Controlling Nutritional Status (CONUT) Score as a Predictor of Prognosis in Non-Small Cell Lung Cancer
Abstract
1. Introduction
2. Materials and Methods
2.1. Study Design and Study Population
2.2. Inclusion and Exclusion Criteria
2.3. Study Protocol
2.4. Histological Data
2.5. Treatment Response Evaluation
2.6. Follow-Up Period
2.7. Data Collection, Assessment and Follow up
2.8. Nutrition-Related Tools
2.9. Statistical Analysis
3. Results
3.1. Nutritional Risk and Radiologic Response to Therapy
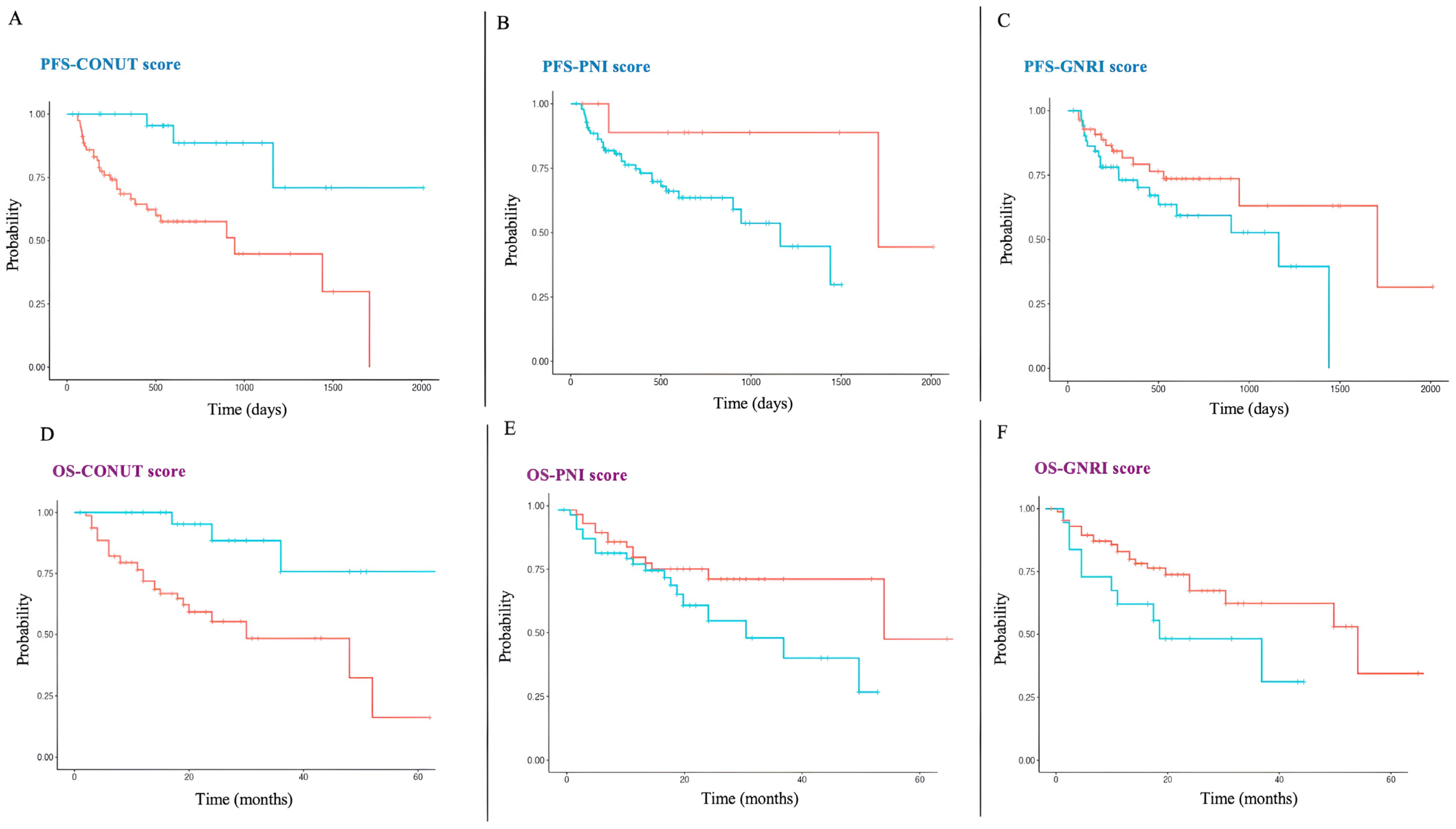
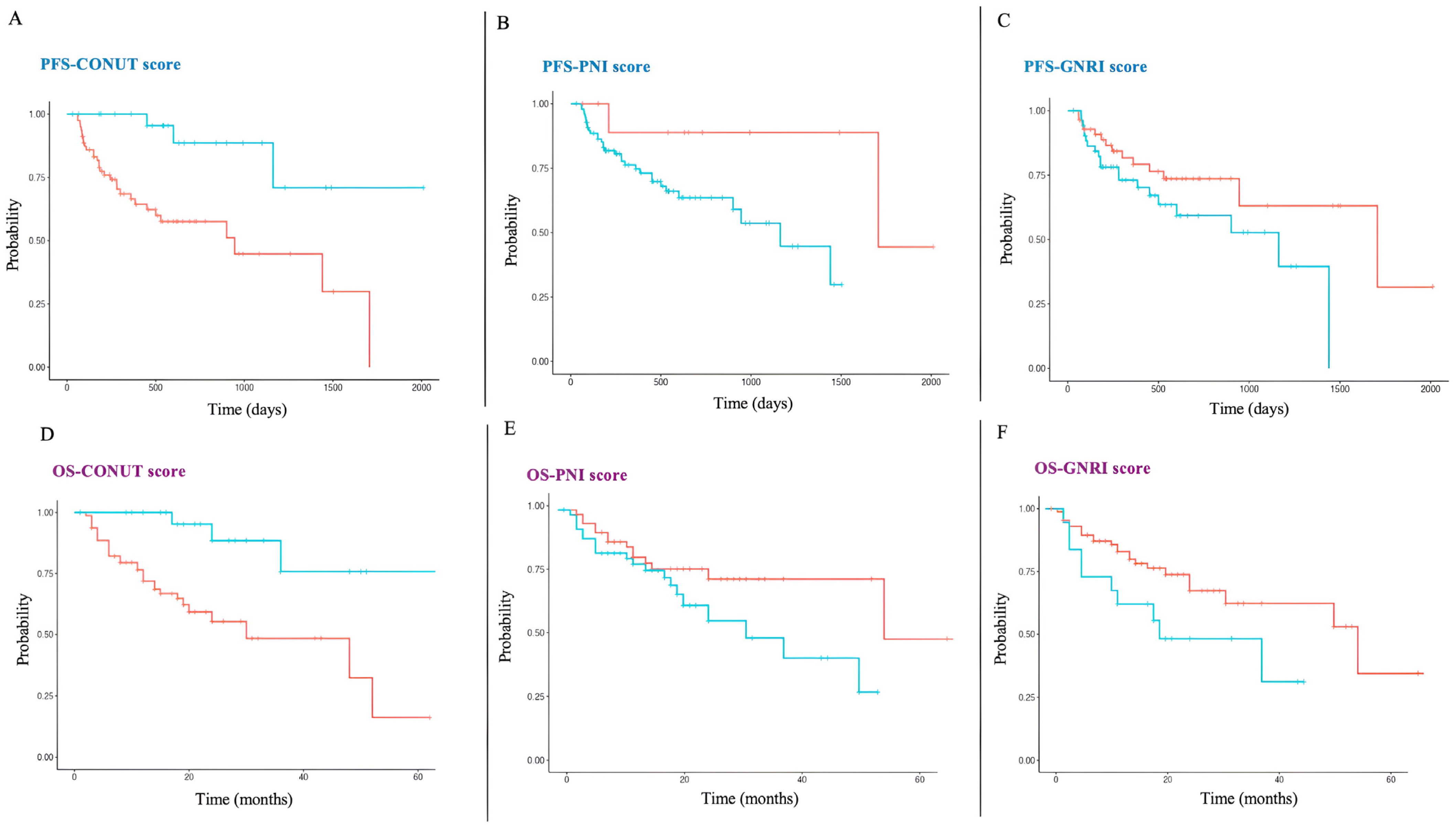
3.2. Survival Analysis Based on CONUT Score
4. Discussion
Strengths and Limitations of the Present Study
5. Conclusions
Author Contributions
Funding
Institutional Review Board Statement
Informed Consent Statement
Data Availability Statement
Acknowledgments
Conflicts of Interest
References
- Soeters, P.B.; Reijven, P.L.; Schueren, M.A.v.B.-D.v.d.; Schols, J.M.; Halfens, R.J.; Meijers, J.M.; van Gemert, W.G. A rational approach to nutritional assessment. Clin. Nutr. 2008, 27, 706–716. [Google Scholar] [CrossRef] [PubMed]
- Firouzabadi, D.; Ahmadi, H. Cancer-Related Malnutrition and the Role of Parenteral Nutrition in Cancer; A Narrative Review. Nutr. Cancer 2024, 76, 870–884. [Google Scholar] [CrossRef] [PubMed]
- Argilés, J.M. Cancer-associated malnutrition. Eur. J. Oncol. Nurs. 2005, 9 (Suppl. S2), S39–S50. [Google Scholar] [CrossRef]
- Elia, M.; Zellipour, L.; Stratton, R.J. To screen or not to screen for adult malnutrition? Clin. Nutr. 2005, 24, 867–884. [Google Scholar] [CrossRef] [PubMed]
- Arends, J.; Bodoky, G.; Bozzetti, F.; Fearon, K.; Muscaritoli, M.; Selga, G.; van Bokhorst-de van der Schueren, M.; Von Meyenfeldt, M.; Zürcher, G.; Fietkau, R.; et al. ESPEN Guidelines on Enteral Nutrition: Non-surgical oncology. Clin. Nutr. 2006, 25, 245–259. [Google Scholar] [CrossRef]
- Norman, K.; Pichard, C.; Lochs, H.; Pirlich, M. Prognostic impact of disease-related malnutrition. Clin. Nutr. 2008, 27, 5–15. [Google Scholar] [CrossRef]
- Santarpia, L.; Contaldo, F.; Pasanisi, F. Nutritional screening and early treatment of malnutrition in cancer patients. J. Cachex-Sarcopenia Muscle 2011, 2, 27–35. [Google Scholar] [CrossRef]
- Cole, C.L.; Kleckner, I.R.; Jatoi, A.; Schwarz, E.M.; Dunne, R.F. The Role of Systemic Inflammation in Cancer-Associated Muscle Wasting and Rationale for Exercise as a Therapeutic Intervention. JCSM Clin. Rep. 2018, 3, 1–19. [Google Scholar] [CrossRef]
- Arends, J. Malnutrition in cancer patients: Causes, consequences and treatment options. Eur. J. Surg. Oncol. 2023, 50, 107074. [Google Scholar] [CrossRef]
