Next Article in Journal
Co-Ingestion of Whey Protein with a Carbohydrate-Rich Breakfast Does Not Affect Glycemia, Insulinemia or Subjective Appetite Following a Subsequent Meal in Healthy Males
Next Article in Special Issue
Nutrition and Dementia: Evidence for Preventive Approaches?
Previous Article in Journal
Leptin Level and Skipping Breakfast: The National Health and Nutrition Examination Survey III (NHANES III)
Previous Article in Special Issue
Ageing Is Associated with Decreases in Appetite and Energy Intake—A Meta-Analysis in Healthy Adults
 
 
Font Type:
Arial Georgia Verdana
Font Size:
Aa Aa Aa
Line Spacing:
Column Width:
Background:
Article

The Association between the Consumption of Fish/Shellfish and the Risk of Osteoporosis in Men and Postmenopausal Women Aged 50 Years or Older

Department of Food and Nutrition, Hanyang University, 222 Wangsimni-ro, Seongdong-gu, Seoul 04763, Korea
*
Author to whom correspondence should be addressed.
Nutrients 2016, 8(3), 113; https://doi.org/10.3390/nu8030113
Submission received: 23 December 2015 / Revised: 25 January 2016 / Accepted: 18 February 2016 / Published: 25 February 2016
(This article belongs to the Special Issue Nutrition for Older People)

Abstract

:
Fish rich in n-3 polyunsaturated fatty acids have been suggested to have a favorable effect on bone health, but previous epidemiologic studies have shown inconsistent results. The purpose of the present study was to investigate the hypothesis that the consumption of fish and shellfish is positively associated with bone mass and negatively associated with the risk of osteoporosis in Koreans and Americans. Men and postmenopausal women ≥50 years old from the Korean National Health and Nutrition Examination Survey 2008–2011 (n = 7154) and the National Health and Nutrition Examination Survey 2007–2010 (n = 2658) were included. There was a positive correlation between the consumption of fish and shellfish and bone mineral density (BMD) of the total femur, femoral neck, and lumbar spine in Koreans. Consistently, multivariate logistic regression analysis showed a significant association between intake of fish and shellfish and the risk of osteoporosis in Koreans but not in Americans. Consumption of fish and shellfish was 4–5 times higher in Koreans than Americans in the present study. In conclusion, intake of fish and shellfish was associated with BMD and the risk of osteoporosis in Koreans but not in Americans, suggesting that a minimum intake level of fish and shellfish might be recommended to protect against bone loss and osteoporosis.

1. Introduction

Osteoporosis is characterized by low bone mass with consequent increases in susceptibility to fracture, and it is considered to be a major public health problem affecting particularly postmenopausal women and elderly people in general [1]. Several nutritional and dietary factors have been identified as being important for maintaining bone health, preventing loss of bone mineral density (BMD), and reducing the risk of osteoporosis in old age [2]. Particularly, the roles of calcium and vitamin D are well established in bone health [2,3]. Previously, we reported that the blood level of n-3 polyunsaturated fatty acids was associated with bone health in Korean menopausal women [4].
Intake of fish rich in n-3 PUFAs, such as eicosapentaenoic acid (EPA; 20:5n3) and docosahexaenoic acid (DHA; 22:6n3), can favorably modulate bone health [5]. N-3 PUFAs have been suggested to suppress the production of inflammatory cytokines [6], enhance calcium absorption [7], and reduce urinary calcium excretion [8]. Epidemiologic studies have reported that intake of fish and n-3 PUFAs was significantly associated with BMD [9], fracture [10], and the risk of osteoporosis [11] in postmenopausal women or elderly men in an Asian population. However, in Western populations, the consumption of n-3 PUFAs or fish was not found to be associated with BMD [12] or fracture [13,14,15,16,17] in elderly men or women, except for one study showing that the consumption of n-3 PUFAs and dark fish was positively associated with BMD in elderly men [18].
Previous studies have focused on the association of fish intake and bone health, but shellfish also contain n-3 PUFAs [19]. Shellfish intake had a significant protective effect on the risk of hip fracture in elderly Chinese [10], and the consumption of fish and shellfish was positively associated with BMD in Chinese women [20]. American adults have been reported to consume shellfish and fish at a 4:6 ratio [21], and Korean adults consume shellfish and fish at a 3:7 ratio [22]. Consumption of fish and shellfish, rather than the consumption of fish alone, could be more closely related to bone health, but there has been no study comparing the association between fish and shellfish consumption and the risk of osteoporosis. Therefore, the purpose of the present study was to investigate the hypothesis that the consumption of fish and shellfish is positively associated with bone mass and negatively associated with the risk of osteoporosis in Korean and American men and postmenopausal women ≥50 years old.

2. Materials and Methods

2.1. Participants

This study was based on data from the Korean National Health and Nutrition Examination Survey (KNHANES) 2008–2011 and the National Health and Nutrition Examination Survey (NHANES) 2007–2010. The surveys were completed on a stratified, multistage, clustered national probability sample of non-institutionalized civilians. Data were included from men and postmenopausal women ≥50 years old who had undergone a checkup for osteoporosis. Participants were excluded if they used hormone replacement therapy or were missing data on dietary intake or BMD. Participants were also excluded if their daily energy intake was lower than the 1st percentile or higher than the 99th percentile. Thus, 7154 participants from the KNHANES and 2658 participants from the NHANES were included after excluding 30,599 from the KNHANES and 17,357 from the NHANES. The study protocol was approved by the Institutional Review Boards of Hanyang University (HYI-15-069).

