Effects of Creatine Monohydrate Loading on Sleep Metrics, Physical Performance, Cognitive Function, and Recovery in Physically Active Men: A Randomized, Double-Blind, Placebo-Controlled, Crossover Trial
Abstract
1. Introduction
2. Materials and Methods
2.1. Participants
2.2. Experimental Design
2.3. Measures
2.3.1. Actigraphy
2.3.2. The Hooper Questionnaire
2.3.3. Subjective Sleep Quality
2.3.4. 5m Shuttle Run Test
2.3.5. Rating of Perceived Exertion
2.3.6. The Digit Cancellation Test
2.3.7. Feelings Scale
2.3.8. Perceived Recovery Scale
2.3.9. Delayed Onset Muscle Soreness
2.4. Statistical Analyses
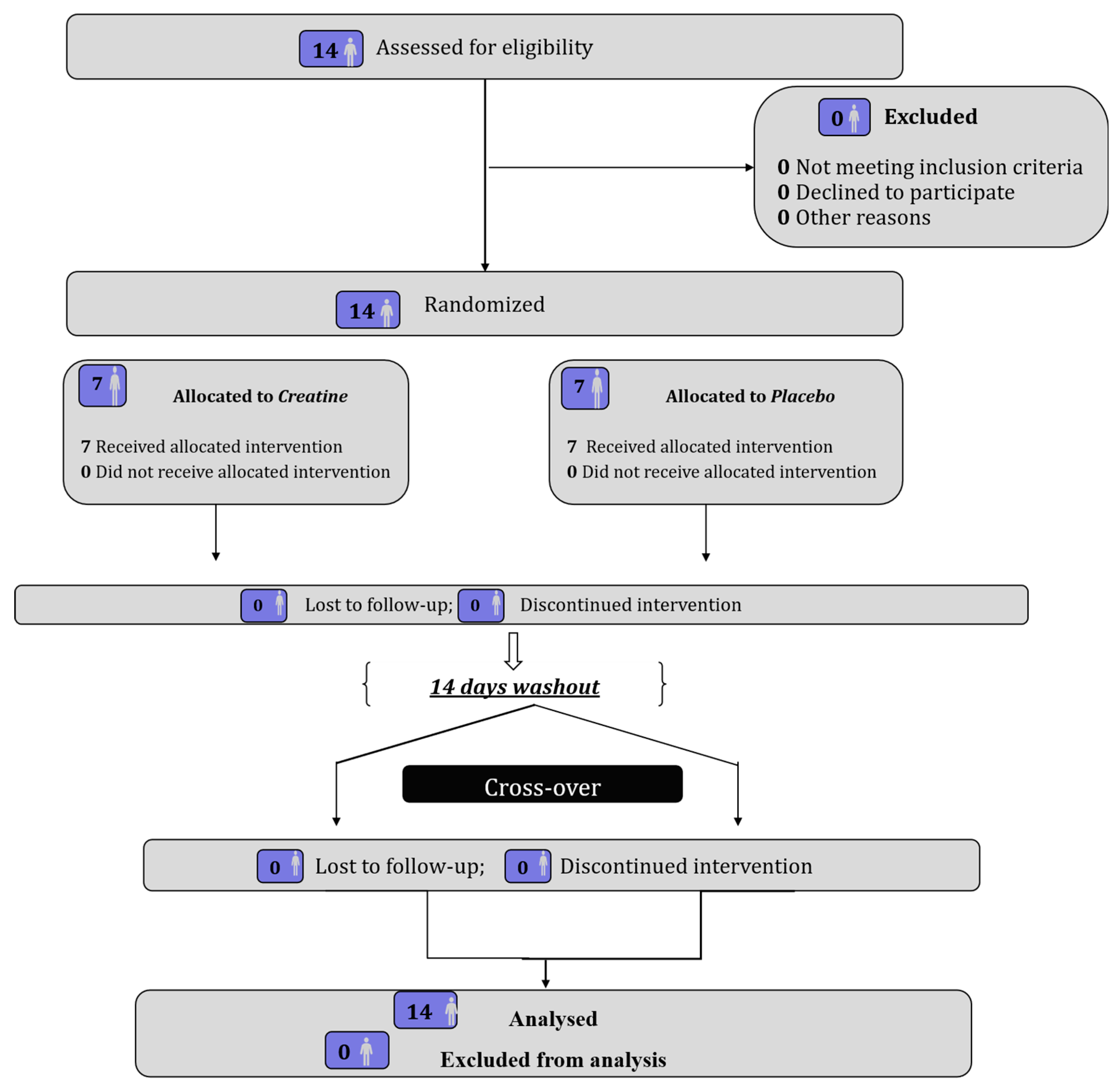
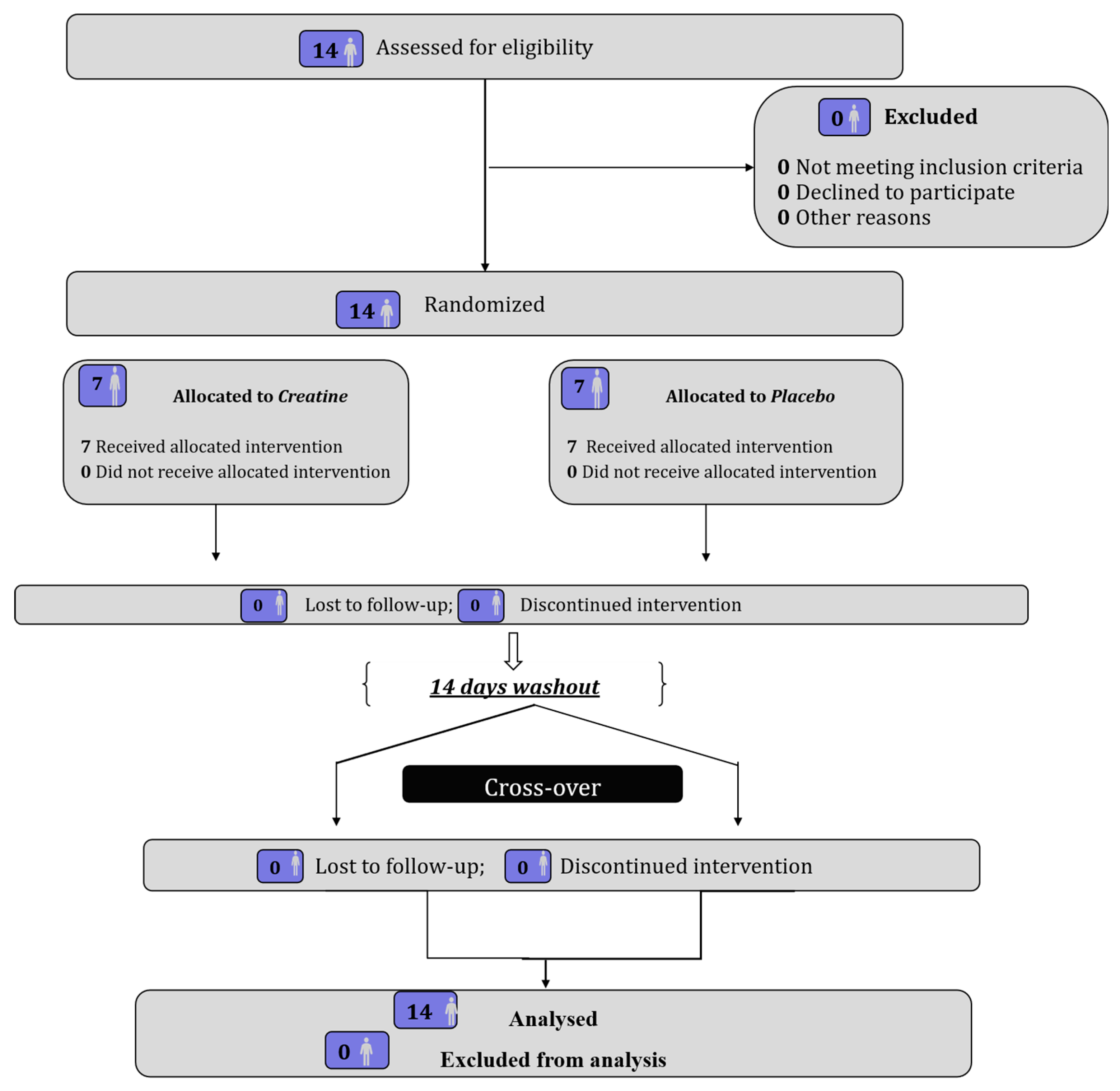
3. Results
3.1. Actigraphy Variables
3.2. Hooper Questionnaire
3.3. Sleep Subjective Quality
3.4. Physical Performance and Perceived Exertion
3.5. Digit Cancellation Test
3.6. Feeling Scale
3.7. Recovery Perceptions
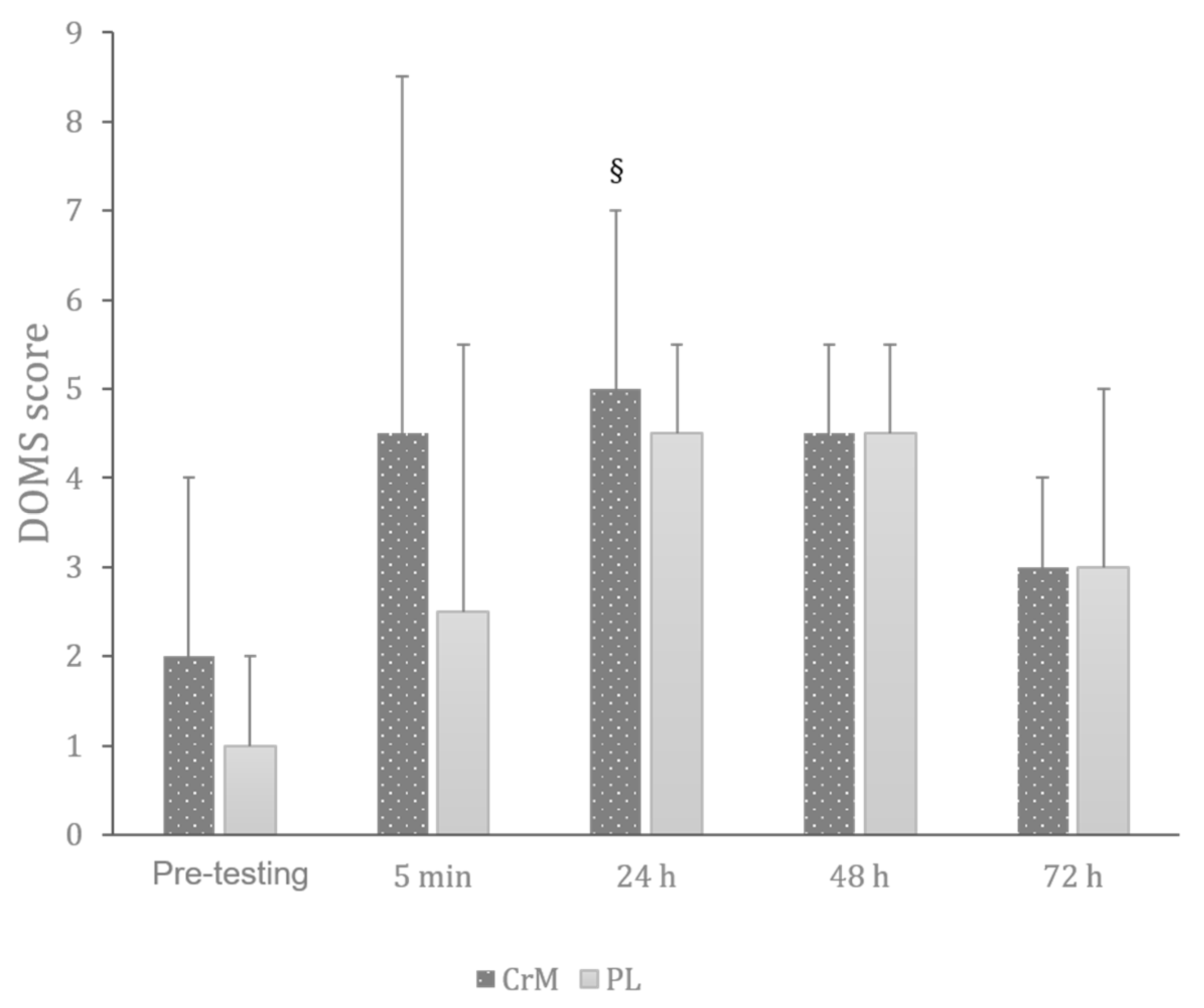
3.7.1. Delayed Onset Muscle Soreness
3.7.2. Perceived Recovery Status
4. Discussion
5. Conclusions
Supplementary Materials
Author Contributions
Funding
Institutional Review Board Statement
Informed Consent Statement
Data Availability Statement
Conflicts of Interest
Abbreviations
| CrM | Creatine monohydrate |
| PL | Placebo |
| 5mSRT | Five-meter shuttle run test |
| TD | Total distance |
| BD | Best distance |
| PD | Performance decrement |
| FI | Fatigue index |
| RPE | Rating of perceived exertion |
| SSQ | Sleep subjective quality |
| DCT | Digit cancellation test |
| FS | Feeling scale |
| PRS | Perceived recovery scale |
| DOMS | Delayed onset muscle soreness |
| CONSORT | Consolidated Standards of Reporting Trials |
References
- Ribeiro, F.; Longobardi, I.; Perim, P.; Duarte, B.; Ferreira, P.; Gualano, B.; Roschel, H.; Saunders, B. Timing of Creatine Supplementation around Exercise: A Real Concern? Nutrients 2021, 13, 2844. [Google Scholar] [CrossRef] [PubMed]
- Wax, B.; Kerksick, C.M.; Jagim, A.R.; Mayo, J.J.; Lyons, B.C.; Kreider, R.B. Creatine for Exercise and Sports Performance, with Recovery Considerations for Healthy Populations. Nutrients 2021, 13, 1915. [Google Scholar] [CrossRef]
- Wyss, M.; Kaddurah-Daouk, R. Creatine and Creatinine Metabolism. Physiol. Rev. 2000, 80, 1107–1213. [Google Scholar] [CrossRef]