- Reber, E.; Schönenberger, K.A.; Vasiloglou, M.F.; Stanga, Z. Nutritional Risk Screening in Cancer Patients: The First Step Toward Better Clinical Outcome. Front. Nutr. 2021, 8, 603936. [Google Scholar] [CrossRef]
- Serón-Arbeloa, C.; Labarta-Monzón, L.; Puzo-Foncillas, J.; Mallor-Bonet, T.; Lafita-López, A.; Bueno-Vidales, N.; Montoro-Huguet, M. Malnutrition Screening and Assessment. Nutrients 2022, 14, 2392. [Google Scholar] [CrossRef]
- Hersberger, L.; Bargetzi, L.; Bargetzi, A.; Tribolet, P.; Fehr, R.; Baechli, V.; Geiser, M.; Deiss, M.; Gomes, F.; Kutz, A.; et al. Nutritional risk screening (NRS 2002) is a strong and modifiable predictor risk score for short-term and long-term clinical outcomes: Secondary analysis of a prospective randomised trial. Clin. Nutr. 2020, 39, 2720–2729. [Google Scholar] [CrossRef]
- Muscaritoli, M.; Arends, J.; Bachmann, P.; Baracos, V.; Barthelemy, N.; Bertz, H.; Bozzetti, F.; Hütterer, E.; Isenring, E.; Kaasa, S.; et al. ESPEN practical guideline: Clinical Nutrition in cancer. Clin. Nutr. 2021, 40, 2898–2913. [Google Scholar] [CrossRef]
- Zhou, H.-J.; Deng, L.-J.; Wang, T.; Chen, J.-X.; Jiang, S.-Z.; Yang, L.; Liu, F.; Weng, M.-H.; Hu, J.-W.; Tan, J.-Y. Clinical practice guidelines for the nutritional risk screening and assessment of cancer patients: A systematic quality appraisal using the AGREE II instrument. Support. Care Cancer 2021, 29, 2885–2893. [Google Scholar] [CrossRef]
- Ignacio de Ulíbarri, J.; González-Madroño, A.; de Villar, N.G.; González, P.; González, B.; Mancha, A.; Rodríguez, F.; Fernández, G. CONUT: A tool for controlling nutritional status. First validation in a hospital population. Nutr. Hosp. 2005, 20, 38–45. [Google Scholar] [PubMed]
- Gul, B.; Metintas, S.; Ak, G.; Yilmaz, S.; Metintas, M. The relationship between nutritional status and prognosis in patients with locally advanced and advanced stage lung cancer. Support. Care Cancer 2021, 29, 3357–3365. [Google Scholar] [CrossRef] [PubMed]
- Kiss, N.; Curtis, A. Current Insights in Nutrition Assessment and Intervention for Malnutrition or Muscle Loss in People with Lung Cancer: A Narrative Review. Adv. Nutr. 2022, 13, 2420–2432. [Google Scholar] [CrossRef]
- Shoji, F.; Haratake, N.; Akamine, T.; Takamori, S.; Katsura, M.; Takada, K.; Toyokawa, G.; Okamoto, T.; Maehara, Y. The preoperative controlling nutritional status score predicts survival after curative surgery in patients with pathological stage i non-small cell lung cancer. Anticancer Res. 2017, 37, 741–748. [Google Scholar] [CrossRef] [PubMed]
