Eating Disorders, Physical Fitness and Sport Performance: A Systematic Review
Abstract
:1. Introduction
2. Aim and Objectives of the Systematic Review
3. Methods/Design
3.1. Inclusion and Exclusion Criteria
3.2. Information Source
3.3. Search Strategy
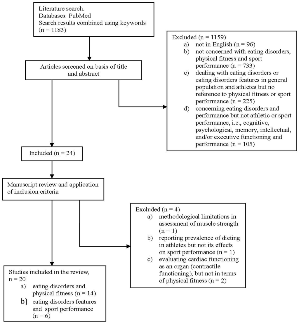
3.4. Study Selection
3.5. Data Collection Process and Data Items
3.6. Data Synthesis
4. Results
| First Author | Year | Study | Sample | Main Results |
|---|---|---|---|---|
| Fohlin et al. [20] | 1978 | Cross-sectional | 28 AN adolescents (17 F, 11 M) | Lower aerobic fitness than predicted values |
| Fohlin et al. [21] | 1978 | Longitudinal | 8 AN adolescents (5 F, 3 M) | Pre-treatment reduction in aerobic capacity that is totally normalized with normal weight restoration |
| Nudel et al. [22] | 1984 | Cross-sectional | 20 female AN adolescents and 15 controls | Reduced working capacity and cardiovascular response to exercise |
| Einerson et al. [23] | 1988 | Cross-sectional | 42 AN females; 33 BN females and 14 lean controls | Lower muscle strength in AN than in BN and control groups Lower aerobic fitness in both AN and BN in comparison with control group |
| Waller et al. [24] | 1996 | Longitudinal | 10 female AN inpatients | Partial improvement in aerobic capacity in eight weeks of re-feeding, but this remains lower than normal |
| Rigaud et al. [25] | 1997 | Longitudinal | 15 AN patients (13 F, 2M) and 15 controls (13 F, 2 M) | Reduced muscle fitness (performance) in malnourished patients, which completely normalized after 45 days of re-feeding, although VO2 remained lower than in controls |
| McLoughlin et al. [26] | 1998 | Cross-sectional | 8 AN females | Lower muscle strength than predicted values |
| Biadi et al. [27] | 2001 | Cross-sectional | 19 AN females and 20 lean controls | Lower working capacity, cardiovascular response to exercise, and VO2 (aerobic fitness) at rest and during exercise in AN group than in control group |
| Rowland et al. [28] | 2003 | Cross-sectional | 8 adolescent female AN inpatients and 8 controls | Low heart rate and lower aerobic fitness in AN patients than in controls |
| Chantler et al. [29] | 2006 | Longitudinal | 14 female inpatient AN (7 trained, 7 not trained) and 7 trained controls | Increased muscular strength in AN patients who underwent an eight week light-intensity resistance training programme than in non-trained AN group |
| Fontana et al. [30] | 2009 | Cross-sectional | 15 female AN inpatients, 15 female BN inpatients and 11 controls | No significant differences in postural stability between AN and control group BN group more unstable than control and AN groups |
| Bratland-Sanda et al. [31] | 2010 | Cross-sectional | 59 longstanding female ED inpatients and 53 controls | Lower in muscular strength among longstanding ED (AN, BN and EDNOS) patients than in controls |
| Del Valle et al. [32] | 2010 | Longitudinal | 22 AN adolescents (20 F, 2 M) divided into two groups (trained and not trained) | No significant improvement in functional capacity (including aerobic capacity) after 3-month low-moderate intensity resistance training programme |
