From Fetal Growth Restriction to Adolescent Cardiometabolic Risk: The Impact of Catch-Up Growth and Adiposity
Abstract
1. Introduction
1.1. Fetal Metabolic Programming and Endocrine Adaptations
1.2. Catch-Up Growth: From Physiological Adaptation to Pathological Risk
1.3. Metabolic Syndrome in Adolescence: An Early Window of Risk
1.4. Adipokines as Emerging Biomarkers of Cardiometabolic Risk
1.5. Novelty and Significance of the Study
2. Materials and Methods
2.1. Study Design
2.2. Participants
2.3. Anthropometric and Clinical Variables and Term Definitions
- Weight and Height: Used to calculate BMI (weight (kg) divided by height squared (m2)) and corresponding Z-scores based on WHO reference curves, adjusted for age and sex [51]. According to the WHO interpretation of BMI for age (5 to 19 years) chart, a normal weight was defined as a BMI value between −2 and +2 SD, overweight was defined as a BMI value between +1 SD and ≤+2 SD, and obesity was defined as a BMI value of >+2 SD. Catch-up growth was defined as a rise greater than 0.67 in weight- or BMI-for-age z-scores relative to birth or current measurements. This 0.67 cutoff was used because it reflects the distance between successive percentile lines on commonly used pediatric growth charts, thus representing a clinically meaningful shift across percentile ranges [52].
- Abdominal Circumference (WC): Used to identify central obesity, defined as WC > 90 percentile, adjusted for age and sex [53].
- Waist-to-Height Ratio (WHtR): Calculated to assess abdominal adiposity, with a threshold of WHtR ≥ 0.5 → abdominal obesity [54].
- Metabolic syndrome (MetS): According to the International Diabetes Federation (IDF) pediatric criteria, metabolic syndrome in children and adolescents aged 10 to <16 years is defined by the presence of central obesity, assessed by waist circumference ≥ the 90th percentile, in addition to at least two of the following criteria: triglyceride levels ≥ 1.7 mmol/L (≥1500 mg/L), HDL cholesterol < 1.03 mmol/L (<400 mg/L), blood pressure ≥130/85 mmHg or ≥the 90th percentile for age, sex, and height, and fasting plasma glucose ≥ 5.6 mmol/L (≥1000 mg/L) or previously diagnosed type 2 diabetes [54].
- Dyslipidemia: According to the Expert Panel on Integrated Guidelines for Cardiovascular Health [57], for children aged 10–19 years, borderline high values for total cholesterol are considered to be between 1700 and 1990 mg/L, and high values are defined as ≥2000 mg/L; LDL cholesterol values between 1100 and 1290 mg/L are considered borderline high, while a value ≥ 1300 mg/L is considered high; HDL values < 400 mg/L are considered low; triglyceride values between 900 and 1290 mg/L are considered borderline high, while a value ≥ 1300 mg/L represents a high value [57].
- Term birth is defined as delivery occurring between 37 + 0 and 41 + 6 completed weeks of gestation [58].
2.4. Ethical Considerations
2.5. Statistical Analysis
3. Results
3.1. Baseline Characteristics and Current Nutritional Status
3.2. Association Between Birth Weight and Metabolic Syndrome Elements
3.3. Association Between Birth Weight and Adipokine Profile
3.4. Association Between Catch-Up Growth and Cardiometabolic Risk in the FGR Group
3.5. Interaction Between Catch-Up Growth and Current Weight Status in the FGR Group
3.6. Independent Predictors of Cardiometabolic Risk
3.7. Mediation Analysis of the Relationship Between Catch-Up Growth and Cardiometabolic Risk
3.8. Sensitivity Analysis—Firth Logistic Regression
4. Discussion
4.1. Absence of Global Cardiometabolic Differences Between FGR and Control Adolescents
4.2. Catch-Up Growth as a Key Determinant of Cardiometabolic Risk Within the FGR Group
4.3. Role of Adiposity and Interaction with Current Weight Status
4.4. Mechanistic Insights from Mediation Analysis and Clinical Implications
4.5. Adipokine Profile and Early Metabolic Signaling
4.6. Limitations and Future Directions
5. Conclusions
Author Contributions
Funding
Institutional Review Board Statement
Informed Consent Statement
Data Availability Statement
Acknowledgments
Conflicts of Interest
Abbreviations
| FGR | Fetal growth restriction |
| WHO | World Health Organization |
| DOHaD | Developmental origins of health and disease |
| AGA | Appropriate for gestational age |
| SGA | Small for gestational age |
| SD | Standard deviation |
| BMI | Body mass index |
| WC | Waist circumference |
| WHtR | Waist-to-height ratio |
| BP | Blood pressure |
| HPA axis | Hypothalamic–pituitary–adrenal axis |
| MetS | Metabolic syndrome |
| ELISA | Enzyme-linked immunosorbent |
References
- Damhuis, S.E.; Ganzevoort, W.; Gordijn, S.J. Abnormal fetal growth: Small for gestational age, fetal growth restriction, large for gestational age: Definitions and epidemiology. Obstet. Gynecol. Clin. N. Am. 2021, 48, 267–279. [Google Scholar] [CrossRef] [PubMed]
- Armengaud, J.-B.; Yzydorczyk, C.; Siddeek, B.; Peyter, A.C.; Simeoni, U. Intrauterine growth restriction: Clinical consequences on health and disease at adulthood. Reprod. Toxicol. 2021, 99, 168–176. [Google Scholar] [CrossRef] [PubMed]
- Adam-Raileanu, A.; Nedelcu, A.H.; Lupu, A.; Țarcă, V.; Bozomitu, L.; Forna, L.; Ioniuc, I.; Mihai, C.M.; Chisnoiu, T.; Țarcă, E.; et al. Fetal growth restriction and its metabolism-related long-term outcomes—Underlying mechanisms and clinical implications. Nutrients 2025, 17, 555. [Google Scholar] [CrossRef] [PubMed]
- Barker, D.J.; Osmond, C. Infant mortality, childhood nutrition and ischaemic heart disease in England and Wales. Lancet 1986, 1, 1077–1081. [Google Scholar] [CrossRef]
