Efficacy and Safety of Standardized Ethanol Extract of Purple Perilla (Perilla frutescens Britton var. acuta Kudo) Leaves in Cognitive Impairment: A Randomized, Double-Blind, Placebo-Controlled Clinical Trial
Abstract
1. Introduction
2. Materials and Methods
2.1. Ethics
2.2. Study Design
2.3. Study Participants
2.4. Study Products and Interventions
2.5. Efficacy Outcome Measures
2.6. Safety Outcome Measures
2.7. Statistical Analysis
3. Results
3.1. Baseline Characteristics of Participants
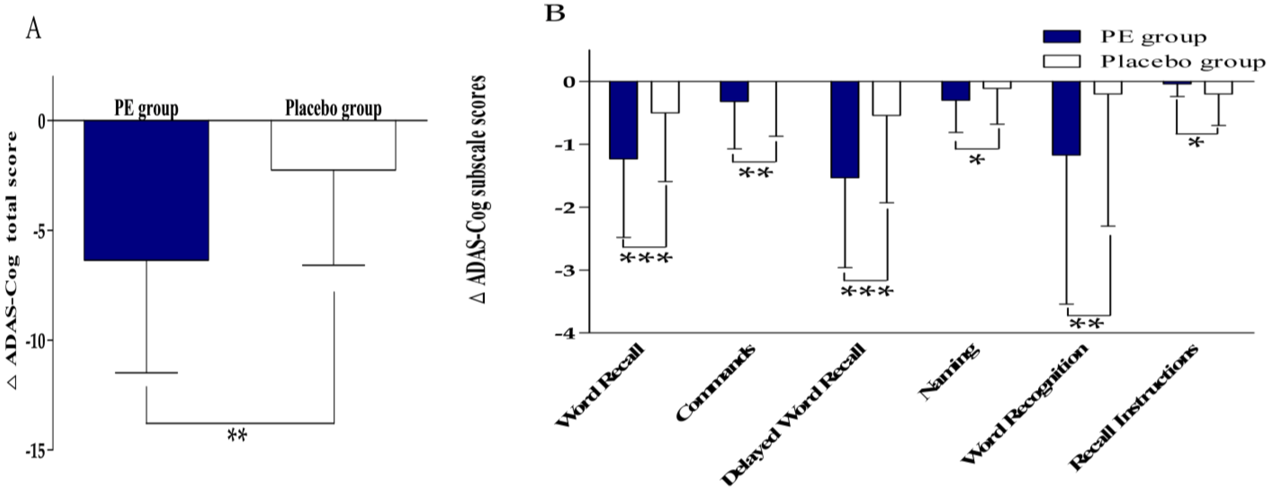
3.2. Efficacy Outcomes
3.3. Safety Outcomes
4. Discussion
5. Conclusions
Supplementary Materials
Author Contributions
Funding
Institutional Review Board Statement
Informed Consent Statement
Data Availability Statement
Conflicts of Interest
References
- Mattson, M.P. Pathways towards and away from Alzheimer’s disease. Nature 2004, 430, 631–639. [Google Scholar] [CrossRef] [PubMed]
- de Souza-Talarico, J.N.; de Carvalho, A.P.; Brucki, S.M.; Nitrini, R.; Ferretti-Rebustini, R.E.d.L. Dementia and cognitive impairment prevalence and associated factors in indigenous populations: A systematic review. Alzheimer Dis. Assoc. Disord. 2016, 30, 281–287. [Google Scholar] [CrossRef]
- Scheltens, P.; De Strooper, B.; Kivipelto, M.; Holstege, H.; Chételat, G.; Teunissen, C.E.; Cummings, J.; van der Flier, W.M. Alzheimer’s disease. Lancet 2021, 397, 1577–1590. [Google Scholar] [CrossRef]
- Patterson, C. The State of the Art of Dementia Research: New Frontiers. World Alzheimer Report 2018. Available online: https://www.alzint.org/u/WorldAlzheimerReport2018.pdf (accessed on 7 November 2025).
- Georges, J.; Miller, O.; Bintener, C. Estimating the Prevalence of Dementia in Europe. Report. 2020. Available online: https://www.alzheimer-europe.org/sites/default/files/alzheimer_europe_dementia_in_europe_yearbook_2019.pdf (accessed on 7 November 2025).
- Alzheimer’s Association. 2017 Alzheimer’s disease facts and figures. Alzheimer’s Dement. 2017, 13, 325–373. [Google Scholar] [CrossRef]
- Massoud, F.; Léger, G.C. Pharmacological treatment of Alzheimer disease. Can. J. Psychiatry 2011, 56, 579–588. [Google Scholar] [CrossRef]
- Zhang, S.-J.; Xue, Z.-Y. Effect of Western medicine therapy assisted by Ginkgo biloba tablet on vascular cognitive impairment of none dementia. Asian Pac. J. Trop. Med. 2012, 5, 661–664. [Google Scholar] [CrossRef]
- Liu, P.; Kong, M.; Liu, S.; Chen, G.; Wang, P. Effect of reinforcing kidney-essence, removing phlegm, and promoting mental therapy on treating Alzheimer’s disease. J. Tradit. Chin. Med. 2013, 33, 449–454. [Google Scholar]
- Zhang, Y.; Lin, C.; Zhang, L.; Cui, Y.; Gu, Y.; Guo, J.; Wu, D.; Li, Q.; Song, W. Cognitive improvement during treatment for mild Alzheimer’s disease with a Chinese herbal formula: A randomized controlled trial. PLoS ONE 2015, 10, e0130353. [Google Scholar] [CrossRef]
- Hou, T.; Netala, V.R.; Zhang, H.; Xing, Y.; Li, H.; Zhang, Z. Perilla frutescens: A rich source of pharmacological active compounds. Molecules 2022, 27, 3578. [Google Scholar] [CrossRef]
- Pintha, K.; Chaiwangyen, W.; Yodkeeree, S.; Suttajit, M.; Tantipaiboonwong, P. Suppressive effects of rosmarinic acid rich fraction from perilla on oxidative stress, inflammation and metastasis ability in A549 cells exposed to PM via C-Jun, P-65-Nf-Κb and Akt signaling pathways. Biomolecules 2021, 11, 1090. [Google Scholar] [CrossRef] [PubMed]
- Ahmed, H.M. Ethnomedicinal, phytochemical and pharmacological investigations of Perilla frutescens (L.) Britt. Molecules 2018, 24, 102. [Google Scholar] [CrossRef]
- Yang, H.; Sun, W.; Ma, P.; Yao, C.; Fan, Y.; Li, S.; Yuan, J.; Zhang, Z.; Li, X.; Lin, M.; et al. Multiple components rapidly screened from perilla leaves attenuate asthma airway inflammation by synergistic targeting on Syk. J. Inflamm. Res. 2020, 13, 897–911. [Google Scholar] [CrossRef] [PubMed]
- Zhao, G.; Yao-Yue, C.; Qin, G.-W.; Guo, L.-H. Luteolin from Purple Perilla mitigates ROS insult particularly in primary neurons. Neurobiol. Aging 2012, 33, 176–186. [Google Scholar] [CrossRef] [PubMed]
- Cho, E.; Lee, J.; Sin, J.S.; Kim, S.-k.; Kim, C.J.; Park, M.H.; Cho, W.-S.; Moon, M.; Kim, D.H.; Jung, J.W. Effects of Perilla frutescens var. acuta in amyloid β toxicity and Alzheimer’s disease-like pathology in 5XFAD mice. Food Chem. Toxicol. 2022, 161, 112847. [Google Scholar]
