker, B.J. Zinc supplementation reduced DNA breaks in Ethiopian women. Nutr. Res. 2015, 35, 49–55. [Google Scholar] [CrossRef] [PubMed]
- Kedir, H.; Berhane, Y.; Worku, A. Khat chewing and restrictive dietary behaviors are associated with anemia among pregnant women in high prevalence rural communities in eastern Ethiopia. PLoS ONE 2013, 8, e78601. [Google Scholar] [CrossRef] [PubMed]
- Kedir, H.; Berhane, Y.; Worku, A. Subclinical Iodine Deficiency among Pregnant Women in Haramaya District, Eastern Ethiopia: A Community-Based Study. J. Nutr. Metab. 2014, 8, e78926. [Google Scholar] [CrossRef] [PubMed]
- Mulu, A.; Kassu, A.; Huruy, K.; Tegene, B.; Yitayaw, G.; Nakamori, M.; Van Nhien, N.; Bekele, A.; Wondimhun, Y.; Yamamoto, S.; et al. Vitamin A deficiency during pregnancy of HIV infected and non-infected women in tropical settings of Northwest Ethiopia. BMC Public Health 2011, 11, 569. [Google Scholar] [CrossRef] [PubMed]
- Stoecker, B.J.; Abebe, Y.; Hubbs-Tait, L.; Kennedy, T.S.; Gibson, R.S.; Arbide, I.; Teshome, A.; Westcott, J.; Krebs, N.F.; Hambidge, K.M. Zinc status and cognitive function of pregnant women in Southern Ethiopia. Eur. J. Clin. Nutr. 2009, 63, 916–918. [Google Scholar]
- Adongo, A.O.; Shell-Duncan, B.; Prisca, T.J. Effect of settlement on nutrition and health status of pastoral Gabra women of reproductive age in Kalacha Location, Marsabit County, Kenya. Public Health Nutr. 2013, 16, 1622–1630. [Google Scholar] [CrossRef] [PubMed]
- Gitau, G.; Kimiywe, J.J.W. Food Intake and Iron Status of Lactating and Non lactating mothers in makongeni, Thika, Kenya. In Gender and Inequality in Developing Countries; Arise Publishers: New Delhi, India, 2008. [Google Scholar]
- Kamau-Mbuthia, E.; Elmadfa, I. Diet quality of pregnant women attending an antenatal clinic in Nakuru, Kenya. Ann. Nutr. Metab. 2007, 51, 324–330. [Google Scholar] [CrossRef] [PubMed]
- Mwangi, M.N.; Maskey, S.; Andang'o, P.E.A.; Shinali, N.K.; Roth, J.M.; Trijsburg, L.; Mwangi, A.M.; Zuilhof, H.; Lagen, B.; Savelkoul, H.F.J.; et al. Diagnostic utility of zinc protoporphyrin to detect iron deficiency in Kenyan pregnant women. BMC Med. 2014, 12, 229. [Google Scholar] [CrossRef] [PubMed]
- Mitheko, A.; Kimiywe, J.; Njeru, P. Prevalence of Maternal Serum Zinc Deficiency and Its Associated Factors among Pregnant Women in Naivasha, Kenya. Eur. J. Nutr. Food Saf. 2015, 5, 354–355. [Google Scholar] [CrossRef]
- Ouma, P.; Parise, M.E.; Hamel, M.J.; Ter Kuile, F.O.; Otieno, K.; Ayisi, J.G.; Kager, P.A.; Steketee, R.W.; Slutsker, L.; van Eijk, A.M. A randomized controlled trial of folate supplementation when treating malaria in pregnancy with sulfadoxine-pyrimethamine. PLoS Clin. Trials 2006, 1, e28. [Google Scholar] [CrossRef] [PubMed]
- Othoo, D.A.; Waudo, J.N.; Kuria, E.N. Dietary assessment of vitamin and iron among pregnant women at Ndhiwa sub distract hospital-Kenya. Afr. J. Food Agric. Nutr. Dev. 2014, 14, 2114–2128. [Google Scholar]
- Shipala, E.K.; Wafula, S.W.; Ettyang, G.A.; Were, E.O. Nutrient intake among pregnant teenage girls attending ante-natal clinics in two health facilities in bungoma south district, western Kenya. East Afr. Med. J. 2012, 89, 94–99. [Google Scholar] [PubMed]
- Van Eijk, A.M.; Ouma, P.O.; Williamson, J.; Ter Kuile, F.O.; Parise, M.; Otieno, K.; Hamel, M.J.; Ayisi, J.G.; Kariuki, S.; Kager, P.A.; et al. Plasma folate level and high-dose folate supplementation predict sulfadoxine-pyrimethamine treatment failure in pregnant women in western Kenya who have uncomplicated malaria. J. Infect. Dis. 2008, 198, 1550–1553. [Google Scholar] [CrossRef] [PubMed]
- Waswa, J. Influence of percieved body image on nutrient intake and nutritional health of female students of Moi University. East Afr. J. Public Health 2011, 8, 123–131. [Google Scholar] [PubMed]
- De Moura, F.F.; Moursi, M.; Lubowa, A.; Ha, B.; Boy, E.; Oguntona, B.; Sanusi, R.A.; Maziya-Dixon, B. Cassava intake and Vitamin A status among women and preschool children in Akwa-Ibom, Nigeria. PLoS ONE 2015, 10, e0129436. [Google Scholar] [CrossRef] [PubMed]