| Alberti et al. [33] | 2013 | Longitudinal | 37 female AN inpatients (adolescents and young adults) and 57 controls | Reduced physical fitness (aerobic, musculoskeletal, flexibility and motor) before weight restoration. Re-feeding and weight restoration improved physical fitness (but not muscular endurance), but this was still lower than in controls |
| Eating disorder feature | Studies (n) | First Author and Year | Results |
|---|---|---|---|
| Underweight | 5 | Boileau et al. [34] Cureton et al. [35] Clark et al. [36] Sherman et al. [37] Bonogofski et al. [38] | Conflicting and inconclusive results. Early studies reported that leaner individuals perform better, but this finding has not been confirmed in subsequent studies |
| Excessive and compulsive exercising | 2 | Ragalin et al. [39] Armstrong et al. [40] | Overtraining is frequent in athletes and may negatively influence sport performance |
| Short term dietary restriction | 3 | Ingjer et al. [41] Johnson et al. [42] Fogelholm et al. [43] | Transitory improvement of sport performance due to early starvation effects, with increased cortisol, adrenaline, noradrenaline, and VO2 |
| Long term dietary restriction | 1 | Beals et al. [44] | Deterioration of sport performance due to glycogen depletion, increase in circulatory lactate, dehydration and loss of lean mass |
| Binge eating | 1 | Rankin et al. [45] | Inconclusive results, but binge eating seems to negatively influence sport performance if associated with excessive weight gain |
| Purging | 3 | Eichner et al. [46] Otis et al. [47] Thompson et al. [48] | Negative effect on sport performance through negative caloric balance, dehydration and hypokalaemia |
| Author * | Fohlin [20] | Fohlin [21] | Nudel [22] | Einerson [23] | Waller [24] | Riguad [25] | McLoughlin [26] | Biadi [27] | Rowland [28] | Chantler [29] | Fontana [30] | Bratland-S [31] | Del Valle [32] | Alberti [33] |
|---|---|---|---|---|---|---|---|---|---|---|---|---|---|---|
| Case series collected in more than one centre, i.e., multi-centre study | 0 | 0 | 0 | 0 | 0 | 0 | 0 | 0 | 0 | 0 | 0 | 0 | 0 | 0 |
| Is the hypothesis/aim/objective of the study clearly described? | 1 | 1 | 1 | 1 | 1 | 1 | 1 | 1 | 1 | 1 | 1 | 1 | 1 | 1 |
| Are the inclusion and exclusion criteria (case definition) clearly reported? | 1 | 1 | 1 | 1 | 1 | 1 | 1 | 1 | 1 | 1 | 1 | 1 | 1 | 1 |
| Is there a clear definition of the outcomes reported? | 1 | 1 | 1 | 1 | 1 | 1 | 1 | 1 | 1 | 1 | 1 | 1 | 1 | 1 |
| Were data collected prospectively? | 0 | 0 | 0 | 0 | 1 | 1 | 0 | 1 | 0 | 0 | 1 | 0 | 0 | 1 |
| Is there an explicit statement that patients were recruited consecutively? | 0 | 0 | 0 | 0 | 1 | 1 | 0 | 1 | 0 | 1 | 1 | 1 | 1 | 1 |
| Are the main findings of the study clearly described? | 1 | 1 | 1 | 1 | 1 | 1 | 1 | 1 | 1 | 1 | 1 | 1 | 1 | 1 |
| Are outcomes stratified? (e.g., by disease stage, abnormal test results, patient characteristics) | 0 | 0 | 1 | 0 | 1 | 1 | 1 | 1 | 0 | 1 | 1 | 1 | 1 | 1 |
| Total Score | 4 | 4 | 5 | 4 | 7 | 7 | 5 | 7 | 4 | 6 | 7 | 6 | 6 | 7 |
| Author * | Boileau [34] | Cureton [35] | Clark [36] | Armstrong [40] | Johnson [42] | Fogelholm [43] |
|---|---|---|---|---|---|---|
| Case series collected in more than one centre, i.e., multi-centre study | 0 | 0 | 0 | 0 | 0 | 0 |
| Is the hypothesis/aim/objective of the study clearly described? | 1 | 0 | 1 | 1 | 1 | 1 |
