Zinc Supplementation Alters Plasma Aluminum and Selenium Status of Patients Undergoing Dialysis: A Pilot Study
Abstract
:1. Introduction
2. Experimental Section
2.1. Patients
2.2. Biochemical Analyses
2.3. Determination of Al, Zn, and Se
2.4. Measurement of Plasma Oxidative Stress
2.5. ROS Concentrations in Isolated PBMCs
2.6. Measurement of Plasma Antioxidant Enzyme Activities
2.7. Statistical Analysis
3. Results
3.1. Clinical Results
| HA Group Patients ( n = 24) | MA Group Patients ( n = 20) | Healthy Subjects ( n = 25) | |
|---|---|---|---|
| Basic clinical characteristics | |||
| Age (years) | 53 ± 6 | 55 ± 7 | 53 ± 7 |
| Gender (M/F) | 9/15 | 8/12 | 9/16 |
| Dialysis modality (CAPD/HD) | 19/5 | 15/5 | - |
| Dialysis duration (years) | 5 ± 2 | 6 ± 1 | - |
| Body mass index, BMI (kg/m2) | 22 ± 3 | 22 ± 2 | 24 ±3 |
| BUN (mg/dL) | 52 (41–74) b | 56 (40–78) b | 20 (12–26) a |
| Creatinine (mg/dL) | 11 (9–13) b | 11 (10–12) b | 2 (2–3) a |
| Albumin (mg/dL) | 3.2 ± 0.3 a | 3.3 ± 0.4 a | 4.8 ± 0.5 b |
| Hemoglobin (gm%) | 9.2 ± 1.1 a | 10.0 ± 1.0 b | 16.1 ± 2.1 c |
| nPNA (g/kg/day) | 0.9 ± 0.1 | 1.0 ± 0.3 | - |
| GFR (mL/min/1.73 m2) | 3.6 (3.2–4.4) | 4.0 (3.6–5.3) | - |
| Kt/V (/week) | 2.0 ± 0.4 | 2.1 ± 0.5 | - |
| Essential and non-essential trace metals | |||
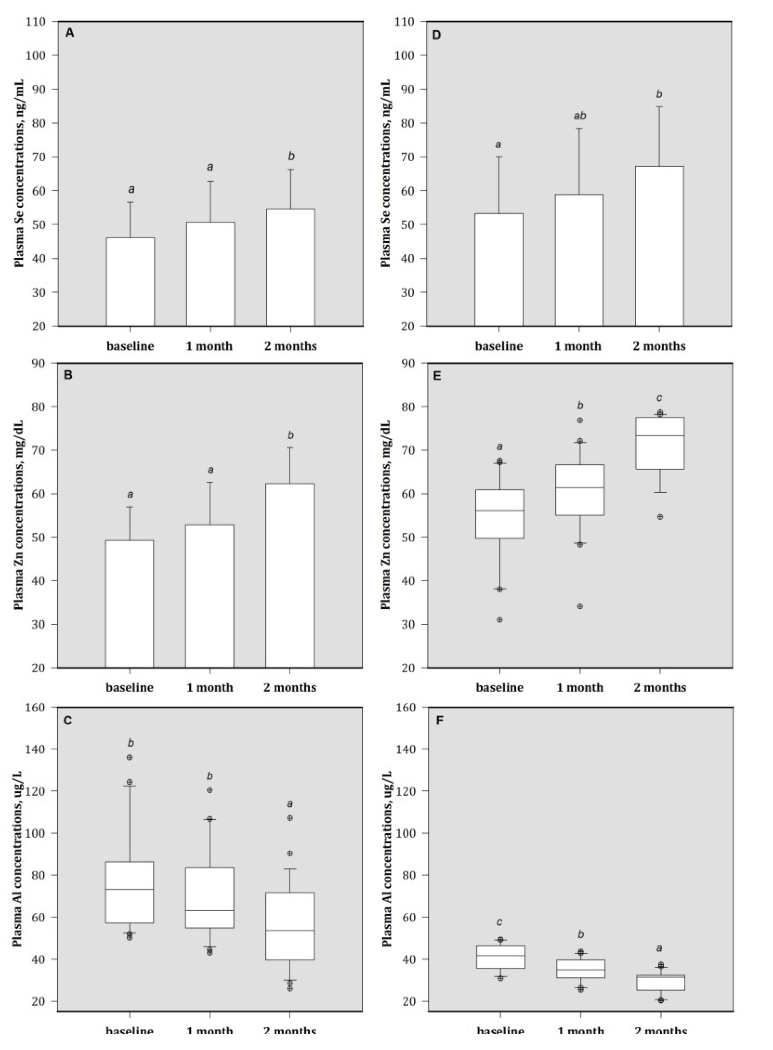
| Zn (mg/dL) | 49.2 ± 7.7 a | 54.2 ± 9.8 a | 98.9 ± 6.4 b |
| Al (μg/L) | 73.3 (57.2–86.3) c | 41.7 (35.5–46.3) b | 25.9 (18.5–27.8) a |
| Se (ng/mL) | 46.1 ± 10.2 a | 53.2 ± 16.9 a | 106.4 ± 12.7 b |
| Oxidant-antioxidant status | |||
| MDA (nmol/L) | 6.9 (6.4–7.7) c | 6.0 (5.4–6.8) b | 2.9 (2.5–3.4) a |
| ROS in PBMCs (pm DCF/mg prteoin) | 315.2 ± 58.1 c | 272.5 ± 77.9 b | 105.3 ± 45.3 a |
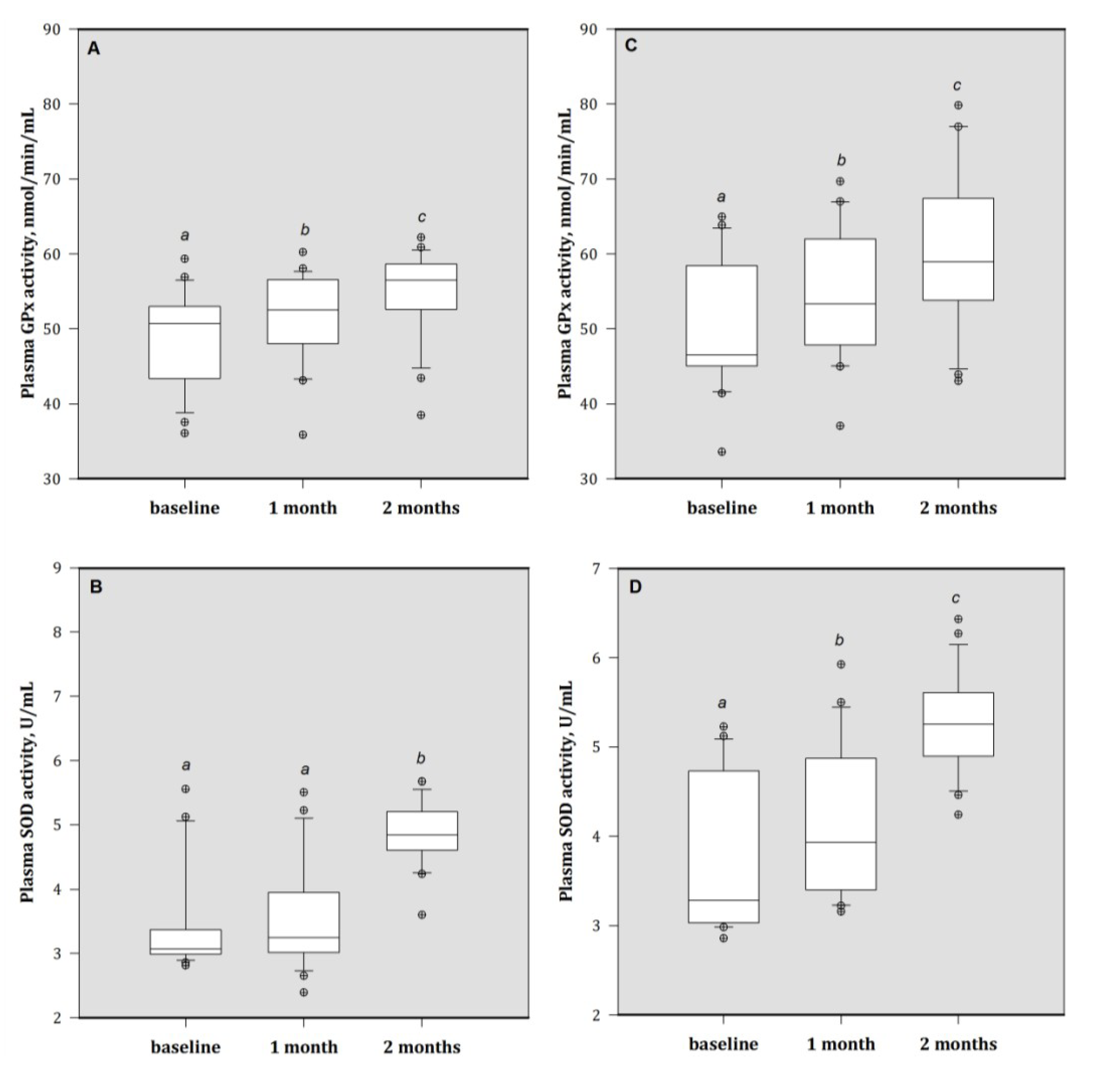
| GPx (nmol/min/mL) | 48.8 ± 6.3 a | 50.5 ± 8.4 a | 85.2 ± 6.1 b |
| SOD (U/mL) | 3.1 (3.0–3.4) a | 3.4 (3.0–4.7) a | 8.3 (7.4–9.1) b |

3.2. Plasma Metal Status

3.3. Oxidative Stress Status


3.4. Correlations between Al, Other Metals, and Oxidative Stress
| HA Group Patients | MA Group Patients | ||||