- Barker, D.J. The fetal and infant origins of adult disease. BMJ 1990, 301, 1111. [Google Scholar] [CrossRef]
- Barker, D.J.; Hales, C.N.; Fall, C.H.; Osmond, C.; Phipps, K.; Clark, P.M. Type 2 (non-insulin-dependent) diabetes mellitus, hypertension and hyperlipidaemia (syndrome X): Relation to reduced fetal growth. Diabetologia 1993, 36, 62–66. [Google Scholar] [CrossRef]
- Joss-Moore, L.A.; Lane, R.H. The developmental origins of adult disease. Curr. Opin. Pediatr. 2009, 21, 230–234. [Google Scholar] [CrossRef][Green Version]
- Hales, C.N.; Barker, D.J. The thrifty phenotype hypothesis. Br. Med. Bull. 2001, 60, 5–20. [Google Scholar] [CrossRef]
- Regnault, T.R.H.; de Vrijer, B.; Galan, H.L.; Wilkening, R.B.; Battaglia, F.C.; Meschia, G. Development and mechanisms of fetal hypoxia in severe fetal growth restriction. Placenta 2007, 28, 714–723. [Google Scholar] [CrossRef]
- Itoh, H.; Ueda, M.; Suzuki, M.; Kohmura-Kobayashi, Y. Developmental origins of metaflammation: A bridge between DOHaD theory and evolutionary biology. Front. Endocrinol. 2022, 13, 839436. [Google Scholar] [CrossRef]
- Neel, J.V. Diabetes mellitus: A “thrifty” genotype rendered detrimental by “progress”? Am. J. Hum. Genet. 1962, 14, 353–362. [Google Scholar]
- Bateson, P.; Barker, D.; Clutton-Brock, T.; Debal, D.; D’Udine, B.; Foley, R.; Gluckman, P.; Godfrey, K.; Kirkwood, T.; Lahr, M.M.; et al. Developmental plasticity and human health. Nature 2004, 430, 419–421. [Google Scholar] [CrossRef]
- Forsén, T.; Eriksson, J.; Tuomilehto, J.; Reunanen, A.; Osmond, C.; Barker, D. The fetal and childhood growth of persons who develop type 2 diabetes. Ann. Intern. Med. 2000, 133, 176–182. [Google Scholar] [CrossRef] [PubMed]
- Kamphof, H.D.; Posthuma, S.; Gordijn, S.J.; Ganzevoort, W. Fetal growth restriction: Mechanisms, epidemiology, and management. Matern. Fetal Med. 2022, 4, 186–196. [Google Scholar] [CrossRef] [PubMed]
- Nadel, A.; Prabhu, M.; Kaimal, A. Fetal growth restriction: A pragmatic approach. Am. J. Perinatol. 2025, 42, 1223–1228. [Google Scholar] [CrossRef] [PubMed]
- Ergaz, Z.; Avgil, M.; Ornoy, A. Intrauterine growth restriction—Etiology and consequences: What do we know about the human situation and experimental animal models? Reprod. Toxicol. 2005, 20, 301–322. [Google Scholar] [CrossRef]
- Coppola, H.; Al-Khalidi, K.; Gremlich, S.; Viertl, D.; Simeoni, U.; Armengaud, J.B.; Yzydorczyk, C. The hidden impact of intrauterine growth restriction in the pathogenesis of metabolic syndrome: Functional and structural alterations in rat visceral adipose tissue. J. Nutr. Biochem. 2025, 110, 110096. [Google Scholar] [CrossRef]
- Hu, Q.; Zhang, Z.; Yang, F.; Fan, Z.; Li, Y.; Li, P. Intrauterine growth restriction induces persistent adipose inflammation and metabolic abnormalities in rats among various postnatal growth trajectories. BMC Med. Genom. 2025, 18, 161. [Google Scholar] [CrossRef]
- Cianfarani, S.; Geremia, C.; Scott, C.D.; Germani, D. Growth, IGF system, and cortisol in children with intrauterine growth retardation: Is catch-up growth affected by reprogramming of the hypothalamic–pituitary–adrenal axis? Pediatr. Res. 2002, 51, 94–99. [Google Scholar] [CrossRef]
- Carbonne, B.; Jannet, D.; Milliez, J. Fetal growth restriction. Lancet 2000, 355, 1367–1368. [Google Scholar] [CrossRef]
- Keshavjee, B.; Lambelet, V.; Coppola, H.; Viertl, D.; Prior, J.O.; Kappeler, L.; Armengaud, J.B.; Chouraqui, J.P.; Chehade, H.; Vanderriele, P.E.; et al. Stress-induced premature senescence related to oxidative stress in the developmental programming of nonalcoholic fatty liver disease in a rat model of intrauterine growth restriction. Antioxidants 2022, 11, 1695. [Google Scholar] [CrossRef] [PubMed]
- Li, L.; Zhou, L.; Li, W.; Shi, F.; Feng, X.; Zhuang, J. Oxidative stress biomarkers in fetal growth restriction: A systematic review and meta-analysis. Arch. Gynecol. Obstet. 2025, 312, 1063–1084. [Google Scholar] [CrossRef]
- Briana, D.D.; Malamitsi-Puchner, A. Intrauterine growth restriction and adult disease: The role of adipocytokines. Eur. J. Endocrinol. 2009, 160, 337–347. [Google Scholar] [CrossRef]
- Nardozza, L.M.M.; Caetano, A.C.; Zamarian, A.C.; Mazzola, J.B.; Silva, C.P.; Marçal, V.M.; Lobo, T.F.; Peixoto, A.B.; Araujo Júnior, E. Fetal growth restriction: Current knowledge. Arch. Gynecol. Obstet. 2017, 295, 1061–1077. [Google Scholar] [CrossRef]
- Drake, A.J.; Walker, B.R. The intergenerational effects of fetal programming: Non-genomic mechanisms for the inheritance of low birth weight and cardiovascular risk. J. Endocrinol. 2004, 180, 1–16. [Google Scholar] [CrossRef]
- Langley-Evans, S.C. Developmental programming of health and disease. Proc. Nutr. Soc. 2006, 65, 97–105. [Google Scholar] [CrossRef] [PubMed]
- Galán Arévalo, M.S.; Mahillo-Fernández, I.; Saenz de Pipaon, M.; Esteban, L.M.; Hernández Martín, D.; Rodriguez Delgado, J.; Estevez Muñoz, J.C.; Andeyro-García, M.; Piñeiro Perez, R.; Savirón-Cornudella, R. Postnatal catch-up growth in term newborns with altered fetal weight patterns: The GROWIN study. Pediatr. Res. 2023, 94, 1180–1188. [Google Scholar] [CrossRef]
- Singhal, A. Long-term adverse effects of early growth acceleration or catch-up growth. Ann. Nutr. Metab. 2017, 70, 236–240. [Google Scholar] [CrossRef]
- Gafni, R.I.; Baron, J. Catch-up growth: Possible mechanisms. Pediatr. Nephrol. 2000, 14, 616–619. [Google Scholar] [CrossRef]
