Protein-Pacing Caloric-Restriction Enhances Body Composition Similarly in Obese Men and Women during Weight Loss and Sustains Efficacy during Long-Term Weight Maintenance
Abstract
:1. Introduction
2. Materials and Methods
2.1. Participants
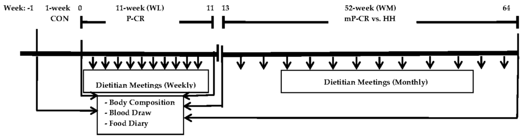
2.2. Experimental Design
Study Timeline
3. Dietary Intervention
3.1. Weight Loss (WL) Phase (Weeks 1–12): P-CR Diet
3.2. Weight Maintenance (WM) Phase (Weeks 13–64): Modified P-CR (mP-CR) or Heart Healthy (HH) Dietary Interventions
3.3. Compliance
4. Laboratory Testing Procedures
4.1. Body Composition Assessments
4.2. Physical Activity Assessment
4.3. Plasma Biomarkers
4.4. Resting Metabolic Rate (RMR)
4.5. Dietary Intake and Feelings of Hunger and Satiety
4.6. Statistical Analysis
5. Results
5.1. Weight Loss Phase 1 (WL; P-CR, Weeks 0–12)
Subject Characteristics
5.2. Dietary Intake during WL (Weeks 0–12)
5.3. Body Weight and Composition during WL (Weeks 0–12)
5.4. Plasma Biomarkers during WL (Weeks 0–12)
5.5. Resting Metabolic Rate (RMR), Physical Activity and Hunger Ratings during WL (Weeks 0–12)
5.6. Weight Maintenance Phase 2 (WM; mP-CR vs. HH; Weeks 13–64)
Subject Characteristics
5.7. Dietary Intake during WM (Weeks 13–64)
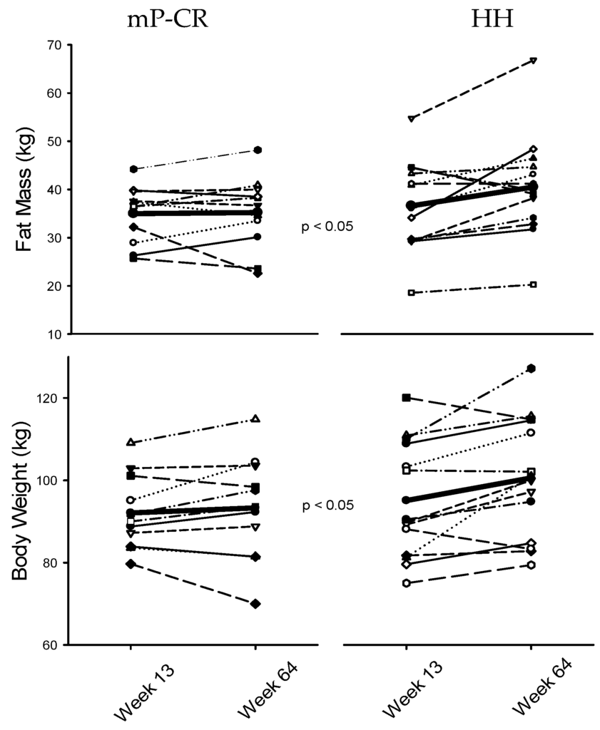
5.8. Body Weight and Composition during WM (Weeks 13–64)
5.9. Individual Responses in Body Weight and Fat Mass
5.10. Plasma Biomarkers during WM (Weeks 13–64)
5.11. Resting Metabolic Rate, Physical Activity and Hunger Ratings during WM (Weeks 13–64)
6. Discussion
6.1. Weight Loss, Phase 1 (WL; P-CR, Weeks 0–12)
6.1.1. Body Weight and Composition
6.1.2. Plasma Biomarkers
6.1.3. Resting Metabolic Rate, Physical Activity and Hunger Ratings
6.2. Weight Maintenance, Phase 2 (WM; mP-CR vs. HH, Weeks 13–64)
6.2.1. Body Weight and Composition
6.2.2. Plasma Biomarkers
6.2.3. Resting Metabolic Rate, Physical Activity and Hunger Ratings
6.3. Strengths and Limitations
7. Conclusions
Supplementary Materials
Acknowledgments
Author Contributions
Conflicts of Interest
Abbreviations
| P-CR | protein-pacing, caloric restriction |
| mP-CR | modified protein-pacing, caloric restriction |
| HH | heart healthy |
| WL | weight loss |
| WM | weight maintenance |
| ABF | abdominal body fat |
| VAT | visceral adipose tissue |
| ADI | adiponectin |
| BMI | body mass index |
| iDXA | dual energy X-ray absorptiometry |
| LEP | leptin |
| RMR | resting metabolic rate |
| LBM | lean body mass |
| TBF | total body fat |
| %BF | percent body fat |
References
- Franz, M.J.; Van Wormer, J.J.; Crain, A.L.; Boucher, J.L.; Histon, T.; Caplan, W.; Bowman, J.D.; Pronk, N.P. Weight-Loss outcomes: A systematic review and meta-analysis of weight-loss clinical trials with a minimum 1-year follow-up. J. Am. Diet. Assoc. 2007, 107, 1755–1767. [Google Scholar] [CrossRef] [PubMed]