2.2. Dietary Intake

Participants were interviewed by a trained dietitian using 24-h recall and a food frequency questionnaire (FFQ). Total energy and intake of protein, sodium, and calcium were determined using 24-h recall and were calculated by multiplying the food code-specific nutrient concentration data by the corresponding weight of each reported food. All reported items were coded using the US Department of Agriculture Food and Nutrient Database for the NHANES 2007–2008 [23] and 2009–2010 [24] or Korea Food Composition Table for the KNHANES [25], which provided nutritional content based on standardized recipes. The frequency of consuming fish and shellfish without portion size was collected by FFQ. Participants in the KNHANES were asked if they had consumed any of 5 species of fish and shellfish during the previous 12 months, whereas those in the NHANES were asked if they had consumed any of 31 species of fish and shellfish over the past 30 days.

2.3. Bone Mass

BMDs of total femur, femoral neck, and lumbar spine were measured using dual-energy X-ray absorptiometry (DXA; Discovery-W, Hologic, Inc., Waltham, MA, USA for the KNHANES and QDR 4500A, Hologic, Bedford, MA, USA for NHAENS). The prevalence of osteoporosis was defined by diagnosis by a physician in the KNHANES and the NHANES.

2.4. Risk Factors

The risk factors of osteoporosis included in the analysis were body mass index (BMI), smoking, alcohol, exercise, family history, and medical history, which are factors suggested by the International Osteoporosis Foundation (IOF), the National Osteoporosis Foundation (NOF), and the Fracture Risk Assessment Tool (FRAX) from the World Health Organization (WHO) [26,27,28]. BMI was calculated using measured height and weight; smoking state, alcohol intake, regular exercise, family history of osteoporosis or fracture, and medical history of rheumatoid arthritis, osteoporosis, and thyroid disease were obtained by interview in the KNHANES and the NHANES.

2.5. Statistical Analyses

All statistical analyses were performed using SAS software (version 9.3; SAS Institute, Cary, NC, USA). Survey weights were used to generate nationally representative estimates for both populations and were adjusted for the complex sample design of the KNHANES and the NHANES. p-values < 0.05 (two-sided) were considered statistically significant. A two-step modeling strategy was used to adjust for potential confounding variables and to improve the precision in estimating the effects of consuming fish and shellfish on BMD. Variables that were associated with BMD with p-value ≤ 0.25 in bivariate analyses were included in the full model. A backward-elimination approach was used to exclude potential covariates from the final model. Covariates were retained in the final model if the p-value was ≤0.01. Data were presented as the mean ± standard deviation (SD) for continuous variables or as a percentage for categorical variables. Differences were analyzed using the Chi-square test for categorical variables and Student’s t-test for continuous variables. The relationship between the consumption of fish and shellfish, and BMD was analyzed using a partial Pearson’s correlation analysis after adjusting for BMI, smoking state, regular exercise, intake of calcium, family history of osteoporosis or fracture, and medical history of rheumatoid arthritis. The multiple comparisons were calculated by the analysis of covariance (ANCOVA) with a Bonferroni’s post hoc test. In the ANCOVA models, adjustments were made for BMI, smoking state, regular exercise, intake of calcium, family history of osteoporosis or fracture, and medical history of rheumatoid arthritis. Odds ratios (ORs) and 95% confidence intervals (CIs) for the risk of osteoporosis according to the consumption of fish and shellfish were analyzed by multivariate logistic regression models. Model 1 was not adjusted; Model 2 was adjusted for BMI, regular exercise, and intake of calcium; Model 3 was adjusted for BMI, regular exercise, intake of calcium, smoking state, family history of osteoporosis or fracture, and medical history of rheumatoid arthritis. The lowest quintile of fish and shellfish consumption was considered as a reference, and the likelihood ratio test was used for detecting trends.

3. Results

3.1. Characteristics of Participants

Korean men and postmenopausal women had lower BMI; BMDs of total femur, femoral neck, and lumbar spine; lower intakes of protein, calcium, and alcohol; and frequency of medical history of thyroid disease. However, they had greater intakes of fish, shellfish, and sodium, and a higher exercise rate than American men and postmenopausal women (Table 1). Korean men and American postmenopausal women had higher smoking rates than American men and Korean postmenopausal women, respectively. Korean men had less frequent medical history of rheumatoid arthritis than American men, and Korean postmenopausal women were older and had had less frequent family history of osteoporosis or fracture than did American postmenopausal women. The prevalence of osteoporosis was not different between Korean and American men and postmenopausal women.