- An, S.; Han, G.Y.; Eo, W.; Kim, D.H.; Lee, S. Comparison of the geriatric nutritional risk index and the prognostic nutritional index in determining survival outcome in patients with non-small cell lung cancer undergoing surgical resection: A cohort study. Medicine 2022, 101, E31591. [Google Scholar] [CrossRef]
- Takahashi, M.; Sowa, T.; Tokumasu, H.; Gomyoda, T.; Okada, H.; Ota, S.; Terada, Y. Comparison of three nutritional scoring systems for outcomes after complete resection of non–small cell lung cancer. J. Thorac. Cardiovasc. Surg. 2021, 162, 1257–1268.e3. [Google Scholar] [CrossRef]
- Miura, N.; Shoji, F.; Kozuma, Y.; Toyokawa, G.; Yamazaki, K.; Takeo, S. Preoperative immune-nutritional abnormality predicts poor outcome in elderly non-small-cell lung cancer patients with comorbidities. Ann. Thorac. Cardiovasc. Surg. 2020, 26, 240–247. [Google Scholar] [CrossRef]
- Toyokawa, G.; Kozuma, Y.; Matsubara, T.; Haratake, N.; Takamori, S.; Akamine, T.; Takada, K.; Katsura, M.; Shimokawa, M.; Shoji, F.; et al. Prognostic impact of controlling nutritional status score in resected lung squamous cell carcinoma. J. Thorac. Dis. 2017, 9, 2942–2951. [Google Scholar] [CrossRef]
- Ohba, T.; Takamori, S.; Toyozawa, R.; Nosaki, K.; Umeyama, Y.; Haratake, N.; Miura, N.; Yamaguchi, M.; Taguchi, K.; Seto, T.; et al. Prognostic impact of the Controlling Nutritional Status score in patients with non-small cell lung cancer treated with pembrolizumab. J. Thorac. Dis. 2019, 11, 3757–3768. [Google Scholar] [CrossRef] [PubMed]
- Zhang, J.; Li, M.; Zhang, L.; Kuang, T.; Yu, J.; Wang, W. Prognostic value of controlling nutritional status on clinical and survival outcomes in cancer patients treated with immunotherapy. Sci. Rep. 2023, 13, 17715. [Google Scholar] [CrossRef]
- Liu, X.; Zhang, X.; Zhang, Q.; Xie, H.; Ruan, G.; Liu, T.; Song, M.; Ge, Y.; Xu, H.; Song, C.; et al. Value of the Controlling Nutritional Status score in predicting the prognosis of patients with lung cancer: A multicenter, retrospective study. J. Parenter. Enter. Nutr. 2022, 46, 1343–1352. [Google Scholar] [CrossRef]
- Yılmaz, A.; Tekin, S.B.; Bilici, M.; Yılmaz, H. The Significance of Controlling Nutritional Status (CONUT) Score as a Novel Prognostic Parameter in Small Cell Lung Cancer. Lung 2020, 198, 695–704. [Google Scholar] [CrossRef] [PubMed]
- Murray, J.M.; Coleman, H.G.; Hunter, R.F. Physical activity and cancer risk: Findings from the UK Biobank, a large prospective cohort study. Cancer Epidemiol. 2020, 68, 101780. [Google Scholar] [CrossRef] [PubMed]