| Are the inclusion and exclusion criteria (case definition) clearly reported? | 1 | 1 | 1 | 0 | 1 | 1 |
| Is there a clear definition of the outcomes reported? | 0 | 1 | 1 | 1 | 1 | 1 |
| Were data collected prospectively? | 0 | 0 | 0 | 0 | 0 | 0 |
| Is there an explicit statement that patients were recruited consecutively? | 0 | 0 | 0 | 0 | 0 | 0 |
| Are the main findings of the study clearly described? | 1 | 1 | 1 | 0 | 1 | 1 |
| Are outcomes stratified? (e.g., by disease stage, abnormal test results, patient characteristics) | 0 | 1 | 0 | 0 | 1 | 1 |
| Total Score | 3 | 4 | 4 | 2 | 5 | 5 |

4.1. Eating Disorders and Physical Fitness
4.2. Eating Disorders and Sport Performance
4.2.1. Underweight and Sport Performance
4.2.2. Excessive Compulsive Exercise and Sport Performance
4.2.3. Dietary Restriction and Sport Performance
4.2.4. Binge Eating and Purging and Sport Performance
5. Discussion
5.1. Summary of Evidence and Limitations
5.2. Implications for Future Research
6. Conclusions
Conflicts of Interests
References
- Treasure, J.; Claudino, A.M.; Zucker, N. Eating disorders. Lancet 2009, 375, 583–593. [Google Scholar] [CrossRef]
- Jacobi, F.; Wittchen, H.U.; Holting, C.; Hofler, M.; Pfister, H.; Muller, N.; Lieb, R. Prevalence, co-morbidity and correlates of mental disorders in the general population: Results from the (GHS) German Health Interview and Examination Survey. Psychol. Med. 2004, 34, 597–611. [Google Scholar] [CrossRef]
- Hudson, J.I.; Hiripi, E.; Pope, H.G., Jr.; Kessler, R.C. The prevalence and correlates of eating disorders in the national comorbidity survey replication. Biol. Psychiatry 2007, 61, 348–358. [Google Scholar] [CrossRef]
- Dalle Grave, R.; Calugi, S. Eating disorder not otherwise specified in an inpatient unit: The impact of altering the DSM-IV criteria for anorexia and bulimia nervosa. Eur. Eat. Disord. Rev. 2007, 15, 340–349. [Google Scholar] [CrossRef]
- Fairburn, C.G.; Bohn, K. Eating disorder NOS (EDNOS): An example of the troublesome “not otherwise specified” (NOS) category in DSM-IV. Behav. Res. Ther. 2005, 43, 691–701. [Google Scholar] [CrossRef]
- Sundgot-Borgen, J.; Torstveit, M.K. Prevalence of eating disorders in elite athletes is higher than in the general population. Clin. J. Sport Med. 2004, 14, 25–32. [Google Scholar] [CrossRef]
- Hulley, A.J.; Hill, A.J. Eating disorders and health in elite women distance runners. Int. J. Eat. Disord. 2001, 30, 312–317. [Google Scholar] [CrossRef]
- Franko, D.L.; Keshaviah, A.; Eddy, K.T.; Krishna, M.; Davis, M.C.; Keel, P.K.; Herzog, D.B. A longitudinal investigation of mortality in anorexia nervosa and bulimia nervosa. Am. J. Psychiatry 2013, 170, 917–925. [Google Scholar] [CrossRef]
- Crow, S.J.; Peterson, C.B.; Swanson, S.A.; Raymond, N.C.; Specker, S.; Eckert, E.D.; Mitchell, J.E. Increased mortality in bulimia nervosa and other eating disorders. Am. J. Psychiatry 2009, 166, 1342–1346. [Google Scholar] [CrossRef]
- Mehler, P.S.; Andersen, A.E. Eating Disorders: A Guide to Medical Care and Complications; Johns Hopkins University: Baltimore, MD, USA, 2010. [Google Scholar]
- Dalle Grave, R. Eating disorders: Progress and challenges. Eur. J. Int. Med. 2011, 22, 153–160. [Google Scholar] [CrossRef]