3.2. Association between Consumption of Fish and Shellfish and BMD

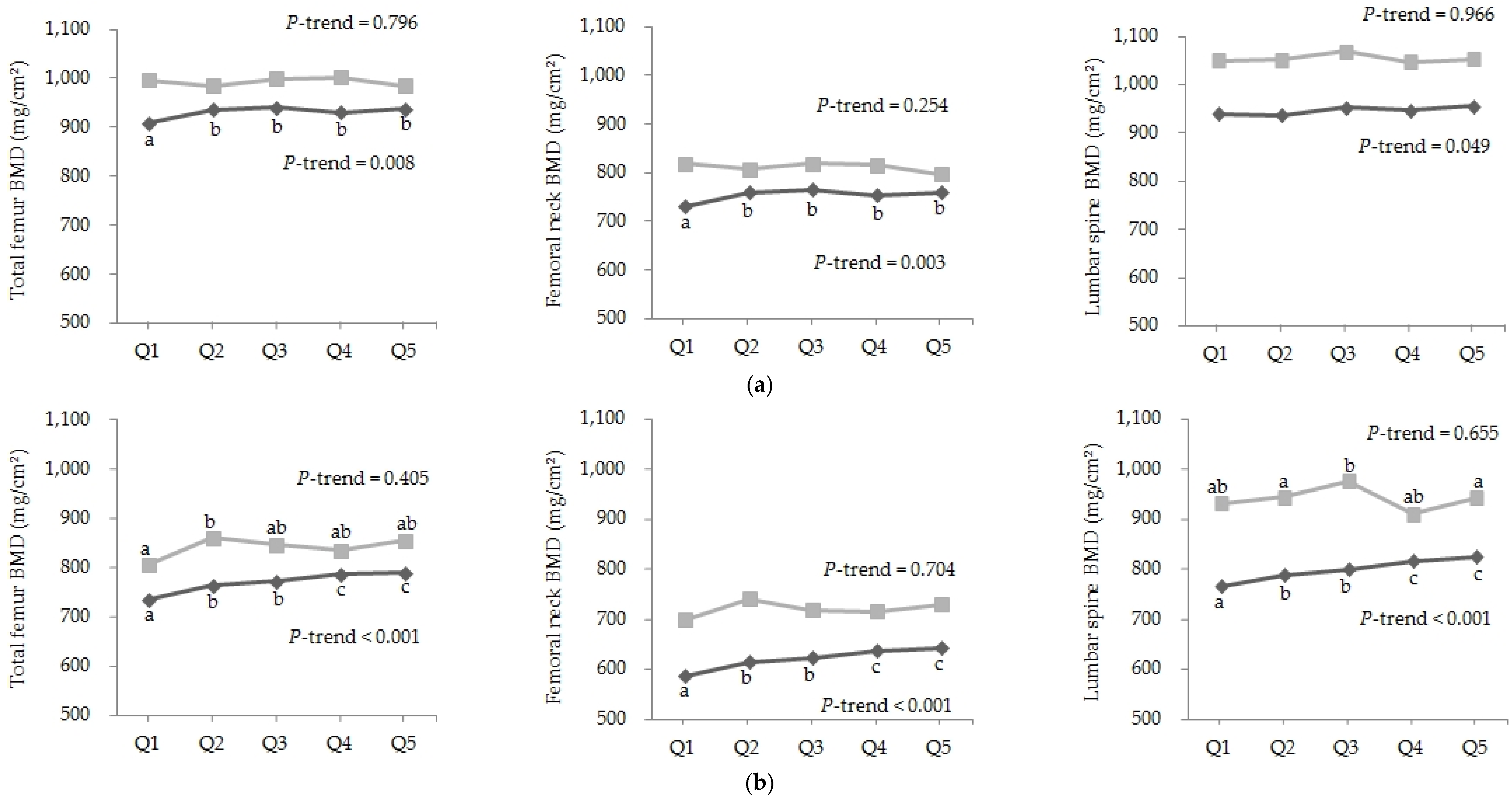
There was a positive correlation between the consumption of fish and shellfish and BMD of total femur, femoral neck, and lumbar spine in Korean men and postmenopausal women after adjusting for confounding variables (Table 2). However, there was no significant correlation between the consumption of fish and shellfish and BMD in American men or postmenopausal women. Consistently, BMD of total femur, femoral neck, and lumbar spine was significantly and positively associated with each corresponding quintile of consumption of fish and shellfish in Korean men and postmenopausal women (Figure 1). However, there was no significant association between the consumption of fish and shellfish and BMD in American men or postmenopausal women. In Americans, BMD of total femur, femoral neck, and lumbar spine was not significantly associated with the consumption of fish and shellfish. In particular, there were significant dose-dependent associations between intake of fish and shellfish and BMD of total femur, femoral neck, and lumbar spine in Korean postmenopausal women.

3.3. Association between Consumption of Fish and Shellfish and Risk of Osteoporosis

Multivariate logistic regression analysis showed a significant association between intake of fish and shellfish and the risk of osteoporosis in Korean men and postmenopausal women before and after adjustment for confounding variables (Table 3). In American postmenopausal women, the consumption of fish and shellfish was associated with a lower risk of osteoporosis in Model 1 using crude data and in Model 2, where the data were adjusted for BMI, regular exercise, and intake of calcium. However, this association was not seen after adjustment for BMI, regular exercise, intake of calcium, smoking state, family history of osteoporosis or fracture, and medical history of rheumatoid arthritis in Model 3. In American men, there was no association between the consumption of fish and shellfish and the risk of osteoporosis in all models.