- Kim, D.J.; Kim, M.S.; Kim, S.; Hwang, K.W.; Park, S.Y. Anti-amyloidogenic effects of Perilla frutescens var. acuta on beta-amyloid aggregation and disaggregation. J. Food Biochem. 2017, 41, e12393. [Google Scholar] [CrossRef]
- Lee, J.E.; Kim, N.; Yeo, J.Y.; Seo, D.-G.; Kim, S.; Lee, J.-S.; Hwang, K.W.; Park, S.-Y. Anti-amyloidogenic effects of asarone derivatives from Perilla frutescens leaves against beta-amyloid aggregation and nitric oxide production. Molecules 2019, 24, 4297. [Google Scholar]
- Lee, A.Y.; Hwang, B.R.; Lee, M.H.; Lee, S.; Cho, E.J. Perilla frutescens var. japonica and rosmarinic acid improve amyloid-β25-35 induced impairment of cognition and memory function. Nutr. Res. Pract. 2016, 10, 274–281. [Google Scholar] [CrossRef]
- Gao, L.; Wei, H.; Zhao, H.; Xiao, S.; Zheng, R. Antiapoptotic and antioxidant effects of rosmarinic acid in astrocytes. Die Pharm.-Int. J. Pharm. Sci. 2005, 60, 62–65. [Google Scholar]
- Takano, H.; Osakabe, N.; Sanbongi, C.; Yanagisawa, R.; Inoue, K.-i.; Yasuda, A.; Natsume, M.; Baba, S.; Ichiishi, E.-i.; Yoshikawa, T. Extract of Perilla frutescens enriched for rosmarinic acid, a polyphenolic phytochemical, inhibits seasonal allergic rhinoconjunctivitis in humans. Exp. Biol. Med. 2004, 229, 247–254. [Google Scholar] [CrossRef] [PubMed]
- Kang, H.-B.; Kim, S.-H.; Uhm, S.-H.; Kim, D.-K.; Lee, N.-S.; Jeong, Y.-G.; Sung, N.-Y.; Kim, D.-S.; Han, I.-J.; Yoo, Y.-C.; et al. Perilla frutescens Leaf Extract Attenuates Vascular Dementia-Associated Memory Deficits, Neuronal Damages, and Microglial Activation. Curr. Issues Mol. Biol. 2022, 44, 257–272. [Google Scholar] [CrossRef]
- Choi, S.J.; Oh, S.S.; Kim, C.R.; Kwon, Y.K.; Suh, S.H.; Kim, J.K.; Park, G.G.; Son, S.-Y.; Shin, D.-H. Perilla frutescens extract ameliorates acetylcholinesterase and trimethyltin chloride-induced neurotoxicity. J. Med. Food 2016, 19, 281–289. [Google Scholar] [CrossRef]
- Senavong, P.; Kongkham, S.; Saelim, S.; Suangkavathin, V. Neuroprotective effect of Perilla extracts on PC12 cells. J. Med. Assoc. Thai. 2016, 99, S256–S264. [Google Scholar] [CrossRef]
- Kwon, H.; Lee, J.; Lee, E.; Moon, S.; Cho, E.; Jeon, J.; Park, A.Y.; Hwang, J.-H.; Cho, G.H.; Kong, H. Anti-Neuroinflammation Effect of Standardized Ethanol Extract of Leaves of Perilla frutescens var. acuta on Aβ-Induced Alzheimer’s Disease-like Mouse Model. Pharmaceutics 2025, 17, 1045. [Google Scholar] [CrossRef]
- Lee, J.; Lee, E.; Kweon, H.J.; Moon, S.; Bae, H.J.; Hwang, J.-H.; Cho, G.H.; Kong, H.; Park, M.-H.; Kim, S.-K. Synaptic Plasticity-Enhancing and Cognitive-Improving Effects of Standardized Ethanol Extract of Perilla frutescens var. acuta in a Scopolamine-Induced Mouse Model. Int. J. Mol. Sci. 2025, 26, 9925. [Google Scholar] [CrossRef]
- Miranda, M.; Morici, J.F.; Zanoni, M.B.; Bekinschtein, P. Brain-derived neurotrophic factor: A key molecule for memory in the healthy and the pathological brain. Front. Cell. Neurosci. 2019, 13, 472800. [Google Scholar] [CrossRef]
- Laske, C.; Stransky, E.; Leyhe, T.; Eschweiler, G.; Wittorf, A.; Richartz, E.; Bartels, M.; Buchkremer, G.; Schott, K. Stage-dependent BDNF serum concentrations in Alzheimer’s disease. J. Neural Transm. 2006, 113, 1217–1224. [Google Scholar]
- Jack, C.R., Jr.; Bennett, D.A.; Blennow, K.; Carrillo, M.C.; Dunn, B.; Haeberlein, S.B.; Holtzman, D.M.; Jagust, W.; Jessen, F.; Karlawish, J. NIA-AA research framework: Toward a biological definition of Alzheimer’s disease. Alzheimer’s Dement. 2018, 14, 535–562. [Google Scholar] [CrossRef] [PubMed]
- Blennow, K.; Zetterberg, H. Biomarkers for Alzheimer’s disease: Current status and prospects for the future. J. Intern. Med. 2018, 284, 643–663. [Google Scholar] [PubMed]
- Aisen, P.; Touchon, J.; Amariglio, R.; Andrieu, S.; Bateman, R.; Breitner, J.; Donohue, M.; Dunn, B.; Doody, R.; Fox, N. EU/US/CTAD task force: Lessons learned from recent and current Alzheimer’s prevention trials. J. Prev. Alzheimer’s Dis. 2017, 4, 116. [Google Scholar] [CrossRef] [PubMed]
- Levine, D.A.; Gross, A.L.; Briceño, E.M.; Tilton, N.; Giordani, B.J.; Sussman, J.B.; Hayward, R.A.; Burke, J.F.; Hingtgen, S.; Elkind, M.S. Sex differences in cognitive decline among US adults. JAMA Netw. Open 2021, 4, e210169. [Google Scholar] [CrossRef] [PubMed]