- Gardner, C.D.; Kiazand, A.; Alhassan, S.; Kim, S.; Stafford, R.S.; Balise, R.R.; Kraemer, H.C.; King, A.C. Comparison of the Atkins, Zone, Ornish, and LEARN diets for change in weight and related risk factors among overweight premenopausal women: The A TO Z Weight Loss Study: A randomized trial. J. Am. Med. Assoc. 2007, 297, 969–977. [Google Scholar] [CrossRef] [PubMed]
- Dansinger, M.L.; Gleason, J.A.; Griffith, J.L.; Selker, H.P.; Schaefer, E.J. Comparison of the Atkins, Ornish, Weight Watchers, and Zone diets for weight loss and heart disease risk reduction: A randomized trial. J. Am. Med. Assoc. 2005, 293, 43–53. [Google Scholar] [CrossRef] [PubMed]
- Brehm, B.J.; Seeley, R.J.; Daniels, S.R.; D’Alessio, D.A. A randomized trial comparing a very low carbohydrate diet and a calorie-restricted low fat diet on body weight and cardiovascular risk factors in healthy women. J. Clin. Endocrinol. Metab. 2003, 88, 1617–1623. [Google Scholar] [CrossRef] [PubMed]
- Foster, G.D.; Wyatt, H.R.; Hill, J.O.; McGuckin, B.G.; Brill, C.; Mohammed, B.S. A randomized trial of a low-carbohydrate diet for obesity. N. Engl. J. Med. 2003, 348, 2082–2090. [Google Scholar] [CrossRef] [PubMed]
- Stern, L.; Iqbal, N.; Seshadri, P.; Chicano, K.L.; Daily, D.A.; McGrory, J. The effects of low-carbohydrate versus conventional weight loss diets in severely obese adults: One-Year follow-up of a randomized trial. Ann. Intern. Med. 2004, 140, 778–785. [Google Scholar] [CrossRef] [PubMed]
- Heymsfield, S.B.; Harp, J.B.; Reitman, M.L.; Beetsch, J.W.; Schoeller, D.A.; Erondu, N.; Pietrobelli, A. Why do obese patients not lose more weight when treated with low-calorie diets? A mechanistic perspective. Am. J. Clin. Nutr. 2007, 85, 346–354. [Google Scholar] [PubMed]
- Arciero, P.J.; Ormsbee, M.J.; Gentile, C.L.; Nindl, B.C.; Brestoff, J.R.; Ruby, M. Increased protein intake and meal frequency reduces abdominal fat during energy balance and energy deficit. Obesity 2013, 21, 1357–1366. [Google Scholar] [CrossRef] [PubMed]
- Astrup, A.; Raben, A.; Geiker, N. The role of higher protein diets in weight control and obesity-related comorbidities. Int. J. Obes. 2014, 39, 721–726. [Google Scholar] [CrossRef] [PubMed]
- Camhi, S.M. Potential mechanisms linking low-fat diet to inflammation and metabolic syndrome. Metabolis 2010, 59, 455–456. [Google Scholar] [CrossRef] [PubMed]
- Larsen, T.M.; Dalskov, S.; van Baak, M.; Jebb, S.A.; Papadaki, A.; Pfeiffer, A.F.H.; Martinez, J.A.; Handjieva-Darlenska, T.; Kunesova, M.; Pihlsgard, M.; et al. Diets with high or low protein content and glycemic index for weight-loss maintenance. N. Engl. J. Med. 2010, 363, 2102–2113. [Google Scholar] [CrossRef] [PubMed]
- Song, X.; Kestin, M.; Schwarz, Y.; Yang, P.; Hu, X.; Lampe, J.W.; Kratz, M. A low-fat high-carbohydrate diet reduces plasma total adiponectin concentrations compared to a moderate-fat diet with no impact on biomarkers of systemic inflammation in a randomized controlled feeding study. Eur. J. Nutr. 2016, 55, 237–246. [Google Scholar] [CrossRef] [PubMed]