4. Discussion

The present study showed that the consumption of fish and shellfish was positively associated with bone mass and negatively associated with the risk of osteoporosis in Korean men and postmenopausal women ≥50 years old but not in Americans. Previous epidemiologic studies have consistently reported the beneficial effect of seafood [20] and fish [11,29] on BMD in Asian populations. However, the majority of studies conducted in Americans reported no association between fish intake and BMD [12,18]. The Framingham Osteoporosis Study also showed that fish intake was not associated with BMD, but BMD was significantly higher in the group consuming ≥340 g/week of dark fish compared to those consuming <113 g/week [18]. Dark fish is known to contain more n-3 PUFAs than other fish [19].
Consistent with the present study, previous studies have reported that the effect of fish/seafood on BMD was different between Asian and American populations. The inconsistencies may be related to the heterogeneity of the populations. Another possible explanation could be the difference in fish intake between Asians and Americans. Regarding BMD, effective intake of fish/seafood was 250–833 g/week in an Asian population [11,20,29]. The KNHANES 2010 reported that the average intake of fish and shellfish was ~353 g/week in elderly Koreans [30], and the present study showed that the average intake of fish and shellfish was 5.8 times/week. On the other hand, the NHANES 2005–2010 reported that the average intake of fish and shellfish was ~158 g/week in Americans [21], and the Cardiovascular Health Study also showed that the average fish intake was 113.5 g/week in American elderly [12]. Additionally, the present study reported that the average intake of fish and shellfish was 1.3 times/week in American men and postmenopausal women ≥50 years old. Intake of fish and shellfish between quintile 1 and 2 in the KNHANES was similar to those between quintile 3 and 5 in the NHANES, which could explain the different effect of fish and shellfish on bone health. Finally, inconsistencies between Korean and American populations may be related to the cooking methods of fish and shellfish. The common method of cooking is frying in the Western population [31], while it is boiling or steaming in Korea [32]. Frying fish and shellfish decreased n-3 PUFA content as compared with boiling or steaming fish.
Epidemiologic studies have reported that intake of n-3 PUFA was positively associated with BMD in a Japanese population, whose average intake of n-3 PUFA was 2.7 g/day [9], but this was not the case in an American population, whose n-3 PUFA consumption was 0.15–0.5 g/day [12,18,33]. Nawata et al. [9] also showed that n-3 PUFA intake was positively associated with serum N-terminal propeptide of type I collagen, a biomarker of bone formation, and negatively associated with urinary type-I collagen cross-linked-N-telopeptide (NTx), a biomarker of bone resorption, in a Japanese population. In addition, a diet rich in α-linolenic acid (18:3n3) was found to decrease the serum concentrations of NTx and tumor necrosis factor-α (TNF-α) compared to an average American diet [34]. Reduction of TNF-α induced by n-3 PUFA can decrease prostaglandin E2 formation, which stimulates the differentiation of osteoclast and bone formation through increased production of insulin-like growth factor, a powerful growth stimulator of bone and muscle [35]. N-3 PUFAs have also been shown to enhance calcium absorption [7] and reduce urinary calcium excretion [8].
In addition to bone mass, the risk of osteoporosis has been shown to be negatively associated with the consumption of fish in Chinese postmenopausal women [11]. An animal study also reported that reduction of BMD was significantly lower in ovariectomized (OVX) mice fed fish oil than in OVX mice fed corn oil [5]. Additionally, treatment with EPA and/or DHA inhibited nuclear factor-kappa B, which regulates osteoclast formation in bone marrow cell-derived macrophages [5], suggesting that n-3 PUFAs protect against osteoporosis. The present study showed that Korean men and women consumed fish and shellfish an average of ≥49.5 times/month, and this level of consumption was associated with a lower risk of osteoporosis, while American men and women consumed fish and shellfish an average of ≤3.6 times/month, a level that was not associated with decreased risk of osteoporosis.
Consistent with studies on BMD and the risk of osteoporosis, epidemiologic studies have reported inconsistent results regarding the effects of seafood, fish, and n-3 PUFA on hip fracture. The risk of hip fracture was lower in Chinese men and women consuming ≥502 g/week of fish and shellfish than in those consuming <61 g/week [10]. However, there was no association between the risk of hip fracture and seafood/fish intake in Europeans, whose average consumption of fish and shellfish was 140 g/week [36], or in Americans, whose average consumption of fish was 77–224 g/week [12,13,15].
This study had a few limitations. First, because of the cross-sectional study design, it was unable to establish a cause-effect relationship between bone health and the consumption of fish and shellfish. Second, the consumption of fish and shellfish was estimated by qualitative FFQ without portion size. Third, the present study did not included the intake of calcium, vitamin D and other nutrients related to bone health in the statistical model because all of the nutrients were associated with BMD with p-value ≤ 0.25 in bivariate analyses. Finally, the blood level of vitamin D was not included in the study due to the lack of such data in the KNHANES. Fish, particularly dark fish, is the major dietary source of both n-3 PUFA and vitamin D, which have been shown to be negatively associated with the risk of osteoporosis and positively associated with BMD. Previously, Park et al. [37] observed that the serum level of 25-hydroxyvitamin D was positively associated with tissue level of n-3 PUFA, suggesting that intake of fish is not only a contributor to n-3 PUFA, but also to vitamin D.

5. Conclusions

The present study found a positive association between the consumption of fish and shellfish and bone health among men and postmenopausal women ≥50 years old in Koreans but not in Americans. Further research is needed to determine the effective intake of fish and shellfish on BMD and the risk of osteoporosis in populations with different genetic backgrounds.

Acknowledgments

The present study was supported by a Korean Research Foundation grant funded by the Korean Government (grant No. 015R1D1A1A09060823).

Author Contributions

E.C. performed statistical analysis and wrote the paper. Y.P. designed the study and reviewed the paper.

Conflicts of Interest

The authors declare no conflicts of interest.