- Mohs, R.C.; Knopman, D.; Petersen, R.C.; Ferris, S.H.; Ernesto, C.; Grundman, M.; Sano, M.; Bieliauskas, L.; Geldmacher, D.; Clark, C. Development of cognitive instruments for use in clinical trials of antidementia drugs: Additions to the Alzheimer’s Disease Assessment Scale that broaden its scope. Alzheimer Dis. Assoc. Disord. 1997, 11, 13–21. [Google Scholar] [CrossRef]
- Kang, Y.; Na, D.-L.; Hahn, S. A validity study on the Korean Mini-Mental State Examination (K-MMSE) in dementia patients. J. Korean Neurol. Assoc. 1997, 15, 300–308. [Google Scholar]
- Stavrinou, P.S.; Andreou, E.; Aphamis, G.; Pantzaris, M.; Ioannou, M.; Patrikios, I.S.; Giannaki, C.D. The effects of a 6-month high dose omega-3 and omega-6 polyunsaturated fatty acids and antioxidant vitamins supplementation on cognitive function and functional capacity in older adults with mild cognitive impairment. Nutrients 2020, 12, 325. [Google Scholar] [CrossRef]
- Roberts, R.; Knopman, D.S. Classification and epidemiology of MCI. Clin. Geriatr. Med. 2013, 29, 753–772. [Google Scholar] [CrossRef] [PubMed]
- Reid, S.N.S.; Ryu, J.K.; Kim, Y.; Jeon, B.H. The Effects of Fermented Laminaria japonica on Short-Term Working Memory and Physical Fitness in the Elderly. Evid. Based Complement. Altern. Med. 2018, 2018, 8109621. [Google Scholar] [CrossRef]
- Kang, S.H.; Park, M.H. Validation of Four Methods for Converting Scores on the Montreal Cognitive Assessment to Scores on the Mini-Mental State Examination-2. Dement. Neurocogn. Disord. 2021, 20, 41–51. [Google Scholar] [CrossRef]
- Folstein, M.F.; Folstein, S.E.; McHugh, P.R. “Mini-mental state”: A practical method for grading the cognitive state of patients for the clinician. J. Psychiatr. Res. 1975, 12, 189–198. [Google Scholar] [CrossRef] [PubMed]
- Han, C.; Jo, S.A.; Jo, I.; Kim, E.; Park, M.H.; Kang, Y. An adaptation of the Korean mini-mental state examination (K-MMSE) in elderly Koreans: Demographic influence and population-based norms (the AGE study). Arch. Gerontol. Geriatr. 2008, 47, 302–310. [Google Scholar] [CrossRef] [PubMed]
- Kang, Y.W.; Jahng, S.M.; Kim, S.Y.; Korean Dementia Association. Korean-Mini Mental State Examination, 2nd Edition (K-MMSE~2) User’s Guide; Hakjisa: Seoul, Republic of Korea, 2020. [Google Scholar]
- Choi, E.-K.; Ko, M.-H.; Park, S.-H.; Ha, K.-C.; Baek, H.-I.; Kim, Y.-J.; Lee, J.-Y.; Chae, H.-J.; Cho, K.-P.; Won, Y.H. Eriobotrya japonica Improves Cognitive Function in Healthy Adolescents: A 12-week, Randomized Double-blind, Placebo-controlled Clinical Trial. Int. J. Pharmacol. 2016, 12, 370–378. [Google Scholar] [CrossRef]
- Tatemichi, T.; Desmond, D.; Paik, M.; Stern, Y.; Sano, M.; Bart, M.; Mayeux, R.; Mohr, J. The Mini-Mental-State-Examination as a Screen for Dementia Following Stroke. J. Clin. Exp. Neuropsychol. 1991, 13, 419. [Google Scholar]
- Kim, J.H.; Han, J.Y.; Park, G.C.; Lee, J.S. Cognitive Improvement Effects of Electroacupuncture Combined with Computer-Based Cognitive Rehabilitation in Patients with Mild Cognitive Impairment: A Randomized Controlled Trial. Brain Sci. 2020, 10, 984. [Google Scholar] [CrossRef]
- Kueper, J.K.; Speechley, M.; Montero-Odasso, M. The Alzheimer’s disease assessment scale–cognitive subscale (ADAS-Cog): Modifications and responsiveness in pre-dementia populations. a narrative review. J. Alzheimer’s Dis. 2018, 63, 423–444. [Google Scholar] [CrossRef] [PubMed]
- Jung, E.-S.; Lee, J.-H.; Kim, H.-T.; Park, S.-S.; Kim, J.-E.; Cha, J.-Y.; Seol, I.-C.; Choi, Y.-E.; Yoo, H.-R. Effect of acupuncture on patients with mild cognitive impairment assessed using functional near-infrared spectroscopy on week 12 (close-out): A pilot study protocol. Integr. Med. Res. 2018, 7, 287–295. [Google Scholar] [CrossRef]
- Zec, R.F.; Landreth, E.S.; Vicari, S.K.; Feldman, E.; Belman, J.; Andrise, A.; Robbs, R.; Kumar, V.; Becker, R. Alzheimer disease assessment scale: Useful for both early detection and staging of dementia of the Alzheimer type. Alzheimer Dis. Assoc. Disord. 1992, 6, 89–102. [Google Scholar] [CrossRef]
