Intramuscular Cyanocobalamin Treatment in Patients with Corpus Atrophic Gastritis and Vitamin B12 Deficiency: Efficacy and Predictors of Increased Requirement—A Monocentric Longitudinal Real-Life Cohort Study
Abstract
1. Introduction
2. Methods
2.1. Study Design and Population
2.2. Treatment Schedules for Vitamin B12 Supplementation
2.3. Diagnostic Criteria for Corpus Atrophic Gastritis, Vitamin B12 Deficiency, and Follow-Up
2.4. Treatment Endpoint of Vitamin B12 Supplementation
2.5. Statistical Analyses
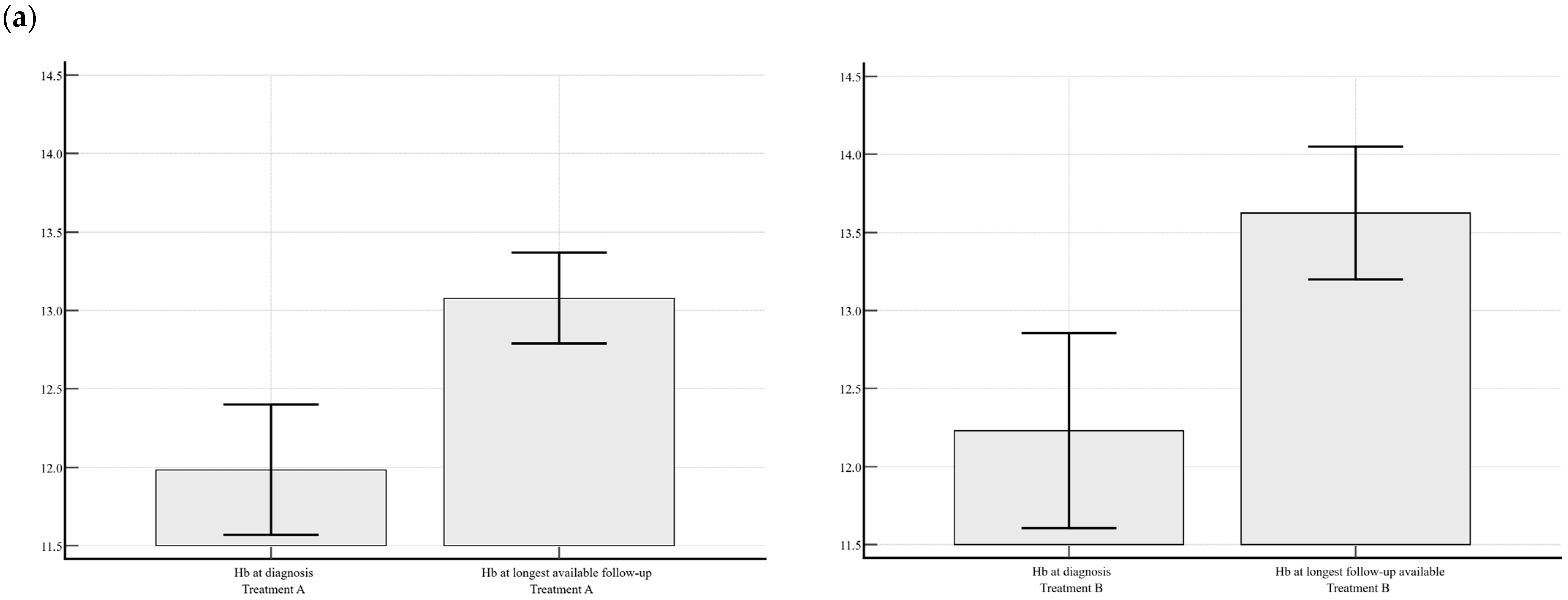
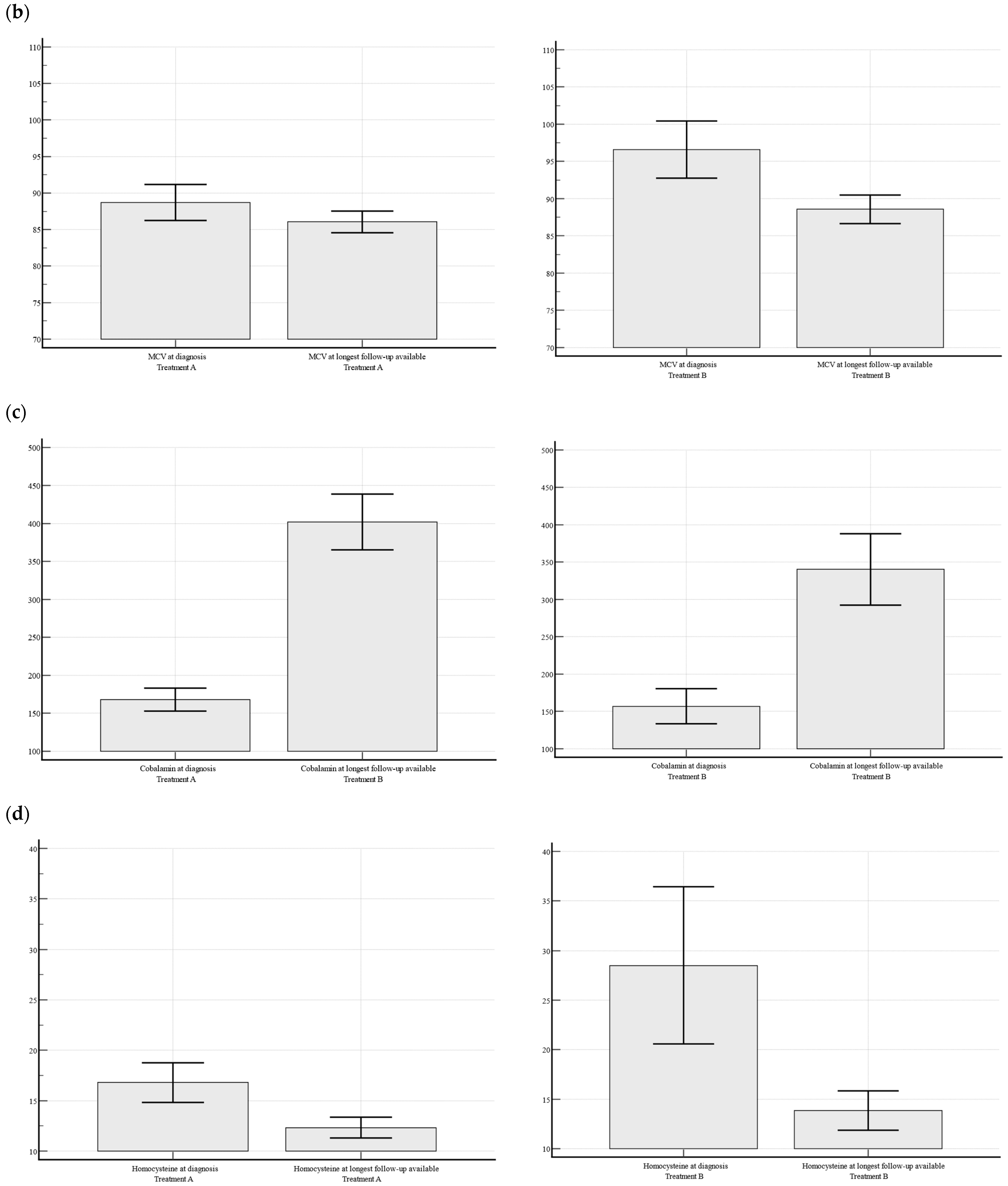
3. Results
Supplementation Treatment with Intramuscular (IM) Cyanocobalamin
4. Discussion
5. Conclusions
Author Contributions
Funding
Institutional Review Board Statement
Informed Consent Statement
Data Availability Statement
Conflicts of Interest
References
- Lahner, E.; Zagari, R.M.; Zullo, A.; Di Sabatino, A.; Meggio, A.; Cesaro, P.; Lenti, M.V.; Annibale, B.; Corazza, G.R. Chronic atrophic gastritis: Natural history, diagnosis and therapeutic management. A position paper by the Italian Society of Hospital Gastroenterologists and Digestive Endoscopists [AIGO], the Italian Society of Digestive Endoscopy [SIED], the Italian Society of Gastroenterology [SIGE], and the Italian Society of Internal Medicine [SIMI]. Dig. Liver Dis. 2019, 51, 1621–1632. [Google Scholar] [CrossRef] [PubMed]
- Dinis-Ribeiro, M.; Libânio, D.; Uchima, H.; Spaander, M.C.; Bornschein, J.; Matysiak-Budnik, T.; Tziatzios, G.; Santos-Antunes, J.; Areia, M.; Chapelle, N.; et al. Management of epithelial precancerous conditions and early neoplasia of the stomach (MAPS III): European Society of Gastrointestinal Endoscopy (ESGE), European Helicobacter and Microbiota Study Group (EHMSG) and European Society of Pathology (ESP) Guideline update 2025. Endoscopy 2025, 57, 504–554. [Google Scholar] [CrossRef]
- Pimentel-Nunes, P.; Libânio, D.; Marcos-Pinto, R.; Areia, M.; Leja, M.; Esposito, G.; Garrido, M.; Kikuste, I.; Megraud, F.; Matysiak-Budnik, T.; et al. Management of epithelial precancerous conditions and lesions in the stomach (MAPS II): European Society of Gastrointestinal Endoscopy (ESGE), European Helicobacter and Microbiota Study Group (EHMSG), European Society of Pathology (ESP), and Sociedade Portuguesa de Endoscopia Digestiva (SPED) guideline update 2019. Endoscopy 2019, 51, 365–388. [Google Scholar] [CrossRef]