- Yeager, K.K.; Agostini, R.; Nattiv, A.; Drinkwater, B. The female athlete triad: Disordered eating, amenorrhea, osteoporosis. Med. Sci. Sports Exerc. 1993, 25, 775–777. [Google Scholar] [CrossRef]
- Torstveit, M.K.; Sundgot-Borgen, J. The female athlete triad exists in both elite athletes and controls. Med. Sci. Sports Exerc. 2005, 37, 1449–1459. [Google Scholar] [CrossRef]
- Fairburn, C.G.; Cooper, Z.; Waller, D. “Complex Cases” and Comorbidity. In Cognitive Behavior Therapy and Eating Disorders; Fairburn, C.G., Ed.; Guilford Press: New York, NY, USA, 2008; pp. 245–258. [Google Scholar]
- Hjern, A.; Lindberg, L.; Lindblad, F. Outcome and prognostic factors for adolescent female in-patients with anorexia nervosa: 9- to 14-Year follow-up. Br. J. Psychiatry 2006, 189, 428–432. [Google Scholar] [CrossRef]
- Richardson, W.S.; Wilson, M.C.; Nishikawa, J.; Hayward, R.S. The well-built clinical question: A key to evidence-based decisions. ACP J. Club 1995, 123, A12–A13. [Google Scholar]
- Liberati, A.; Altman, D.G.; Tetzlaff, J.; Mulrow, C.; Gotzsche, P.C.; Ioannidis, J.P.; Clarke, M.; Devereaux, P.J.; Kleijnen, J.; Moher, D. The PRISMA statement for reporting systematic reviews and meta-analyses of studies that evaluate health care interventions: Explanation and elaboration. Ann. Int. Med. 2009, 151, W65–W94. [Google Scholar]
- (NICE) National Institute for Health and Clinical Excellence. Clinical Guidelines, Appendix 4 Quality of Case Series Form. Available online: http://www.nice.org.uk/nicemedia/pdf/Appendix_04_quality of case_series_form_preop.pdf (accessed on 30 March 2010).
- Popay, J.; Roberts, H.; Sowden, A.; Petticrew, M.; Arai, L.; Rodgers, M.; Britten, N. Guidance on the Conduct of Narrative Synthesis in Systematic Reviews. In Institute of Health Research, ESRC Methods Programme; Lancaster University: Lancaster, UK, 2006. [Google Scholar]
- Fohlin, L.; Freyschuss, U.; Bjarke, B.; Davies, C.T.; Thoren, C. Function and dimensions of the circulatory system in anorexia nervosa. Acta Paediatr. Scand. 1978, 67, 11–16. [Google Scholar] [CrossRef]
- Fohlin, L. Exercise performance and body dimensions in anorexia nervosa before and after rehabilitation. Acta Med. Scand. 1978, 204, 61–65. [Google Scholar] [CrossRef]
- Nudel, D.B.; Gootman, N.; Nussbaum, M.P.; Shenker, I.R. Altered exercise performance and abnormal sympathetic responses to exercise in patients with anorexia nervosa. J. Pediatr. 1984, 105, 34–37. [Google Scholar] [CrossRef]
- Einerson, J.; Ward, A.; Hanson, P. Exercise responses in females with anorexia nervosa. Int. J. Eat. Disord. 1988, 7, 253–260. [Google Scholar] [CrossRef]
- Waller, E.G.; Wade, A.J.; Treasure, J.; Ward, A.; Leonard, T.; Powell-Tuck, J. Physical measures of recovery from anorexia nervosa during hospitalised re-feeding. Eur. J. Clin. Nutr. 1996, 50, 165–170. [Google Scholar]
- Rigaud, D.; Moukaddem, M.; Cohen, B.; Malon, D.; Reveillard, V.; Mignon, M. Refeeding improves muscle performance without normalization of muscle mass and oxygen consumption in anorexia nervosa patients. Am. J. Clin. Nutr. 1997, 65, 1845–1851. [Google Scholar]