|---|---|---|---|---|---|
| Zn-MDA | r = −0.49 | r = −0.48 | |||
| Zn-SOD | r = 0.51 | p < 0.05 | r = 0.58 | p < 0.05 | |
| Zn-Al | r = −0.43 | r = −0.50 | |||
| Zn-Se | r = 0.40 | r = 0.52 | |||
| r12.3 = −0.46 | p < 0.05 | r12.3 = −0.45 | p < 0.05 | ||
| r13.2 = 0.29 | p = 0.25 | r13.2 = 0.41 | p = 0.05 | ||
4. Discussion
5. Conclusions
Acknowledgements
Conflict of Interest
References
- Al Wakeel, J.S.; Mitwalli, A.H.; Al Mohaya, S.; Abu-Aisha, H.; Tarif, N.; Malik, G.H.; Hammad, D. Morbidity and mortality in ESRD patients on dialysis. Saudi J. Kidney Dis. Transpl. 2002, 13, 473–477. [Google Scholar]
- Guo, C.H.; Wang, C.L.; Chen, P.C. Micronutrient Metabolism in Hemodialysis Patients. In Hemodialysis-Different Aspects; Maria, G.P., Ed.; InTech: Rijeka, Croatia, 2011; pp. 173–204. [Google Scholar]
- Guo, C.H.; Chen, P.C.; Yeh, M.S.; Hsiung, D.Y.; Wang, C.L. Cu/Zn ratios are associated with nutritional status, oxidative stress, inflammation, and immune abnormalities in patients on peritoneal dialysis. Clin. Biochem. 2011, 44, 275–280. [Google Scholar]
- Guo, C.H.; Wang, C.L.; Chen, P.C.; Yang, T.C. Linkage of some trace elements, peripheral blood lymphocytes, inflammation, and oxidative stress in patients undergoing either hemodialysis or peritoneal dialysis. Perit. Dial. Int. 2011, 31, 583–591. [Google Scholar] [CrossRef]
- Zachara, B.A.; Gromadzinska, J.; Palus, J.; Zbrog, Z.; Swiech, R.; Twardowska, E.; Wasowicz, W. The effect of selenium supplementation in the prevention of DNA damage in white blood cells of hemodialyzed patients: A pilot study. Biol. Trace Elem. Res. 2011, 142, 274–283. [Google Scholar] [CrossRef]
- Fujishima, Y.; Ohsawa, M.; Itai, K.; Kato, K.; Tanno, K.; Turin, T.C.; Onoda, T.; Endo, S.; Okayama, A.; Fujioka, T. Serum selenium levels in hemodialysis patients are significantly lower than those in healthy controls. Blood Purif. 2011, 32, 43–47. [Google Scholar]
- Guo, C.H.; Wang, C.L. Effects of zinc supplementation on plasma copper/zinc ratios, oxidative stress, and immunological status in hemodialysis patients. Int. J. Med. Sci. 2013, 10, 79–89. [Google Scholar]