- Dim, C.C.; Onah, H.E. The prevalence of anemia among pregnant women at booking in Enugu, South Eastern Nigeria. Medscape Gen. Med. 2007, 9, 11. [Google Scholar]
- Dim, C.C.; Ugwa, E.O.; Anyaehie, U.B.; Obioha, K.C. A comparison of capillary and venous blood haematocrits of pregnant women in Nigeria: The impact on diagnosis and prevalence of anaemia in pregnancy. BioMed Res. Int. 2014, 2014, 467056. [Google Scholar] [CrossRef] [PubMed]
- Ezugwu, E.C.; Mbah, B.O.; Chigbu, C.O.; Onah, H.E. Anaemia in pregnancy: A public health problem in Enugu, southeast Nigeria. J. Obstet. Gynaecol. 2013, 33, 451–454. [Google Scholar] [CrossRef] [PubMed]
- Idowu, O.A.; Mafiana, C.F.; Dapo, S. Anaemia in pregnancy: A survey of pregnant women in Abeokuta, Nigeria. Afr. Health Sci. 2005, 5, 295–299. [Google Scholar] [PubMed]
- Kagu, M.B.; Kawuwa, M.B.; Gadzama, G.B. Anaemia in pregnancy: A cross-sectional study of pregnant women in a Sahelian tertiary hospital in Northeastern Nigeria. J. Obstet. Gynaecol. 2007, 27, 676–679. [Google Scholar] [CrossRef] [PubMed]
- Miri-Dashe, T.; Osawe, S.; Tokdung, M.; Daniel, N.; Choji, R.P.; Mamman, I.; Deme, K.; Damulak, D.; Abimiku, A. Comprehensive reference ranges for hematology and clinical chemistry laboratory parameters derived from normal Nigerian adults. PLoS ONE 2014, 9, e93919. [Google Scholar] [CrossRef] [PubMed]
- Nwizu, E.N.; Iliyasu, Z.; Ibrahim, S.A.; Galadanci, H.S. Socio-demographic and maternal factors in anaemia in pregnancy at booking in Kano, northern Nigeria. Afr. J. Reprod. Health 2011, 15, 33–41. [Google Scholar] [PubMed]
- Okwu, G.N.; Ukoha, A.I. Studies on the predisposing factors of iron deficiency anaemia among pregnant women in Nigerian community. Pak. J. Nutr. 2008, 7, 151–156. [Google Scholar] [CrossRef]
- Olatunbosun, O.A.; Abasiattai, A.M.; Bassey, E.A.; James, R.S.; Ibanga, G.; Morgan, A. Prevalence of anaemia among pregnant women at booking in the university of Uyo teaching hospital, Uyo, Nigeria. BioMed Res. Int. 2014. [Google Scholar] [CrossRef] [PubMed]
- Otemuyiwa, I.O.; Adewusi, S.R.A. Food choice and meal consumption pattern among undergraduate students in two universities in southwestern Nigeria. Nutr. Health 2012, 1, 233–245. [Google Scholar] [CrossRef] [PubMed]
- Obasi, I.O.; Nwachukwu, N. Comparative iron related anaemia at pregnancy in Ebonyi state, South-east Nigeria. J. Med. Sci. 2013, 13, 425–431. [Google Scholar] [CrossRef]
- Ofojekwu, M.J.N.; Nnanna, O.U.; Okolie, C.E.; Odewumi, L.A.; Isiguzoro, I.O.U.; Lugos, M.S.D. Hemoglobin and serum iron concentrations in menstruating nulliparous women in Jos, Nigeria. Lab. Med. 2013, 44, 121–124. [Google Scholar] [CrossRef]
- Olubukola, A.; Odunayo, A.; Adesina, O. Anemia in pregnancy at two levels of health care in Ibadan, south west Nigeria. Ann. Afr. Med. 2011, 10, 272–277. [Google Scholar] [PubMed]
- Shu, E.N.; Ogbodo, S.O. Role of ascorbic acid in the prevention of iron-deficiency anaemia in pregnancy. Biomed. Res. 2005, 16, 40–44. [Google Scholar]
- Ugwuja, E.I.; Akubugwo, E.I.; Ibiam, A.U.; Onyechi, U. Impact of maternal iron deficiency and anaemia on pregnancy and its outcomes in Nigerian population. Int. J. Nutr. Wellness 2009, 10, 1–11. [Google Scholar]
- Ugwuja, E.I.; Akubugwo, E.I.; Ibiam, U.A.; Obidoa, O. Impact of maternal copper and zinc status on pregnancy outcomes in a population of pregnant Nigerians. Pak. J. Nutr. 2010, 9, 678–682. [Google Scholar] [CrossRef]
- Vanderjagt, D.J.; Ujah, I.A.; Ikeh, E.I.; Bryant, J.; Pam, V.; Hilgart, A.; Crossey, M.J.; Glew, R.H. Assesment of the vitamin B12 status of pregnant women in Nigeria using plasma holotranscobalamin. Int. Sch. Res. Not. Obstet. Gynecol. 2011, 2011, 365894. [Google Scholar]
- Vanderjagt, D.J.; Ujah, I.A.; Patel, A.; Kellywood, J.; Crossey, M.J.; Allen, R.H.; Stabler, S.P.; Obande, O.S.; Glew, R.H. Subclinical vitamin B12 deficiency in pregnant women attending an antenatal clinic in Nigeria. J. Obstet. Gynaecol. 2009, 29, 288–295. [Google Scholar] [CrossRef] [PubMed]