- Eisenhauer, E.A.; Therasse, P.; Bogaerts, J.; Schwartz, L.H.; Sargent, D.; Ford, R.; Dancey, J.; Arbuck, S.; Gwyther, S.; Mooney, M.; et al. New response evaluation criteria in solid tumours: Revised RECIST guideline (version 1.1). Eur. J. Cancer 2009, 45, 228–247. [Google Scholar] [CrossRef]
- Amin, M.B.; Greene, F.L.; Edge, S.B.; Compton, C.C.; Gershenwald, J.E.; Brookland, R.K.; Meyer, L.; Gress, D.M.; Byrd, D.R.; Winchester, D.P. The Eighth Edition AJCC Cancer Staging Manual: Continuing to build a bridge from a population-based to a more ‘personalized’ approach to cancer staging. CA Cancer J. Clin. 2017, 67, 93–99. [Google Scholar] [CrossRef]
- Bouillanne, O.; Morineau, G.; Dupont, C.; Coulombel, I.; Vincent, J.-P.; Nicolis, I.; Benazeth, S.; Cynober, L.; Aussel, C. Geriatric Nutritional Risk Index: A new index for evaluating at-risk elderly medical patients. Am. J. Clin. Nutr. 2005, 82, 777–783. [Google Scholar] [CrossRef]
- Li, L.; Wang, Y.; Yang, P.; Xu, L.; Liu, S.; Zhang, S.; Weng, X. Correlation of the controlling nutritional status score and the prognostic nutritional index with the prognosis of patients treated with radiotherapy for small-cell lung cancer. Ann. Palliat. Med. 2021, 10, 11635–11642. [Google Scholar] [CrossRef]
- Zitvogel, L.; Pietrocola, F.; Kroemer, G. Nutrition, inflammation and cancer. Nat. Immunol. 2017, 18, 843–850. [Google Scholar] [CrossRef]
- Diakos, C.I.; Charles, K.A.; McMillan, D.C.; Clarke, S.J. Cancer-related inflammation and treatment effectiveness. Lancet Oncol. 2014, 15, e493–e503. [Google Scholar] [CrossRef]
- Mantzorou, M.; Koutelidakis, A.; Theocharis, S.; Giaginis, C. Clinical Value of Nutritional Status in Cancer: What is its Impact and how it Affects Disease Progression and Prognosis? Nutr. Cancer 2017, 69, 1151–1176. [Google Scholar] [CrossRef] [PubMed]
- Coussens, L.M.; Werb, Z. Inflammation and cancer. Nature 2002, 420, 860–867. [Google Scholar] [CrossRef] [PubMed]
- Gupta, D.; Lis, C.G. Pretreatment serum albumin as a predictor of cancer survival: A systematic review of the epidemiological literature. Nutr. J. 2010, 9, 69. [Google Scholar] [CrossRef]
- Peters, S.J.A.C.; Vanhaecke, T.; Papeleu, P.; Rogiers, V.; Haagsman, H.P.; Van Norren, K. Co-culture of primary rat hepatocytes with rat liver epithelial cells enhances interleukin-6-induced acute-phase protein response. Cell Tissue Res. 2010, 340, 451–457. [Google Scholar] [CrossRef]
- Honda, H.; Qureshi, A.R.; Heimbürger, O.; Barany, P.; Wang, K.; Pecoits-Filho, R.; Stenvinkel, P.; Lindholm, B. Serum Albumin, C-Reactive Protein, Interleukin 6, and Fetuin A as Predictors of Malnutrition, Cardiovascular Disease, and Mortality in Patients With ESRD. Am. J. Kidney Dis. 2006, 47, 139–148. [Google Scholar] [CrossRef]