References

  1. Riggs, B.L.; Melton, L.J., 3rd. The worldwide problem of osteoporosis: Insights afforded by epidemiology. Bone 1995, 17, 505S–511S. [Google Scholar] [PubMed]
  2. Cashman, K.D. Diet, nutrition, and bone health. J. Nutr. 2007, 137, 2507S–2512S. [Google Scholar] [PubMed]
  3. Park, H.; Heo, J.; Park, Y. Calcium from plant sources is beneficial to lowering the risk of osteoporosis in postmenopausal korean women. Nutr. Res. 2011, 31, 27–32. [Google Scholar] [CrossRef] [PubMed]
  4. Moon, H.; Kim, T.; Byun, D.; Park, Y. Positive correlation between erythrocyte levels of n-3 polyunsaturated fatty acids and bone mass in postmenopausal korean women with osteoporosis. Ann. Nutr. Metab. 2012, 60, 146–153. [Google Scholar] [CrossRef] [PubMed]
  5. Tartibian, B.; Hajizadeh, M.B.; Kanaley, J.; Sadeghi, K. Long-term aerobic exercise and omega-3 supplementation modulate osteoporosis through inflammatory mechanisms in post-menopausal women: a randomized, repeated measures study. Nutr. Metab. (Lond.) 2011, 8, 71. [Google Scholar]
  6. Caughey, G.E.; Mantzioris, E.; Gibson, R.A.; Cleland, L.G.; James, M.J. The effect on human tumor necrosis factor alpha and interleukin 1 beta production of diets enriched in n-3 fatty acids from vegetable oil or fish oil. Am. J. Clin. Nutr. 1996, 63, 116–122. [Google Scholar] [PubMed]
  7. Coetzer, H.; Claassen, N.; van Papendorp, D.H.; Kruger, M.C. Calcium transport by isolated brush border and basolateral membrane vesicles: Role of essential fatty acid supplementation. Prostaglandins Leukot. Essent. Fatty Acids 1994, 50, 257–266. [Google Scholar] [CrossRef]
  8. Baggio, B.; Budakovic, A.; Nassuato, M.A.; Vezzoli, G.; Manzato, E.; Luisetto, G.; Zaninotto, M. Plasma phospholipid arachidonic acid content and calcium metabolism in idiopathic calcium nephrolithiasis. Kidney Int. 2000, 58, 1278–1284. [Google Scholar] [CrossRef] [PubMed]
  9. Nawata, K.; Yamauchi, M.; Takaoka, S.; Yamaguchi, T.; Sugimoto, T. Association of n-3 polyunsaturated fatty acid intake with bone mineral density in postmenopausal women. Calcif. Tissue Int. 2013, 93, 147–154. [Google Scholar] [CrossRef] [PubMed]
  10. Fan, F.; Xue, W.; Wu, B.; He, M.; Xie, H.; Ouyang, W.; Tu, S.; Chen, Y. Higher fish intake is associated with a lower risk of hip fractures in chinese men and women: A matched case-control study. PLoS ONE 2013, 8, e56849. [Google Scholar] [CrossRef] [PubMed]
  11. Chen, Y.; Ho, S.; Lam, S. Higher sea fish intake is associated with greater bone mass and lower osteoporosis risk in postmenopausal chinese women. Osteoporos. Int. 2010, 21, 939–946. [Google Scholar] [CrossRef] [PubMed]
  12. Virtanen, J.; Mozaffarian, D.; Cauley, J.; Mukamal, K.; Robbins, J.; Siscovick, D. Fish consumption, bone mineral density, and risk of hip fracture among older adults: The cardiovascular health study. J. Bone Miner. Res. 2010, 25, 1972–1979. [Google Scholar] [CrossRef] [PubMed]
  13. Orchard, T.S.; Cauley, J.A.; Frank, G.C.; Neuhouser, M.L.; Robinson, J.G.; Snetselaar, L.; Tylavsky, F.; Wactawski-Wende, J.; Young, A.M.; Lu, B.; et al. Fatty acid consumption and risk of fracture in the women’s health initiative. Am. J. Clin. Nutr. 2010, 92, 1452–1460. [Google Scholar] [PubMed]
  14. Farina, E.; Kiel, D.; Roubenoff, R.; Schaefer, E.; Cupples, L.; Tucker, K. Dietary intakes of arachidonic acid and α-linolenic acid are associated with reduced risk of hip fracture in older adults. J. Nutr. 2011, 141, 1146–1153. [Google Scholar] [CrossRef] [PubMed]
  15. Virtanen, J.K.; Mozaffarian, D.; Willett, W.C.; Feskanich, D. Dietary intake of polyunsaturated fatty acids and risk of hip fracture in men and women. Osteoporos. Int. 2012, 23, 2615–2624. [Google Scholar] [CrossRef] [PubMed]
  16. Martinez-Ramirez, M.J.; Palma, S.; Martinez-Gonzalez, M.A.; Delgado-Martinez, A.D.; de la Fuente, C.; Delgado-Rodriguez, M. Dietary fat intake and the risk of osteoporotic fractures in the elderly. Eur. J. Clin. Nutr. 2007, 61, 1114–1120. [Google Scholar] [CrossRef] [PubMed]
  17. Benetou, V.; Orfanos, P.; Pettersson-Kymmer, U.; Bergstrom, U.; Svensson, O.; Johansson, I.; Berrino, F.; Tumino, R.; Borch, K.B.; Lund, E.; et al. Mediterranean diet and incidence of hip fractures in a european cohort. Osteoporos. Int. 2013, 24, 1587–1598. [Google Scholar] [CrossRef] [PubMed]
  18. Farina, E.K.; Kiel, D.P.; Roubenoff, R.; Schaefer, E.J.; Cupples, L.A.; Tucker, K.L. Protective effects of fish intake and interactive effects of long-chain polyunsaturated fatty acid intakes on hip bone mineral density in older adults: The framingham osteoporosis study. Am. J. Clin. Nutr. 2011, 93, 1142–1151. [Google Scholar] [CrossRef] [PubMed]
  19. Mahaffey, K.R. Fish and shellfish as dietary sources of methylmercury and the ω-3 fatty acids, eicosahexaenoic acid and docosahexaenoic acid: Risks and benefits. Environ. Res. 2004, 95, 414–428. [Google Scholar] [CrossRef] [PubMed]
  20. Zalloua, P.A.; Hsu, Y.H.; Terwedow, H.; Zang, T.; Wu, D.; Tang, G.; Li, Z.; Hong, X.; Azar, S.T.; Wang, B.; et al. Impact of seafood and fruit consumption on bone mineral density. Maturitas 2007, 56, 1–11. [Google Scholar] [CrossRef] [PubMed]