- Williams, I.O.; Eka, O.U.; Essien, E.U. Vitamin A status of pregnant women in Calabar metropolis, Nigeria. Pak. J. Biol. Sci. 2008, 11, 1702–1707. [Google Scholar] [CrossRef] [PubMed]
- Dolman, R.C.; Wentzel-Viljoen, E.; Jerling, J.C.; Feskens, E.J.; Kruger, A.; Pieters, M. The use of predefined diet quality scores in the context of CVD risk during urbanization in the South African Prospective Urban and Rural Epidemiological (PURE) study. Public Health Nutr. 2014, 17, 1706–1716. [Google Scholar] [CrossRef] [PubMed]
- Faber, M.; Swanevelder, S.; Benade, A.J. Is there an association between the nutritional status of the mother and that of her 2-year-old to 5-year-old child? Int. J. Food Sci. Nutr. 2005, 56, 237–244. [Google Scholar] [CrossRef] [PubMed]
- Gichohi-Wainaina, W.N.; Melse-Boonstra, A.; Swinkels, D.W.; Zimmermann, M.B.; Feskens, E.J.; Towers, G.W. Common variants and haplotypes in the TF, TNF-α, and TMPRSS6 genes are associated with iron status in a female black South African population. J. Nutr. 2015, 145, 945–953. [Google Scholar] [CrossRef] [PubMed]
- Hattingh, Z.; Walsh, C.M.; Bester, C.J.; Oguntibeju, O.O. An analysis of dietary micronutrient intakes in two age groups of black South African women. West Indian Med. J. 2008, 57, 431–437. [Google Scholar] [PubMed]
- Kolahdooz, F.; Spearing, K.; Sharma, S. Dietary adequacies among South African adults in rural KwaZulu-Natal. PLoS ONE 2013, 8, e67184. [Google Scholar] [CrossRef] [PubMed]
- Lawrie, D.; Coetzee, L.M.; Glencross, D.K. Iron deficiency anaemia in healthy South African women despite iron fortification. S. Afr. Med. J. 2008, 98, 606–607. [Google Scholar] [PubMed]
- Mostert, D.; Steyn, N.P.; Temple, N.J.; Olwagen, R. Dietary intake of pregnant women and their infants in a poor black South African community. Curationis 2005, 28, 12–19. [Google Scholar] [CrossRef] [PubMed]
- Oldewage-Theron, W.; Kruger, R. Dietary diversity and adequacy of women caregivers in a peri-urban informal settlement in South Africa. Nutrition 2011, 27, 420–427. [Google Scholar] [CrossRef] [PubMed]
- Oldewage-Theron, W.H.; Egal, A.A.; Grobler, C. Is overweight and obesity associated with iron status in low-income men and women? A case study from Qwa-Qwa, South Africa. Integr. Food Nutr. Metab. 2014, 1, 107–113. [Google Scholar]
- Pisa, P.T.; Behanan, R.; Vorster, H.H.; Kruger, A. Social drift of cardiovascular disease risk factors in Africans from the North West Province of South Africa: The PURE study. Cardiovasc. J. Afr. 2012, 23, 371–378. [Google Scholar] [CrossRef] [PubMed]
- Harika, R.; et al. Are Low Intakes and Deficiencies in Iron, Vitamin A, Zinc, and Iodine of Public Health Concern in Ethiopian, Kenyan, Nigerian, and South African Children and Adolescents. Food Nutr. Bull. 2017, 38, 405–428. [Google Scholar] [CrossRef] [PubMed]
- Haverkate, M.; Smits, J.; Meijerink, H.; van der Ven, A. Socioeconomic determinants of haemoglobin levels of african women are less important in areas with more health facilities: A multilevel analysis. J. Epidemiol. Community Health 2014, 68, 116–122. [Google Scholar] [CrossRef] [PubMed]
- Abebe, Y.; Bogale, A.; Hambidge, K.M.; Stoecker, B.J.; Arbide, I.; Teshome, A.; Krebs, N.F.; Westcott, J.E.; Bailey, K.B.; Gibson, R.S. Inadequate intakes of dietary zinc among pregnant women from subsistence households in Sidama, Southern Ethiopia. Public Health Nutr. 2008, 11, 379–386. [Google Scholar] [CrossRef] [PubMed]
- Nel, J.; van Stuijvenberg, M.E.; Schoeman, S.E.; Dhansay, M.A.; Lombard, C.J.; du Plessis, L.M. Liver intake in 24-59-month-old children from an impoverished South African community provides enough vitamin A to meet requirements. Public Health Nutr. 2014, 17, 2798–2805. [Google Scholar] [CrossRef] [PubMed]
- Faber, M.; Laubscher, R. Seasonal availability and dietary intake of beta-carotene-rich vegetables and fruit of 2-year-old to 5-year-old children in a rural South African setting growing these crops at household level. Int. J. Food Sci. Nutr. 2008, 59, 46–60. [Google Scholar] [CrossRef] [PubMed]