- Leidy, H.J.; Clifton, P.M.; Astrup, A.; Wycherley, T.P.; Westerterp-Plantenga, M.S.; Luscombe-Marsh, N.D.; Woods, S.C.; Mattes, R.D. The role of protein in weight loss and maintenance. Am. J. Clin. Nutr. 2015, 101, 1320–1329. [Google Scholar] [CrossRef] [PubMed]
- Klempel, M.C.; Kroeger, C.M.; Bhutani, S.; Trepanowski, J.F.; Varady, K.A. Intermittent fasting combined with calorie restriction is effective for weight loss and cardio-protection in obese women. Nutr. J. 2012, 11, 98. [Google Scholar] [CrossRef] [PubMed]
- Varady, K.A.; Bhutani, S.; Klempel, M.C.; Kroeger, C.M.; Trepanowski, J.F.; Haus, J.M.; Hoddy, K.K.; Calvo, Y. Alternate day fasting for weight loss in normal weight and overweight subjects: a randomized controlled trial. Nutr. J. 2013, 12, 146. [Google Scholar] [CrossRef] [PubMed]
- Kroeger, C.M.; Klempel, M.C.; Bhutani, S.; Trepanowski, J.F.; Tangney, C.C.; Varady, K.A. Improvement in coronary heart disease risk factors during an intermittent fasting/calorie restriction regimen: Relationship to adipokine modulations. Nutr. Metab. 2012, 9, 98. [Google Scholar] [CrossRef] [PubMed]
- Tinsley, G.M.; La Bounty, P.M. Effects of intermittent fasting on body composition and clinical health markers in humans. Nutr. Rev. 2015, 73, 661–674. [Google Scholar] [CrossRef] [PubMed]
- Kuk, J.L.; Ross, R. Influence of sex on total and regional fat loss in overweight and obese men and women. Int. J. Obes. 2009, 33, 629–634. [Google Scholar] [CrossRef] [PubMed]
- De Souza, R.J.; Bray, G.A.; Carey, V.J.; Hall, K.D.; LeBoff, M.S.; Loria, C.M.; Laranjo, N.M.; Sacks, F.M.; Smith, S.R. Effects of 4 weight-loss diets differing in fat, protein, and carbohydrate on fat mass, lean mass, visceral adipose tissue, and hepatic fat: results from the POUNDS LOST trial. Am. J. Clin. Nutr. 2012, 95, 614–625. [Google Scholar] [CrossRef] [PubMed]
- Gasteyger, C.; Larsen, T.M.; Vercruysse, F.; Pedersen, D.; Toubro, S.; Astrup, A. Visceral fat loss induced by a low-calorie diet: A direct comparison between women and men. Diabetes Obes. Metab. 2009, 11, 596–602. [Google Scholar] [CrossRef] [PubMed]
- Arciero, P.J.; Baur, D.; Connelly, S.; Ormsbee, M.J. Timed daily ingestion of whey protein and exercise training reduces visceral adipose tissue mass and improves insulin resistance. J. Appl. Physiol. 2014, 117, 1–10. [Google Scholar] [CrossRef] [PubMed]
- Gentile, C.L.; Ward, E.; Holst, J.J.; Astrup, A.; Ormsbee, M.J.; Connelly, S.; Arciero, P.J. Resistant starch and protein intake enhances fat oxidation and feelings of fullness in lean and overweight/obese women. Nutr. J. 2015, 14, 1–10. [Google Scholar] [CrossRef] [PubMed]
- Lonnqvist, F.; Thorne, A.; Large, V.; Arner, P. Sex differences in visceral fat lipolysis and metabolic complications of obesity. Arterioscler. Thromb. Vasc. Biol. 1997, 17, 1472–1480. [Google Scholar] [CrossRef] [PubMed]