- Ari, E.; Kaya, Y.; Demir, H.; Asicioglu, E.; Keskin, S. The correlation of serum trace elements and heavy metals with carotid artery atherosclerosis in maintenance hemodialysis patients. Biol. Trace Elem. Res. 2011, 144, 351–359. [Google Scholar]
- Grzegorzewska, A.E.; Mariak, I. Zinc as a marker of nutrition in continuous ambulatory peritoneal dialysis patients. Adv. Perit. Dial. 2001, 17, 223–229. [Google Scholar]
- Yang, C.Y.; Wu, M.L.; Chou, Y.Y.; Li, S.Y.; Deng, J.F.; Yang, W.C.; Ng, Y.Y. Essential trace element status and clinical outcomes in long-term dialysis patients: A two-year prospective observational cohort study. Clin. Nutr. 2012, 31, 630–636. [Google Scholar] [CrossRef]
- Rucker, D.; Thadhani, R.; Tonelli, M. Trace element status in hemodialysis patients. Semin. Dial. 2010, 23, 389–395. [Google Scholar] [CrossRef]
- Tonelli, M.; Wiebe, N.; Hemmelgarn, B.; Klarenbach, S.; Field, C.; Manns, B.; Thadhani, R.; Gill, J. Alberta Kidney Disease Network. Trace elements in hemodialysis patients: A systematic review and meta-analysis. BMC Med. 2009, 7, 25. [Google Scholar] [CrossRef]
- Mazani, M.; Argani, H.; Rashtchizadeh, N.; Ghorbanihaghjo, A.; Hamdi, A.; Asghari Estiar, M.; Nezami, N. Effects of zinc supplementation on antioxidant status and lipid peroxidation in hemodialysis patients. J. Ren. Nutr. 2012. [Google Scholar] [CrossRef]
- Jern, N.A.; VanBeber, A.D.; Gorman, M.A.; Weber, C.G.; Liepa, G.U.; Cochran, C.C. The effects of zinc supplementation on serum zinc concentration and protein catabolic rate in hemodialysis patients. J. Ren. Nutr. 2000, 10, 148–153. [Google Scholar] [CrossRef]
- Mariak, I.; Grzegorzewska, A.E. Serum zinc concentration with reference to other markers of continuous ambulatory peritoneal dialysis patients status. Pol. Merkur. Lek. 2002, 12, 282–287. [Google Scholar]
- Fujishima, Y.; Ohsawa, M.; Itai, K.; Kato, K.; Tanno, K.; Turin, T.C.; Onoda, T.; Endo, S.; Okayama, A.; Fujioka, T. Serum selenium levels are inversely associated with death risk among hemodialysis patients. Nephrol. Dial. Transplant. 2011, 26, 3331–3338. [Google Scholar] [CrossRef]