- Stern, R.G.; Mohs, R.C.; Davidson, M.; Schmeidler, J.; Silverman, J.; Kramer-Ginsberg, E.; Searcey, T.; Bierer, L.; Davis, K.L. A longitudinal study of Alzheimer’s disease: Measurement, rate, and predictors of cognitive deterioration. Am. J. Psychiatry 1994, 151, 390–396. [Google Scholar]
- Skinner, J.; Carvalho, J.O.; Potter, G.G.; Thames, A.; Zelinski, E.; Crane, P.K.; Gibbons, L.E.; Alzheimer’s Disease Neuroimaging Initiative. The Alzheimer’s disease assessment scale-cognitive-plus (ADAS-Cog-Plus): An expansion of the ADAS-Cog to improve responsiveness in MCI. Brain Imaging Behav. 2012, 6, 489–501. [Google Scholar] [CrossRef] [PubMed]
- Raghavan, N.; Samtani, M.N.; Farnum, M.; Yang, E.; Novak, G.; Grundman, M.; Narayan, V.; DiBernardo, A.; Alzheimer’s Disease Neuroimaging Initiative. The ADAS-Cog revisited: Novel composite scales based on ADAS-Cog to improve efficiency in MCI and early AD trials. Alzheimer’s Dement. 2013, 9, S21–S31. [Google Scholar]
- Nogueira, J.; Freitas, S.; Duro, D.; Tabuas-Pereira, M.; Guerreiro, M.; Almeida, J.; Santana, I. Alzheimer’s Disease Assessment Scale-Cognitive Subscale (ADAS-Cog): Normative Data for the Portuguese Population. Acta Med. Port. 2018, 31, 94. [Google Scholar] [CrossRef]
- Hashimoto, M.; Matsuzaki, K.; Maruyama, K.; Sumiyoshi, E.; Hossain, S.; Wakatsuki, H.; Kato, S.; Ohno, M.; Tanabe, Y.; Kuroda, Y. Perilla frutescens seed oil combined with Anredera cordifolia leaf powder attenuates age-related cognitive decline by reducing serum triglyceride and glucose levels in healthy elderly Japanese individuals: A possible supplement for brain health. Food Funct. 2022, 13, 7226–7239. [Google Scholar] [CrossRef]
- Hashimoto, M.; Matsuzaki, K.; Maruyama, K.; Hossain, S.; Sumiyoshi, E.; Wakatsuki, H.; Kato, S.; Ohno, M.; Tanabe, Y.; Kuroda, Y. Perilla seed oil in combination with nobiletin-rich ponkan powder enhances cognitive function in healthy elderly Japanese individuals: A possible supplement for brain health in the elderly. Food Funct. 2022, 13, 2768–2781. [Google Scholar] [CrossRef]
- Hashimoto, M.; Matsuzaki, K.; Hossain, S.; Ito, T.; Wakatsuki, H.; Tanabe, Y.; Ohno, M.; Kato, S.; Yamashita, K.; Shido, O. Perilla seed oil enhances cognitive function and mental health in healthy elderly Japanese individuals by enhancing the biological antioxidant potential. Foods 2021, 10, 1130. [Google Scholar] [CrossRef]
- Hashimoto, M.; Matsuzaki, K.; Kato, S.; Hossain, S.; Ohno, M.; Shido, O. Twelve-month studies on Perilla oil intake in japanese adults—Possible supplement for mental health. Foods 2020, 9, 530. [Google Scholar] [CrossRef]
- Kang, N.S.; Lee, J.H. Characterisation of phenolic phytochemicals and quality changes related to the harvest times from the leaves of Korean purple perilla (Perilla frutescens). Food Chem. 2011, 124, 556–562. [Google Scholar] [CrossRef]
- Meng, L.; Lozano, Y.F.; Gaydou, E.M.; Li, B. Antioxidant activities of polyphenols extracted from Perilla frutescens varieties. Molecules 2008, 14, 133–140. [Google Scholar] [CrossRef]
- Oh, H.-A.; Kim, S.-H.; Cha, W.-S.; Kim, H.-M.; Jeong, H.-J. Anti-allergic effects of Perilla frutescens var. acuta Kudo 30% ethanol extract powder. Orient. Pharm. Exp. Med. 2010, 10, 173–183. [Google Scholar] [CrossRef]
- Banno, N.; Akihisa, T.; Tokuda, H.; Yasukawa, K.; Higashihara, H.; Ukiya, M.; Watanabe, K.; Kimura, Y.; Hasegawa, J.-i.; Nishino, H. Triterpene acids from the leaves of Perilla frutescens and their anti-inflammatory and antitumor-promoting effects. Biosci. Biotechnol. Biochem. 2004, 68, 85–90. [Google Scholar]
- Feng, L.-J.; Yu, C.-H.; Ying, K.-J.; Hua, J.; Dai, X.-Y. Hypolipidemic and antioxidant effects of total flavonoids of Perilla frutescens leaves in hyperlipidemia rats induced by high-fat diet. Food Res. Int. 2011, 44, 404–409. [Google Scholar] [CrossRef]
- Kim, D.-H.; Kim, Y.-C.; Choi, U.-K. Optimization of antibacterial activity of Perilla frutescens var. acuta leaf against Staphylococcus aureus using evolutionary operation factorial design technique. Int. J. Mol. Sci. 2011, 12, 2395–2407. [Google Scholar] [CrossRef] [PubMed]
- Oh, H.-A.; Park, C.-S.; Ahn, H.-J.; Park, Y.S.; Kim, H.-M. Effect of Perilla frutescens var. acuta Kudo and rosmarinic acid on allergic inflammatory reactions. Exp. Biol. Med. 2011, 236, 99–106. [Google Scholar] [CrossRef] [PubMed]