- Blaak, E. Gender differences in fat metabolism. Curr. Opin. Clin. Nutr. Metab. Care 2001, 4, 499–502. [Google Scholar] [CrossRef] [PubMed]
- Pasiakos, S.M.; Vislocky, L.M.; Carbone, J.W.; Altieri, N.; Konopelski, K.; Freake, H.C.; Anderson, J.M.; Ferrando, A.A.; Wolfe, R.R.; Rodriguez, N.R. Acute energy deprivation affects skeletal muscle protein synthesis and associated intracellular signaling proteins in physically active adults. J. Nutr. 2010, 140, 745–751. [Google Scholar] [CrossRef] [PubMed]
- Hector, A.J.; Marcotte, G.R.; Churchward-Venne, T.A.; Murphy, C.H.; Breen, L.; von Allmen, M.; Baker, S.K.; Phillips, S.M. Whey protein supplementation preserves postprandial myofibrillar protein synthesis during short-term energy restriction in overweight and obese adults. J. Nutr. 2015, 145, 246–252. [Google Scholar] [CrossRef] [PubMed]
- Murphy, C.H.; Churchward-Venne, T.A.; Mitchell, C.J.; Kolar, N.M.; Kassis, A.; Karagounis, L.G.; Burke, L.M.; Hawley, J.A.; Phillips, S.M. Hypoenergetic diet-induced reductions in myofibrillar protein synthesis are restored with resistance training and balanced daily protein ingestion in older men. Am. J. Physiol. Endocrinol. Metab. 2015, 308, 734–743. [Google Scholar] [CrossRef] [PubMed]
- Areta, J.L.; Burke, L.M.; Camera, D.M.; West, D.W.; Crawshay, S.; Moore, D.R.; Stellingwerff, T.; Phillips, S.M.; Hawley, J.A.; Coffey, V.G. Reduced resting skeletal muscle protein synthesis is rescued by resistance exercise and protein ingestion following short-term energy deficit. Am. J. Physiol. Endocrinol. Metab. 2014, 306, 989–997. [Google Scholar] [CrossRef] [PubMed]
- Considine, R.V.; Sinha, M.K.; Heiman, M.L.; Kriauciunas, A.; Stephens, T.W.; Nyce, M.R.; Ohannesian, J.P.; Marco, C.C.; McKee, L.J.; Bauer, T.L.; et al. Serum immunoreactive-leptin concentrations in normal-weight and obese humans. N. Engl. J. Med. 1996, 334, 292–295. [Google Scholar] [CrossRef] [PubMed]
- Havel, P.J.; Kasim-Karakas, S.; Mueller, W.; Johnson, P.R.; Gingerich, R.L.; Stern, J.S. Relationship of plasma leptin to plasma insulin and adiposity in normal weight and overweight women: Effects of dietary fat content and sustained weight loss. J. Clin. Endocrinol. Metab. 1996, 81, 4406–4413. [Google Scholar] [PubMed]
- MacLean, P.S.; Higgins, J.A.; Giles, E.D.; Sherk, V.D.; Jackman, M.R. The role for adipose tissue in weight regain after weight loss. Obes. Rev. 2015, 16, 45–54. [Google Scholar] [CrossRef] [PubMed]
- Harvie, M.N.; Pegington, M.; Mattson, M.P.; Frystyk, J.; Dillon, B.; Evans, G. The effects of intermittent or continuous energy restriction on weight loss and metabolic disease risk markers: A randomized trial in young overweight women. Int. J. Obes. 2011, 35, 714–727. [Google Scholar] [CrossRef] [PubMed]
- Staiger, H.; Tschritter, O.; Machann, J.; Thamer, C.; Fritsche, A.; Maerker, E.; Schick, F.; Häring, H.U.; Stumvoll, M. Relationship of serum adiponectin and leptin concentrations with body fat distribution in humans. Obes. Res. 2003, 11, 368–372. [Google Scholar] [CrossRef] [PubMed]