- Martí del Moral, L.; Agil, A.; Navarro-Alarcón, M.; López-Ga de la Serrana, H.; Palomares-Bayo, M.; Oliveras-López, M.J. Altered serum selenium and uric acid levels and dyslipidemia in hemodialysis patients could be associated with enhanced cardiovascular risk. Biol. Trace Elem. Res. 2011, 144, 496–503. [Google Scholar] [CrossRef]
- Salehi, M.; Sohrabi, Z.; Ekramzadeh, M.; Fallahzadeh, M.K.; Ayatollahi, M.; Geramizadeh, B.; Hassanzadeh, J.; Sagheb, M.M. Selenium supplementation improves the nutritional status of hemodialysis patients: A randomized, double-blind, placebo-controlled trial. Nephrol. Dial. Transplant. 2012. [Google Scholar] [CrossRef]
- Jihen el, H.; Imed, M.; Fatima, H.; Abdelhamid, K. Protective effects of selenium (Se) and zinc (Zn) on cadmium (Cd) toxicity in the liver of the rat: Effects on the oxidative stress. Ecotoxicol. Environ. Saf. 2009, 72, 1559–1564. [Google Scholar]
- Anees, M.; Mumtaz, A.; Frooqi, S.; Ibrahim, M.; Hameed, F. Serum trace elements (Aluminum, Copper, Zinc) in hemodialysis patients. Biomedica 2011, 27, 106–110. [Google Scholar]
- Guo, C.H.; Wang, C.L. Plasma aluminum is a risk factor for oxidative stress and inflammation status in hemodialysis patients. Clin. Biochem. 2011, 44, 1309–1314. [Google Scholar] [CrossRef]
- Guo, C.H.; Huang, C.J.; Chiou, Y.L.; Hsu, G.S. Alteration of trace element distribution and testis ACE activity in mice with high peritoneal aluminum. Biol. Trace Elem. Res. 2002, 86, 145–157. [Google Scholar] [CrossRef]
- Guo, C.H.; Hsu, G.S.; Chuang, C.J.; Chen, P.C. Aluminum accumulation induced testicular oxidative stress and altered selenium metabolism in mice. Environ. Toxicol. Pharmacol. 2009, 27, 176–181. [Google Scholar]
- Viezeliene, D.; Beekhof, P.; Gremmer, E.; Rodovicius, H.; Sadauskiene, I.; Jansen, E.; Ivanov, L. Selective induction of IL-6 by aluminum-induced oxidative stress can be prevented by selenium. J. Trace Elem. Med. Biol. 2012. [Google Scholar] [CrossRef]