- Jain, V.; Singhal, A. Catch-up growth in low birth weight infants: Striking a healthy balance. Rev. Endocr. Metab. Disord. 2012, 13, 141–147. [Google Scholar] [CrossRef]
- Cianfarani, S.; Germani, D.; Branca, F. Low birth weight and adult insulin resistance: The ‘catch-up growth’ hypothesis. Arch. Dis. Child. Fetal Neonatal Ed. 1999, 81, F71–F73. [Google Scholar] [CrossRef]
- Ibáñez, L.; Ong, K.; Dunger, D.B.; de Zegher, F. Early development of adiposity and insulin resistance after catch-up weight gain in small-for-gestational-age children. J. Clin. Endocrinol. Metab. 2006, 91, 2153–2158. [Google Scholar] [CrossRef] [PubMed]
- Dulloo, A.G.; Jacquet, J.; Seydoux, J.; Montani, J.P. The thrifty “catch-up fat” phenotype: Its impact on insulin sensitivity during growth trajectories to obesity and metabolic syndrome. Int. J. Obes. 2006, 30, S23–S35. [Google Scholar] [CrossRef]
- Flores-Guillén, E.; Ochoa-Díaz-López, H.; Castro-Quezada, I.; Irecta-Nájera, C.A.; Cruz, M.; Meneses, M.E.; Gurri, F.D.; Solís-Hernández, R.; García-Miranda, R. Intrauterine growth restriction and overweight, obesity, and stunting in adolescents of indigenous communities of Chiapas, Mexico. Eur. J. Clin. Nutr. 2020, 74, 149–157. [Google Scholar] [CrossRef] [PubMed]
- Beltrand, J.; Nicolescu, R.; Kaguelidou, F.; Verkauskiene, R.; Sibony, O.; Chevenne, D.; Claris, O.; Lévy-Marchal, C. Catch-up growth following fetal growth restriction promotes rapid restoration of fat mass but without metabolic consequences at one year of age. PLoS ONE 2009, 4, e5343. [Google Scholar] [CrossRef] [PubMed]
- Zimmet, P.; Alberti, K.G.M.M.; Kaufman, F.; Tajima, N.; Silink, M.; Arslanian, S.; Wong, G.; Bennett, P.; Shaw, J.; Caprio, S.; et al. The metabolic syndrome in children and adolescents—An IDF consensus report. Pediatr. Diabetes 2007, 8, 299–306. [Google Scholar] [CrossRef]
- Weihe, P.; Weihrauch-Blüher, S. Metabolic syndrome in children and adolescents: Diagnostic criteria, therapeutic options and perspectives. Curr. Obes. Rep. 2019, 8, 472–479. [Google Scholar] [CrossRef]
- Cook, S.; Auinger, P.; Huang, T.T. Growth curves for cardiometabolic risk factors in children and adolescents. J. Pediatr. 2009, 155, S6.e15–S6.e26. [Google Scholar] [CrossRef]
- Nordman, H.; Jääskeläinen, J.; Voutilainen, R. Birth size as a determinant of cardiometabolic risk factors in children. Horm. Res. Paediatr. 2020, 93, 144–153. [Google Scholar] [CrossRef]
- Cauzzo, C.; Chiavaroli, V.; Di Valerio, S.; Chiarelli, F. Birth size, growth trajectory and later cardiometabolic risk. Front. Endocrinol. 2023, 14, 1187261. [Google Scholar] [CrossRef]
- Kardelen, A.D.; Darendeliler, F. The role of the intrauterine environment in shaping childhood and adolescence metabolic outcomes. Metabolites 2025, 15, 252. [Google Scholar] [CrossRef] [PubMed]
- Stinson, S.E.; Kromann Reim, P.; Lund, M.A.V.; Lausten-Thomsen, U.; Aas Holm, L.; Huang, Y.; Brøns, C.; Vaag, A.; Thiele, M.; Krag, A.; et al. The interplay between birth weight and obesity in determining childhood and adolescent cardiometabolic risk. EBioMedicine 2024, 105, 105205. [Google Scholar] [CrossRef]
- Lewis, K.A.; Brown, S.A. Searching for evidence of an anti-inflammatory diet in children: A systematic review of randomized controlled trials for pediatric obesity interventions with a focus on leptin, ghrelin, and adiponectin. Biol. Res. Nurs. 2017, 19, 511–530. [Google Scholar] [CrossRef] [PubMed]
- Mărginean, C.O.; Meliț, L.E.; Huțanu, A.; Ghiga, D.V.; Săsăran, M.O. The adipokines and inflammatory status in the era of pediatric obesity. Cytokine 2020, 126, 154925. [Google Scholar] [CrossRef]
- Sitar-Tăut, A.-V.; Cozma, A.; Fodor, A.; Coste, S.-C.; Orasan, O.H.; Negrean, V.; Pop, D.; Sitar-Tăut, D.-A. New insights on the relationship between leptin, ghrelin, and leptin/ghrelin ratio enforced by body mass index in obesity and diabetes. Biomedicines 2021, 9, 1657. [Google Scholar] [CrossRef] [PubMed]
- Martinez-Aguayo, A.; Capurro, T.; Peña, V.; Iñiguez, G.; Hernández, M.I.; Ávila, A.; Salazar, T.; Asenjo, S.; Mericq, V. Comparison of leptin levels, body composition, and insulin sensitivity and secretion by OGTT in healthy early pubertal girls born appropriate or small for gestational age. Clin. Endocrinol. 2007, 67, 526–532. [Google Scholar] [CrossRef]
- Rasmussen, E.L.; Malis, C.; Jensen, C.B.; Storgaard, H.; Poulsen, P.; Pilgaard, K.; Schou, J.H.; Madsbad, S.; Astrup, A.; Vaag, A. Altered fat tissue distribution in young adult men who had low birth weight. Diabetes Care 2005, 28, 151–153. [Google Scholar] [CrossRef]
- Randunu, R.S.; Huber, L.A.; Brunton, J.A.; Bertolo, R.F. Intrauterine growth-restricted female Yucatan miniature pig neonates fed parenteral nutrition exhibit early catch-up growth leading to obesity and ectopic fat deposition in adulthood. J. Nutr. 2025, 155, 2653–2667. [Google Scholar] [CrossRef]
- Rolfe, E.D.L.; Loos, R.J.F.; Druet, C.; Stolk, R.P.; Ekelund, U.; Griffin, S.J.; Forouhi, N.G.; Wareham, N.J.; Ong, K.K. Association between birth weight and visceral fat in adults. Am. J. Clin. Nutr. 2010, 92, 347–352. [Google Scholar] [CrossRef]
- Barker, D.J.; Martyn, C.N.; Osmond, C.; Hales, C.N.; Fall, C.H. Growth in utero and serum cholesterol concentrations in adult life. BMJ 1993, 307, 1524. [Google Scholar] [CrossRef]
- World Health Organization. WHO Child Growth Standards; WHO: Geneva, Switzerland, 2023; Available online: https://www.who.int/tools/child-growth-standards/standards (accessed on 28 December 2025).
