Dietary Omega-3 Fatty Acids from Fish and Risk of Metabolic Dysfunction-Associated Steatotic Liver Disease in a Mediterranean Population: Findings from the NUTRIHEP Cohort
Abstract
1. Introduction
Omega-3 Fatty Acids
2. Materials and Methods
2.1. Study Population
2.2. Data Collection
2.3. Outcome Assessment
2.4. Exposure Variable
2.5. Confounding Variables
2.6. Statistical Analysis
3. Results
3.1. Participant Characteristics
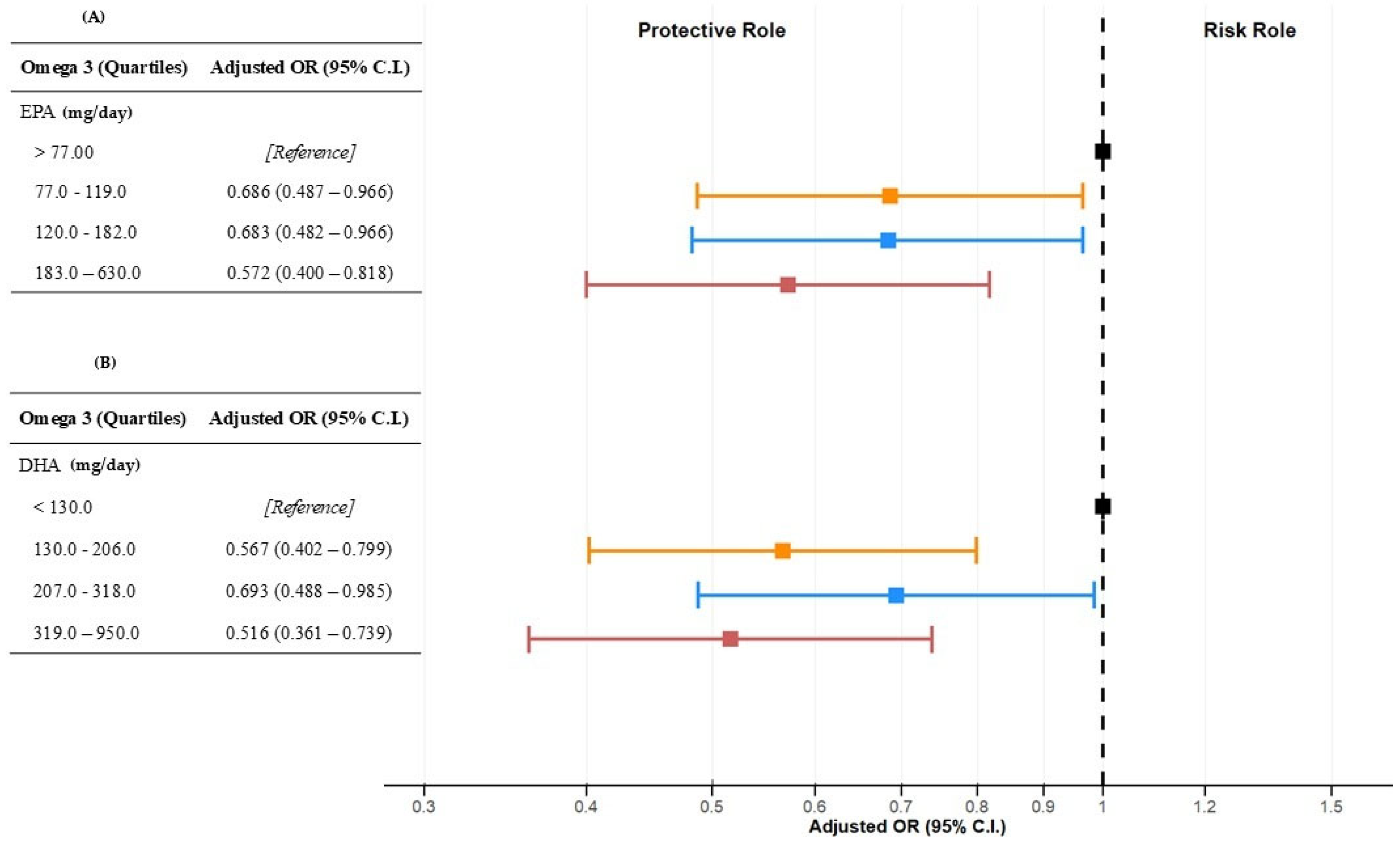
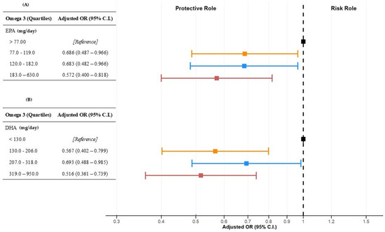
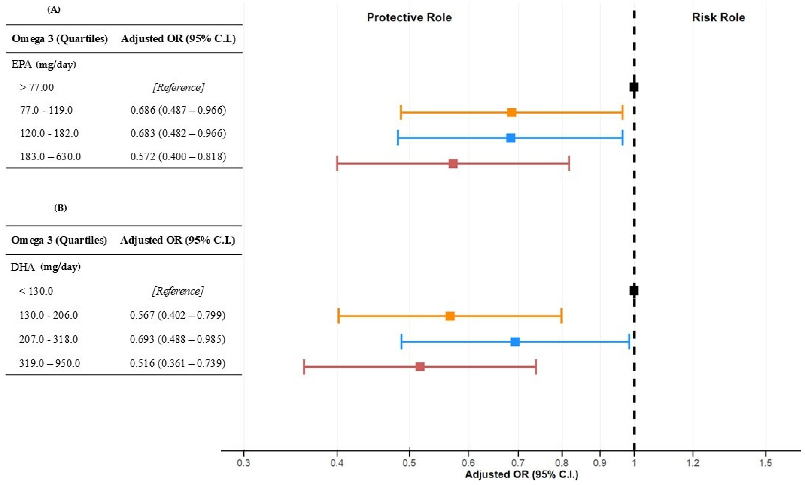
3.2. Associations Between Daily EPA and DHA Intake and MASLD
4. Discussion
Strengths and Limitations
5. Conclusions
Supplementary Materials
Author Contributions
Funding
Institutional Review Board Statement
Informed Consent Statement
Data Availability Statement
Acknowledgments
Conflicts of Interest
References
- Masarone, M.; Federico, A.; Abenavoli, L.; Loguercio, C.; Persico, M. Non Alcoholic Fatty Liver: Epidemiology and Natural History. RRCT 2015, 9, 126–133. [Google Scholar] [CrossRef]
- Nobili, V.; Alisi, A.; Musso, G.; Scorletti, E.; Calder, P.C.; Byrne, C.D. Omega-3 Fatty Acids: Mechanisms of Benefit and Therapeutic Effects in Pediatric and Adult NAFLD. Crit. Rev. Clin. Lab. Sci. 2016, 53, 106–120. [Google Scholar] [CrossRef]
- Chan, W.-K.; Chuah, K.-H.; Rajaram, R.B.; Lim, L.-L.; Ratnasingam, J.; Vethakkan, S.R. Metabolic Dysfunction-Associated Steatotic Liver Disease (MASLD): A State-of-the-Art Review. J. Obes. Metab. Syndr. 2023, 32, 197–213. [Google Scholar] [CrossRef]
- Rinella, M.E.; Lazarus, J.V.; Ratziu, V.; Francque, S.M.; Sanyal, A.J.; Kanwal, F.; Romero, D.; Abdelmalek, M.F.; Anstee, Q.M.; Arab, J.P.; et al. A Multisociety Delphi Consensus Statement on New Fatty Liver Disease Nomenclature. Hepatology 2023, 78, 1966–1986. [Google Scholar] [CrossRef]
- Available online: https://www.Progettopiter.It (accessed on 22 August 2025).