- Shah, S.C.; Piazuelo, M.B.; Kuipers, E.J.; Li, D. AGA Clinical Practice Update on the Diagnosis and Management of Atrophic Gastritis: Expert Review. Gastroenterology 2021, 161, 1325–1332.e7. [Google Scholar] [CrossRef]
- Esposito, G.; Dottori, L.; Pivetta, G.; Ligato, I.; Dilaghi, E.; Lahner, E. Pernicious Anemia: The Hematological Presentation of a Multifaceted Disorder Caused by Cobalamin Deficiency. Nutrients 2022, 14, 1672. [Google Scholar] [CrossRef]
- Lenti, M.V.; Rugge, M.; Lahner, E.; Miceli, E.; Toh, B.-H.; Genta, R.M.; De Block, C.; Hershko, C.; Di Sabatino, A. Autoimmune gastritis. Nat. Rev. Dis. Primers 2020, 6, 56. [Google Scholar] [CrossRef]
- Green, R.; Allen, L.H.; Bjørke-Monsen, A.-L.; Brito, A.; Guéant, J.-L.; Miller, J.W.; Molloy, A.M.; Nexo, E.; Stabler, S.; Toh, B.-H.; et al. Vitamin B12 deficiency. Nat. Rev. Dis. Primers 2017, 3, 17040. [Google Scholar] [CrossRef] [PubMed]
- Mohamed, M.; Thio, J.; Thomas, R.S.; Phillips, J. Pernicious anaemia. BMJ 2020, 369, m1319. [Google Scholar] [CrossRef]
- Lahner, E.; Lenti, M.V.; Massironi, S.; Zingone, F.; Miceli, E.; Della Bella, C.; Facciotti, F.; Pelizzaro, F.; Annibale, B.; D’Elios, M.M.; et al. Autoimmune gastritis: Diagnosis, clinical management and natural history. A position paper by the Autoimmune gastRitis Italian netwOrk Study grOup (ARIOSO). Dig. Liver Dis. 2025, in press. [Google Scholar] [CrossRef] [PubMed]
- Wang, H.; Li, L.; Qin, L.L.; Song, Y.; Vidal-Alaball, J.; Liu, T.H. Oral vitamin B12 versus intramuscular vitamin B12 for vitamin B12 deficiency. Cochrane Database Syst. Rev. 2018, 3, CD004655. [Google Scholar] [CrossRef] [PubMed]
- Vidal-Alaball, J.; Butler, C.C.; Cannings-John, R.; Goringe, A.; Hood, K.; McCaddon, A.; McDowell, I.; Papaioannou, A. Oral vitamin B12 versus intramuscular vitamin B12 for vitamin B12 deficiency. Cochrane Database Syst. Rev. 2005, CD004655. [Google Scholar] [CrossRef]
- Carmel, R. How I treat cobalamin (vitamin B12) deficiency. Blood 2008, 112, 2214–2221. [Google Scholar] [CrossRef] [PubMed]
- Stabler, S.P. Vitamin B12 deficiency. N. Engl. J. Med. 2013, 368, 149–160. [Google Scholar] [CrossRef]
- Green, R. Vitamin B12 deficiency from the perspective of a practicing hematologist. Blood 2017, 129, 2603–2611. [Google Scholar] [CrossRef]
- Cuschieri, S. The STROBE guidelines. Saudi J. Anaesth. 2019, 13, S31–S34. [Google Scholar] [CrossRef] [PubMed]