- Klempel, M.C.; Varady, K.A. Reliability of leptin, but not adiponectin, as a biomarker for diet-induced weight loss in humans. Nutr. Rev. 2011, 69, 145–154. [Google Scholar] [CrossRef] [PubMed]
- Koh, S.J.; Hyun, Y.J.; Choi, S.Y.; Chae, J.S.; Kim, J.Y.; Park, S.; Ahn, C.M.; Jang, Y.; Lee, J.H. Influence of age and visceral fat area on plasma adiponectin concentrations in women with normal glucose tolerance. Clin. Chim. Acta 2008, 389, 45–50. [Google Scholar] [CrossRef] [PubMed]
- Clifton, P.M.; Bastiaans, K.; Keogh, J.B. High protein diets decrease total and abdominal fat and improve CVD risk profile in overweight and obese men and women with elevated triacylglycerol. Nutr. Metab. Cardiovasc. Dis. 2009, 19, 548–554. [Google Scholar] [CrossRef] [PubMed]
- Pekkarinen, T.; Kaukua, J.; Mustajoki, P. Long-Term weight maintenance after a 17-week weight loss intervention with or without a one-year maintenance program: A randomized controlled trial. J. Obes. 2015, 2015, 651460. [Google Scholar] [CrossRef] [PubMed]
- Anderson, J.W.; Konz, E.C.; Frederich, R.C.; Wood, C.L. Long-Term weight-loss maintenance: A meta-analysis of US studies. Am. J. Clin. Nutr. 2001, 74, 579–584. [Google Scholar] [PubMed]
- Varady, K.A.; Hellerstein, M.K. Alternate-Day fasting and chronic disease prevention: A review of human and animal trials. Am. J. Clin. Nutr. 2007, 86, 7–13. [Google Scholar] [PubMed]
- Malik, V.S.; Hu, F.B. Popular weight-loss diets: from evidence to practice. Nat. Clin. Pract. Cardiovasc. Med. 2007, 4, 34–41. [Google Scholar] [CrossRef] [PubMed]
- Rosenbaum, M.; Hirsch, J.; Gallagher, D.A.; Leibel, R.L. Long-Term persistence of adaptive thermogenesis in subjects who have maintained a reduced body weight. Am. J. Clin. Nutr. 2008, 88, 906–912. [Google Scholar] [PubMed]
- Sumithran, P.; Prendergast, L.A.; Delbridge, E.; Purcell, K.; Shulkes, A.; Kriketos, A.; Proietto, J. Long-Term persistence of hormonal adaptations to weight loss. N. Engl. J. Med. 2011, 365, 1597–1604. [Google Scholar] [CrossRef] [PubMed]
- Soenen, S.; Bonomi, A.G.; Lemmens, S.G.; Scholte, J.; Thijssen, M.A.; van Berkum, F.; Westerterp-Plantenga, M.S. Relatively high-protein or ‘low-carb’ energy-restricted diets for body weight loss and body weight maintenance? Physiol. Behav. 2012, 107, 374–380. [Google Scholar] [CrossRef] [PubMed]
- Belza, A.; Ritz, C.; Sorensen, M.Q.; Holst, J.J.; Rehfeld, J.F.; Astrup, A. Contribution of gastroenteropancreatic appetite hormones to protein-induced satiety. Am. J. Clin. Nutr. 2013, 97, 980–989. [Google Scholar] [CrossRef] [PubMed]
- Maersk, M.; Belza, A.; Holst, J.J.; Fenger-Gron, M.; Pedersen, S.B.; Astrup, A.; Richelsen, B. Satiety scores and satiety hormone response after sucrose-sweetened soft drink compared with isocaloric semi-skimmed milk and with non-caloric soft drink: A controlled trial. Eur. J. Clin. Nutr. 2012, 66, 523–529. [Google Scholar] [CrossRef] [PubMed]