- McLoughlin, D.M.; Spargo, E.; Wassif, W.S.; Newham, D.J.; Peters, T.J.; Lantos, P.L.; Russell, G.F. Structural and functional changes in skeletal muscle in anorexia nervosa. Acta Neuropathol. 1998, 95, 632–640. [Google Scholar] [CrossRef]
- Biadi, O.; Rossini, R.; Musumeci, G.; Frediani, L.; Masullo, M.; Ramacciotti, C.E.; Dellosso, L.; Paoli, R.; Mariotti, R.; Cassano, G.B.; et al. Cardiopulmonary exercise test in young women affected by anorexia nervosa. Ital. Heart J. 2001, 2, 462–467. [Google Scholar]
- Rowland, T.; Koenigs, L.; Miller, N. Myocardial performance during maximal exercise in adolescents with anorexia nervosa. J. Sports Med. Phys. Fit. 2003, 43, 202–208. [Google Scholar]
- Chantler, I.; Szabo, C.P.; Green, K. Muscular strength changes in hospitalized anorexic patients after an eight week resistance training program. Int. J. Sports Med. 2006, 27, 660–665. [Google Scholar] [CrossRef]
- Fontana, M.P.; Menegoni, F.; Vismara, L.; Galli, M.; Romei, M.; Bergamini, E.; Petroni, M.L.; Capodaglio, P. Balance in patients with anorexia and bulimia nervosa. Eur. J. Phys. Rehabil. Med. 2009, 45, 335–340. [Google Scholar]
- Bratland-Sanda, S.; Sundgot-Borgen, J.; Rosenvinge, J.H.; Ro, O.; Hoffart, A.; Martinsen, E.W. Physical fitness, bone mineral density and associations with physical activity in females with longstanding eating disorders and non-clinical controls. J. Sports Med. Phys. Fit. 2010, 50, 303–310. [Google Scholar]
- Del Valle, M.F.; Perez, M.; Santana-Sosa, E.; Fiuza-Luces, C.; Bustamante-Ara, N.; Gallardo, C.; Villasenor, A.; Graell, M.; Morande, G.; Romo, G.R.; et al. Does resistance training improve the functional capacity and well being of very young anorexic patients? A randomized controlled trial. J. Adolesc. Health 2010, 46, 352–358. [Google Scholar] [CrossRef]
- Alberti, M.; Galvani, C.; Capelli, C.; Lanza, M.; El Ghoch, M.; Calugi, S.; Dalle Grave, R. Physical fitness before and after weight restoration in anorexia nervosa. J. Sports Med. Phys. Fit. 2013, 53, 396–402. [Google Scholar]
- Boileau, R.A.; Lohman, T.G. The measurement of human physique and its effect on physical performance. Orthop. Clin. N. Am. 1977, 8, 563–581. [Google Scholar]
- Cureton, K.J.; Sparling, P.B. Distance running performance and metabolic responses to running in men and women with excess weight experimentally equated. Med. Sci. Sports. Exerc. 1980, 12, 288–294. [Google Scholar]
- Clark, N.; Nelson, M.; Evans, W. Nutrition education for elite female runners. Phys. Sportsmed. 1988, 16, 13. [Google Scholar]
- Sherman, R.; Thompson, R.A.; Rose, J. Body mass index and athletic performance in elite female gymnasts. J. Sport Behav. 1996, 19, 9. [Google Scholar]
- Bonogofski, S.L.; Beerman, K.A.; Massey, L.K.; Houghton, M. A comparison of athletic achievement and eating disorder behaviors among female cross country runners. Med. Sci. Sports Exerc. 1999, 31, S65. [Google Scholar]
- Raglin, J.S.; Wilson, G.S. Overtraining in Athletes. In Emotions in Sport; Hanin, Y.L., Ed.; Human Kinetics: Champaign, IL, USA, 2000; pp. 191–207. [Google Scholar]
- Armstrong, L.E.; VanHeest, J.L. The unknown mechanism of the overtraining syndrome: Clues from depression and psychoneuroimmunology. Sports Med. 2002, 32, 185–209. [Google Scholar] [CrossRef]