- Dixon, M.F.; Genta, R.M.; Yardley, J.H.; Correa, P. Classification and grading of gastritis. The updated Sydney System. International Workshop on the Histopathology of Gastritis, Houston 1994. Am. J. Surg. Pathol. 1996, 20, 1161–1181. [Google Scholar] [CrossRef]
- World Health Organization. Guideline on Haemoglobin Cutoffs to Define Anaemia in Individuals and Population; World Health Organization (WHO): Geneva, Switzerland, 2024. [Google Scholar]
- Lahner, E.; Dilaghi, E.; Cingolani, S.; Pivetta, G.; Dottori, L.; Esposito, G.; Marzinotto, I.; Lampasona, V.; Buzzetti, R.; Annibale, B. Gender-sex differences in autoimmune atrophic gastritis. Transl. Res. 2022, 248, 1–10. [Google Scholar] [CrossRef] [PubMed]
- Cohen, E.; Margalit, I.; Shochat, T.; Goldberg, E.; Krause, I. Gender differences in homocysteine concentrations, a population-based cross-sectional study. Nutr. Metab. Cardiovasc. Dis. 2019, 29, 9–14. [Google Scholar] [CrossRef]
- Lenti, M.V.; Lahner, E.; Bergamaschi, G.; Miceli, E.; Conti, L.; Massironi, S.; Cococcia, S.; Zilli, A.; Caprioli, F.; Vecchi, M.; et al. Cell Blood Count Alterations and Patterns of Anaemia in Autoimmune Atrophic Gastritis at Diagnosis: A Multicentre Study. J. Clin. Med. 2019, 8, 1992. [Google Scholar] [CrossRef]
- Marignani, M.; Fave, D.G.; Mecarocci, S.; Bordi, C.; Angeletti, S.; D’AMbra, G.; Aprile, M.R.; Corleto, V.D.; Monarca, B.; Annibale, B. High prevalence of atrophic body gastritis in patients with unexplained microcytic and macrocytic anemia: A prospective screening study. Am. J. Gastroenterol. 1999, 94, 766–772. [Google Scholar] [CrossRef]
- Tordjman, R.; Genereau, T.; Guinnepain, M.; Weyer, A.; Lortholary, O.; Royer, I.; Casassus, P.; Guillevin, L. Reintroduction of vitamin B12 in 2 patients with prior B12-induced anaphylaxis. Eur. J. Haematol. 1998, 60, 269–270. [Google Scholar] [CrossRef] [PubMed]
- Obeid, R.; Fedosov, S.N.; Nexo, E. Cobalamin coenzyme forms are not likely to be superior to cyano- and hydroxyl-cobalamin in prevention or treatment of cobalamin deficiency. Mol. Nutr. Food Res. 2015, 59, 1364–1372. [Google Scholar] [CrossRef] [PubMed]


| All Patients n = 213 | Patients Treated with TxA n = 146 (68.5%) | Patients Treated with TxB n = 67 (31.5%) | p | |
|---|---|---|---|---|
| Clinical-biochemical features | ||||
| Females | 62.9% | 67.1% | 50.8% | 0.022 |