- Caldwell, S. NASH Therapy: Omega 3 Supplementation, Vitamin E, Insulin Sensitizers and Statin Drugs. Clin. Mol. Hepatol. 2017, 23, 103–108. [Google Scholar] [CrossRef]
- Byrne, C.D.; Targher, G. NAFLD: A Multisystem Disease. J. Hepatol. 2015, 62, S47–S64. [Google Scholar] [CrossRef] [PubMed]
- De Wit, N.J.W.; Afman, L.A.; Mensink, M.; Müller, M. Phenotyping the Effect of Diet on Non-Alcoholic Fatty Liver Disease. J. Hepatol. 2012, 57, 1370–1373. [Google Scholar] [CrossRef] [PubMed]
- Dowman, J.K.; Armstrong, M.J.; Tomlinson, J.W.; Newsome, P.N. Current Therapeutic Strategies in Non-Alcoholic Fatty Liver Disease. Diabetes Obes. Metab. 2011, 13, 692–702. [Google Scholar] [CrossRef] [PubMed]
- Li, W.; Zheng, L.; Sheng, C.; Cheng, X.; Qing, L.; Qu, S. Systematic Review on the Treatment of Pentoxifylline in Patients with Non-Alcoholic Fatty Liver Disease. Lipids Health Dis. 2011, 10, 49. [Google Scholar] [CrossRef]
- Scorletti, E.; West, A.L.; Bhatia, L.; Hoile, S.P.; McCormick, K.G.; Burdge, G.C.; Lillycrop, K.A.; Clough, G.F.; Calder, P.C.; Byrne, C.D. Treating Liver Fat and Serum Triglyceride Levels in NAFLD, Effects of PNPLA3 and TM6SF2 Genotypes: Results from the WELCOME Trial. J. Hepatol. 2015, 63, 1476–1483. [Google Scholar] [CrossRef]
- Levene, A.P.; Goldin, R.D. The Epidemiology, Pathogenesis and Histopathology of Fatty Liver Disease. Histopathology 2012, 61, 141–152. [Google Scholar] [CrossRef]
- Veena, J.; Muragundla, A.; Sidgiddi, S.; Subramaniam, S. Non-Alcoholic Fatty Liver Disease: Need for a Balanced Nutritional Source. Br. J. Nutr. 2014, 112, 1858–1872. [Google Scholar] [CrossRef]
- Softic, S.; Cohen, D.E.; Kahn, C.R. Role of Dietary Fructose and Hepatic De Novo Lipogenesis in Fatty Liver Disease. Dig. Dis. Sci. 2016, 61, 1282–1293. [Google Scholar] [CrossRef]
- Minno, M.N.D.D. Omega-3 Fatty Acids for the Treatment of Non-Alcoholic Fatty Liver Disease. WJG 2012, 18, 5839. [Google Scholar] [CrossRef]
- Mirmiran, P.; Hosseinpour-Niazi, S.; Naderi, Z.; Bahadoran, Z.; Sadeghi, M.; Azizi, F. Association between Interaction and Ratio of ω-3 and ω-6 Polyunsaturated Fatty Acid and the Metabolic Syndrome in Adults. Nutrition 2012, 28, 856–863. [Google Scholar] [CrossRef]
- Simopoulos, A.P. The Importance of the Omega-6/Omega-3 Fatty Acid Ratio in Cardiovascular Disease and Other Chronic Diseases. Exp. Biol. Med. 2008, 233, 674–688. [Google Scholar] [CrossRef] [PubMed]
- Pachikian, B.D.; Essaghir, A.; Demoulin, J.-B.; Neyrinck, A.M.; Catry, E.; De Backer, F.C.; Dejeans, N.; Dewulf, E.M.; Sohet, F.M.; Portois, L.; et al. Hepatic N-3 Polyunsaturated Fatty Acid Depletion Promotes Steatosis and Insulin Resistance in Mice: Genomic Analysis of Cellular Targets. PLoS ONE 2011, 6, e23365. [Google Scholar] [CrossRef] [PubMed]