- Antonio, J.; Candow, D.G.; Forbes, S.C.; Gualano, B.; Jagim, A.R.; Kreider, R.B.; Rawson, E.S.; Smith-Ryan, A.E.; VanDusseldorp, T.A.; Willoughby, D.S.; et al. Common questions and misconceptions about creatine supplementation: What does the scientific evidence really show? J. Int. Soc. Sports Nutr. 2021, 18, 13. [Google Scholar] [CrossRef]
- Rawson Eric, S.; Persky Adam, M. Mechanisms of muscular adaptations to creatine supplementation: Review article. Int. Sport. J. 2007, 8, 43–53. [Google Scholar]
- Kreider, R.B.; Kalman, D.S.; Antonio, J.; Ziegenfuss, T.N.; Wildman, R.; Collins, R.; Candow, D.G.; Kleiner, S.M.; Almada, A.L.; Lopez, H.L. International Society of Sports Nutrition position stand: Safety and efficacy of creatine supplementation in exercise, sport, and medicine. J. Int. Soc. Sports Nutr. 2017, 14, 18. [Google Scholar] [CrossRef] [PubMed]
- Oliver, J.M.; Joubert, D.P.; Martin, S.E.; Crouse, S.F. Oral Creatine Supplementation’s Decrease of Blood Lactate During Exhaustive, Incremental Cycling. Int. J. Sport Nutr. Exerc. Metab. 2013, 23, 252–258. [Google Scholar] [CrossRef]
- Wallimann, T.; Tokarska-Schlattner, M.; Schlattner, U. The creatine kinase system and pleiotropic effects of creatine. Amino Acids 2011, 40, 1271–1296. [Google Scholar] [CrossRef] [PubMed]
- Arazi, H.; Eghbali, E.; Suzuki, K. Creatine Supplementation, Physical Exercise and Oxidative Stress Markers: A Review of the Mechanisms and Effectiveness. Nutrients 2021, 13, 869. [Google Scholar] [CrossRef]
- Smith-Ryan, A.E.; Cabre, H.E.; Eckerson, J.M.; Candow, D.G. Creatine Supplementation in Women’s Health: A Lifespan Perspective. Nutrients 2021, 13, 877. [Google Scholar] [CrossRef]
- Borchio, L.; Machek, S.B.; Machado, M. Supplemental creatine monohydrate loading improves cognitive function in experienced mountain bikers. J. Sports Med. Phys. Fit. 2020, 60, 1168–1170. [Google Scholar] [CrossRef]
- Roschel, H.; Gualano, B.; Ostojic, S.M.; Rawson, E.S. Creatine Supplementation and Brain Health. Nutrients 2021, 13, 586. [Google Scholar] [CrossRef] [PubMed]
- Forbes, S.C.; Cordingley, D.M.; Cornish, S.M.; Gualano, B.; Roschel, H.; Ostojic, S.M.; Rawson, E.S.; Roy, B.D.; Prokopidis, K.; Giannos, P.; et al. Effects of Creatine Supplementation on Brain Function and Health. Nutrients 2022, 14, 921. [Google Scholar] [CrossRef]