- World Health Organization Expert Committee. Physical Status: The Use and Interpretation of Anthropometry; WHO: Geneva, Switzerland, 1995. [Google Scholar]
- Xi, B.; Zong, X.; Kelishadi, R.; Litwin, M.; Hong, Y.M.; Poh, B.K.; Steffen, L.M.; Galcheva, S.V.; Herter-Aeberli, I.; Nawarycz, T.; et al. International waist circumference percentile cutoffs for central obesity in children and adolescents aged 6–18 years. J. Clin. Endocrinol. Metab. 2020, 105, e1569–e1583. [Google Scholar] [CrossRef]
- Zong, X.; Kelishadi, R.; Hong, Y.M.; Schwandt, P.; Matsha, T.E.; Mill, J.G.; Whincup, P.H.; Pacifico, L.; López-Bermejo, A.; Caserta, C.A.; et al. Establishing international optimal cut-offs of waist-to-height ratio for predicting cardiometabolic risk in children and adolescents aged 6–18 years. BMC Med. 2023, 21, 442. [Google Scholar] [CrossRef] [PubMed]
- Yang, L.; Hou, Y.; Zhao, M.; Bovet, P.; Xi, B. Simplified blood pressure tables based on different height percentiles for screening elevated blood pressure in children. J. Hypertens. 2019, 37, 292–296. [Google Scholar] [CrossRef]
- National High Blood Pressure Education Program Working Group on High Blood Pressure in Children and Adolescents. The fourth report on the diagnosis, evaluation, and treatment of high blood pressure in children and adolescents. Pediatrics 2004, 114, 555–576. [Google Scholar] [CrossRef]
- Expert Panel on Integrated Guidelines for Cardiovascular Health and Risk Reduction in Children and Adolescents; National Heart, Lung, and Blood Institute. Expert panel on integrated guidelines for cardiovascular health and risk reduction in children and adolescents: Summary report. Pediatrics 2011, 128, S213–S256. [Google Scholar] [CrossRef] [PubMed]
- American College of Obstetricians and Gynecologists. ACOG Committee Opinion No. 579: Definition of term pregnancy. Obstet. Gynecol. 2013, 122, 1139–1140. [Google Scholar] [CrossRef]
- Kiserud, T.; Piaggio, G.; Carroli, G.; Widmer, M.; Carvalho, J.; Neerup Jensen, L.; Giordano, D.; Cecatti, J.G.; Abdel Aleem, H.; Talegawkar, S.A.; et al. The World Health Organization fetal growth charts: A multinational longitudinal study of ultrasound biometric measurements and estimated fetal weight. PLoS Med. 2017, 14, e1002220. [Google Scholar] [CrossRef]
- Villar, J.; Cheikh Ismail, L.; Victora, C.G.; Ohuma, E.O.; Bertino, E.; Altman, D.G.; Lambert, A.; Papageorghiou, A.T.; Carvalho, M.; Jaffer, Y.A.; et al. International standards for newborn weight, length, and head circumference by gestational age and sex: The newborn cross-sectional study of the INTERGROWTH-21st project. Lancet 2014, 384, 857–868. [Google Scholar] [CrossRef]
- Pickerel, K.K.; Waldrop, J.; Freeman, E.; Haushalter, J.; D’Auria, J. Improving the accuracy of newborn weight classification. J. Pediatr. Nurs. 2020, 50, 54–58. [Google Scholar] [CrossRef]
- Chakraborty, S.; Joseph, D.V.; Bankart, M.J.; Petersen, S.A.; Wailoo, M.P. Fetal growth restriction: Relation to growth and obesity at the age of 9 years. Arch. Dis. Child. Fetal Neonatal Ed. 2007, 92, F479–F483. [Google Scholar] [CrossRef]
- Baran, J.; Weres, A.; Czenczek-Lewandowska, E.; Leszczak, J.; Kalandyk-Osinko, K.; Mazur, A. Relationship between children’s birth weight and birth length and the risk of overweight and obesity in 4–15-year-old children. Medicina 2019, 55, 487. [Google Scholar] [CrossRef]
- Bettiol, H.; Sabbag Filho, D.; Haeffner, L.S.; Barbieri, M.A.; Silva, A.A.; Portela, A.; Silveira, P.; Goldani, M.Z. Do intrauterine growth restriction and overweight at primary school age increase the risk of elevated body mass index in young adults? Braz. J. Med. Biol. Res. 2007, 40, 1237–1243. [Google Scholar] [CrossRef]
- Hemachandra, A.H.; Klebanoff, M.A.; Duggan, A.K.; Hardy, J.B.; Furth, S.L. The association between intrauterine growth restriction in the full-term infant and high blood pressure at age 7 years: Results from the Collaborative Perinatal Project. Int. J. Epidemiol. 2006, 35, 871–877. [Google Scholar] [CrossRef] [PubMed]
- Shankaran, S.; Das, A.; Bauer, C.R.; Bada, H.; Lester, B.; Wright, L.; Higgins, R.; Poole, K. Fetal origin of childhood disease: Intrauterine growth restriction in term infants and risk for hypertension at 6 years of age. Arch. Pediatr. Adolesc. Med. 2006, 160, 977–981. [Google Scholar] [CrossRef]
- Gortner, L. Intrauterine growth restriction and risk for arterial hypertension: A causal relationship? J. Perinat. Med. 2007, 35, 361–365. [Google Scholar] [CrossRef] [PubMed]