- Zhou, P.; Li, B.; Liu, B.; Chen, T.; Xiao, J. Prognostic role of serum total cholesterol and high-density lipoprotein cholesterol in cancer survivors: A systematic review and meta-analysis. Clin. Chim. Acta 2018, 477, 94–104. [Google Scholar] [CrossRef] [PubMed]
- Huang, H.; Li, L.; Luo, W.; Yang, Y.; Ni, Y.; Song, T.; Zhu, Y.; Yang, Y.; Zhang, L. Lymphocyte percentage as a valuable predictor of prognosis in lung cancer. J. Cell Mol. Med. 2022, 26, 1918–1931. [Google Scholar] [CrossRef]
- Biswas, T.; Gawdi, R.; Jindal, C.; Iyer, S.; Kang, K.H.; Bajor, D.; Machtay, M.; Choi, Y.M.; Efird, J.T. Pretreatment neutrophil-to-lymphocyte ratio as an important prognostic marker in stage III locally advanced non-small cell lung cancer: Confirmatory results from the PROCLAIM phase III clinical trial. J. Thorac. Dis. 2021, 13, 5617–5626. [Google Scholar] [CrossRef] [PubMed]
- Liu, D.; Huang, Y.; Li, L.; Song, J.; Zhang, L.; Li, W. High neutrophil-to-lymphocyte ratios confer poor prognoses in patients with small cell lung cancer. BMC Cancer 2017, 17, 882. [Google Scholar] [CrossRef]
- Yin, Y.; Wang, J.; Wang, X.; Gu, L.; Pei, H.; Kuai, S.; Zhang, Y.; Shang, Z. Prognostic value of the neutrophil to lymphocyte ratio in lung cancer: A meta-analysis. Clinics 2015, 70, 524–530. [Google Scholar] [CrossRef] [PubMed]
- Conroy, M.R.; O’SUllivan, H.; Collins, D.C.; Bambury, R.M.; Power, D.; Grossman, S.; O’REilly, S. Exploring the prognostic impact of absolute lymphocyte count in patients treated with immune-checkpoint inhibitors. BJC Rep. 2024, 2, 31. [Google Scholar] [CrossRef]
- Lee, S.C.; Lee, J.G.; Lee, S.H.; Kim, E.Y.; Chang, J.; Kim, D.J.; Paik, H.C.; Chung, K.Y.; Jung, J.Y. Prediction of postoperative pulmonary complications using preoperative controlling nutritional status (CONUT) score in patients with resectable non-small cell lung cancer. Sci. Rep. 2020, 10, 12385. [Google Scholar] [CrossRef]
- Akamine, T.; Toyokawa, G.; Matsubara, T.; Kozuma, Y.; Haratake, N.; Takamori, S.; Katsura, M.; Takada, K.; Shoji, F.; Okamoto, T.; et al. Significance of the preoperative CONUT score in predicting postoperative disease-free and overall survival in patients with lung adenocarcinoma with obstructive lung disease. Anticancer Res. 2017, 37, 2735–2742. [Google Scholar] [CrossRef]
- Lababede, O.; Meziane, M.A. The Eighth Edition of TNM Staging of Lung Cancer: Reference Chart and Diagrams. Oncologist 2018, 23, 844–848. [Google Scholar] [CrossRef]