- Jakowski, S.; Kiel, A.; Kullik, L.; Erlacher, D. Sleep to heal and restore: The role of sleep in the recovery and regeneration process. In The Importance of Recovery for Physical and Mental Health; Routledge: London, UK, 2023; pp. 141–153. [Google Scholar]
- Charest, J.; Grandner, M.A. Sleep, nutrition, and supplements: Implications for athletes. In Sleep and Sport; Grandner, M.A., Athey, A.B., Eds.; Academic Press: Cambridge, MA, USA, 2024; pp. 233–269. [Google Scholar]
- Bian, X.; Zhu, J.; Jia, X.; Liang, W.; Yu, S.; Li, Z.; Zhang, W.; Rao, Y. Evidence suggesting creatine as a new central neurotransmitter: Presence in synaptic vesicles, release upon stimulation, effects on cortical neurons and uptake into synaptosomes and synaptic vesicles. eLife 2023, 12, RP89317. [Google Scholar] [CrossRef] [PubMed]
- Walczak, K.; Krasnoborska, J.; Samojedny, S.; Superson, M.; Szmyt, K.; Szymańska, K.; Wilk-Trytko, K. Effect of creatine supplementation on cognitive function and mood. J. Educ. Health Sport 2024, 73, 51712. [Google Scholar] [CrossRef]
- Fabiano, N.; Candow, D. Creatine Supplementation: More Is Likely Better for Brain Bioenergetics, Health and Function. J. Psychiatry Brain Sci. 2025, 10, e250006. [Google Scholar] [CrossRef]
- Feeney, S.P.; McCarthy, J.M.; Petruconis, C.R.; Tudor, J.C. Sleep loss is a metabolic disorder. Sci. Signal. 2025, 18, eadp9358. [Google Scholar] [CrossRef]
- Candow, D.G.; Forbes, S.C.; Ostojic, S.M.; Prokopidis, K.; Stock, M.S.; Harmon, K.K.; Faulkner, P. “Heads Up” for Creatine Supplementation and its Potential Applications for Brain Health and Function. Sports Med. 2023, 53, 49–65. [Google Scholar] [CrossRef]
- Van Cutsem, J.; Roelands, B.; Pluym, B.; Tassignon, B.; Verschueren, J.O.; De Pauw, K.; Meeusen, R. Can Creatine Combat the Mental Fatigue-associated Decrease in Visuomotor Skills? Med. Sci. Sports Exerc. 2020, 52, 120–130. [Google Scholar] [CrossRef]
- Fernandes-Pires, G.; Braissant, O. Current and potential new treatment strategies for creatine deficiency syndromes. Mol. Genet. Metab. 2022, 135, 15–26. [Google Scholar] [CrossRef]
- Gordji-Nejad, A.; Matusch, A.; Kleedörfer, S.; Jayeshkumar Patel, H.; Drzezga, A.; Elmenhorst, D.; Binkofski, F.; Bauer, A. Single dose creatine improves cognitive performance and induces changes in cerebral high energy phosphates during sleep deprivation. Sci. Rep. 2024, 14, 4937. [Google Scholar] [CrossRef]