- Schmidt, J.B.; Gregersen, N.T.; Pedersen, S.D.; Arentoft, J.L.; Ritz, C.; Schwartz, T.W.; Holst, J.J.; Astrup, A.; Sjodin, A. Effects of PYY3-36 and GLP-1 on energy intake, energy expenditure, and appetite in overweight men. Am. J. Physiol. Endocrinol. Metab. 2014, 306, 1248–1256. [Google Scholar] [CrossRef] [PubMed]
- Dhillon, J.; Craig, B.A.; Leidy, H.J.; Amankwaah, A.F.; Osei-Boadi Anguah, K.; Jacobs, A.; Jones, B.L.; Jones, J.B.; Keeler, C.L.; Keller, C.E.; et al. The effects of increased protein intake on fullness: A meta-analysis and its limitations. J. Acad. Nutr. Diet. 2016, 116, 968–983. [Google Scholar] [CrossRef] [PubMed]




| Variable | Men (n = 21) | Women (n = 19) | Total (n = 40) |
|---|---|---|---|
| Age (years) | 46 ± 1.5 | 50 ± 2.3 | 48 ± 9 |
| Height (cm) | 178.9 ± 1.7 | 163.0 ± 1.0 | 171.4 ± 1.6 |
| Weight (kg) | 120.1 ± 4.8 | 99.5 ± 2.8 | 110.3 ± 3.3 |
| Body Mass Index (kg/m2) | 37.5 ± 1.5 | 37.5 ± 1.1 | 37.5 ± 0.95 |
| Body fat (%) | 40.3 ± 1.4 | 51.0 ± 1.0 | 45.4 ± 1.2 |
| Systolic blood pressure (mmHg) | 128 ± 2 | 122 ± 3 | 125 ± 2 |
| Diastolic blood pressure (mmHg) | 82 ± 2 | 77 ± 3 | 79 ± 2 |
| Resting heart rate (bpm) | 65 ± 2 | 65 ± 3 | 65 ± 2 |
| Variable | Men (n = 21) | Women (n = 19) | Total (n = 40) | |
|---|---|---|---|---|
| Energy (kcal) | Week 0 | 3085 ± 225 | 2304 ± 122 | 2714 ± 145 |
| Week 12 a | 1493 ± 11 | 1199 ± 7 | 1350 ± 25 | |
| Protein (%) | Week 0 | 17 ± 1 | 17 ± 1 | 17 ± 1 |
| Week 12 a | 32 ± 1 | 32 ± 1 | 32 ± 1 | |
| Protein (g) | Week 0 | 131 ± 11 | 95 ± 7 | 114 ± 7 |
| Week 12 | 123 ± 2 | 98 ± 2 | 111 ± 2 | |
| Fat (%) | Week 0 | 38 ± 2 | 35 ± 2 | 36 ± 1 |
| Week 12 a | 23 ± 1 | 23 ± 1 | 23 ± 1 | |
| Fat (g) | Week 0 | 136 ± 14 | 93 ± 9 | 116 ± 9 |
| Week 12 a | 38 ± 2 | 31 ± 1 | 35 ± 1 | |
| Carbohydrate (%) | Week 0 | 43 ± 2 | 48 ± 2 | 45 ± 1 |
| Week 12 | 45 ± 1 | 44 ± 1 | 45 ± 1 | |
| Carbohydrates (g) | Week 0 | 341 ± 28 | 273 ± 14 | 309 ± 17 |
| Week 12 a | 170 ± 3 | 135 ± 3 | 152 ± 4 | |
| Sodium (mg) | Week 0 | 4689 ± 484 | 3790 ± 415 | 4262 ± 326 |
| Week 12 a | 1089 ± 165 | 882 ± 142 | 988 ± 109 | |
| Fiber (g) | Week 0 | 27 ± 3 | 20 ± 1 | 23 ± 2 |
| Week 12 a | 32 ± 1 | 26 ± 1 | 29 ± 1 | |
| Sugars (g) | Week 0 | 126 ± 20 | 100.8 ± 47.7 | 114 ± 12 |
| Week 12 a | 66 ± 3 | 54.4 ± 9.8 | 60 ± 2 |
| Variable | Men (n = 21) | Women (n = 19) | Total (n = 40) | |
|---|---|---|---|---|
| Body weight (kg) | Week 0 | 120.1 ± 4.8 | 99.5 ± 2.8 | 110.3 ± 3.2 |
| Week 12 a | 107.4 ± 4.2 | 89.2 ± 2.6 | 98.7 ± 2.9 | |
| Waist Circumference (cm) | Week 0 | 123.8 ± 3.3 | 107.5 ± 1.7 | 116.3 ± 2.3 |
| Week 12 a | 106.9 ± 3.0 | 93.9 ± 1.7 | 100.9 ± 2.1 | |
| Total Body Fat (%) | Week 0 | 40.3 ± 1.4 | 51.0 ± 0.9 | 45.4 ± 1.2 |
| Week 12 a | 35.2 ± 1.5 | 46.9 ± 1.0 | 40.7 ± 1.3 | |
| Fat Mass (kg) | Week 0 | 47.5 ± 3.2 | 49.5 ± 2.2 | 48.4 ± 2.0 |
| Week 12 a | 37.5 ± 2.9 | 40.9 ± 2.1 | 39.0 ± 1.8 | |