- Lee, A.Y.; Wu, T.T.; Hwang, B.R.; Lee, J.; Lee, M.-H.; Lee, S.; Cho, E.J. The neuro-protective effect of the methanolic extract of Perilla frutescens var. japonica and rosmarinic acid against H2O2-induced oxidative stress in C6 glial cells. Biomol. Ther. 2016, 24, 338. [Google Scholar]
- Thomas, S.S.; Kim, M.; Lee, S.J.; Cha, Y.S. Antiobesity effects of purple perilla (Perilla frutescens var. acuta) on adipocyte differentiation and mice fed a high-fat diet. J. Food Sci. 2018, 83, 2384–2393. [Google Scholar] [CrossRef]
- Jack, C.R.; Knopman, D.S.; Jagust, W.J.; Petersen, R.C.; Weiner, M.W.; Aisen, P.S.; Shaw, L.M.; Vemuri, P.; Wiste, H.J.; Weigand, S.D. Tracking pathophysiological processes in Alzheimer’s disease: An updated hypothetical model of dynamic biomarkers. Lancet Neurol. 2013, 12, 207–216. [Google Scholar]
- Blennow, K. A review of fluid biomarkers for Alzheimer’s disease: Moving from CSF to blood. Neurol. Ther. 2017, 6, 15–24. [Google Scholar] [CrossRef] [PubMed]
- Janelidze, S.; Stomrud, E.; Palmqvist, S.; Zetterberg, H.; Van Westen, D.; Jeromin, A.; Song, L.; Hanlon, D.; Tan Hehir, C.A.; Baker, D. Plasma β-amyloid in Alzheimer’s disease and vascular disease. Sci. Rep. 2016, 6, 26801. [Google Scholar] [CrossRef] [PubMed]
- Risacher, S.L.; Fandos, N.; Romero, J.; Sherriff, I.; Pesini, P.; Saykin, A.J.; Apostolova, L.G. Plasma amyloid beta levels are associated with cerebral amyloid and tau deposition. Alzheimer’s Dement. Diagn. Assess. Dis. Monit. 2019, 11, 510–519. [Google Scholar] [CrossRef] [PubMed]
- Kawarabayashi, T.; Younkin, L.H.; Saido, T.C.; Shoji, M.; Ashe, K.H.; Younkin, S.G. Age-dependent changes in brain, CSF, and plasma amyloid β protein in the Tg2576 transgenic mouse model of Alzheimer’s disease. J. Neurosci. 2001, 21, 372–381. [Google Scholar] [CrossRef]
- Lommatzsch, M.; Zingler, D.; Schuhbaeck, K.; Schloetcke, K.; Zingler, C.; Schuff-Werner, P.; Virchow, J.C. The impact of age, weight and gender on BDNF levels in human platelets and plasma. Neurobiol. Aging 2005, 26, 115–123. [Google Scholar]
- Heneka, M.T.; Gauthier, S.; Chandekar, S.A.; Hviid Hahn-Pedersen, J.; Bentsen, M.A.; Zetterberg, H. Neuroinflammatory fluid biomarkers in patients with Alzheimer’s disease: A systematic literature review. Mol. Psychiatry 2025, 30, 2783–2798. [Google Scholar] [CrossRef]
- Gupta, U.; Verma, M. Placebo in clinical trials. Perspect. Clin. Res. 2013, 4, 49–52. [Google Scholar] [CrossRef]
- You, Y.X.; Shahar, S.; Rajab, N.F.; Haron, H.; Yahya, H.M.; Mohamad, M.; Din, N.C.; Maskat, M.Y. Effects of 12 Weeks Cosmos caudatus Supplement among Older Adults with Mild Cognitive Impairment: A Randomized, Double-Blind and Placebo-Controlled Trial. Nutrients 2021, 13, 434. [Google Scholar] [CrossRef]
- Jacobs, D.M.; Ard, M.C.; Salmon, D.P.; Galasko, D.R.; Bondi, M.W.; Edland, S.D. Potential implications of practice effects in Alzheimer’s disease prevention trials. Alzheimer’s Dement. Transl. Res. Clin. Interv. 2017, 3, 531–535. [Google Scholar] [CrossRef]
- Duehring, J.A.; Jacobs, D.M.; Thomas, M.L.; Dodge, H.H.; Feldman, H.H.; Edland, S.D. Implications of practice effects for the design of Alzheimer clinical trials. Alzheimer’s Dement. Transl. Res. Clin. Interv. 2025, 11, e70154. [Google Scholar] [CrossRef]
- Baek, H.-I.; Kwon, S.-Y.; Noh, H.-J.; Son, S.Y.; Joo, J.C.; Park, S.J. Efficacy and Safety of Lactobacillus delbrueckii subsp. lactis CKDB001 Supplementation on Cognitive Function in Mild Cognitive Impairment: A Randomized, Double-Blind, Placebo-Controlled Clinical Trial. Nutrients 2025, 17, 3313. [Google Scholar] [CrossRef] [PubMed]
- Lee, E.H.; Kim, G.H.; Park, H.K.; Kang, H.J.; Park, Y.K.; Lee, H.A.; Hong, C.H.; Moon, S.Y.; Kang, W.; Oh, H.-S. Effects of the multidomain intervention with nutritional supplements on cognition and gut microbiome in early symptomatic Alzheimer’s disease: A randomized controlled trial. Front. Aging Neurosci. 2023, 15, 1266955. [Google Scholar] [CrossRef]
- Asaoka, D.; Xiao, J.; Takeda, T.; Yanagisawa, N.; Yamazaki, T.; Matsubara, Y.; Sugiyama, H.; Endo, N.; Higa, M.; Kasanuki, K. Effect of probiotic Bifidobacterium breve in improving cognitive function and preventing brain atrophy in older patients with suspected mild cognitive impairment: Results of a 24-week randomized, double-blind, placebo-controlled trial. J. Alzheimer’s Dis. 2022, 88, 75–95. [Google Scholar] [CrossRef]