- Rawy, S.M.; Seif Al Nassr, F.M. Zinc sulphate and vitamin E alleviate reproductive toxicity caused by aluminium sulphate in male albino rats. Toxicol. Ind. Health. 2013. [Google Scholar] [CrossRef]
- Wang, A.Y.; Sea, M.M.; Ip, R.; Law, M.C.; Chow, K.M.; Lui, S.F.; Li, P.K.; Woo, J. Independent effects of residual renal function and dialysis adequacy on dietary micronutrient intakes in patients receiving continuous ambulatory peritoneal dialysis. Am. J. Clin. Nutr. 2002, 76, 569–576. [Google Scholar]
- Levey, A.S.; Bosch, J.P.; Lewis, J.B.; Greene, T.; Rogers, N.; Roth, D. A more accurate method to estimate glomerular filtration rate from serum creatinine: A new prediction equation. Ann. Intern. Med. 1999, 130, 461–470. [Google Scholar]
- Hsu, G.S.W.; Hsu, C.Y. The relationship between high maternal aluminum ingestion and anemia-related hematologic changes in rats. Asia Pac. J. Clin. Nutr. 1994, 3, 9–13. [Google Scholar]
- Norheim, G.; Haugen, A. Precise determination of selenium in tissues using auto-mated wet digestion and an automated hydride generator-atomic absorption spectroscopy system. Acta Pharmacol. Toxicol. 1986, 59 (Suppl. VII), 610–612. [Google Scholar] [CrossRef]
- Eggert, J.V.; Siegler, R.L.; Edomkesmalee, E. Zinc supplementation in chronic renal failure. Int. J. Pediatr. Nephrol. 1982, 3, 21–24. [Google Scholar]
- Chevalier, C.A.; Liepa, G.; Murphy, M.D.; Suneson, J.; Vanbeber, A.D.; Gorman, M.A.; Cochran, C. The effects of zinc supplementation on serum zinc and cholesterol concentrations in hemodialysis patients. J. Ren. Nutr. 2002, 12, 183–189. [Google Scholar] [CrossRef]
- Roozbeh, J.; Hedayati, P.; Sagheb, M.M.; Sharifian, M.; Hamidian, J.A.; Shaabani, S.; Jalaeian, H.; Raeisjalali, G.A.; Behzadi, S. Effect of zinc supplementation on triglyceride, cholesterol, LDL, and HDL levels in zinc-deficient hemodialysis patients. Ren. Fail. 2009, 31, 798–801. [Google Scholar]
- Foster, M.; Petocz, P.; Samman, S. Effects of zinc on plasma lipoprotein cholesterol concentrations in humans: A meta-analysis of randomised controlled trials. Atherosclerosis 2010, 210, 344–352. [Google Scholar] [CrossRef]