- Dolan, E.; Gualano, B.; Rawson, E.S. Beyond muscle: The effects of creatine supplementation on brain creatine, cognitive processing, and traumatic brain injury. Eur. J. Sport Sci. 2019, 19, 1–14. [Google Scholar] [CrossRef]
- Turner, C.E.; Byblow, W.D.; Gant, N. Creatine supplementation enhances corticomotor excitability and cognitive performance during oxygen deprivation. J. Neurosci. 2015, 35, 1773–1780. [Google Scholar] [CrossRef] [PubMed]
- Aguiar Bonfim Cruz, A.J.; Brooks, S.J.; Kleinkopf, K.; Brush, C.J.; Irwin, G.L.; Schwartz, M.G.; Candow, D.G.; Brown, A.F. Creatine Improves Total Sleep Duration Following Resistance Training Days versus Non-Resistance Training Days among Naturally Menstruating Females. Nutrients 2024, 16, 2772. [Google Scholar] [CrossRef] [PubMed]
- Ateş, O.; Keskin, B.; Bayraktar, B. The effect of acute Creatine supplementation on fatigue and anaerobic performance. Cent. Eur. J. Sport Sci. Med. 2017, 19, 85–92. [Google Scholar] [CrossRef]
- Buysse, D.J.; Ancoli-Israel, S.; Edinger, J.D.; Lichstein, K.L.; Morin, C.M. Recommendations for a Standard Research Assessment of Insomnia. Sleep 2006, 29, 1155–1173. [Google Scholar] [CrossRef]
- Mastin, D.F.; Bryson, J.; Corwyn, R. Assessment of Sleep Hygiene Using the Sleep Hygiene Index. J. Behav. Med. 2006, 29, 223–227. [Google Scholar] [CrossRef]
- Moriarty, T.; Bourbeau, K.; Dorman, K.; Runyon, L.; Glaser, N.; Brandt, J.; Hoodjer, M.; Forbes, S.C.; Candow, D.G. Dose–Response of Creatine Supplementation on Cognitive Function in Healthy Young Adults. Brain Sci. 2023, 13, 1276. [Google Scholar] [CrossRef] [PubMed]
- Boukhris, O.; Trabelsi, K.; Ammar, A.; Abdessalem, R.; Hsouna, H.; Glenn, J.M.; Bott, N.; Driss, T.; Souissi, N.; Hammouda, O.; et al. A 90 min Daytime Nap Opportunity Is Better Than 40 min for Cognitive and Physical Performance. Int. J. Environ. Res. Public Health 2020, 17, 4650. [Google Scholar] [CrossRef]
- Jäger, R.; Purpura, M.; Shao, A.; Inoue, T.; Kreider, R.B. Analysis of the efficacy, safety, and regulatory status of novel forms of creatine. Amino Acids 2011, 40, 1369–1383. [Google Scholar] [CrossRef]
- Hooper, S.L.; Mackinnon, L.T.; Howard, A.; Gordon, R.D.; Bachmann, A.W. Markers for monitoring overtraining and recovery. Med. Sci. Sports Exerc. 1995, 27, 106–112. [Google Scholar] [CrossRef]
- Boddington, M.K.; Lambert, M.I.; Gibson, A.S.C.; Noakes, T.D. Reliability of a 5-m multiple shuttle test. J. Sports Sci. 2001, 19, 223–228. [Google Scholar] [CrossRef]