- Ingjer, F.; Sundgot-Borgen, J. Influence of body weight reduction on maximal oxygen uptake in female alite athletes. Scand. J. Med. Sci. Sports 1991, 1, 6. [Google Scholar]
- Johnson, M.D. Disordered eating in active and athletic women. Clin. Sports Med. 1994, 13, 355–369. [Google Scholar]
- Fogelholm, M. Effects of bodyweight reduction on sports performance. Sports Med. 1994, 18, 249–267. [Google Scholar] [CrossRef]
- Beals, K.A. Disordered Eating Among Athletes: A Comprehensive Guide for Health Professionals; Human Kinetics: Champaign, IL, USA, 2004; p. 264. [Google Scholar]
- Rankin, J.W. Weight loss and gain in athletes. Curr. Sports Med. Rep. 2002, 1, 208–213. [Google Scholar] [CrossRef]
- Eichner, E.R. General Health Issues of Low Body Weight and Undereating in Athletes. In Eating, Body Weight and Performance in Athletes: Disorders of Modern Society; Lea and Febiger: Philadelphia, PA, USA, 1992; p. 11. [Google Scholar]
- Otis, C.L.; Goldingay, R. The Athletic Woman’s Survival Guide: How to Win the Battle against Eating Disorders, Amenorrhea, and Osteoporosis; Human Kinetics Publishers: Champaign, IL, USA, 2000; p. 276. [Google Scholar]
- Thompson, J.L.; Manore, M.M. Sport Nutrition for Health and Performance; Human Kinetics: Champaign, IL, USA, 2000; p. 536. [Google Scholar]
- Cobrin, C.B.; Pangrazi, R.P.; Franks, B.D. Definitions: Health, Fitness, and Physical Activity; President’s Council on Physical Fitness and Sports: Washington, DC, USA, 2000. [Google Scholar]
- Bouchard, C.; Shephard, R.J.; Stephens, T. Physical Activity, Fitness, and Health: International Proceedings and Consensus Statement; Human Kinetics: Champaign, IL, USA, 1994. [Google Scholar]
- Bratland-Sanda, S.; Sundgot-Borgen, J.; Ro, O.; Rosenvinge, J.H.; Hoffart, A.; Martinsen, E.W. “I’m not physically active—I only go for walks”: Physical activity in patients with longstanding eating disorders. Int. J. Eat. Disord. 2010, 43, 88–92. [Google Scholar]
- EUROFIT (European Test of Physical Fitness). Handbook for the Eurofit Tests on Physical Fitness, 2nd ed.; Council of Europe: Strasbourg, France, 1993. [Google Scholar]
- Sundgot-Borgen, J.; Torstveit, M.K. Aspects of disordered eating continuum in elite high-intensity sports. Scand. J. Med. Sci. Sports 2010, 20, 112–121. [Google Scholar] [CrossRef]
- Dalle Grave, R.; Calugi, S.; Marchesini, G. Underweight eating disorder without over-evaluation of shape and weight: Atypical anorexia nervosa? Int. J. Eat. Disord. 2008, 41. [Google Scholar] [CrossRef]
- De Bruin, A.P.K.; Oudejans, R.R.D.; Bakker, F.C. Dieting and body image in aesthetic sports: A comparison of Dutch female gymnasts and non-aesthetic sport participants. Psychol. Sport Exerc. 2007, 40, 507–520. [Google Scholar]
- Jones, R.L.; Glintmeyer, N.; McKenzie, A. Slim bodies, eating disorders and the coach-athlete relationship. Int. Rev. Soc. Sport 2005, 40, 377–391. [Google Scholar] [CrossRef]
- Falls, H.B.; Humphrey, L.D. Body type and composition differences between placers and nonplacers in an AIAW gymnastics meet. Res. Q. Exerc. Sport 1978, 49, 38–43. [Google Scholar]
- Wilmore, J.H. Body Weight and Body Composition. In Eating, Body Weight, and Performance in Athletes: Disorders of Modern Society; Lea and Febiger: Philadelphia, PA, USA, 1992; pp. 77–93. [Google Scholar]