| Lean Body Mass (kg) | Week 0 | 68.3 ± 1.7 | 46.9 ± 0.8 | 58.1 ± 2.1 |
| Week 12 a | 66.4 ± 1.6 | 45.5 ± 0.8 | 56.4 ± 2.0 | |
| LBM/BW (%) | Week 0 | 57.6 ± 1.6 | 47.4 ± 0.9 | 52.7 ± 1.1 |
| Week 12 a | 62.7 ± 1.6 | 51.4 ± 1.1 | 57.3 ± 1.3 | |
| Abdominal Fat (kg) | Week 0 | 5.7 ± 0.5 | 4.8 ± 0.2 | 5.3 ± 0.3 |
| Week 12 a | 4.2 ± 0.4 | 3.8 ± 0.2 | 4.0 ± 0.2 | |
| Visceral Adipose Tissue (kg) | Week 0 | 3.2 ± 0.3 | 1.5 ± 0.1 | 2.4 ± 0.2 |
| Week 12 a | 2.1 ± 0.2 | 1.1 ± 0.1 | 1.6 ± 0.1 |
| Variable | Men (n = 21) | Women (n = 19) | Total (n = 40) | |
|---|---|---|---|---|
| Glucose (mg/dL) | Week 0 | 103.3 ± 5.0 | 96.4 ± 3.3 | 99.8 ± 3.0 |
| Week 12 a | 91.3 ± 2.1 | 89.8 ± 2.3 | 90.5 ± 1.5 | |
| Insulin (μU/mL) | Week 0 | 9.2 ± 1.1 | 6.0 ± 0.5 | 7.6 ± 0.7 |
| Week 12 a | 5.5 ± 0.8 | 3.5 ± 0.3 | 4.5 ± 0.5 | |
| Leptin (ng/mL) | Week 0 | 13.6 ± 1.7 | 84.7 ± 17.7 | 45.4 ± 9.8 |
| Week 12 a | 6.6 ± 1.3 | 22.9 ± 3.5 | 13.9 ± 2.1 | |
| Adiponectin (ng/mL) | Week 0 | 16.1 ± 2.1 | 27.8 ± 5.3 | 21.7 ± 2.9 |
| Week 12 | 15.7 ± 1.6 | 27.3 ± 4.3 | 21.2 ± 2.3 |
| Variable | Men (n = 21) | Women (n = 19) | Total (n = 40) | |
|---|---|---|---|---|
| Resting Metabolic Rate (kcals/min) | Week 0 | 1.5 ± 0.3 | 1.1 ± 0.1 | 1.3 ± 0.3 |
| Week 12 a | 1.4 ± 0.2 | 1.0 ± 0.1 | 1.2 ± 0.2 | |
| Resting metabolic rate (kcals/kg BW) | Week 0 | 18.2 ± 0.5 | 16.0 ± 0.4 | 17.2 ± 0.4 |
| Week 12 a | 18.8 ± 0.4 | 17.2 ± 0.3 | 18.1 ± 0.3 | |
| Respiratory Quotient | Week 0 | 0.86 ± 0.01 | 0.87 ± 0.02 | 0.86 ± 0.01 |
| Week 12 a | 0.79 ± 0.01 | 0.78 ± 0.01 | 0.78 ± 0.01 | |
| Physical Activity (kcals/day) | Week 0 | 887.7 ± 98.9 | 771.9 ± 83.6 | 826.4 ± 54.0 |
| Week 12 | 867.8 ± 82.6 | 604.8 ± 51.1 | 728.5 ± 52.0 | |
| Hunger (mm) | Week 0 | 33.6 ± 3.9 | 31.0 ± 2.6 | 33.4 ± 2.4 |
| Week 12 | 33.6 ± 3.8 | 26.2 ± 3.4 | 30.1 ± 2.6 | |
| Desire to Eat (mm) | Week 0 | 35.4 ± 4.0 | 30.4 ± 4.3 | 33.0 ± 2.9 |
| Week 12 | 36.4 ± 4.0 | 24.3 ± 2.9 | 30.6 ± 2.7 | |
| Quantity to Eat (mm) | Week 0 | 50.5 ± 4.1 | 42.9 ± 3.3 | 46.9 ± 2.7 |
| Week 12 | 44.3 ± 3.5 | 35.6 ± 3.2 | 40.2 ± 2.5 | |
| Fullness (mm) | Week 0 | 32.3 ± 3.6 | 34.4 ± 4.6 | 33.3 ± 2.9 |
| Week 12 | 34.8 ± 4.0 | 37.0 ± 4.9 | 35.9 ± 3.1 |
| Variable | mP-CR (n = 10) | HH (n = 14) | |
|---|---|---|---|
| Body weight (kg) | Week 13 | 92.1 ± 2.7 | 95.1 ± 3.7 |
| Week 64 a,b | 93.3 ± 3.8 | 100.6 ± 3.9 | |
| Total Body Fat (%) | Week 13 | 39.4 ± 2.4 | 39.9 ± 2.3 |
| Week 64 a,b | 38.6 ± 2.9 | 41.6 ± 2.3 | |
| Fat Mass (kg) | Week 13 | 35.0 ± 5.9 | 36.5 ± 9.5 |
| Week 64 a,b | 35.2 ± 7.5 | 40.4 ± 10.9 | |
| Lean Body Mass (kg) | Week 13 | 54.1 ± 3.5 | 54.9 ± 3.3 |
| Week 64 a | 55.0 ± 3.7 | 56.4 ± 3.3 | |
| LBM/BW (%) | Week 13 | 58.4 ± 2.5 | 58.1 ± 2.4 |
| Week 64 a,b | 58.8 ± 2.5 | 56.2 ± 2.3 | |
| Abdominal Fat (kg) | Week 13 | 3.6 ± 0.2 | 3.5 ± 0.3 |
| Week 64 a,b | 3.6 ± 0.3 | 4.0 ± 0.3 | |
| Visceral Adipose Tissue (kg) | Week 13 | 1.4 ± 0.2 | 1.4 ± 0.2 |