- Pakdaman, H.; Amini Harandi, A.; Abbasi, M.; Delavar Kasmaei, H.; Ashrafi, F.; Gharagozli, K.; Assarzadegan, F.; Behnam, B.; Arabahmadi, M. Efficacy and safety of MLC601 in the treatment of mild cognitive impairment: A pilot, randomized, double-blind, placebo-controlled study. Dement. Geriatr. Cogn. Disord. Extra 2017, 7, 136–142. [Google Scholar] [CrossRef]
- You, C.-x.; Wang, Y.; Zhang, W.-j.; Yang, K.; Wu, Y.; Geng, Z.-f.; Chen, H.-p.; Jiang, H.-y.; Du, S.-s.; Deng, Z.-w. Chemical constituents and biological activities of the Purple Perilla essential oil against Lasioderma serricorne. Ind. Crops Prod. 2014, 61, 331–337. [Google Scholar]
- Tricco, A.C.; Soobiah, C.; Berliner, S.; Ho, J.M.; Ng, C.H.; Ashoor, H.M.; Chen, M.H.; Hemmelgarn, B.; Straus, S.E. Efficacy and safety of cognitive enhancers for patients with mild cognitive impairment: A systematic review and meta-analysis. CMAJ 2013, 185, 1393–1401. [Google Scholar] [CrossRef]
- Doody, R.; Ferris, S.; Salloway, S.; Sun, Y.; Goldman, R.; Watkins, W.; Xu, Y.; Murthy, A. Donepezil treatment of patients with MCI: A 48-week randomized, placebo-controlled trial. Neurology 2009, 72, 1555–1561. [Google Scholar] [CrossRef] [PubMed]
- Winblad, B.; Gauthier, S.; Scinto, L.; Feldman, H.; Wilcock, G.; Truyen, L.; Mayorga, A.; Wang, D.; Brashear, H.; Nye, J. Safety and efficacy of galantamine in subjects with mild cognitive impairment. Neurology 2008, 70, 2024–2035. [Google Scholar] [CrossRef]
- Petersen, R.C.; Thomas, R.G.; Grundman, M.; Bennett, D.; Doody, R.; Ferris, S.; Galasko, D.; Jin, S.; Kaye, J.; Levey, A. Vitamin E and donepezil for the treatment of mild cognitive impairment. N. Engl. J. Med. 2005, 352, 2379–2388. [Google Scholar] [CrossRef]
- Salloway, S.; Ferris, S.; Kluger, A.; Goldman, R.; Griesing, T.; Kumar, D.; Richardson, S. Efficacy of donepezil in mild cognitive impairment: A randomized placebo-controlled trial. Neurology 2004, 63, 651–657. [Google Scholar] [CrossRef] [PubMed]
- Ionescu-Tucker, A.; Cotman, C.W. Emerging roles of oxidative stress in brain aging and Alzheimer’s disease. Neurobiol. Aging 2021, 107, 86–95. [Google Scholar] [CrossRef] [PubMed]
- Kamat, P.K.; Kalani, A.; Rai, S.; Swarnkar, S.; Tota, S.; Nath, C.; Tyagi, N. Mechanism of oxidative stress and synapse dysfunction in the pathogenesis of Alzheimer’s disease: Understanding the therapeutics strategies. Mol. Neurobiol. 2016, 53, 648–661. [Google Scholar] [CrossRef] [PubMed]




| PE Group (n = 50) | Placebo Group (n = 50) | p-Value 1 | ||
|---|---|---|---|---|
| Age (years) | 64.96 ± 6.03 | 65.60 ± 5.86 | 0.681 | |
| Sex (male/female, %) | 5 (10.0)/45 (90.0) | 7 (14.0)/43 (86.0) | 0.760 2 | |
| Height (cm) | 157.06 ± 5.99 | 156.56 ± 6.75 | 0.557 | |
| Weight (kg) | 62.21 ± 8.48 | 59.25 ± 7.66 | 0.098 | |
| BMI (kg/m2) | 25.14 ± 3.01 | 24.16 ± 2.65 | 0.143 | |
| SBP (mmHg) | 125.28 ± 10.05 | 121.52 ± 10.59 | 0.052 | |
| DBP (mmHg) | 75.10 ± 7.25 | 72.36 ± 8.87 | 0.671 | |
| Pulse rate (beats/minute) | 70.06 ± 8.20 | 71.84 ± 10.67 | 0.970 | |
| Temperature (°C) | 36.43 ± 0.23 | 36.43 ± 0.24 | 0.435 | |
| Smoking | Yes | 0 (0.0) | 1 (2.0) | 1.000 2 |
| No | 50 (100.0) | 49 (98.0) | ||
| cigarettes/day | - | 5.00 ± 0.00 | ||
| Alcohol | Yes | 7 (14.0) | 12 (24.0) | 0.308 2 |
| No | 43 (86.0) | 38 (76.0) | ||
| units/week | 4.50 ± 3.52 | 4.02 ± 3.44 | ||
| K–MMSE–2 total score | 26.62 ± 0.67 | 26.54 ± 0.65 | 0.525 | |
| ADAS–Cog total score | 15.98 ± 5.00 | 17.56 ± 4.89 | 0.063 | |
| PE Group (n = 47) | Placebo Group (n = 46) | p-Value 2 | |||||||
|---|---|---|---|---|---|---|---|---|---|
| Baseline | 12 Weeks | Change Value | p-Value 1 | Baseline | 12 Weeks | Change Value | p-Value 1 | ||
| K–MMSE–2 total score | 26.62 ± 0.68 | 28.87 ± 1.17 | 2.25 ± 1.09 | <0.001 | 26.57 ± 0.66 | 27.72 ± 1.54 | 1.15 ± 1.67 | <0.001 | 0.001 ** |
| Memory registration | 2.98 ± 0.15 | 3.00 ± 0.00 | 0.02 ± 0.15 | 0.317 | 3.00 ± 0.00 | 3.00 ± 0.00 | - | - | 0.323 |
| Time orientation | 4.85 ± 0.42 | 4.96 ± 0.20 | 0.11 ± 0.48 | 0.132 | 4.91 ± 0.28 | 4.93 ± 0.25 | 0.02 ± 0.39 | 0.705 | 0.806 |
| Space orientation | 4.79 ± 0.46 | 4.83 ± 0.38 | 0.04 ± 0.59 | 0.617 | 4.89 ± 0.38 | 4.87 ± 0.34 | −0.02 ± 0.45 | 0.739 | 0.169 |