- Jornayvaz, F.R.; Selz, R.; Tappy, L.; Theintz, G.E. Metabolism of oral glucose in children born small for gestational age: Evidence for an impaired whole body glucose oxidation. Metabolism 2004, 53, 847–851. [Google Scholar] [CrossRef] [PubMed]
- Ezzahir, N.; Alberti, C.; Deghmoun, S.; Zaccaria, I.; Czernichow, P.; Lévy-Marchal, C.; Jaquet, D. Time course of catch-up in adiposity influences adult anthropometry in individuals born small for gestational age. Pediatr. Res. 2005, 58, 243–247. [Google Scholar] [CrossRef]
- Dulloo, A.G. Regulation of fat storage via suppressed thermogenesis: A thrifty phenotype that predisposes individuals with catch-up growth to insulin resistance and obesity. Horm. Res. 2006, 65, 90–97. [Google Scholar] [CrossRef]
- Berends, L.; Fernandez-Twinn, D.; Martin-Gronert, M.; Cripps, R.L.; Ozanne, S.E. Catch-up growth following intrauterine growth restriction programmes an insulin-resistant phenotype in adipose tissue. Int. J. Obes. 2013, 37, 1051–1057. [Google Scholar] [CrossRef]
- Cao, Q.; Li, X.; Xuan, X.; Huang, S.; Xie, X. Changes of the LRP6/β-catenin pathway in adipose tissue of rats with intrauterine growth restriction with catch-up growth. Zhejiang Da Xue Xue Bao Yi Xue Ban 2021, 50, 755–761. [Google Scholar] [CrossRef]
- Eriksson, J.G.; Forsén, T.; Tuomilehto, J.; Winter, P.D.; Osmond, C.; Barker, D.J. Catch-up growth in childhood and death from coronary heart disease: A longitudinal study. BMJ 1999, 318, 427–431. [Google Scholar] [CrossRef]
- Ong, K.K.; Ahmed, M.L.; Emmett, P.M.; Preece, M.A.; Dunger, D.B. Association between postnatal catch-up growth and obesity in childhood: A prospective cohort study. BMJ 2000, 320, 967–971. [Google Scholar] [CrossRef] [PubMed]
- Ibáñez, L.; Suárez, L.; Lopez-Bermejo, A.; Díaz, M.; Valls, C.; de Zegher, F. Early development of visceral fat excess after spontaneous catch-up growth in children with low birth weight. J. Clin. Endocrinol. Metab. 2008, 93, 925–928. [Google Scholar] [CrossRef]
- Morrison, J.L.; Duffield, J.A.; Muhlhausler, B.S.; Gentili, S.; McMillen, I.C. Fetal growth restriction, catch-up growth and the early origins of insulin resistance and visceral obesity. Pediatr. Nephrol. 2010, 25, 669–677. [Google Scholar] [CrossRef] [PubMed]
- Colle, E.; Schiff, D.; Andrew, G.; Bauer, C.B.; Fitzhardinge, P. Insulin responses during catch-up growth of infants who were small for gestational age. Pediatrics 1976, 57, 363–371. [Google Scholar] [CrossRef]
- Soto, N.; Bazaes, R.A.; Pena, V.; Salazar, T.; Avila, A.; Iñiguez, G.; Ong, K.K.; Dunger, D.B.; Mericq, M.V. Insulin sensitivity and secretion are related to catch-up growth in small-for-gestational-age infants at age 1 year: Results from a prospective cohort. J. Clin. Endocrinol. Metab. 2003, 88, 3645–3650. [Google Scholar] [CrossRef] [PubMed]
- Rodríguez-Rodríguez, P.; Ramiro-Cortijo, D.; Reyes-Hernández, C.G.; López de Pablo, A.L.; González, M.C.; Arribas, S.M. Implication of Oxidative Stress in Fetal Programming of Cardiovascular Disease. Front. Physiol. 2018, 9, 602. [Google Scholar] [CrossRef]
- Cheong, J.N.; Wlodek, M.E.; Moritz, K.M.; Cuffe, J.S. Programming of maternal and offspring disease: Impact of growth restriction, fetal sex and transmission across generations. J. Physiol. 2016, 594, 4727–4740. [Google Scholar] [CrossRef]
- Adair, L.S.; Cole, T.J. Rapid child growth raises blood pressure in adolescent boys who were thin at birth. Hypertension 2003, 41, 451–456. [Google Scholar] [CrossRef]
- Li, C.; Liu, Z.; Zhao, M.; Zhang, C.; Bovet, P.; Xi, B. Weight status change from birth to childhood and the odds of high blood pressure among Chinese children. Front. Public Health 2023, 11, 1135994. [Google Scholar] [CrossRef]
- Lai, C.; Hu, Y.; He, D.; Liang, L.; Xiong, F.; Liu, G.; Gong, C.; Luo, F.; Chen, S.; Wang, C.; et al. U-shaped relationship between birth weight and childhood blood pressure in China. BMC Pediatr. 2019, 19, 264. [Google Scholar] [CrossRef] [PubMed]
- Litwin, M.; Kułaga, Z. Obesity, metabolic syndrome, and primary hypertension. Pediatr. Nephrol. 2021, 36, 825–837. [Google Scholar] [CrossRef] [PubMed]
- Cojocari, S.; Mătrăguna, N.; Bichir-Thoreac, L. The role of leptin and adiponectin in arterial hypertension associated with obesity in children. Bull. Acad. Sci. Mold. Med. Sci. 2019, 61, 184–194. [Google Scholar]
- Sehgal, A.; Alexander, B.T.; Morrison, J.L.; South, A.M. Fetal growth restriction and hypertension in the offspring: Mechanistic links and therapeutic directions. J. Pediatr. 2020, 224, 115–123.e2. [Google Scholar] [CrossRef]