  21. Jahns, L.; Raatz, S.; Johnson, L.; Kranz, S.; Silverstein, J.; Picklo, M. Intake of seafood in the us varies by age, income, and education level but not by race-ethnicity. Nutrients 2014, 6, 6060–6075. [Google Scholar] [CrossRef] [PubMed]
  22. Lee, K.; Lee, J.; Lee, J.; Park, K.; Kim, S.; Shim, W.; Hong, S.; Im, U.; Giesy, J.; Oh, J. Human exposure to dioxin-like compounds in fish and shellfish consumed in south korea. Hum. Ecol. Risk Assess. 2007, 13, 223–235. [Google Scholar] [CrossRef]
  23. USDA National Nutrient Database for Standard Reference, Release 22. Available online: http://www.ars.usda.gov/Services/docs.htm?docid=20960 (accessed on 13 December 2015).
  24. USDA National Nutrient Database for Standard Reference, Release 24. Available online: http://www.ars.usda.gov/Services/docs.htm?docid=22808 (accessed on 13 December 2015).
  25. National rural resources development institute; Rural developoment administration. Food Composition Tables, 7th ed.; National Rural Resources Development Institute: Suwon, Korea, 2006. [Google Scholar]
  26. Kanis, J.A.; Delmas, P.; Burckhardt, P.; Cooper, C.; Torgerson, D. Guidelines for diagnosis and management of osteoporosis. The european foundation for osteoporosis and bone disease. Osteoporos. Int. 1997, 7, 390–406. [Google Scholar] [CrossRef] [PubMed]
  27. Cosman, F.; de Beur, S.; LeBoff, M.; Lewiecki, E.; Tanner, B.; Randall, S.; Lindsay, R. Clinician’s guide to prevention and treatment of osteoporosis. Osteoporos. Int. 2014, 25, 2359–2381. [Google Scholar] [CrossRef] [PubMed]
  28. Kanis, J.; McCloskey, E.; Johansson, H.; Oden, A.; Ström, O.; Borgström, F. Development and use of frax® in osteoporosis. Osteoporos. Int. 2010, 21, 407–413. [Google Scholar] [CrossRef] [PubMed]
  29. Chan, R.; Woo, J.; Leung, J. Effects of food groups and dietary nutrients on bone loss in elderly chinese population. J. Nutr. Health Aging 2011, 15, 287–294. [Google Scholar] [CrossRef] [PubMed]
  30. Korea Centers for Disease Control and Prevention. Korea Health Statistics 2010: Korea National Health and Nutrition Examination Survey (KNHANES V-1); Ministry of Health and Welfare: Seoul, Korea, 2012. [Google Scholar]
  31. Candela, M.; Astiasaran, I.; Bello, J. Deep-fat frying modifies high-fat fish lipid fraction. J. Agric. Food Chem. 1998, 46, 2793–2796. [Google Scholar] [CrossRef]
  32. Kim, S.; Moon, S.; Popkin, B.M. The nutrition transition in south korea. Am. J. Clin. Nutr. 2000, 71, 44–53. [Google Scholar] [PubMed]
  33. Mangano, K.; Kerstetter, J.; Kenny, A.; Insogna, K.; Walsh, S. An investigation of the association between omega 3 fa and bone mineral density among older adults: Results from the national health and nutrition examination survey years 2005–2008. Osteoporos. Int. 2014, 25, 1033–1041. [Google Scholar] [CrossRef] [PubMed]
  34. Griel, A.E.; Kris-Etherton, P.M.; Hilpert, K.F.; Zhao, G.; West, S.G.; Corwin, R.L. An increase in dietary n-3 fatty acids decreases a marker of bone resorption in humans. Nutr. J. 2007, 6. [Google Scholar] [CrossRef] [PubMed]
  35. Liu, D.; Veit, H.P.; Denbow, D.M. Effects of long-term dietary lipids on mature bone mineral content, collagen, crosslinks, and prostaglandin e2 production in japanese quail. Poult. Sci. 2004, 83, 1876–1883. [Google Scholar] [CrossRef] [PubMed]
  36. Benetou, V.; Orfanos, P.; Zylis, D.; Sieri, S.; Contiero, P.; Tumino, R.; Giurdanella, M.; Peeters, P.; Linseisen, J.; Nieters, A.; et al. Diet and hip fractures among elderly europeans in the epic cohort. Eur. J. Clin. Nutr. 2011, 65, 132–139. [Google Scholar] [PubMed]
  37. Park, Y.; Kim, M. Serum 25-hydroxyvitamin D concentrations are associated with erythrocyte levels of n-3 PUFA but not risk of CVD. Br. J. Nutr. 2011, 106, 1529–1534. [Google Scholar] [CrossRef] [PubMed]
Figure 1. Association between bone mineral density (BMD) and quintile (Q) of the consumption of fish and shellfish (times/month) in men ≥50 years old (a) and postmenopausal women ≥50 years old (b) from the Korean National Health and Nutrition Examination Survey (KNHANES, Nutrients 08 00113 i001) and National Health and Nutrition Examination Survey (NHANES, Nutrients 08 00113 i002). Q1 (4.2), Q2 (10.9), Q3 (19.3), Q4 (30.4), Q5 (49.7) in men of KNHANES; Q1 (0), Q2 (1.5), Q3 (3.5), Q4 (5.8), Q5 (12.2) in men of NHANES; Q1 (3.1), Q2 (8.5), Q3 (16.6), Q4 (28.3), Q5 (49.3) in women of KNHANES; and Q1 (0), Q2 (1.5), Q3 (3.6), Q4 (6.0), Q5 (11.9) in women of NHANES. Values with different letters are significantly different with a p-value < 0.05 (ANCOVA with Bonferroni’s post hoc test).
Figure 1. Association between bone mineral density (BMD) and quintile (Q) of the consumption of fish and shellfish (times/month) in men ≥50 years old (a) and postmenopausal women ≥50 years old (b) from the Korean National Health and Nutrition Examination Survey (KNHANES, Nutrients 08 00113 i001) and National Health and Nutrition Examination Survey (NHANES, Nutrients 08 00113 i002). Q1 (4.2), Q2 (10.9), Q3 (19.3), Q4 (30.4), Q5 (49.7) in men of KNHANES; Q1 (0), Q2 (1.5), Q3 (3.5), Q4 (5.8), Q5 (12.2) in men of NHANES; Q1 (3.1), Q2 (8.5), Q3 (16.6), Q4 (28.3), Q5 (49.3) in women of KNHANES; and Q1 (0), Q2 (1.5), Q3 (3.6), Q4 (6.0), Q5 (11.9) in women of NHANES. Values with different letters are significantly different with a p-value < 0.05 (ANCOVA with Bonferroni’s post hoc test).