- Borg, G. An Introduction to Borg’s RPE-Scale; Mouvement Publications: Paris, France, 1985. [Google Scholar]
- Hatta, T.; Yoshizaki, K.; Ito, Y.; Mase, M.; Kabasawa, H. Reliability and validity of the digit cancellation test, a brief screen of attention. Psychologia 2012, 55, 246–256. [Google Scholar] [CrossRef]
- Hardy, C.J.; Rejeski, W.J. Not What, but How One Feels: The Measurement of Affect during Exercise. J. Sport Exerc. Psychol. 1989, 11, 304–317. [Google Scholar] [CrossRef]
- Laurent, C.M.; Green, J.M.; Bishop, P.A.; Sjökvist, J.; Schumacker, R.E.; Richardson, M.T.; Curtner-Smith, M. A Practical Approach to Monitoring Recovery: Development of a Perceived Recovery Status Scale. J. Strength Cond. Res. 2011, 25, 620–628. [Google Scholar] [CrossRef] [PubMed]
- Dierking, J.K.; Bemben, M.G.; Bemben, D.A.; Anderson, M.A. Validity of Diagnostic Ultrasound as a Measure of Delayed Onset Muscle Soreness. J. Orthop. Sports Phys. Ther. 2000, 30, 116–125. [Google Scholar] [CrossRef] [PubMed]
- Vieira, I.P.; de Paula, A.G.; Gentil, P.; Pichard, C.; Candow, D.G.; Pimentel, G.D. Effects of Creatine Supplementation on Lower-Limb Muscle Endurance Following an Acute Bout of Aerobic Exercise in Young Men. Sports 2020, 8, 12. [Google Scholar] [CrossRef]
- Efird, J. Blocked Randomization with Randomly Selected Block Sizes. Int. J. Environ. Res. Public Health 2011, 8, 15–20. [Google Scholar] [CrossRef]
- Fekedulegn, D.; Andrew, M.E.; Shi, M.; Violanti, J.M.; Knox, S.; Innes, K.E. Actigraphy-based assessment of sleep parameters. Ann. Work Expo. Health 2020, 64, 350–367. [Google Scholar] [CrossRef]
- Tranah, G.J.; Parimi, N.; Blackwell, T.; Ancoli-Israel, S.; Ensrud, K.E.; Cauley, J.A.; Redline, S.; Lane, N.; Paudel, M.L.; Hillier, T.A. Postmenopausal hormones and sleep quality in the elderly: A population based study. BMC Women’s Health 2010, 10, 15. [Google Scholar] [CrossRef] [PubMed]
- Hooper, S.L.; Mackinnon, L.T. Monitoring Overtraining in Athletes. Sports Med. 1995, 20, 321–327. [Google Scholar] [CrossRef]
- Boukhris, O.; Abdessalem, R.; Ammar, A.; Hsouna, H.; Trabelsi, K.; Engel, F.A.; Sperlich, B.; Hill, D.W.; Chtourou, H. Nap Opportunity During the Daytime Affects Performance and Perceived Exertion in 5-m Shuttle Run Test. Front. Physiol. 2019, 10, 779. [Google Scholar] [CrossRef]