- Rashidi, A.A.; Salehi, M.; Piroozmand, A.; Sagheb, M.M. Effects of zinc supplementation on serum zinc and C-reactive protein concentrations in hemodialysis patients. J. Ren. Nutr. 2009, 19, 475–478. [Google Scholar] [CrossRef]
- Apostolidis, N.S.; Panoussopoulos, D.G.; Stamou, K.M.; Kekis, P.B.; Paradellis, T.P.; Karydas, A.G.; Zarkadas, C.; Zirogiannis, P.N.; Manouras, A.J. Selenium metabolism in patients on continuous ambulatory peritoneal dialysis. Perit. Dial. Int. 2002, 22, 400–404. [Google Scholar]
- Johnson-Davis, K.L.; Fernelius, C.; Eliason, N.B.; Wilson, A.; Beddhu, S.; Roberts, W.L. Blood enzymes and oxidative stress in chronic kidney disease: A cross sectional study. Ann. Clin. Lab. Sci. 2011, 41, 331–339. [Google Scholar]
- Pakfetrat, M.; Malekmakan, L.; Hasheminasab, M. Diminished selenium levels in hemodialysis and continuous ambulatory peritoneal dialysis patients. Biol. Trace Elem. Res. 2010, 137, 335–339. [Google Scholar] [CrossRef]
- Patrick, L. Selenium biochemistry and cancer: A review of the literature. Altern. Med. Rev. 2004, 9, 239–258. [Google Scholar]
- Avissar, N.; Ornt, D.B.; Yagil, Y.; Horowitz, S.; Watkins, R.H.; Kerl, E.A.; Takahashi, K.; Palmer, I.S.; Cohen, H.J. Human kidney proximal tubules are the main source of plasma glutathione peroxidase. Am. J. Physiol. 1994, 266, C367–C375. [Google Scholar]
- Christie, M.; Lavergne, V.; Sikaneta, T.; Hue, C.S.; Taskapan, H.; Tam, P.W.; Ayoub, P.; Ting, R.; Leblanc, D.; Ghannoum, M. Hyperaluminemia during long-term dialysis: Still relevant today. Am. J. Kidney Dis. 2011, 58, 861–863. [Google Scholar]
- Viezeliene, D.; Jansen, E.; Rodovicius, H.; Kasauskas, A.; Ivanov, L. Protective effect of selenium on aluminium-induced oxidative stress in mouse liver in vivo. Environ. Toxicol. Pharmacol. 2011, 31, 302–306. [Google Scholar] [CrossRef]
- Centers for Disease Control and Prevention (CDC). Elevated serum aluminum levels in hemodialysis patients associated with use of electric pumps—Wyoming, 2007. MMWR Morb. Mortal. Wkly. Rep. 2008, 57, 689–691.