| Memory recall | 1.49 ± 0.69 | 2.72 ± 0.45 | 1.23 ± 0.81 | <0.001 | 1.59 ± 0.80 | 2.26 ± 0.85 | 0.67 ± 0.97 | <0.001 | 0.142 |
| Attention and calculation | 3.72 ± 0.77 | 4.38 ± 0.77 | 0.66 ± 1.03 | <0.001 | 3.57 ± 0.83 | 3.89 ± 1.04 | 0.33 ± 1.10 | 0.048 | 0.027 * |
| Language | 7.85 ± 0.47 | 8.00 ± 0.00 | 0.15 ± 0.47 | 0.038 | 7.63 ± 0.71 | 7.76 ± 0.60 | 0.13 ± 0.96 | 0.335 | 0.001 ** |
| Drawing | 0.94 ± 0.25 | 0.98 ± 0.15 | 0.04 ± 0.29 | 0.317 | 0.98 ± 0.15 | 1.00 ± 0.00 | 0.02 ± 0.15 | 0.317 | 0.183 |
| PE Group (n = 47) | Placebo Group (n = 46) | p-Value 2 | |||||||
|---|---|---|---|---|---|---|---|---|---|
| Baseline | 12 Weeks | Change Value | p-Value 1 | Baseline | 12 Weeks | Change Value | p-Value 1 | ||
| ADAS–Cog Total Score | 16.09 ± 5.06 | 9.72 ± 4.48 | −6.36 ± 5.12 | <0.001 | 17.33 ± 4.81 | 15.07 ± 5.08 | −2.26 ± 4.33 | 0.002 | 0.001 ** |
| Word Recall | 3.62 ± 1.17 | 2.38 ± 1.07 | −1.23 ± 1.25 | <0.001 | 3.89 ± 0.99 | 3.39 ± 1.00 | −0.50 ± 1.09 | 0.004 | <0.001 *** |
| Commands | 0.55 ± 0.69 | 0.23 ± 0.43 | −0.32 ± 0.75 | 0.007 | 0.63 ± 0.61 | 0.63 ± 0.64 | 0.00 ± 0.87 | 1.000 | 0.005 ** |
| Construction | 0.62 ± 0.61 | 0.47 ± 0.50 | −0.15 ± 0.72 | 0.162 | 0.70 ± 0.59 | 0.63 ± 0.53 | −0.07 ± 0.65 | 0.491 | 0.135 |
| Delayed Word Recall | 3.30 ± 1.44 | 1.77 ± 1.32 | −1.53 ± 1.43 | <0.001 | 3.61 ± 1.41 | 3.07 ± 1.42 | −0.54 ± 1.39 | 0.012 | <0.001 *** |
| Naming | 0.38 ± 0.53 | 0.09 ± 0.28 | −0.30 ± 0.51 | <0.001 | 0.48 ± 0.59 | 0.37 ± 0.57 | −0.11 ± 0.57 | 0.197 | 0.016 * |
| Ideational Praxis | 0.70 ± 0.55 | 0.62 ± 0.57 | −0.09 ± 0.54 | 0.285 | 0.85 ± 0.51 | 0.67 ± 0.56 | −0.17 ± 0.49 | 0.021 | 0.200 |
| Orientation | 0.26 ± 1.19 | 0.09 ± 0.28 | −0.17 ± 1.24 | 0.564 | 0.07 ± 0.33 | 0.07 ± 0.25 | 0.00 ± 0.42 | 1.000 | 0.290 |
| Word Recognition | 3.34 ± 2.05 | 2.17 ± 1.74 | −1.17 ± 2.37 | 0.002 | 3.52 ± 2.18 | 3.33 ± 1.84 | −0.20 ± 2.10 | 0.474 | 0.008 ** |
| Recall Instructions | 0.04 ± 0.20 | 0.00 ± 0.00 | −0.04 ± 0.20 | 0.157 | 0.24 ± 0.64 | 0.04 ± 0.29 | −0.20 ± 0.50 | 0.014 | 0.045 * |
| Number Cancelation | 1.30 ± 0.93 | 0.96 ± 0.91 | −0.34 ± 1.01 | 0.022 | 1.35 ± 0.90 | 1.33 ± 0.92 | −0.02 ± 0.83 | 0.858 | 0.167 |
| Spoken Language | 0.26 ± 0.44 | 0.06 ± 0.25 | −0.19 ± 0.40 | 0.003 | 0.30 ± 0.47 | 0.17 ± 0.38 | −0.13 ± 0.50 | 0.083 | 0.175 |
| Word-Finding Difficulty | 0.68 ± 0.47 | 0.21 ± 0.41 | −0.47 ± 0.50 | <0.001 | 0.65 ± 0.48 | 0.37 ± 0.49 | −0.28 ± 0.54 | 0.002 | 0.383 |
| Comprehension | 1.04 ± 0.66 | 0.68 ± 0.56 | −0.36 ± 0.70 | 0.002 | 1.04 ± 0.70 | 1.00 ± 0.60 | −0.04 ± 0.76 | 0.697 | 0.080 |
| PE Group (n = 47) | Placebo Group (n = 46) | p-Value 2 | |||||||
|---|---|---|---|---|---|---|---|---|---|
| Baseline | 12 Weeks | Change Value | p-Value 1 | Baseline | 12 Weeks | Change Value | p-Value 1 | ||
| Amyloid β (pg/mL) | 12.17 ± 45.84 | 10.44 ± 33.67 | −1.73 ± 13.46 | 0.840 | 3.81 ± 2.84 | 4.30 ± 4.36 | 0.49 ± 2.36 | 0.959 | 0.569 |
| BDNF (pg/mL) | 25,391.00 ± 7627.43 | 25,908.36 ± 7217.72 | 17.36 ± 5467.07 | 0.975 | 25,038.46 ± 6291.31 | 24,464.70 ± 6020.40 | −573.76 ± 6838.40 | 0.722 | 0.830 |
| PE Group (n = 50) | Placebo Group (n = 50) | p-Value 2 | |||||||
|---|---|---|---|---|---|---|---|---|---|
| Baseline | 12 Weeks | Change Value | p-Value 1 | Baseline | 12 Weeks | Change Value | p-Value 1 | ||
| Hematology | |||||||||
| WBC (103/μL) | 6.00 ± 1.51 | 5.88 ± 1.26 | −0.12 ± 0.83 | 0.424 | 5.94 ± 1.67 | 5.78 ± 1.14 | −0.16 ± 1.48 | 0.804 | 0.512 |
| RBC (1003/μ) | 4.36 ± 0.35 | 4.36 ± 0.33 | 0.00 ± 0.15 | 0.836 | 13.30 ± 0.91 | 13.30 ± 0.93 | −0.01 ± 0.19 | 0.553 | 0.535 |
| Hemoglobin (g/dL) | 13.46 ± 1.04 | 13.48 ± 1.06 | 0.02 ± 0.46 | 0.828 | 4.27 ± 0.34 | 4.27 ± 0.34 | 0.01 ± 0.53 | 0.933 | 0.865 |
| Hematocrit (%) | 40.88 ± 2.72 | 40.59 ± 2.82 | −0.29 ± 1.22 | 0.066 | 40.12 ± 2.66 | 39.88 ± 2.62 | −0.24 ± 1.64 | 0.279 | 0.992 |
| Platelet (103/μL) | 241.52 ± 49.04 | 238.22 ± 45.73 | −3.30 ± 26.47 | 0.559 | 233.38 ± 50.80 | 237.80 ± 50.44 | 4.42 ± 18.85 | 0.071 | 0.130 |
| Biochemistry | |||||||||
| ALP (U/L) | 191.76 ± 58.23 | 197.74 ± 78.20 | 5.98 ± 67.65 | 0.627 | 192.56 ± 50.32 | 198.96 ± 70.76 | 6.40 ± 51.98 | 0.857 | 0.537 |
| AST (U/L) | 24.84 ± 6.39 | 47.30 ± 152.38 | 22.46 ± 152.25 | 0.221 | 21.42 ± 6.93 | 22.96 ± 9.48 | 0.92 ± 5.66 | 0.202 | 0.693 |