- Abizari, A.R.; Dold, S.; Kupka, R.; Zimmermann, M.B. More than two-thirds of dietary iodine in children in northern Ghana is obtained from bouillon cubes containing iodized salt. Public Health Nutr. 2017, 20, 1107–1113. [Google Scholar] [CrossRef] [PubMed]
- Modjadji, S.E.P.; Alberts, M.; Mamabolo, R.L. Folate and iron status of South African non-pregnant rural women of childbearing, age, before and after fortification of foods. S. Afr. J. Clin. Nutr. 2007, 20, 89–93. [Google Scholar] [CrossRef]
- Wessells, K.R.; Brown, K.H. Estimating the global prevalence of zinc deficiency: Results based on zinc availability in national food supplies and the prevalence of stunting. PLoS ONE 2012, 7, e50568. [Google Scholar] [CrossRef] [PubMed]
- Thurnham, D.I.; McCabe, L.D.; Haldar, S.; Wieringa, F.T.; Northrop-Clewes, C.A.; McCabe, G.P. Adjusting plasma ferritin concentrations to remove the effects of subclinical inflammation in the assessment of iron deficiency: A meta-analysis. Am. J. Clin. Nutr. 2010, 92, 546–555. [Google Scholar] [CrossRef] [PubMed]
- World Health Organisation (WHO). Global prevalence of vitamin A deficiency in populations at risk 1995–2005. In WHO Global Database on Vitamin A Deficiency; World Health Organisation: Geneva, Switzerland, 2009. [Google Scholar]
- Rabiu, T.B.; Tiamiyu, L.O.; Awoyinka, B.S. Awareness of spina bifida and periconceptional use of folic acid among pregnant women in a developing economy. Child Nerv. Syst. 2012, 28, 2115–2119. [Google Scholar] [CrossRef] [PubMed]
- Brown, K.H.; Wuehler, S.E.; Peerson, J.M. The importance of zinc in human nutrition and estimation of the global prevalence of zinc deficiency. Food Nutr. Bull. 2001, 22, 113–125. [Google Scholar] [CrossRef]
- Caulfield, L.E.; Black, R.E. Zinc deficiency. In Comparative Quantification of Health Risks: Global and Regional Burden of Disease Attributable to Selected Major Risk Factors 2004; World Health Organization: Geneva, Switzerland, 2004; pp. 257–279. [Google Scholar]
- Ogunmoyela, O.A.; Adekoyeni, O.; Aminu, F.; Umunna, L.O. A Critical Evaluation of Survey Results of Vitamin A and Fe Levels in the Mandatory Fortified Food Vehicles and Some Selected Processed Foods in Nigeria. Niger. Food J. 2013, 31, 52–62. [Google Scholar] [CrossRef]
- World Health Organisation. Guideline: Daily Iron and Folic Acid Supplementation in Pregnant Women; World Health Organisation: Geneva, Switzerland, 2012. [Google Scholar]
- Ministry of Health, Republic of Kenya. National Iron and Folic Acid Supplementation Communication Strategy; Government of Kenya: Nairobi, Kenya, 2013.
- Bhutta, Z.A.; Das, J.K.; Rizvi, A.; Gaffey, M.F.; Walker, N.; Horton, S.; Webb, P.; Lartey, A.; Black, R.E. Evidence-based interventions for improvement of maternal and child nutrition: What can be done and at what cost? Lancet 2013, 382, 452–477. [Google Scholar] [CrossRef]
- Hess, S.Y.; Brown, K.H.; Sablah, M.; Engle-Stone, R.; Aaron, G.J.; Baker, S.K. Results of Fortification Rapid Assessment Tool (FRAT) surveys in sub-Saharan Africa and suggestions for future modifications of the survey instrument. Food Nutr. Bull. 2013, 34, 21–38. [Google Scholar] [CrossRef] [PubMed]
- Engle-Stone, R.; Nankap, M.; Ndjebayi, A.O.; Brown, K.H. Simulations based on representative 24-h recall data predict region-specific differences in adequacy of vitamin A intake among Cameroonian women and young children following large-scale fortification of vegetable oil and other potential food vehicles. J. Nutr. 2014, 144, 1826–1834. [Google Scholar] [CrossRef] [PubMed]


| Reference | Year of Survey | Study Location | State/Province | Age | n | Study Design | Data Included | |
|---|---|---|---|---|---|---|---|---|
| Ethiopia | ||||||||
| National data | ||||||||
| Ethiopia Public Health Institute, 2013 [29] | 2011 | Nationwide | National | 15–49 years | 7908 | National Food consumption survey | Iron, vitamin A, zinc intake | |
| Ethiopian Public Health Institute, 2015 [30] | 2015 | Nationwide | National | - | 1741 | National (micronutrient) survey | Iron, vitamin A, zinc status | |