- Bhunu, B.; Riccio, I.; Intapad, S. Insights into the mechanisms of fetal growth restriction-induced programming of hypertension. Integr. Blood Press. Control 2021, 14, 141–152. [Google Scholar] [CrossRef]
- Law, C.M.; Shiell, A.W.; Newsome, C.A.; Syddall, H.E.; Shinebourne, E.A.; Fayers, P.M.; Martyn, C.N.; de Swiet, M. Fetal, infant, and childhood growth and adult blood pressure: A longitudinal study from birth to 22 years of age. Circulation 2002, 105, 1088–1092. [Google Scholar] [CrossRef]
- Tian, J.; Feng, H.; Wang, D.; Li, X.; Shan, J.; Zhu, Y.; Zhu, Z. Associations of growth trajectories from birth to two years of age with adolescent blood pressure: The mediating role of current BMI in the follow-up of an antenatal micronutrient supplementation trial. Eur. J. Pediatr. 2026, 185, 87. [Google Scholar] [CrossRef]
- Ibáñez, L.; Lopez-Bermejo, A.; Diaz, M.; de Zegher, F. Catch-up growth in girls born small for gestational age precedes childhood progression to high adiposity. Fertil. Steril. 2011, 96, 220–223. [Google Scholar] [CrossRef]
- Wang, M.; Kelishadi, R.; Khadilkar, A.; Mi Hong, Y.; Nawarycz, T.; Krzywińska-Wiewiorowska, M.; Aounallah-Skhiri, H.; Esmaeil Motlagh, M.; Soon Kim, H.; Khadilkar, V.; et al. Body mass index percentiles and elevated blood pressure among children and adolescents. Hum. Hypertens. 2020, 34, 319–325. [Google Scholar] [CrossRef]
- Adam-Raileanu, A.; Nedelcu, A.H.; Lupu, A.; Țarcă, V.; Bozomitu, L.; Forna, L.; Ioniuc, I.; Mihai, C.M.; Chisnoiu, T.; Țarcă, E.; et al. Growth recovery after fetal growth restriction: A 10-year follow-up of term-born children. Nutrients 2026, 18, 243. [Google Scholar] [CrossRef]
- López-Bermejo, A.; Casano-Sancho, P.; Fernández-Real, J.M.; Kihara, S.; Funahashi, T.; Rodríguez-Hierro, F.; Ricart, W.; Ibañez, L. Both intrauterine growth restriction and postnatal growth influence childhood serum concentrations of adiponectin. Clin. Endocrinol. 2004, 61, 339–346. [Google Scholar] [CrossRef] [PubMed]
- Rytter, D.; Bech, B.H.; Frydenberg, M.; Henriksen, T.B.; Olsen, S.F. Fetal growth and cardiometabolic risk factors in the 20-year-old offspring. Acta Obstet. Gynecol. Scand. 2014, 93, 1150–1159. [Google Scholar] [CrossRef] [PubMed]
- Evagelidou, E.N.; Giapros, V.I.; Challa, A.S.; Kiortsis, D.N.; Tsatsoulis, A.A.; Andronikou, S.K. Serum adiponectin levels, insulin resistance, and lipid profile in children born small for gestational age are affected by the severity of growth retardation at birth. Eur. J. Endocrinol. 2007, 156, 271–277. [Google Scholar] [CrossRef] [PubMed]
- Bucur-Grosu, M.L.; Avasiloaiei, A.; Moscalu, M.; Dimitriu, D.C.; Păduraru, L.; Stamatin, M. Desacylated ghrelin and leptin in the cord blood of small-for-gestational-age newborns with intrauterine growth restriction. Acta Endocrinol. 2019, 15, 305–310. [Google Scholar] [CrossRef]
- Dulloo, A.G. Thrifty energy metabolism in catch-up growth trajectories to insulin and leptin resistance. Best Pract. Res. Clin. Endocrinol. Metab. 2008, 22, 155–171. [Google Scholar] [CrossRef]
- Gonzalez-Bulnes, A.; Ovilo, C.; Lopez-Bote, C.J.; Astiz, S.; Ayuso, M.; Perez-Solana, M.L.; Sanchez-Sanchez, R.; Torres-Rovira, L. Gender-specific early postnatal catch-up growth after intrauterine growth retardation by food restriction in swine with obesity and leptin resistance. Reproduction 2012, 144, 269–278. [Google Scholar] [CrossRef]
- Bellone, S.; Prodam, F.; Savastio, S.; De Rienzo, F.; Demarchi, I.; Trovato, L.; Petri, A.; Rapa, A.; Aimaretti, G.; Bona, G. Acylated and unacylated ghrelin levels in normal-weight and obese children: Influence of puberty and relationship with insulin, leptin, and adiponectin levels. J. Endocrinol. Investig. 2012, 35, 191–197. [Google Scholar] [CrossRef]
- Rambhojan, C.; Bouaziz-Amar, E.; Larifla, L.; Deloumeaux, J.; Clepier, J.; Plumasseau, J.; Lacorte, J.M.; Foucan, L. Ghrelin, adipokines, and metabolic factors in relation to weight status in schoolchildren and results of a 1-year lifestyle intervention program. Nutr. Metab. 2015, 12, 43. [Google Scholar] [CrossRef]
- Potempa-Jeziorowska, M.; Jonczyk, P.; Świętochowska, E.; Kucharzewski, M. Analysis of ghrelin, leptin, and interleukin-6 salivary concentrations among children aged 7–10 years and their relationship with nutritional status and selected anthropometric data. Pediatr. Endocrinol. Diabetes Metab. 2022, 28, 263–273. [Google Scholar] [CrossRef]
- Rodríguez, A.; Gómez-Ambrosi, J.; Catalán, V.; Gil, M.J.; Becerril, S.; Sáinz, N.; Silva, C.; Salvador, J.; Colina, I.; Frühbeck, G. Acylated and desacyl ghrelin stimulate lipid accumulation in human visceral adipocytes. Int. J. Obes. 2009, 33, 541–552. [Google Scholar] [CrossRef]