- Sawilowsky, S.S. New effect size rules of thumb. J. Mod. Appl. Stat. Methods 2009, 8, 26. [Google Scholar] [CrossRef]
- Tomczak, M.; Tomczak, E. The need to report effect size estimates revisited. An overview of some recommended measures of effect size. Trends Sport Sci. 2014, 21, 19–25. [Google Scholar]
- Bonilla, D.A.; Kreider, R.B.; Stout, J.R.; Forero, D.A.; Kerksick, C.M.; Roberts, M.D.; Rawson, E.S. Metabolic Basis of Creatine in Health and Disease: A Bioinformatics-Assisted Review. Nutrients 2021, 13, 1238. [Google Scholar] [CrossRef]
- Candow, D.G.; Forbes, S.C.; Chilibeck, P.D.; Cornish, S.M.; Antonio, J.; Kreider, R.B. Variables Influencing the Effectiveness of Creatine Supplementation as a Therapeutic Intervention for Sarcopenia. Front. Nutr. 2019, 6, 124. [Google Scholar] [CrossRef]
- Andres, R.H.; Ducray, A.D.; Schlattner, U.; Wallimann, T.; Widmer, H.R. Functions and effects of creatine in the central nervous system. Brain Res. Bull. 2008, 76, 329–343. [Google Scholar] [CrossRef] [PubMed]
- Deminice, R.; Rosa, F.T.; Franco, G.S.; Jordao, A.A.; de Freitas, E.C. Effects of creatine supplementation on oxidative stress and inflammatory markers after repeated-sprint exercise in humans. Nutrition 2013, 29, 1127–1132. [Google Scholar] [CrossRef] [PubMed]
- Casey, A.; Constantin-Teodosiu, D.; Howell, S.; Hultman, E.; Greenhaff, P.L. Creatine ingestion favorably affects performance and muscle metabolism during maximal exercise in humans. Am. J. Physiol. -Endocrinol. Metab. 1996, 271, E31–E37. [Google Scholar] [CrossRef]
- Syrotuik, D.G.; Bell, G.J. Acute Creatine Monohydrate Supplementation: A Descriptive Physiological Profile of Responders vs. Nonresponders. J. Strength Cond. Res. 2004, 18, 610–617. [Google Scholar] [PubMed]
- Harris, R.C.; Söderlund, K.; Hultman, E. Elevation of creatine in resting and exercised muscle of normal subjects by creatine supplementation. Clin. Sci. 1992, 83, 367–374. [Google Scholar] [CrossRef] [PubMed]
- Schedel, J.; Terrier, P.; Schutz, Y. The biomechanic origin of sprint performance enhancement after one-week creatine supplementation. Jpn. J. Physiol. 2000, 50, 273–276. [Google Scholar] [CrossRef] [PubMed][Green Version]