Nutrients 08 00113 g001
Table 1. Baseline characteristics of men and postmenopausal women ≥50 years old in the KNHANES and the NHANES 1.
Table 1. Baseline characteristics of men and postmenopausal women ≥50 years old in the KNHANES and the NHANES 1.
Menp-ValueWomenp-Value
KNHANES (N = 3182)NHANES (N = 1435)KNHANES (N = 3972)NHANES (N = 1223)
Age (year)60.94 ± 0.2060.50 ± 0.230.17163.54 ± 0.2062.59 ± 0.280.008
BMI (kg/m2)23.82 ± 0.0728.40 ± 0.21<0.00124.22 ± 0.0627.97 ± 0.20<0.001
Alcohol use, n (%)2371 (78.0)1134 (82.8)<0.0011736 (45.8)671 (63.2)<0.001
Smoking state, n (%)1014 (35.5)280 (29.8)0.019169 (4.7)169 (31.8)<0.001
Regular exercise, n (%)1582 (51.2)295 (23.0)<0.0011467 (37.2)141 (13.3)<0.001
Bone mineral density (mg/cm2)
 Total femur932.43 ± 2.841007.68 ± 5.68<0.001771.66 ± 2.48843.18 ± 4.80<0.001
 Femoral neck754.94 ± 2.57819.10 ± 4.20<0.001621.41 ± 2.24721.84 ± 3.59<0.001
 Lumbar spine945.62 ± 3.301061.88 ± 6.68<0.001799.04 ± 2.76940.97 ± 5.55<0.001
Dietary intake
 Fish and shellfish (times/month)23.90 ± 0.405.07 ± 0.20<0.00122.01 ± 0.415.29 ± 0.24<0.001
 Protein (g/day)74.96 ± 0.8690.33 ± 1.70<0.00151.81 ± 0.5766.42 ± 0.82<0.001
 Sodium (mg/day)5573.56 ± 80.203781.15 ± 76.47<0.0013806.92 ± 56.982834.24 ± 52.11<0.001
 Calcium (mg/day)559.34 ± 8.46999.35 ± 23.56<0.001420.19 ± 7.77869.8 ± 21.72<0.001
Family history, n (%)372 (13.1)135 (13.2)0.908637 (16.0)179 (20.4)0.010
Medical history, n (%)
 Thyroid disease48 (1.4)66 (4.9)<0.001297 (7.4)254 (22.3)<0.001
 Rheumatoid arthritis45 (1.2)95 (5.2)<0.001221 (5.5)121 (7.3)0.054
 Osteoporosis267 (6.9)88 (5.4)0.098568 (21.7)279 (23.5)0.323
KNHANES, Korean National Health and Nutrition Examination Survey; NHANES, National Health and Nutrition Examination Survey; BMI, body mass index; regular exercise, more than 90 min per week; family history, parents had osteoporosis or fracture; 1 Values are mean ± standard deviation or number of subjects (percentage distribution), as appropriate.
Table 2. Correlation coefficients between bone mineral densities of total femur, femoral neck, and lumbar spine and the consumption of fish and shellfish 1.
Table 2. Correlation coefficients between bone mineral densities of total femur, femoral neck, and lumbar spine and the consumption of fish and shellfish 1.
Men ≥50 Years OldPostmenopausal Women ≥50 Years Old
KNHANES (N = 3182)NHANES (N = 1435)KNHANES (N = 3972)NHANES (N = 1223)
Total femur0.0748 ***-0.02750.1611 ***0.0754
Femoral neck0.0768 ***−0.00020.1806 ***0.0697
Lumbar spine0.0465 **-0.01240.1630 ***0.0249
KNHANES, Korean National Health and Nutrition Examination Survey; NHANES, National Health and Nutrition Examination Survey; 1Partial correlation coefficient after adjusting for BMI, regular exercise, intake of calcium, smoking state, family history of osteoporosis or fracture, and medical history of rheumatoid arthritis; * p < 0.05, ** p < 0.01, *** p < 0.001.
Table 3. Multivariate-adjusted odds ratios and 95% confidence intervals for the risk of osteoporosis according to the consumption of fish and shellfish 1.
Table 3. Multivariate-adjusted odds ratios and 95% confidence intervals for the risk of osteoporosis according to the consumption of fish and shellfish 1.
Quintiles of Consumption of Fish and Shellfish (Times/Month)
Q1Q2Q3Q4Q5p for Trend 2
Men ≥50 years old
Average intake in KNHANES4.210.919.330.449.7
Model 11.000.74 (0.49–1.12)0.53 (0.33–0.85)0.52 (0.32–0.83)0.25 (0.15–0.42)<0.001
Model 21.000.92 (0.58–1.45)0.68 (0.42–1.12)0.69 (0.42–1.15)0.35 (0.20–0.59)<0.001
Model 31.000.95 (0.60–1.49)0.70 (0.42–1.16)0.71 (0.43–1.18)0.37 (0.20–0.60)<0.001
Average intake in NHANES0.01.53.55.812.2
Model 11.000.51 (0.26–1.01)0.83 (0.39–1.75)1.08 (0.50–2.35)0.53 (0.21–1.35)0.722
Model 21.000.61 (0.30–1.21)1.15 (0.52–2.56)1.31 (0.55–3.12)0.68 (0.27–1.73)0.958
Model 31.000.43 (0.16–1.16)0.90 (0.30–2.72)1.12 (0.43–2.89)0.57 (0.15–2.12)0.999
Postmenopausal women ≥50 years old
Average intake in KNHANES3.18.516.628.349.3
Model 11.000.59 (0.47–0.74)0.53 (0.41–0.69)0.41 (0.32–0.52)0.34 (0.26–0.45)<0.001
Model 21.000.63 (0.49–0.80)0.52 (0.40–0.68)0.42 (0.32–0.54)0.35 (0.26–0.47)<0.001
Model 31.000.63 (0.49–0.80)0.55 (0.42–0.71)0.43 (0.33–0.56)0.36 (0.28–0.50)<0.001
Average intake in NHANES0.01.53.66.011.9
Model 11.000.87 (0.50–1.51)0.57 (0.32–1.03)0.69 (0.40–1.17)0.57 (0.36–0.90)0.025
Model 21.000.89 (0.51–1.53)0.56 (0.31–1.03)0.69 (0.39–1.21)0.56 (0.35–0.89)0.022
Model 31.000.93 (0.48–1.79)0.61 (0.34–1.06)0.71 (0.35–1.45)0.61 (0.38–1.00)0.065
KNHANES, Korean National Health and Nutrition Examination Survey; NHANES, National Health and Nutrition Examination Survey; 1 Adjusted odds ratios were determined by multiple logistic regression analysis; Model 1: crude; Model 2: adjusted for BMI, regular exercise, and intake of calcium; Model 3: adjusted for BMI, regular exercise, intake of calcium, smoking state, family history of osteoporosis or fracture, and medical history of rheumatoid arthritis; 2 Likelihood ratio test was used for detection of trends.