| ALT (U/L) | 21.94 ± 8.06 | 35.50 ± 89.53 | 13.56 ± 89.67 | 0.171 | 25.54 ± 4.87 | 26.46 ± 6.29 | 1.54 ± 8.61 | 0.321 | 0.95 |
| Total bilirubin (mg/dL) | 0.67 ± 0.19 | 0.73 ± 0.22 | 0.05 ± 0.20 | 0.075 | 0.77 ± 0.29 | 0.71 ± 0.26 | −0.06 ± 0.16 | 0.025 | 0.007 |
| Total protein (g/dL) | 6.74 ± 0.41 | 6.90 ± 0.31 | 0.16 ± 0.35 | 0.003 | 6.79 ± 0.41 | 6.90 ± 0.33 | 0.11 ± 0.31 | 0.018 | 0.447 |
| Albumin (g/dL) | 4.14 ± 0.22 | 4.20 ± 0.23 | 0.06 ± 0.23 | 0.031 | 4.24 ± 0.23 | 4.26 ± 0.21 | 0.02 ± 0.20 | 0.478 | 0.197 |
| Gamma-GT (U/L) | 22.22 ± 14.87 | 24.84 ± 23.50 | 2.62 ± 22.17 | 0.483 | 21.20 ± 11.31 | 24.56 ± 35.32 | 3.36 ± 27.81 | 0.734 | 0.645 |
| BUN (mg/dL) | 15.15 ± 4.09 | 14.78 ± 3.34 | −0.37 ± 3.95 | 0.783 | 14.98 ± 3.11 | 14.83 ± 3.48 | −0.15 ± 3.34 | 0.747 | 0.978 |
| Creatinine (mg/dL) | 0.79 ± 0.11 | 0.81 ± 0.12 | 0.02 ± 0.09 | 0.092 | 0.82 ± 0.15 | 0.85 ± 0.14 | 0.02 ± 0.09 | 0.076 | 0.991 |
| Total Cholesterol (mg/dL) | 195.26 ± 41.55 | 197.08 ± 43.31 | 1.82 ± 21.06 | 0.307 | 200.48 ± 40.60 | 196.60 ± 41.23 | −3.88 ± 27.60 | 0.477 | 0.244 |
| HDL Cholesterol (mg/dL) | 54.30 ± 13.99 | 53.66 ± 13.47 | −0.64 ± 9.58 | 0.826 | 55.14 ± 12.93 | 53.56 ± 12.95 | −1.58 ± 8.37 | 0.094 | 0.134 |
| Triglyceride (mg/dL) | 104.54 ± 63.90 | 108.58 ± 51.87 | 4.04 ± 47.68 | 0.333 | 109.72 ± 53.78 | 115.74 ± 56.56 | 6.02 ± 46.23 | 0.431 | 0.847 |
| Glucose (mg/dL) | 97.06 ± 11.54 | 98.02 ± 11.32 | 0.96 ± 8.47 | 0.256 | 98.40 ± 10.22 | 99.72 ± 11.61 | 1.32 ± 7.44 | 0.469 | 0.507 |
| LD (U/L) | 202.00 ± 29.24 | 199.78 ± 40.47 | −2.22 ± 36.38 | 0.087 | 205.66 ± 30.26 | 200.30 ± 30.51 | −5.36 ± 16.71 | 0.015 | 0.374 |
| LDL Cholesterol (mg/dL) | 125.18 ± 36.78 | 125.24 ± 39.39 | 0.06 ± 17.08 | 0.835 | 127.24 ± 38.51 | 124.28 ± 40.79 | −2.96 ± 27.05 | 0.631 | 0.807 |
| Creatinine kinase (U/L) | 106.66 ± 49.59 | 100.34 ± 39.22 | −6.32 ± 34.11 | 0.210 | 116.78 ± 72.61 | 112.22 ± 61.32 | −4.56 ± 78.81 | 0.537 | 0.929 |
| Urinalysis | |||||||||
| Specific gravity | 1.00 ± 0.14 | 1.02 ± 0.01 | 0.02 ± 0.14 | 0.093 | 1.02 ± 0.01 | 1.02 ± 0.01 | 0.00 ± 0.01 | 0.289 | 0.408 |
| pH | 5.84 ± 0.91 | 5.96 ± 0.90 | 0.12 ± 1.01 | 0.316 | 5.71 ± 0.85 | 5.97 ± 1.02 | 0.26 ± 0.97 | 0.020 | 0.628 |
Disclaimer/Publisher’s Note: The statements, opinions and data contained in all publications are solely those of the individual author(s) and contributor(s) and not of MDPI and/or the editor(s). MDPI and/or the editor(s) disclaim responsibility for any injury to people or property resulting from any ideas, methods, instructions or products referred to in the content. |
© 2026 by the authors. Licensee MDPI, Basel, Switzerland. This article is an open access article distributed under the terms and conditions of the Creative Commons Attribution (CC BY) license.
Share and Cite
Baek, H.-I.; Joo, J.C.; Kim, S.-K.; Park, M.-H.; Cho, G.H.; Shen, L.; Park, S.J. Efficacy and Safety of Standardized Ethanol Extract of Purple Perilla (Perilla frutescens Britton var. acuta Kudo) Leaves in Cognitive Impairment: A Randomized, Double-Blind, Placebo-Controlled Clinical Trial. Nutrients 2026, 18, 960. https://doi.org/10.3390/nu18060960
Baek H-I, Joo JC, Kim S-K, Park M-H, Cho GH, Shen L, Park SJ. Efficacy and Safety of Standardized Ethanol Extract of Purple Perilla (Perilla frutescens Britton var. acuta Kudo) Leaves in Cognitive Impairment: A Randomized, Double-Blind, Placebo-Controlled Clinical Trial. Nutrients. 2026; 18(6):960. https://doi.org/10.3390/nu18060960
Chicago/Turabian StyleBaek, Hyang-Im, Jong Cheon Joo, Sung-Kyu Kim, Mi-Houn Park, Gun Hee Cho, Lei Shen, and Soo Jung Park. 2026. "Efficacy and Safety of Standardized Ethanol Extract of Purple Perilla (Perilla frutescens Britton var. acuta Kudo) Leaves in Cognitive Impairment: A Randomized, Double-Blind, Placebo-Controlled Clinical Trial" Nutrients 18, no. 6: 960. https://doi.org/10.3390/nu18060960
APA StyleBaek, H.-I., Joo, J. C., Kim, S.-K., Park, M.-H., Cho, G. H., Shen, L., & Park, S. J. (2026). Efficacy and Safety of Standardized Ethanol Extract of Purple Perilla (Perilla frutescens Britton var. acuta Kudo) Leaves in Cognitive Impairment: A Randomized, Double-Blind, Placebo-Controlled Clinical Trial. Nutrients, 18(6), 960. https://doi.org/10.3390/nu18060960