- El Ghoch, M.; Alberti, M.; Milanese, C.; Battistini, N.C.; Pellegrini, M.; Capelli, C.; Calugi, S.; Dalle Grave, R. Comparison between dual-energy x-ray absorptiometry and skinfolds thickness in assessing body fat in anorexia nervosa before and after weight restoration. Clin. Nutr. 2012, 31, 911–916. [Google Scholar] [CrossRef]
- Keys, A.; Brozek, J.; Henschel, A.; Mickelsen, O.; Taylor, H.L. The Biology of Human Starvation; University of Minnesota Press: Minneapolis, MN, USA, 1950. [Google Scholar]
- Dalle Grave, R.; Pasqualoni, E.; Marchesini, G. Symptoms of Starvation in Eating Disorder Patients. In Handbook of Behavior, Food and Nutrition; Preedy, V.R., Ed.; Springer Science and Business Media: New York, NY, USA, 2011; pp. 2259–2269. [Google Scholar]
- Dalle Grave, R.; Calugi, S.; Marchesini, G. Compulsive exercise to control shape or weight in eating disorders: Prevalence, associated features, and treatment outcome. Compr. Psychiatry 2008, 49, 346–352. [Google Scholar] [CrossRef]
- Shroff, H.; Reba, L.; Thornton, L.M.; Tozzi, F.; Klump, K.L.; Berrettini, W.H.; Brandt, H.; Crawford, S.; Crow, S.; Fichter, M.M.; et al. Features associated with excessive exercise in women with eating disorders. Int. J. Eat. Disord. 2006, 39, 454–461. [Google Scholar] [CrossRef]
- Dalle Grave, R. Features and management of compulsive exercising in eating disorders. Phys. Sportsmed. 2009, 37, 20–28. [Google Scholar]
- Davis, C.; Kennedy, S.H.; Ravelski, E.; Dionne, M. The role of physical activity in the development and maintenance of eating disorders. Psychol. Med. 1994, 24, 957–967. [Google Scholar] [CrossRef]
- Zunker, C.; Mitchell, J.E.; Wonderlich, S.A. Exercise interventions for women with anorexia nervosa: A review of the literature. Int. J. Eat. Disord. 2011, 44, 579–584. [Google Scholar] [CrossRef]
- Vernay, J.; Briard, D.; Roubini, A. Hyperkalemia linked to intense physical activity: A rare complication in anorexia nervosa. Presse Med. 2013, 42, 906–908. [Google Scholar] [CrossRef]
- Walder, A.; Baumann, P. Increased creatinine kinase and rhabdomyolysis in anorexia nervosa. Int. J. Eat. Disord. 2008, 41, 766–767. [Google Scholar] [CrossRef]
- Wada, S.; Nagase, T.; Koike, Y.; Kugai, N.; Nagata, N. A case of anorexia nervosa with acute renal failure induced by rhabdomyolysis; possible involvement of hypophosphatemia or phosphate depletion. Intern. Med. 1992, 31, 478–482. [Google Scholar] [CrossRef]
- Haddad, F.S.; Bann, S.; Hill, R.A.; Jones, D.H. Displaced stress fracture of the femoral neck in an active amenorrhoeic adolescent. Br. J. Sports. Med. 1997, 31, 70–72. [Google Scholar] [CrossRef]
- El Ghoch, M.; Calugi, S.; Pellegrini, M.; Milanese, C.; Busacchi, M.; Carlo Battistini, N.; Bernabe, J.; Dalle Grave, R. Measured physical activity in anorexia nervosa: Features and treatment outcome. Int. J. Eat. Disord. 2013, 46. [Google Scholar] [CrossRef]
- Solenberger, S.E. Exercise and eating disorders: A 3-year inpatient hospital record analysis. Eat. Behav. 2001, 2, 151–168. [Google Scholar] [CrossRef]
- Strober, M.; Freeman, R.; Morrell, W. The long-term course of severe anorexia nervosa in adolescents: Survival analysis of recovery, relapse, and outcome predictors over 10–15 years in a prospective study. Int. J. Eat. Disord. 1997, 22, 339–360. [Google Scholar] [CrossRef]