- Kheirouri, S.; Alizadeh, M. Prognostic Potential of the Preoperative Controlling Nutritional Status (CONUT) Score in Predicting Survival of Patients with Cancer: A Systematic Review. Adv. Nutr. Int. Rev. J. 2021, 12, 234–250. [Google Scholar] [CrossRef] [PubMed]
- Zhang, Y.; Kong, F.F.; Zhu, Z.Q.; Shan, H.X. Controlling Nutritional Status (CONUT) score is a prognostic marker in III-IV NSCLC patients receiving first-line chemotherapy. BMC Cancer 2023, 23, 225. [Google Scholar] [CrossRef]
- Asakawa, A.; Ishibashi, H.; Matsuyama, Y.; Fujiwara, T.; Kobayashi, M.; Okubo, K. Preoperative nutritional status is associated with the prognosis for lung cancer. Asian Cardiovasc. Thorac. Ann. 2021, 29, 763–771. [Google Scholar] [CrossRef]
- Ma, K.; Wang, H.; Jiang, X.; Fang, C.; Ma, J. Prognostic Value of Combination of Controlling Nutritional Status and Tumor Marker in Patients with Radical Non-Small-Cell Lung Cancer. Dis. Markers 2022, 2022, 4764609. [Google Scholar] [CrossRef] [PubMed]
- Shoji, F.; Miura, N.; Matsubara, T.; Akamine, T.; Kozuma, Y.; Haratake, N.; Takamori, S.; Katsura, M.; Takada, K.; Toyokawa, G.; et al. Prognostic significance of immune-nutritional parameters for surgically resected elderly lung cancer patients: A multicentre retrospective study. Interact. Cardiovasc. Thorac. Surg. 2018, 26, 389–394. [Google Scholar] [CrossRef] [PubMed]



| Parameters | Normal | Light | Moderate | Severe | 
|---|---|---|---|---|
| Serum Albumin (g/dL) | ≥3.50 | 3.00–3.49 | 2–50–2.99 | <2.50 | 
| Score | 0 | 2 | 4 | 6 | 
| Total lymphocyte count | ≥1600 | 1200–1599 | 800–1199 | <800 | 
| Score | 0 | 1 | 2 | 3 | 
| Total cholesterol (mg/dL) | >180 | 140–180 | 100–139 | <100 | 
| Score | 0 | 1 | 2 | 3 | 
| CONUT score (total) | 0–1 | 2–4 | 5–8 | 9–12 | 
| Assessment | Normal | Light | Moderate | Severe | 
| Variable | Number (%) | 
|---|---|
| Total patients | 109 | 
| Males | 70(64.2%) | 
| Age ± SD, years (median age) | 66.2 ± 9.6 years (68) | 
| ≥60 years | 85 (78%) | 
| Smoking history, n (%) Never smoker Ex smoker Current smoker | 29 (26.6%) 61 (56%) 19 (17.4%) | 
| ECOG-PS 0 1 2 | 38 (34.9%) 44 (40.4%) 27 (24.7%) | 
| Histopathology NSCLC, n (%) Adenocarcinoma Squamous | 75 (68.8%) 34 (31.2%) | 
| Stage Diseases, n (%) III IV | 15 (13.2%) 94 (86.2%) | 
| Expression of PD-L1 <1% 1–49% ≥50% | 14 (12.8%) 50 (45.9%) 45 (41.3%) | 
| Type of treatment, n (%) Chemotherapy Immunotherapy Chemo-immunotherapy TKI | 30 (27.5%) 43 (39.5%) 25 (22.9%) 11 (10.1%) | 
| Survival status, n (%) Exitus Alive | 34 (31.2%) 75 (68.8%) | 
| Patients with CONUT Score < 2 | Patients with CONUT Score ≥ 2 | p-Value | |
|---|---|---|---|
| Gender (male) | 46 (65.7%) | 24 (34.3%) | 0.775 | 