| Week 64 a | 1.6 ± 0.2 | 1.6 ± 0.2 |
| Variable | mP-CR (n = 9) | HH (n = 14) | |
|---|---|---|---|
| Glucose (mg/dL) | Week 13 | 90.6 ± 2.2 | 89.9 ± 2.6 |
| Week 64 | 96.8 ± 3.9 | 90.7 ± 3.0 | |
| Insulin (μU/mL) | Week 13 | 4.6 ± 0.6 | 3.7 ± 0.4 |
| Week 64 | 4.6 ± 0.8 | 4.2 ± 0.5 | |
| Leptin (ng/mL) | Week 13 | 16.5 ± 4.8 | 8.9 ± 2.1 |
| Week 39 a | 18.3 ± 5.1 | 15.5 ± 2.7 | |
| Adiponectin (ng/mL) | Week 13 | 20.4 ± 4.0 | 19.0 ± 2.0 |
| Week 39 a | 35.5 ± 7.9 | 28.3 ± 3.0 |
| Variable | mP-CR (n = 11) | HH (n = 14) | |
|---|---|---|---|
| Resting metabolic rate (kcals/min) | Week 13 | 1.2 ± 0.2 | 1.2 ± 0.2 |
| Week 64 | 1.2 ± 0.2 | 1.2 ± 0.2 | |
| Resting metabolic rate (kcals/kg BW) | Week 13 | 18.2 ± 1.9 | 18.4 ± 1.5 |
| Week 64 | 18.2±1.6 | 17.9 ± 2.2 | |
| Respiratory Quotient | Week 13 | 0.76 ± 0.01 | 0.79 ± 0.01 |
| Week 64 a | 0.82 ± 0.01 | 0.87 ± 0.01 | |
| Physical Activity (kcals/day) | Week 13 | 792 ± 118 | 670 ± 73 |
| Week 64 | 927 ± 176 | 913 ± 178 | |
| Hunger (mm) | Week 13 | 26 ± 3 | 28 ± 4 |
| Week 64 a | 32 ± 6 | 40 ± 5 | |
| Desire to Eat (mm) | Week 13 | 24 ± 4 | 30 ± 3 |
| Week 64 a | 31 ± 4 | 43 ± 7 | |
| Quantity to Eat (mm) | Week 13 | 38 ± 5 | 39 ± 3 |
| Week 64 | 37 ± 6 | 45 ± 6 | |
| Fullness (mm) | Week 13 | 41 ± 7 | 42 ± 5 |
| Week 64 | 33 ± 5 | 37 ± 6 |
© 2016 by the authors; licensee MDPI, Basel, Switzerland. This article is an open access article distributed under the terms and conditions of the Creative Commons Attribution (CC-BY) license (http://creativecommons.org/licenses/by/4.0/).
Share and Cite
Arciero, P.J.; Edmonds, R.; He, F.; Ward, E.; Gumpricht, E.; Mohr, A.; Ormsbee, M.J.; Astrup, A. Protein-Pacing Caloric-Restriction Enhances Body Composition Similarly in Obese Men and Women during Weight Loss and Sustains Efficacy during Long-Term Weight Maintenance. Nutrients 2016, 8, 476. https://doi.org/10.3390/nu8080476
Arciero PJ, Edmonds R, He F, Ward E, Gumpricht E, Mohr A, Ormsbee MJ, Astrup A. Protein-Pacing Caloric-Restriction Enhances Body Composition Similarly in Obese Men and Women during Weight Loss and Sustains Efficacy during Long-Term Weight Maintenance. Nutrients. 2016; 8(8):476. https://doi.org/10.3390/nu8080476
Chicago/Turabian StyleArciero, Paul J., Rohan Edmonds, Feng He, Emery Ward, Eric Gumpricht, Alex Mohr, Michael J. Ormsbee, and Arne Astrup. 2016. "Protein-Pacing Caloric-Restriction Enhances Body Composition Similarly in Obese Men and Women during Weight Loss and Sustains Efficacy during Long-Term Weight Maintenance" Nutrients 8, no. 8: 476. https://doi.org/10.3390/nu8080476
APA StyleArciero, P. J., Edmonds, R., He, F., Ward, E., Gumpricht, E., Mohr, A., Ormsbee, M. J., & Astrup, A. (2016). Protein-Pacing Caloric-Restriction Enhances Body Composition Similarly in Obese Men and Women during Weight Loss and Sustains Efficacy during Long-Term Weight Maintenance. Nutrients, 8(8), 476. https://doi.org/10.3390/nu8080476