- Bouzianas, D.G.; Bouziana, S.D.; Hatzitolios, A.I. Potential Treatment of Human Nonalcoholic Fatty Liver Disease with Long-Chain Omega-3 Polyunsaturated Fatty Acids. Nutr. Rev. 2013, 71, 753–771. [Google Scholar] [CrossRef] [PubMed]
- Molendi-Coste, O.; Legry, V.; Leclercq, I.A. Why and How Meet N-3 PUFA Dietary Recommendations? Gastroenterol. Res. Pract. 2011, 2011, 364040. [Google Scholar] [CrossRef]
- Rapoport, S.I.; Igarashi, M.; Gao, F. Quantitative Contributions of Diet and Liver Synthesis to Docosahexaenoic Acid Homeostasis. Prostaglandins Leukot. Essent. Fat. Acids (PLEFA) 2010, 82, 273–276. [Google Scholar] [CrossRef]
- Calder, P.C. Very Long-Chain n -3 Fatty Acids and Human Health: Fact, Fiction and the Future. Proc. Nutr. Soc. 2018, 77, 52–72. [Google Scholar] [CrossRef] [PubMed]
- Jump, D.B.; Lytle, K.A.; Depner, C.M.; Tripathy, S. Omega-3 Polyunsaturated Fatty Acids as a Treatment Strategy for Nonalcoholic Fatty Liver Disease. Pharmacol. Ther. 2018, 181, 108–125. [Google Scholar] [CrossRef] [PubMed]
- Janota, B.; Janion, K.; Buzek, A.; Janczewska, E. Dietary Strategies in the Prevention of MASLD: A Comprehensive Review of Dietary Patterns Against Fatty Liver. Metabolites 2025, 15, 528. [Google Scholar] [CrossRef]
- Tan, L.-J.; Shin, S. Effects of Oily Fish and Its Fatty Acid Intake on Non-Alcoholic Fatty Liver Disease Development among South Korean Adults. Front. Nutr. 2022, 9, 876909. [Google Scholar] [CrossRef]
- El-Badry, A.M.; Graf, R.; Clavien, P.-A. Omega 3—Omega 6: What Is Right for the Liver? J. Hepatol. 2007, 47, 718–725. [Google Scholar] [CrossRef]
- Scorletti, E.; Byrne, C.D. Omega-3 Fatty Acids and Non-Alcoholic Fatty Liver Disease: Evidence of Efficacy and Mechanism of Action. Mol. Asp. Med. 2018, 64, 135–146. [Google Scholar] [CrossRef]
- Schaeffer, L.; Gohlke, H.; Müller, M.; Heid, I.M.; Palmer, L.J.; Kompauer, I.; Demmelmair, H.; Illig, T.; Koletzko, B.; Heinrich, J. Common Genetic Variants of the FADS1 FADS2 Gene Cluster and Their Reconstructed Haplotypes Are Associated with the Fatty Acid Composition in Phospholipids. Hum. Mol. Genet. 2006, 15, 1745–1756. [Google Scholar] [CrossRef]
- Shearer, G.C.; Savinova, O.V.; Harris, W.S. Fish Oil—How Does It Reduce Plasma Triglycerides? Biochim. Biophys. Acta (BBA)-Mol. Cell Biol. Lipids 2012, 1821, 843–851. [Google Scholar] [CrossRef]
- Caviglia, J.M.; Gayet, C.; Ota, T.; Hernandez-Ono, A.; Conlon, D.M.; Jiang, H.; Fisher, E.A.; Ginsberg, H.N. Different Fatty Acids Inhibit apoB100 Secretion by Different Pathways: Unique Roles for ER Stress, Ceramide, and Autophagy. J. Lipid Res. 2011, 52, 1636–1651. [Google Scholar] [CrossRef]