| Age | 65.7 (IQR: 23–79) | 67.4 (IQR: 49–84) | |
| ECOG-PS T0 | 0.109 | ||
| 0 | 28 (40.6%) | 10 (25%) | |
| 1 | 28 (40.6%) | 16 (40%) | |
| 2 | 13 (18.8%) | 14 (35%) | |
| Histology NSCLC | 0.360 | ||
| squamous | 18 (26.1%) | 12 (30%) | |
| adenocarcinoma | 51 (73.9%) | 28 (67.5%) | |
| Stage | 0.934 | ||
| III | 16 (23.2%) | 9 (22.5%) | |
| IV | 53 (76.8%) | 31 (77.5%) | |
| PD-L1 expression | 0.436 | ||
| negative | 11 (15.9%) | 3 (7.5%) | |
| weak | 30 (43.5%) | 20 (50%) | |
| strong | 28 (40.6%) | 17 (42.5%) | |
| Therapy | 0.756 | ||
| single agent immuno | 25 (36.2%) | 18 (45%) | |
| chemotherapy | 19 (24.6%) | 11 (27.5%) | |
| chemo-immuno | 17 (24.6%) | 8 (20%) | |
| TKIs | 8 (11.6%) | 3 (7.5%) | |
| Brain Metastasis (YES) | 8 (11.6%) | 11 (27.5%) | 0.035 | 
| GNRI | 103 ± 7.5 | 101 ± 5.9 | <0.001 | 
| PNI | 54.0 ± 7.9 | 50.6 ± 11.9 | <0.001 | 
| PFS (months) | 18.3 ± 14.2 | 12.1 ± 10.5 | <0.05 | 
| OS (months) | 20.6 ± 13.9 | 15.2 ± 10.7 | 0.011 | 
| Radiological response after 4 cycles of therapy PR SD PD | 28 (25.7%) 37 (34.0%) 6 (5.5%) | 10 (9.2%) 22 (20.2%) 6 (5.5%) | <0.001 <0.001 <0.001 | 
| Crude Model | Adjusted Model * | |||
|---|---|---|---|---|
| HR (95% CI) | p-Value | HR (95% CI) | p-Value | |
| CONUT | 1.71 (1.36–2.15) | <0.001 | 1.72 (1.36–2.19) | <0.001 | 
| GNRI | 1.00 (0.97–1.02) | 0.709 | 1.00 (0.98–1.02) | 0.856 | 
| PNI | 0.97 (0.97–1.02) | 0.644 | 1.00 (0.98–1.03) | 0.694 | 
| (a) | ||||
| Univariable | Multivariable | |||
| VARIABLES | HR (95% CI) | p-Value | HR (95% CI) | p-Value | 
| AGE > 60 YO | 1.03 (0.42–2.51) | 0.952 | 0.70 (0.25–1.95) | 0.495 | 
| ECOG-PS 0–1 2 | 5.53 (1.62–18.84) 6.83 (1.93–24.17) | 0.006 0.003 | 4.41 (1.20–16.20) 4.93 (1.20–20.17) | 0.025 0.027 | 
| STAGE OF DISEASE III IV | 0.91 (0.17–4.66) 1.92 (0.42–8.68) | 0.909 0.399 | 1.03 (0.11–9.91) 0.48 (0.09–2.62) | 0.977 0.396 | 
| BMI | 0.96 (0.89–1.04) | 0.349 | 0.85 (0.72–1.01) | 0.060 | 
| CONUT | 1.47 (1.16–1.86) | 0.001 | 1.57 (1.20–1.97) | 0.004 | 
| GNRI | 0.98 (0.95–1.02) | 0.371 | 1.04 (0.96–1.12) | 0.329 | 
| PNI | 0.95 (0.89–1.01) | 0.106 | 1.01 (0.97–1.06) | 0.628 | 
| RESPONSE AFTER 4 CYCLES | ||||
| PR | 0.02 (0.01–0.08) | <0.001 | 0.02 (0.01–0.10) | <0.001 | 
| SD | 0.08 (0.04–0.19) | <0.001 | 0.07 (0.02–0.22) | <0.001 | 
| PD | 0.25 (0.08–0.33) | 0.310 | ||
| BRAIN METASTATIS | 3.61 (1.76–7.42) | <0.001 | 1.29 (0.50–3.28) | 0.599 | 
| (b) | ||||
| Univariable | Multivariable | |||
| VARIABLES | HR (95% CI) | p-value | HR (95% CI) | p-value | 
| AGE > 60 YO | 0.96 (0.39–2.36) | 0.928 | 1.12 (0.36–3.50) | 0.841 | 