| Age, years, median (range) | 63 (20–86) | 62 (20–86) | 65 (33–85) | 0.748 |
| Presence of anemia | 48.3% | 50.0% | 44.6% | 0.273 |
| Severity of anemia | ||||
| -severe | 7.8% | 7.8% | 7.8% | 0.556 |
| -moderate | 8.8% | 10.6% | 4.7% | |
| -mild | 31.5% | 31.7% | 31.3% | |
| -absent | 51.9% | 50.0% | 56.3% | |
| Presence of macrocytosis | 26.3% | 19.9% | 40.6% | 0.002 |
| Serum cobalamin levels, pg/mL, mean ± SEM | 164 ± 6 | 165 ± 8 | 137 ± 10 | 0.041 |
| Serum cobalamin levels | ||||
| <200 pg/mL | 41.7% | 43.9% | 37.1% | 0.250 |
| <100 pg/mL | 28.1% | 23.9% | 37.1% | |
| Cobalamin supplementation before standard treatment | 73.6% | 72.4% | 76.1% | 0.570 |
| High serum homocysteine levels | 60.5% | 58.8% | 64.1% | 0.578 |
| Concomitant iron deficiency | 54.8% | 57.6% | 48.0% | 0.250 |
| Body mass index, kg/m2, mean ± SEM | 25.7 ± 0.3 | 25.2 ± 0.4 | 26.3 ± 0.8 | 0.171 |
| Smoking | ||||
| -Active | 21.5% | 21.2% | 22.2% | 0.377 |
| -Past | 20.0% | 17.5% | 25.4% | |
| -Never | 58.5% | 61.3% | 52.4% | |
| Vegetarian diet | 0.5% | 0.7% | 0.0% | 0.495 |
| Autoimmune diseases | ||||
| -absent | 58.1% | 56.6% | 61.5% | 0.499 |
| -autoimmune thyroid disease (AITD) | 28.1% | 29.7% | 24.6% | |
| -other autoimmune (AI) diseases | 6.7% | 5.5% | 9.2% | |
| -AITD and other AI diseases | 7.1% | 8.3% | 4.6% | |
| Diabetes | ||||
| -type I | 2.8% | 2.7% | 3.0% | 0.781 |
| -type II | 13.1% | 13.7% | 11.9% | |
| -not specified | 0.9% | 1.4% | 0.0% | |
| Myelodysplasia | 1.4% | 0.7% | 3.0% | 0.187 |
| Mthfr mutation | 9.0% | 8.3% | 10.5% | 0.618 |
| Metformin treatment | 11.4% | 11.7% | 10.6% | 0.813 |
| Aspirin treatment | 14.6% | 15.2% | 13.4% | 0.739 |
| Use of >3 chronic drug treatments | 14.8% | 16.8% | 10.6% | 0.244 |
| Previous abdominal surgery | 6.7% | 6.3% | 7.6% | 0.721 |
| Gastric histopathological features | ||||
| Corpus-restricted atrophy | 73.4% | 73.1% | 74.2% | 0.862 |
| Corpus atrophy severity score | ||||
| -Mild | 9.5% | 10.4% | 7.6% | 0.197 |
| -Moderate | 16.6% | 19.3% | 10.6% | |
| -Severe | 73.9% | 70.4% | 81.8% | |
| Corpus intestinal metaplasia severity score | ||||
| -Absent | 13.2% | 15.2% | 9.0% | <0.0001 |
| -Mild | 40.1% | 45.5% | 28.4% | |
| -Moderate | 38.2% | 36.6% | 41.8% | |
| -Severe | 8.5% | 2.8% | 20.9% | |
| Helicobacter pylori positivity at histology | 31.9% | 29.5% | 37.3% | 0.254 |