- Espinoza García, A.S.; Martínez Moreno, A.G.; Reyes Castillo, Z. The role of ghrelin and leptin in feeding behavior: Genetic and molecular evidence. Endocrinol. Diabetes Nutr. 2021, 68, 249–258. [Google Scholar] [CrossRef]
- Hassink, S.G.; Sheslow, D.V.; de Lancey, E.; Opentanova, I.; Considine, R.V.; Caro, J.F. Serum leptin in children with obesity: Relationship to gender and development. Pediatrics 1996, 98, 201–203. [Google Scholar] [CrossRef]





| Variable | Category | Control (N = 40) n (%) | FGR (N = 40) n (%) | p-Value | Test |
|---|---|---|---|---|---|
| Sex | Female | 28 (70.0) | 29 (72.5) | 0.805 | Chi-square |
| Male | 12 (30.0) | 11 (27.5) | |||
| Environmental conditions | Rural | 24 (60.0) | 26 (65.0) | 0.644 | Chi-square |
| Urban | 16 (40.0) | 14 (35.0) | |||
| Type of birth | Natural | 27 (67.5) | 22 (55.0) | 0.251 | Chi-square |
| Cesarean | 13 (32.5) | 18 (45.0) | |||
| Alimentation in the first 6 months | Breastfed | 25 (62.5) | 24 (60.0) | 1.000 | Fisher |
| Formula-fed | 12 (30.0) | 12 (30.0) | |||
| Mixed | 3 (7.5) | 4 (10.0) | |||
| Weight status (WHO) | Normal | 28 (70.0) | 26 (65.0) | 0.605 | Fisher |
| Overweight | 12 (30.0) | 12 (30.0) | |||
| Obesity | 0 (0.0) | 2 (5.0) | |||
| Metabolic syndrome | Yes | 0 (0.0) | 1 (2.5) | 1.000 | Fisher |
| No | 40 (100.0) | 39 (97.5) | |||
| Abdominal obesity (WC > P90) | Yes | 6 (15) | 7 (17.5) | 1.000 | Fisher |
| No | 34 (85) | 33 (82.5) | |||
| Dyslipidemia | Normal | 22 (55.0) | 23 (57.5) | 0.822 | Chi-square |
| Hypertriglyceridemia and borderline high | 18 (45.0) | 17 (42.5) | |||
| Mixed dyslipidemia | 0 (0.0) | 0 (0.0) | |||
| Hypercholesterolemia and borderline high | 11 (27.5) | 16 (40) |
| Category | Outcome Parameter | Birth Weight Parameter | Group | n | Correlation (ρ) | p-Value |
|---|---|---|---|---|---|---|
| Abdominal Obesity | Waist circumference (cm) | Birth weight (kg) | Overall | 80 | −0.10 | 0.384 |
| Control | 40 | −0.24 | 0.130 | |||
| FGR | 40 | −0.08 | 0.639 | |||
| WHtR | Birth weight (kg) | Overall | 80 | −0.18 | 0.101 | |
| Control | 40 | −0.14 | 0.373 | |||
| FGR | 40 | −0.10 | 0.550 | |||
| Glycemia | Glucose (mg/L) | Birth weight (kg) | Overall | 80 | −0.00 | 0.970 |
| Control | 40 | 0.16 | 0.319 | |||
| FGR | 40 | 0.10 | 0.541 | |||
| Lipid Profile | Triglycerides (mg/L) | Birth weight (kg) | Overall | 80 | 0.03 | 0.821 |
| Control | 40 | 0.21 | 0.204 | |||
| FGR | 40 | −0.02 | 0.905 | |||
| Total cholesterol (mg/L) | Birth weight (kg) | Overall | 80 | −0.12 | 0.298 | |
| Control | 40 | −0.27 | 0.089 | |||
| FGR | 40 | 0.16 | 0.327 | |||
| HDL cholesterol (mg/L) | Birth weight (kg) | Overall | 80 | 0.00 | 0.973 | |
| LDL cholesterol (mg/L) | Birth weight (kg) | Overall | 80 | −0.07 | 0.556 | |
| Blood Pressure | sBP (mmHg) | Birth weight (kg) | Overall | 80 | 0.11 | 0.323 |
| Control | 40 | −0.00 | 0.999 | |||
| FGR | 40 | 0.14 | 0.382 | |||
| dBP (mmHg) | Birth weight (kg) | Overall | 80 | 0.13 | 0.257 | |
| P.sBP | Birth weight (kg) | Overall | 80 | 0.10 | 0.371 | |
| P.dBP | Birth weight (kg) | Overall | 80 | 0.09 | 0.433 |
| (A) | |||||
| Group | Birth Weight Parameter | Adipokine/Ratio | n | ρ | p-Value |
| Overall | Birth weight (kg) | Leptin (ng/L) | 80 | −0.19 | 0.092 |
| Control | Birth weight (kg) | Leptin (ng/L) | 40 | −0.24 | 0.135 |
| FGR | Birth weight (kg) | Leptin (ng/L) | 40 | −0.21 | 0.202 |
| Overall | Birth weight (kg) | Adiponectin (µg/L) | 80 | 0.07 | 0.526 |
| Overall | Birth weight (kg) | Ghrelin (ng/L) | 80 | −0.20 | 0.071 |
| Overall | Birth weight (kg) | Leptin/adiponectin ratio | 80 | −0.20 | 0.071 |
| Overall | Birth weight z-score | Leptin (ng/L) | 80 | −0.19 | 0.092 |
| Overall | Birth weight z-score | Adiponectin (µg/L) | 80 | 0.07 | 0.526 |
| Overall | Birth weight z-score | Ghrelin (ng/L) | 80 | −0.20 | 0.071 |
| Overall | Birth weight z-score | Leptin/adiponectin ratio | 80 | −0.20 | 0.071 |
| (B) | |||||
| Outcome | Predictor | β | SE | p-Value | |
| Leptin (ng/L) | Birth weight (kg) | −0.89 | 0.49 | 0.074 | |
| Adiponectin (µg/L) | Birth weight (kg) | 0.12 | 5.69 | 0.984 | |
| Ghrelin (ng/L) | Birth weight (kg) | 0.40 | 1.87 | 0.832 | |
| Leptin/adiponectin ratio | Birth weight (kg) | 0.65 | 1.64 | 0.695 | |
| Leptin/ghrelin ratio | Birth weight (kg) | −1.20 | 3.74 | 0.750 | |
| Leptin (ng/L) | Birth weight z-score | −0.44 | 0.25 | 0.074 | |
| Adiponectin (µg/L) | Birth weight z-score | 0.06 | 2.85 | 0.984 | |
| Ghrelin (ng/L) | Birth weight z-score | 0.20 | 0.94 | 0.832 | |
| Leptin/adiponectin ratio | Birth weight z-score | 0.32 | 0.82 | 0.695 | |