Share and Cite

MDPI and ACS Style

Choi, E.; Park, Y. The Association between the Consumption of Fish/Shellfish and the Risk of Osteoporosis in Men and Postmenopausal Women Aged 50 Years or Older. Nutrients 2016, 8, 113. https://doi.org/10.3390/nu8030113

AMA Style

Choi E, Park Y. The Association between the Consumption of Fish/Shellfish and the Risk of Osteoporosis in Men and Postmenopausal Women Aged 50 Years or Older. Nutrients. 2016; 8(3):113. https://doi.org/10.3390/nu8030113

Chicago/Turabian Style

Choi, Eunjin, and Youngsoon Park. 2016. "The Association between the Consumption of Fish/Shellfish and the Risk of Osteoporosis in Men and Postmenopausal Women Aged 50 Years or Older" Nutrients 8, no. 3: 113. https://doi.org/10.3390/nu8030113

APA Style

Choi, E., & Park, Y. (2016). The Association between the Consumption of Fish/Shellfish and the Risk of Osteoporosis in Men and Postmenopausal Women Aged 50 Years or Older. Nutrients, 8(3), 113. https://doi.org/10.3390/nu8030113

Note that from the first issue of 2016, this journal uses article numbers instead of page numbers. See further details here.

Article Metrics

Back to TopTop