| DHS, 2011 [31] | 2011 | Nationwide | National | 15–49 years | 15782 (WRA) + 1173 (PW) | Demographic and Health Survey (DHS) | Iron status | |
| Subnational data | ||||||||
| Abuye, 2008 [37] | 2008 * | 5 states, cluster sampling method was applied to select the study population | Amhara, Tigray, Oromiya, SNNP & Benishangul-Gumuz | - | 6960 | Cross-sectional study | Iodine status | |
| Amare 2012 [38] | 2005 | Gondar city (urban setting; two-stage probability sampling method was used for selecting the study population) | Amhara | >18 years | 356 | Cross-sectional study | Iron and vitamin A intake | |
| Abriha, 2014 [39] | 2014 | Mekelle town (urban setting) | Amhara | 16–40 years pregnant (all trimesters) | 619 | Cross-sectional study | Iron status | |
| Bogale, 2009 [40] | 2007 | Sidama zone (rural area) | Sidama | 28 years | 99 | Cross-sectional study | Iodine status and household consumption of iodized salt | |
| Ersino, 2013 [41] | 2009 | Tulu Health Center (rural area) | Sidama | 27.7 ± 5.6 years pregnant † | 172 | Cross-sectional study | Iodine status and household consumption of iodized salt | |
| Gebremedhin, 2011 [42] | 2011 | Sidama zone (rural area with primarily subsistent farming) | Sidama | 15–≥35 years pregnant (all trimesters) | 700 | Cross-sectional study | Zinc status | |
| Gebremedhin, 2014 [43] | 2011 | Sidama (rural area with primarily subsistent farming) | Sidama | 15–49 years pregnant (all trimesters) | 750 | Cross-sectional study | Iron status | |
| Gebreselassie, 2013 [44] | 2011 | Kebeles of Sidama zone (rural area) | Sidama | ~29 years pregnant (all trimesters) | 700 | Cross-sectional study | Vitamin A status | |
| Gebreegziabher, 2013 [45] | 2009 | Rural communities of Sidama zone, | Sidama | 30.8 ± 7.8 years | 202 | Cross-sectional study | Iodine status | |
| Gibson, 2008 [46] | 2008 * | Sidama (rural area with primarily subsistent farming) | Sidama | 28 years pregnant † | 99 | Cross-sectional study | Iron, vitamin A, folate status iron and zinc intake | |
| Haidar, 2009 [47] | 2005 | Tigray; Affar; Amhara; Oromiya; Benishangul-Gumuz; Southern Nations, SNNP; Harari regions; Addis Ababa and Dire Dawa city administrations (80% of the population was from rural setting) | 9 regions | 15–49 years | 970 | Cross-sectional study | Iron status | |
| Haider, 2010 [48] | 2005 | Tigray; Affar; Amhara; Oromiya; Benishangul-Gumuz; Southern Nations, SNNP; Harari regions; Addis Ababa and Dire Dawa city administrations (80% of the population was from rural setting) | 9 regions | 15–49 years | 970 | Cross-sectional study | Folate status | |
| Hambidge, 2006 [49] | 2006 * | Alamura (rural area with resource poor setting) | Rift Valley | 27.8 ± 4.7 years pregnant (3rd trimester) | 17 | Cross-sectional study | Zinc intake | |
| Joray, 2015 [50] | 2010 | Sidama (rural area) | Sidama | 18–50 years | 35 | Baseline data of an intervention trial | Zinc status | |
| Kedir, 2013 [51] | 2010 | Haramaya district (primarily rural area) | Oromia | 25 ± 5 years | 1678 | Cross-sectional study | Iron status | |
| Kedir, 2014 [52] | 2012 | Haramaya district (10 administrative rural unit rural) | Oromia | 27 ± 5.9 years pregnant (all trimesters) | 435 | Cross-sectional study | Iodine status | |
| Mulu, 2011 [53] | 2005 | University of Gondar Hospital | Northwest | 16–45 years | 25 | Cross-sectional study | Vitamin A status | |
| Stoecker, 2009 [54] | 2009 * | Sidama region (rural area with primarily subsistent farming) | Sidama | 27.7 ± 4.7 years pregnant (2nd & 3rd trimester) | 99 | Cross-sectional study | Iron status | |
| Kenya | ||||||||
| National data | ||||||||
| DHS, 2015 [32] | 2014 | Nationwide | National | 15–49 years | 34139 (HH) | Demographic and Health Survey (DHS) | Household consumption of iodized salt | |
| Subnational data | ||||||||
| Adongo, 2013 [55] | 2013 * | Kalacha Location, Marsabit County (pastoral area with livestock) | Eastern | 15–49 years | 224 | Cross-sectional survey | Iron status and intake | |
| Gitau, 2008 [56] | 2008 * | Makongeni, Thika District | Central | - | 100 | Cross-sectional study | Iron status | |