| Gastric neoplastic lesions (diagnosed at baseline or follow-up) | 10.8% | 11.0% | 10.5% | |
| -Type 1 gastric neuroendocrine tumour | 6.1% | 6.9% | 4.6% | 0.911 |
| -Gastric cancer | 4.7% | 4.1% | 5.9% | 0.966 |
Disclaimer/Publisher’s Note: The statements, opinions and data contained in all publications are solely those of the individual author(s) and contributor(s) and not of MDPI and/or the editor(s). MDPI and/or the editor(s) disclaim responsibility for any injury to people or property resulting from any ideas, methods, instructions or products referred to in the content. |
© 2026 by the authors. Licensee MDPI, Basel, Switzerland. This article is an open access article distributed under the terms and conditions of the Creative Commons Attribution (CC BY) license.
Share and Cite
Schiavone, F.P.; Pivetta, G.; Scalamonti, S.; Pompili, M.; Magnante, M.; Esposito, G.; Annibale, B.; Lahner, E. Intramuscular Cyanocobalamin Treatment in Patients with Corpus Atrophic Gastritis and Vitamin B12 Deficiency: Efficacy and Predictors of Increased Requirement—A Monocentric Longitudinal Real-Life Cohort Study. Nutrients 2026, 18, 271. https://doi.org/10.3390/nu18020271
Schiavone FP, Pivetta G, Scalamonti S, Pompili M, Magnante M, Esposito G, Annibale B, Lahner E. Intramuscular Cyanocobalamin Treatment in Patients with Corpus Atrophic Gastritis and Vitamin B12 Deficiency: Efficacy and Predictors of Increased Requirement—A Monocentric Longitudinal Real-Life Cohort Study. Nutrients. 2026; 18(2):271. https://doi.org/10.3390/nu18020271
Chicago/Turabian StyleSchiavone, Francesco Paolo, Giulia Pivetta, Silvia Scalamonti, Manuela Pompili, Micaela Magnante, Gianluca Esposito, Bruno Annibale, and Edith Lahner. 2026. "Intramuscular Cyanocobalamin Treatment in Patients with Corpus Atrophic Gastritis and Vitamin B12 Deficiency: Efficacy and Predictors of Increased Requirement—A Monocentric Longitudinal Real-Life Cohort Study" Nutrients 18, no. 2: 271. https://doi.org/10.3390/nu18020271
APA StyleSchiavone, F. P., Pivetta, G., Scalamonti, S., Pompili, M., Magnante, M., Esposito, G., Annibale, B., & Lahner, E. (2026). Intramuscular Cyanocobalamin Treatment in Patients with Corpus Atrophic Gastritis and Vitamin B12 Deficiency: Efficacy and Predictors of Increased Requirement—A Monocentric Longitudinal Real-Life Cohort Study. Nutrients, 18(2), 271. https://doi.org/10.3390/nu18020271