- Takeuchi, Y.; Yahagi, N.; Izumida, Y.; Nishi, M.; Kubota, M.; Teraoka, Y.; Yamamoto, T.; Matsuzaka, T.; Nakagawa, Y.; Sekiya, M.; et al. Polyunsaturated Fatty Acids Selectively Suppress Sterol Regulatory Element-Binding Protein-1 through Proteolytic Processing and Autoloop Regulatory Circuit. J. Biol. Chem. 2010, 285, 11681–11691. [Google Scholar] [CrossRef] [PubMed]
- Khan, S.A.; Ali, A.; Khan, S.A.; Zahran, S.A.; Damanhouri, G.; Azhar, E.; Qadri, I. Unraveling the Complex Relationship Triad between Lipids, Obesity, and Inflammation. Mediat. Inflamm. 2014, 2014, 502749. [Google Scholar] [CrossRef]
- Stillwell, W.; Wassall, S.R. Docosahexaenoic Acid: Membrane Properties of a Unique Fatty Acid. Chem. Phys. Lipids 2003, 126, 1–27. [Google Scholar] [CrossRef]
- Araya, J.; Rodrigo, R.; Pettinelli, P.; Araya, A.V.; Poniachik, J.; Videla, L.A. Decreased Liver Fatty Acid Δ-6 and Δ-5 Desaturase Activity in Obese Patients. Obesity 2010, 18, 1460–1463. [Google Scholar] [CrossRef]
- Smit, L.A.; Mozaffarian, D.; Willett, W. Review of Fat and Fatty Acid Requirements and Criteria for Developing Dietary Guidelines. Ann. Nutr. Metab. 2009, 55, 44–55. [Google Scholar] [CrossRef]
- Cozzolongo, R.; Osella, A.R.; Elba, S.; Petruzzi, J.; Buongiorno, G.; Giannuzzi, V.; Leone, G.; Bonfiglio, C.; Lanzilotta, E.; Manghisi, O.G.; et al. Epidemiology of HCV Infection in the General Population: A Survey in a Southern Italian Town. Am. J. Gastroenterol. 2009, 104, 2740–2746. [Google Scholar] [CrossRef] [PubMed]
- Donghia, R.; Campanella, A.; Bonfiglio, C.; Cuccaro, F.; Tatoli, R.; Giannelli, G. Protective Role of Lycopene in Subjects with Liver Disease: NUTRIHEP Study. Nutrients 2024, 16, 562. [Google Scholar] [CrossRef]
- Sever, P. New Hypertension Guidelines from the National Institute for Health and Clinical Excellence and the British Hypertension Society. J. Renin Angiotensin Aldosterone Syst. 2006, 7, 61–63. [Google Scholar] [CrossRef] [PubMed]
- Williams, B.; Mancia, G.; Spiering, W.; Agabiti Rosei, E.; Azizi, M.; Burnier, M.; Clement, D.; Coca, A.; De Simone, G.; Dominiczak, A.; et al. 2018 Practice Guidelines for the Management of Arterial Hypertension of the European Society of Cardiology and the European Society of Hypertension: ESC/ESH Task Force for the Management of Arterial Hypertension. J. Hypertens. 2018, 36, 2284–2309. [Google Scholar] [CrossRef] [PubMed]
- Pisani, P. Relative Validity and Reproducibility of a Food Frequency Dietary Questionnaire for Use in the Italian EPIC Centres. Int. J. Epidemiol. 1997, 26, S152–S160. [Google Scholar] [CrossRef]
- Riboli, E. The EPIC Project: Rationale and Study Design. European Prospective Investigation into Cancer and Nutrition. Int. J. Epidemiol. 1997, 26, S6–S14. [Google Scholar] [CrossRef]