- Furtado, E.T.F.; Oliveira, J.P.L.D.; Pereira, I.S.; Veiga, E.P.; Silva, S.F.D.; Abreu, W.C.D. Short term creatine loading improves strength endurance even without changing maximal strength, RPE, fatigue index, blood lactate, and mode state. An. Da Acad. Bras. De Cienc. 2024, 96, e20230559. [Google Scholar] [CrossRef] [PubMed]
- Paiva, J.M.; Souza, C.O.; Valle, V.O.; Forbes, S.C.; Pereira, R.; Machado, M. Creatine monohydrate enhanced fixed and planned load reduction resistance training without altering ratings of perceived exertion. J. Exerc. Nutr. 2020, 3, 11. [Google Scholar]
- Ribeiro, A.S.; Avelar, A.; Schoenfeld, B.J.; Trindade, M.C.; Ritti-Dias, R.M.; Altimari, L.R.; Cyrino, E.S. Effect of 16 weeks of resistance training on fatigue resistance in men and women. J. Hum. Kinet. 2014, 42, 165–174. [Google Scholar] [CrossRef]
- Kious, B.M.; Kondo, D.G.; Renshaw, P.F. Creatine for the Treatment of Depression. Biomolecules 2019, 9, 406. [Google Scholar] [CrossRef]
- Watanabe, A.; Kato, N.; Kato, T. Effects of creatine on mental fatigue and cerebral hemoglobin oxygenation. Neurosci. Res. 2002, 42, 279–285. [Google Scholar] [CrossRef]
- Rawson, E.S.; Gunn, B.; Clarkson, P.M. The Effects of Creatine Supplementation on Exercise-Induced Muscle Damage. J. Strength Cond. Res. 2001, 15, 178–184. [Google Scholar]




| Variable | Statistic | CrM | PL |
|---|---|---|---|
| In-bed time (hh:min:sec) # | MED/IQR | 22:51:47 /00:18:35 * | 23:07:24/00:16:30 |
| Out-bed time (hh:min:sec) † | M (SD) | 07:35:15 (00:41:37) | 07:11:06 (00:45:38) |
| Total minutes in bed (min) † | M (SD) | 488.65 (36.71) | 471.65 (108.65) |
| Total sleep time (min) † | M (SD) | 363.83 (34.14) | 357.30 (90.87) |
| Sleep latency (min) † | M (SD) | 30.68 (14.59) | 25.09 (20.22) |
| Sleep efficiency (%) † | M (SD) | 77.75 (5.40) | 77.71 (5.97) |
| Variable | Statistic | CrM | PL |
|---|---|---|---|
| SSQ score † | M (SD) | 7.43 (1.65) * | 5.57 (1.79) |
| Hooper | |||
| Sleep score # | MED/IQR | 2/2.25 | 3/2.25 |
| Stress score # | MED/IQR | 1/1 | 2/2.25 |
| Fatigue score † | M (SD) | 2.93 (1.44) | 3.14 (0.95) |
| Muscle soreness score † | M (SD) | 2.93 (1.33) * | 4.29 (1.38) |
| Index score † | M (SD) | 9.36 (3.95) | 10 (2.86) |
| Variable | Statistic | CrM | PL |
|---|---|---|---|
| TD (m) # | MED/IQR | 762.50/67.50 * | 662.50/75.00 |
| BD (m) # | MED/IQR | 150.00/40.00 * | 125.00/00.00 |
| FI (%) † | M (SD) | 6.64 (13.58) | 4.07 (8.05) |
| PD (%) † | M (SD) | 13.27 (15.86) | 8.93 (10) |