| Kamau-Mbuthia, 2007 [57] | 2004–2005 ** | Provincial General Hospital, Nakuru, (urban area) | Rift valley | ~25 years pregnant † | 716 | Cross-sectional study | Iron and zinc intake | |
| Mwangi, 2014 [58] | 2011–2012 | Nyanza Province (rural area) | Nyanza | 15–45 years pregnant (2nd trimester) | 470 | Baseline of intervention trial | Iron status | |
| Mitheko, 2015 [59] | 2015 * | Naivasha | Nakuru | pregnant † | 172 | Cross-sectional study | Zinc status | |
| Ouma, 2006 [60] | 2003–2005 ** | 3 hospitals in Nyanza province (primarily rural area) | Nyanza | <20 years pregnant (2nd & 3rd trimester) | 488 | Baseline of intervention trial | Iron status | |
| Othoo, 2014 [61] | 2014 * | Ndhiwa Maternal and Child Health clinic | Nyanza | pregnant † | 162 | Cross-sectional study | Iron and vitamin A intake | |
| Shipala, 2012 [62] | 2008 | 2 health facilities in Bungoma | Western | <19 years pregnant † | 384 | Cross-sectional study | Iron and folate intake | |
| Van Eijk, 2008 [63] | 2003–2005 ** | 3 hospital in Nyanza province | Nyanza | <20 years pregnant † | 458 | Baseline of intervention trial | Folate status | |
| Waswa, 2011 [64] | 2011 * | Moi University, Eldoret Town (urban area) | Nyanza | 20–25 years | 260 | Cross-sectional survey | Iron and vitamin A status | |
| Nigeria | ||||||||
| National data | ||||||||
| DHS, 2008 [33] | 2008 | Nationwide | National | 15–49 years | 32079 (HH) | Demographic and Health Survey | Household consumption of iodized salt | |
| Subnational data | ||||||||
| De Moura, 2015 [65] | 2011 | 31 local government area in Akwa-Ibom (primarily rural area) | Akwa-Ibom | 18–49 years | 622 | Cross-sectional survey | Iron, vitamin A and zinc intake | |
| Dim, 2007 [66] | 2005 | University of Nigeria teaching hospital, Enugu city (urban) | Enugu | 21 ± 7 years pregnant (all trimesters) | 530 | Cross-sectional study | Iron status | |
| Dim, 2014 [67] | 2012 | University of Nigeria teaching hospital, Enugu city (urban) | Enugu | 16–45 years pregnant (all trimesters) | 200 | Cross-sectional study | Iron status | |
| Ezugwu, 2013 [68] | 2009–2010 | University of science and technology teaching hospital, Enugu city (urban) | Enugu | 25 ± 5 years pregnant (all trimesters) | 1306 | Cross-sectional study | Iron status | |
| Idowu, 2005 [69] | 2005 * | Ogun | Abeokuta | >15 years pregnant (all trimesters) | 477 | Cross-sectional study | Iron status | |
| Kagu, 2007 [70] | 2005–2006 | Federal Medical Center, Nguru (rural area with subsistence farming and fishing) | Yobe | 13–48 years pregnant (all trimesters) | 1040 | Prospective study | Iron status | |
| Miri-Dashe, 2014 [71] | 2014 * | Plateau State Specialist Hospital, Jos (urban area) | Plateau | 18–65 years pregnant (all trimesters) | 125 (WRA) + 134 (PW) | Cross-sectional study | Iron status | |
| Nwizu, 2011 [72] | 2011 * | Aminu Kano Teaching hospital, Kano (urban area) | Kano | >15 years pregnant (all trimesters) | 300 | Cross-sectional study | Iron status | |
| Okwu & Ukoha 2008 [73] | 2008* | Owerri (majority urban and some rural areas were included) | Imo | >18 years pregnant † | 1387 | Cross-sectional study | Iron status | |
| Olatunbosun, 2014 [74] | 2012 | University of Uyo Teaching Hospital, Uyo City (urban) | Akwa Ibom | 17–45 years pregnant (2nd & 3rd trimester) | 400 | Cross-sectional study | Iron status | |
| Otemuyiwa, 2012 [75] | 2012 * | Adekunle Ajasin University, Akungba-Akoko & Obafemi Awolowo University (rural), Ile-Ife (urban) | Osun | 15–35 years | 203 | Cross-sectional study | Iron intake | |
| Obasi, 2013 [76] | 2013 * | Federal teaching hospital Abakaliki & st Vincent Hospital Ndubia (rural) | Ebonyi | 15–40 years pregnant (2nd trimester) | 295 | Cross-sectional study | Iron status | |
| Ofojekwu, 2013 [77] | 2013 * | Federal School of Medical Laboratory Science and the School of Nursing and Midwifery in Jos City (urban) | Plateau | 19–30 years | 46 | Cross-sectional study | Iron status | |
| Olubukola, 2011 [78] | 2008 | University college hospital & Adeoyo maternity hospital in Ibadan (urban) | Oyo | 27 years pregnant (all trimesters) | 2702 | Cross-sectional Study | Iron status | |