- El-khawaga, O.Y.; El-sayed, I.L. Evaluation of trace elements and antioxidants in pre and post hemodialysis of chronic renal failure patients. Int. J. Sci. Nat. 2012, 3, 617–620. [Google Scholar]
- Yue, C.S.; Christie, M.; Lavergne, V.; Sikaneta, T.; Taskapan, H.; Mardini, K.; Tam, P.; Ting, R.; Ghannoum, M. Aluminum toxicokinetics in peritoneal dialysis patients. Clin. Toxicol. 2011, 49, 659–663. [Google Scholar] [CrossRef]
- Crisponi, G.; Dean, A.; Di Marco, V.; Lachowicz, J.I.; Nurchi, V.M.; Remelli, M.; Tapparo, A. Different approaches to the study of chelating agents for iron and aluminium overload pathologies. Anal. Bioanal. Chem. 2013, 405, 585–601. [Google Scholar] [CrossRef]
- Morishita, Y.; Watanabe, M.; Hirahara, I.; Akimoto, T.; Muto, S.; Kusano, E. Level of 8-OHdG in drained dialysate appears to be a marker of peritoneal damage in peritoneal dialysis. Int. J. Nephrol. Renovasc. Dis. 2012, 5, 9–14. [Google Scholar]
- Zumkley, H.; Bertram, H.P.; Lison, A.; Knoll, O.; Losse, H. Aluminum, zinc and copper concentrations in plasma in chronic renal insufficiency. Clin. Nephrol. 1979, 12, 18–21. [Google Scholar]
- Dashti-Khavidaki, S.; Khalili, H.; Vahedi, S.M.; Lessan-Pezeshki, M. Serum zinc concentrations in patients on maintenance hemodialysis and its relationship with anemia, parathyroid hormone concentrations and pruritus severity. Saudi J. Kidney Dis. Transpl. 2010, 21, 641–645. [Google Scholar]
- Khanna, P.; Nehru, B. Antioxidant enzymatic system in neuronal and glial cells enriched fractions of rat brain after aluminum exposure. Cell. Mol. Neurobiol. 2007, 27, 959–969. [Google Scholar] [CrossRef]
- Zhong, W.; McClain, C.J.; Cave, M.; Kang, Y.J.; Zhou, Z. The role of zinc deficiency in alcohol-induced intestinal barrier dysfunction. Am. J. Physiol. Gastrointest. Liver Physiol. 2010, 298, G625–G633. [Google Scholar] [CrossRef]
- Prasad, A.S. The role of zinc in gastrointestinal and liver disease. Clin. Gastroenterol. 1983, 12, 713–741. [Google Scholar]
© 2013 by the authors; licensee MDPI, Basel, Switzerland. This article is an open access article distributed under the terms and conditions of the Creative Commons Attribution license (http://creativecommons.org/licenses/by/3.0/).
Share and Cite
Guo, C.-H.; Chen, P.-C.; Hsu, G.-S.W.; Wang, C.-L. Zinc Supplementation Alters Plasma Aluminum and Selenium Status of Patients Undergoing Dialysis: A Pilot Study. Nutrients 2013, 5, 1456-1470. https://doi.org/10.3390/nu5041456
Guo C-H, Chen P-C, Hsu G-SW, Wang C-L. Zinc Supplementation Alters Plasma Aluminum and Selenium Status of Patients Undergoing Dialysis: A Pilot Study. Nutrients. 2013; 5(4):1456-1470. https://doi.org/10.3390/nu5041456
Chicago/Turabian StyleGuo, Chih-Hung, Pei-Chung Chen, Guoo-Shyng W. Hsu, and Chia-Liang Wang. 2013. "Zinc Supplementation Alters Plasma Aluminum and Selenium Status of Patients Undergoing Dialysis: A Pilot Study" Nutrients 5, no. 4: 1456-1470. https://doi.org/10.3390/nu5041456
APA StyleGuo, C.-H., Chen, P.-C., Hsu, G.-S. W., & Wang, C.-L. (2013). Zinc Supplementation Alters Plasma Aluminum and Selenium Status of Patients Undergoing Dialysis: A Pilot Study. Nutrients, 5(4), 1456-1470. https://doi.org/10.3390/nu5041456