| Leptin/ghrelin ratio | Birth weight z-score | −0.60 | 1.87 | 0.750 | |
| (A) | |||||
| Outcome | Level | No Catch-Up (n = 6) | Catch-Up (n = 34) | Test | p-Value |
| Weight status | Normal | 6 (100.0%) | 20 (58.8%) | Fisher | 0.074 |
| Overweight/Obesity | 0 (0.0%) | 14 (41.2%) | |||
| WC P > 90th | No | 6 (100.0%) | 27 (79.4%) | Fisher | 0.567 |
| Yes | 0 (0.0%) | 7 (20.6%) | |||
| WHtR > 0.5 | No | 6 (100.0%) | 31 (91.2%) | Fisher | 1.000 |
| Yes | 0 (0.0%) | 3 (8.8%) | |||
| High Glucose | No | 6 (100.0%) | 34 (100.0%) | Fisher | 1.000 |
| sBP ≥ P.90 | No | 6 (100.0%) | 32 (94.1%) | Fisher | 1.000 |
| Yes | 0 (0.0%) | 2 (5.9%) | |||
| dBP ≥ P.90 | No | 5 (83.3%) | 31 (91.2%) | Fisher | 0.493 |
| Yes | 1 (16.7%) | 3 (8.8%) | |||
| (B) | |||||
| Outcome | No Catch-Up (n = 6) | Catch-Up (n = 34) | p-Value | ||
| BMI (kg/m2) | 16.815 (2.720) | 21.570 (5.525) | 0.020 | ||
| BMI Z-score | −1.015 (0.982) | 0.530 (1.545) | 0.005 | ||
| (C) | |||||
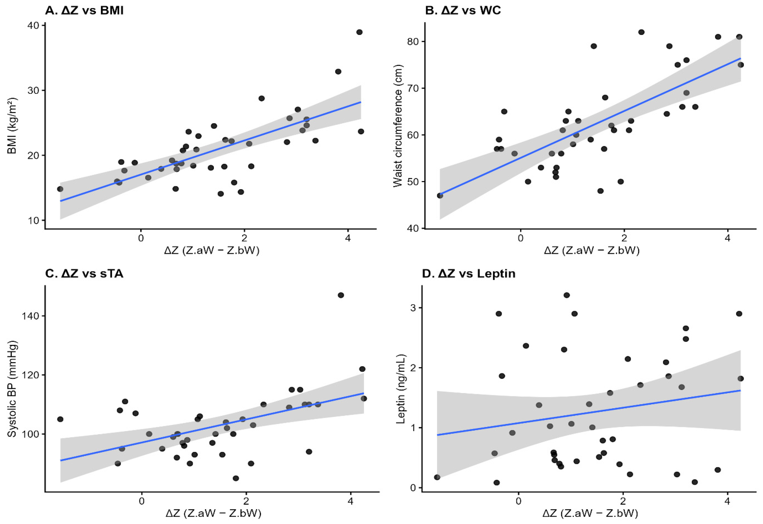
| Outcome | β Per 1-Unit ΔZ | SE | p-Value | ||
| BMI (kg/m2) | 2.832 | 0.416 | <0.001 | ||
| BMI Z-score | 0.713 | 0.107 | <0.001 | ||
| WC (cm) | 5.334 | 0.771 | <0.001 | ||
| WHtR | 0.022 | 0.007 | 0.003 | ||
| sBP (mmHg) | 4.113 | 1.148 | <0.001 | ||
| dBP (mmHg) | 2.836 | 1.174 | 0.021 | ||
| P.sBP | 6.997 | 2.963 | 0.024 | ||
| Leptin (ng/L) | 0.22 | 0.092 | 0.022 | ||
| Leptin/ghrelin ratio | 2.33 | 1.059 | 0.034 | ||
| (D) | |||||
| Outcome | Events | OR Per 1-Unit ΔZ | 95% CI | p-Value | |
| WC ≥ P90 | 7 | 4.2 | 1.40–12.59 | 0.010 | |
| Outcome | Effect | β | SE | p-Value |
|---|---|---|---|---|
| BMI (kg/m2) | Slope of ΔZ (Normal) | 1.110 | 0.560 | 0.058 |
| Δ slope (OW/OB vs. Normal) | 1.010 | 0.910 | 0.275 | |
| BMI Z-score | Slope of ΔZ (Normal) | 0.430 | 0.140 | 0.005 |
| Δ slope (OW/OB vs. Normal) | −0.200 | 0.230 | 0.394 | |
| Waist circumference (cm) | Slope of ΔZ (Normal) | 2.160 | 0.980 | 0.034 |
| Δ slope (OW/OB vs. Normal) | 1.070 | 1.580 | 0.504 | |
| WHtR | Slope of ΔZ (Normal) | −0.002 | 0.008 | 0.844 |
| Δ slope (OW/OB vs. Normal) | −0.006 | 0.014 | 0.683 | |
| Systolic BP (mmHg) | Slope of ΔZ (Normal) | −0.660 | 1.720 | 0.704 |
| Δ slope (OW/OB vs. Normal) | 8.130 | 2.780 | 0.006 |
| Outcome | n | Events | Predictor | OR | 95% CI | p-Value |
|---|---|---|---|---|---|---|
| Dyslipidemia | 80 | 35 | Leptin/ghrelin ratio | 0.80 | 0.36–1.02 | 0.383 |
| Age | 0.86 | 0.62–1.18 | 0.348 | |||
| Leptin/adiponectin ratio | 0.10 | 0.00–1.18 | 0.303 | |||
| Elevated blood pressure | 80 | 7 | BMI (kg/m2) | 1.28 | 1.09–1.60 | 0.007 |
| Age | 0.72 | 0.40–1.29 | 0.253 |
Disclaimer/Publisher’s Note: The statements, opinions and data contained in all publications are solely those of the individual author(s) and contributor(s) and not of MDPI and/or the editor(s). MDPI and/or the editor(s) disclaim responsibility for any injury to people or property resulting from any ideas, methods, instructions or products referred to in the content. |
© 2026 by the authors. Licensee MDPI, Basel, Switzerland. This article is an open access article distributed under the terms and conditions of the Creative Commons Attribution (CC BY) license.
Share and Cite
Adam-Raileanu, A.; Nedelcu, A.H.; Ciorpac, M.; Anton, C.R.; Lupu, A.; Bozomitu, L.; Forna, L.; Anton, S.C.; Mitrofan, C.; Morariu, I.D.; et al. From Fetal Growth Restriction to Adolescent Cardiometabolic Risk: The Impact of Catch-Up Growth and Adiposity. Nutrients 2026, 18, 843. https://doi.org/10.3390/nu18050843
Adam-Raileanu A, Nedelcu AH, Ciorpac M, Anton CR, Lupu A, Bozomitu L, Forna L, Anton SC, Mitrofan C, Morariu ID, et al. From Fetal Growth Restriction to Adolescent Cardiometabolic Risk: The Impact of Catch-Up Growth and Adiposity. Nutrients. 2026; 18(5):843. https://doi.org/10.3390/nu18050843
Chicago/Turabian StyleAdam-Raileanu, Anca, Alin Horatiu Nedelcu, Mitica Ciorpac, Carmen Rodica Anton, Ancuta Lupu, Laura Bozomitu, Lorenza Forna, Sorana Caterina Anton, Costica Mitrofan, Ionela Daniela Morariu, and et al. 2026. "From Fetal Growth Restriction to Adolescent Cardiometabolic Risk: The Impact of Catch-Up Growth and Adiposity" Nutrients 18, no. 5: 843. https://doi.org/10.3390/nu18050843
APA StyleAdam-Raileanu, A., Nedelcu, A. H., Ciorpac, M., Anton, C. R., Lupu, A., Bozomitu, L., Forna, L., Anton, S. C., Mitrofan, C., Morariu, I. D., Anton, E., Munteanu, D., Mitrofan, E. C., & Lupu, V. V. (2026). From Fetal Growth Restriction to Adolescent Cardiometabolic Risk: The Impact of Catch-Up Growth and Adiposity. Nutrients, 18(5), 843. https://doi.org/10.3390/nu18050843