| Shu & Ogbodo 2005 [79] | 2005 * | University of Nigeria teaching hospital, Enugu City (urban) | Enugu | 18–42 years pregnant (all trimesters) | 74 | Cross-sectional study | Iron status | |
| Ugwuja, 2009 [80] | 2007–2008 | Federal medical Centre, Abakaliki (rural) | Ebonyi | 15–40 years pregnant (2nd trimester) | 349 | Cross-sectional study | Iron status | |
| Ugwuja, 2010 [81] | 2007–2008 | Fedearl medical centre, Abakaliki (rural, with mixed population) | Ebonyi | 15–40 years pregnant (2nd trimester) | 349 | Cross-sectional study | Zinc status | |
| VanderJagt, 2011 [82] | 2011 * | Jos teaching university hospital, Jos City (urban) | Plateau | 28 ± 6.1 years pregnant (all trimesters) | 143 | Cross-sectional study | Folate status | |
| VanderJagt, 2009 [83] | 2009 * | Jos teaching university hospital, Jos city (urban) | Plateau | 27.4 ± 5.4 years pregnant (3rd trimester) | 98 | Cross-sectional study | Folate status | |
| Williams, 2008 [84] | 2006 | University of Calabar Teaching Hospital, Calabar (urban) | Cross River State | pregnant (all trimesters) | 101 | Cross-sectional study | Vitamin A intake and status | |
| South Africa | ||||||||
| National data | ||||||||
| NFCS, 2007 [34] | 2005 | Nationwide | National | 16–35 years | ~2400 | National survey | Iron, vitamin A and iodine status and household consumption of iodized salts | |
| Shisana, 2014 [35] | 2012 | Nationwide | National | 16–35 years | ~1300 | National health and nutrition survey | Iron and vitamin A status | |
| Subnational data | ||||||||
| Dolman, 2013 [85] | 2005/12 | North West (rural and urban) | North West | ~47 years | 1068 | Prospective Urban and Rural Epidemiological (PURE) study | Iron, vitamin A, folate and zinc intake | |
| Faber, 2005 [86] | 2005* | Ndunakazi (rural) | KwaZulu-Natal | 29.7 ± 7.6 years | 118 | Cross-sectional survey | Iron and vitamin A status | |
| Gichohi-Wainaina, 2015 [87] | 2005 | North West (rural and urban) | North West | 32–86 years | 678 | PURE cohort study (baseline data) | Iron status | |
| Hattingh, 2008 [88] | 2008 * | Mangaung (urban) | Bloemfontein | 25–34 years | 279 | Cross-sectional survey | Iron, vitamin A and zinc intake | |
| Kolahdooz, 2013 [89] | 2013 * | Empangeni (rural) | KwaZulu-Natal | 19–50 years | 40 | Cross-sectional study | Iron, vitamin A and zinc intake | |
| Lawrie, 2008 [90] | 2008 * | Workers at Helen Joseph and Coronation hospital, Gauteng (urban) | Gauteng | >18 years | 631 | Cross-sectional study | Iron status | |
| Mostert, 2005 [91] | 2005 * | Dikgale primary health care clinic, Limpopo (rural, resource poor setting) | Limpopo | 13–40 years pregnant † | 46 | Cross-sectional study | Iron, vitamin A and zinc intake | |
| Oldewage-Theron, 2011 [92] | 2011 * | Informal settlement in Vaal region (a peri-urban area, resource poor setting) | Gauteng | - | 426 | Cross-sectional study | Iron, vitamin A, folate and zinc intake | |
| Oldewage-Theron, 2014 [93] | 2008–2009 | Qwa-Qwa (rural households) | Free State | 39.8 ± 13.5 years | 83 | Single system case study (baseline data) | Iron Status and intake | |
| Pisa, 2012 [94] | 2005 | North West (rural and urban) | North West | >35 years | 1264 | Prospective Urban and Rural (PURE) Epidemiological study (baseline data) | Iron intake | |
| Country | Reference | Age Group | n | Dietary Information | Iron | Vitamin A | Folate | Zinc | Iodine | ||||
|---|---|---|---|---|---|---|---|---|---|---|---|---|---|
| mg/d | Inadequate Intake (%) | μg RE/d | Inadequate Intake (%) | μg/d | Inadequate Intake (%) | mg/d | Inadequate Intake (%) | Households not Consuming Adequately Iodized Salt (%) | |||||
| Women of reproductive age | |||||||||||||
| Ethiopia | Amare, 2012 [38] | >18 years | 255 | 24 h dietary recall | 97.8 (54.6) | 8% | 216(25) | 100% | |||||
| Bogale, 2009 [40] | 28 years | 99 | Plasma mass spectrometer for iodine content of salt | 98% | |||||||||
| Ethiopian Public Health Institute, 2015 [30] | households | 3221 | Titration method | 74% | |||||||||