| RPE score † | M (SD) | 6.25 (0.92) | 6.06 (1.13) |
| Variable | Statistic | CrM | PL |
|---|---|---|---|
| DCT score † | M (SD) | 64.29 (9.19) * | 55.07 (8.33) |
| FS score # | MED/IQR | 2/2.25 | 1/3 |
Disclaimer/Publisher’s Note: The statements, opinions and data contained in all publications are solely those of the individual author(s) and contributor(s) and not of MDPI and/or the editor(s). MDPI and/or the editor(s) disclaim responsibility for any injury to people or property resulting from any ideas, methods, instructions or products referred to in the content. |
© 2025 by the authors. Licensee MDPI, Basel, Switzerland. This article is an open access article distributed under the terms and conditions of the Creative Commons Attribution (CC BY) license (https://creativecommons.org/licenses/by/4.0/).
Share and Cite
Ben Maaoui, K.; Delleli, S.; Mahdi, N.; Jebabli, A.; Del Coso, J.; Chtourou, H.; Ardigò, L.P.; Ouergui, I. Effects of Creatine Monohydrate Loading on Sleep Metrics, Physical Performance, Cognitive Function, and Recovery in Physically Active Men: A Randomized, Double-Blind, Placebo-Controlled, Crossover Trial. Nutrients 2025, 17, 3831. https://doi.org/10.3390/nu17243831
Ben Maaoui K, Delleli S, Mahdi N, Jebabli A, Del Coso J, Chtourou H, Ardigò LP, Ouergui I. Effects of Creatine Monohydrate Loading on Sleep Metrics, Physical Performance, Cognitive Function, and Recovery in Physically Active Men: A Randomized, Double-Blind, Placebo-Controlled, Crossover Trial. Nutrients. 2025; 17(24):3831. https://doi.org/10.3390/nu17243831
Chicago/Turabian StyleBen Maaoui, Khouloud, Slaheddine Delleli, Nourhène Mahdi, Arwa Jebabli, Juan Del Coso, Hamdi Chtourou, Luca Paolo Ardigò, and Ibrahim Ouergui. 2025. "Effects of Creatine Monohydrate Loading on Sleep Metrics, Physical Performance, Cognitive Function, and Recovery in Physically Active Men: A Randomized, Double-Blind, Placebo-Controlled, Crossover Trial" Nutrients 17, no. 24: 3831. https://doi.org/10.3390/nu17243831
APA StyleBen Maaoui, K., Delleli, S., Mahdi, N., Jebabli, A., Del Coso, J., Chtourou, H., Ardigò, L. P., & Ouergui, I. (2025). Effects of Creatine Monohydrate Loading on Sleep Metrics, Physical Performance, Cognitive Function, and Recovery in Physically Active Men: A Randomized, Double-Blind, Placebo-Controlled, Crossover Trial. Nutrients, 17(24), 3831. https://doi.org/10.3390/nu17243831