- Alberti, M.; Galvani, C.; El Ghoch, M.; Capelli, C.; Lanza, M.; Calugi, S.; Dalle Grave, R. Assessment of physical activity in anorexia nervosa and treatment outcome. Med. Sci. Sports Exerc. 2013, 45, 1643–1648. [Google Scholar] [CrossRef]
- Shafran, R.; Cooper, Z.; Fairburn, C.G. Clinical perfectionism: A cognitive-behavioural analysis. Behav. Res. Ther. 2002, 40, 773–791. [Google Scholar] [CrossRef]
- Fairburn, C.G. Cognitive Behavior Therapy and Eating Disorders; The Guilford Press: New York, NY, USA, 2008; p. 324. [Google Scholar]
- American Psychiatric Association. Diagnostic and Statistical Manual of Mental Disorders; American Psychiatric Publishing: Arlington, MA, USA,, 2013. [Google Scholar]
- Masheb, R.M.; White, M.A.; Grilo, C.M. Substantial weight gains are common prior to treatment-seeking in obese patients with binge eating disorder. Compr. Psychiatry 2013, 54, 840–844. [Google Scholar]
- Dalle Grave, R.; Calugi, S.; Marchesini, G. Self-induced vomiting in eating disorders: Associated features and treatment outcome. Behav. Res. Ther. 2009, 47, 680–684. [Google Scholar] [CrossRef]
- Kaye, W.H.; Weltzin, T.E.; Hsu, L.K.; McConaha, C.W.; Bolton, B. Amount of calories retained after binge eating and vomiting. Am. J. Psychiatry 1993, 150, 969–971. [Google Scholar]
- Kalm, L.M.; Semba, R.D. They starved so that others be better fed: Remembering Ancel Keys and the Minnesota experiment. J. Nutr. 2005, 135, 1347–1352. [Google Scholar]
- Richardson, C.R.; Faulkner, G.; McDevitt, J.; Skrinar, G.S.; Hutchinson, D.S.; Piette, J.D. Integrating physical activity into mental health services for persons with serious mental illness. Psychiatr. Serv. 2005, 56, 324–331. [Google Scholar] [CrossRef]
- Dalle Grave, R. Multistep Cognitive Behavioral Therapy for Eating Disorders: Theory, Practice, and Clinical Cases; Jason Aronson Inc.: New York, NY, USA, 2012. [Google Scholar]
- Thompson, R.A.; Trattner Sherman, R. Eating Disorders in Sports; Routledge: New York, NY, USA, 2012. [Google Scholar]
© 2013 by the authors; licensee MDPI, Basel, Switzerland. This article is an open access article distributed under the terms and conditions of the Creative Commons Attribution license (http://creativecommons.org/licenses/by/3.0/).
Share and Cite
El Ghoch, M.; Soave, F.; Calugi, S.; Dalle Grave, R. Eating Disorders, Physical Fitness and Sport Performance: A Systematic Review. Nutrients 2013, 5, 5140-5160. https://doi.org/10.3390/nu5125140
El Ghoch M, Soave F, Calugi S, Dalle Grave R. Eating Disorders, Physical Fitness and Sport Performance: A Systematic Review. Nutrients. 2013; 5(12):5140-5160. https://doi.org/10.3390/nu5125140
Chicago/Turabian StyleEl Ghoch, Marwan, Fabio Soave, Simona Calugi, and Riccardo Dalle Grave. 2013. "Eating Disorders, Physical Fitness and Sport Performance: A Systematic Review" Nutrients 5, no. 12: 5140-5160. https://doi.org/10.3390/nu5125140
APA StyleEl Ghoch, M., Soave, F., Calugi, S., & Dalle Grave, R. (2013). Eating Disorders, Physical Fitness and Sport Performance: A Systematic Review. Nutrients, 5(12), 5140-5160. https://doi.org/10.3390/nu5125140