| ECOG-PS 0–1 2 | 5.55 (1.63–18.97) 6.12 (1.73–21.58) | 0.004 0.005 | 4.38 (1.22–15.77) 3.18 (0.78–13.00) | 0.044 0.107 | 
| STAGE OF DISEASE III IV | 0.95 (0.17–5.18) 2.05 (0.45–9.29) | 0.949 0.352 | 0.89 (0.10–8.29) 0.32 (0.06–1.81) | 0.921 0.197 | 
| BMI | 0.96 (0.86–1.04) | 0.337 | 0.81 (0.67–0.98) | 0.030 | 
| CONUT SCORE | 1.45 (1.15–1.83) | <0.001 | 1.47 (1.16–1.80) | 0.004 | 
| GNRI | 0.98 (0.95–1.02) | 0.358 | 1.00 (0.95–1.05) | 0.920 | 
| PNI | 0.95 (0.89–1.01) | 0.110 | 0.98 (0.90–1.06) | 0.533 | 
| RESPONSE AFTER 4 CYCLES | ||||
| PR | 0.03 (0.01–0.11) | <0.001 | 0.04 (0.01–0.22) | <0.001 | 
| SD | 0.13 (0.06–0.28) | <0.001 | 0.12 (0.04–0.37) | <0.001 | 
| PD | 0.25 (0.08–0.33) | 0.310 | ||
| BRAIN METASTATIS | 3.74 (1.82–7.69) | <0.001 | 1.50 (0.56–4.02) | 0.420 | 
| Disclaimer/Publisher’s Note: The statements, opinions and data contained in all publications are solely those of the individual author(s) and contributor(s) and not of MDPI and/or the editor(s). MDPI and/or the editor(s) disclaim responsibility for any injury to people or property resulting from any ideas, methods, instructions or products referred to in the content. | 
© 2025 by the authors. Licensee MDPI, Basel, Switzerland. This article is an open access article distributed under the terms and conditions of the Creative Commons Attribution (CC BY) license (https://creativecommons.org/licenses/by/4.0/).
Share and Cite
Pagliaro, R.; Scalfi, L.; Di Fiore, I.; Leoni, A.; Masi, U.; D’Agnano, V.; Picone, C.; Scialò, F.; Perrotta, F.; Bianco, A. Controlling Nutritional Status (CONUT) Score as a Predictor of Prognosis in Non-Small Cell Lung Cancer. Nutrients 2025, 17, 3416. https://doi.org/10.3390/nu17213416
Pagliaro R, Scalfi L, Di Fiore I, Leoni A, Masi U, D’Agnano V, Picone C, Scialò F, Perrotta F, Bianco A. Controlling Nutritional Status (CONUT) Score as a Predictor of Prognosis in Non-Small Cell Lung Cancer. Nutrients. 2025; 17(21):3416. https://doi.org/10.3390/nu17213416
Chicago/Turabian StylePagliaro, Raffaella, Luca Scalfi, Ilaria Di Fiore, Anna Leoni, Umberto Masi, Vito D’Agnano, Carmine Picone, Filippo Scialò, Fabio Perrotta, and Andrea Bianco. 2025. "Controlling Nutritional Status (CONUT) Score as a Predictor of Prognosis in Non-Small Cell Lung Cancer" Nutrients 17, no. 21: 3416. https://doi.org/10.3390/nu17213416
APA StylePagliaro, R., Scalfi, L., Di Fiore, I., Leoni, A., Masi, U., D’Agnano, V., Picone, C., Scialò, F., Perrotta, F., & Bianco, A. (2025). Controlling Nutritional Status (CONUT) Score as a Predictor of Prognosis in Non-Small Cell Lung Cancer. Nutrients, 17(21), 3416. https://doi.org/10.3390/nu17213416
 
        


 
       