| NFC Survey, 2013 ^ [29] | 15–49 years | 7908 | 24 h dietary recall | 47.2 (33.8) | 12% | 71 (129) † | 99% | 7.6 (5.7) | 53% | ||||
| Kenya | Adongo, 2013 [55] | 15–49 years | 224 | 24 h dietary recall | 11.8 (5.2) | 94% | |||||||
| DHS, 2014 [32] | households | 34139 | Rapid test kit for iodine content of salt | 1% * | |||||||||
| Waswa, 2011 [64] | 20–25 years | 260 | FFQ | 12.6 (6.6) | 86% | 368 (287) | 53% | ||||||
| Nigeria | De Moura, 2015 ^ [65] | >18 years | 579 | 24 h dietary recall | 11.2 (4) | 98% | 2477 (961) | 3% | 11.2 (4) | 23% | |||
| DHS, 2008 [33] | households | 32079 | - | 48% | |||||||||
| Otemuyiwa, 2013 [75] | 15–35 years | 203 | FFQ | 13.5 (4.5) | 92% | ||||||||
| South Africa | Dolman, 2013 | 47 years | 1068 | FFQ | 11.5 (5.2) | 94% | 657 (495) | 28% | 334(162) | 47% | 8.6 (3.8) | 46% | |
| Kolahdooz, 2013 [89] | 19–50 years | 40 | 24 h dietary recall | 24 (10) | 45% | 216 (336) † | 66% | 8.3 (3.6) | 49% | ||||
| Hattingh, 2008 ^ [88] | 25–34 years | 279 | FFQ | 26.7 (15.9) | 34% | 2221(1472) | 11% | 16.2(9.3) | 20% | ||||
| NFCS, 2007 [34] | 16–35 years | 2237 | Iodometric titration method for iodine content of salt | 23% | |||||||||
| Pisa, 2012 [94] | >35 years | 1264 | QFFQ | 12.5 (9.1) | 79% | ||||||||
| Oldewage-Theron, 2014 [93] | 19–75 years | 84 | 24 h recall | 6.4 | |||||||||
| Oldweage-Theron, 2011 [92] | na | 426 | 24 h recall | 3.8 (2) | 100% | 176 (617) | 61% | 82 (103) | 98% | 3.8 (2.4) | 96% | ||
| Pregnant women | |||||||||||||
| Ethiopia | Ersino, 2013 [41] | 27.7 ± 5.6 years | 172 | Plasma mass spectrometer for iodine content of salt | >90% | ||||||||
| Gibson, 2008 [46] | 28 years | 99 | 1 day weigh record | 28.3 | 5.4 | ||||||||
| Hambidge, 2006 [49] | 27.8 ± 4.7 years | 17 | 24 h weigh record | 6 (3.2) | 97% | ||||||||
| Kenya | Kamau-Mbuthia, 2007 [57] | ~26 years | 716 | 24 h dietary recall | 16.1 | 9.4 | |||||||
| Shipala, 2012 [62] | <19 years | 384 | FFQ | 26.8 | 364 | ||||||||
| Othoo, 2014 [61] | 21–25 years | 162 | Semi-structured Questionnaire | 18.5 | 436 | ||||||||
| Nigera | Williams, 2008 [84] | - | 101 | 24 h dietary recall | 2645 (189) | 3% | |||||||
| South Africa | Mostert, 2005 [91] | 13–40 years | 46 | 24 h dietary recall | 9.6 (4.3) | 99% | 574 (428) | 48% | 8.1 (4.3) | 84% | |||
© 2017 by the authors. Licensee MDPI, Basel, Switzerland. This article is an open access article distributed under the terms and conditions of the Creative Commons Attribution (CC BY) license (http://creativecommons.org/licenses/by/4.0/).
Share and Cite
Harika, R.; Faber, M.; Samuel, F.; Kimiywe, J.; Mulugeta, A.; Eilander, A. Micronutrient Status and Dietary Intake of Iron, Vitamin A, Iodine, Folate and Zinc in Women of Reproductive Age and Pregnant Women in Ethiopia, Kenya, Nigeria and South Africa: A Systematic Review of Data from 2005 to 2015. Nutrients 2017, 9, 1096. https://doi.org/10.3390/nu9101096
Harika R, Faber M, Samuel F, Kimiywe J, Mulugeta A, Eilander A. Micronutrient Status and Dietary Intake of Iron, Vitamin A, Iodine, Folate and Zinc in Women of Reproductive Age and Pregnant Women in Ethiopia, Kenya, Nigeria and South Africa: A Systematic Review of Data from 2005 to 2015. Nutrients. 2017; 9(10):1096. https://doi.org/10.3390/nu9101096
Chicago/Turabian StyleHarika, Rajwinder, Mieke Faber, Folake Samuel, Judith Kimiywe, Afework Mulugeta, and Ans Eilander. 2017. "Micronutrient Status and Dietary Intake of Iron, Vitamin A, Iodine, Folate and Zinc in Women of Reproductive Age and Pregnant Women in Ethiopia, Kenya, Nigeria and South Africa: A Systematic Review of Data from 2005 to 2015" Nutrients 9, no. 10: 1096. https://doi.org/10.3390/nu9101096
APA StyleHarika, R., Faber, M., Samuel, F., Kimiywe, J., Mulugeta, A., & Eilander, A. (2017). Micronutrient Status and Dietary Intake of Iron, Vitamin A, Iodine, Folate and Zinc in Women of Reproductive Age and Pregnant Women in Ethiopia, Kenya, Nigeria and South Africa: A Systematic Review of Data from 2005 to 2015. Nutrients, 9(10), 1096. https://doi.org/10.3390/nu9101096