- Hu, H.; Nakagawa, T.; Honda, T.; Yamamoto, S.; Mizoue, T. Should Insulin Resistance (HOMA-IR), Insulin Secretion (HOMA-β), and Visceral Fat Area Be Considered for Improving the Performance of Diabetes Risk Prediction Models. BMJ Open Diabetes Res. Care 2024, 12, e003680. [Google Scholar] [CrossRef]
- Chiloiro, M.; Caruso, M.G.; Cisternino, A.M.; Inguaggiato, R.; Reddavide, R.; Bonfiglio, C.; Guerra, V.; Notarnicola, M.; De Michele, G.; Correale, M.; et al. Ultrasound Evaluation and Correlates of Fatty Liver Disease: A Population Study in a Mediterranean Area. Metab. Syndr. Relat. Disord. 2013, 11, 349–358. [Google Scholar] [CrossRef]
- Simon, S.D. Understanding the Odds Ratio and the Relative Risk. J. Androl. 2001, 22, 533–536. [Google Scholar] [CrossRef] [PubMed]
- Ahrens, A.; Hansen, C.B.; Schaffer, M.E. Lassopack: Model Selection and Prediction with Regularized Regression in Stata. Stata J. 2020, 20, 176–235. [Google Scholar] [CrossRef]
- Kim, J.H. Multicollinearity and Misleading Statistical Results. Korean J. Anesthesiol. 2019, 72, 558–569. [Google Scholar] [CrossRef]
- Zelber-Sagi, S.; Nitzan-Kaluski, D.; Goldsmith, R.; Webb, M.; Blendis, L.; Halpern, Z.; Oren, R. Long Term Nutritional Intake and the Risk for Non-Alcoholic Fatty Liver Disease (NAFLD): A Population Based Study. J. Hepatol. 2007, 47, 711–717. [Google Scholar] [CrossRef]
- Wang, R.Z.; Zhang, W.S.; Jiang, C.Q.; Zhu, F.; Jin, Y.L.; Xu, L. Association of Fish and Meat Consumption with Non-Alcoholic Fatty Liver Disease: Guangzhou Biobank Cohort Study. BMC Public Health 2023, 23, 2433. [Google Scholar] [CrossRef] [PubMed]
- Jump, D.B.; Botolin, D.; Wang, Y.; Xu, J.; Demeure, O.; Christian, B. Docosahexaenoic Acid (DHA) and Hepatic Gene Transcription. Chem. Phys. Lipids 2008, 153, 3–13. [Google Scholar] [CrossRef]
- Tanaka, N.; Zhang, X.; Sugiyama, E.; Kono, H.; Horiuchi, A.; Nakajima, T.; Kanbe, H.; Tanaka, E.; Gonzalez, F.J.; Aoyama, T. Eicosapentaenoic Acid Improves Hepatic Steatosis Independent of PPARα Activation through Inhibition of SREBP-1 Maturation in Mice. Biochem. Pharmacol. 2010, 80, 1601–1612. [Google Scholar] [CrossRef]
- Mehta, S.R. Review: Advances in the Treatment of Nonalcoholic Fatty Liver Disease. Ther. Adv. Endocrinol. 2010, 1, 101–115. [Google Scholar] [CrossRef]
- Calder, P.C. Omega-3 Polyunsaturated Fatty Acids and Inflammatory Processes: Nutrition or Pharmacology? Brit J. Clin. Pharmacol. 2013, 75, 645–662. [Google Scholar] [CrossRef]
- Kajikawa, S.; Harada, T.; Kawashima, A.; Imada, K.; Mizuguchi, K. Highly Purified Eicosapentaenoic Acid Ethyl Ester Prevents Development of Steatosis and Hepatic Fibrosis in Rats. Dig. Dis. Sci. 2010, 55, 631–641. [Google Scholar] [CrossRef]
- Calder, P.C. Marine Omega-3 Fatty Acids and Inflammatory Processes: Effects, Mechanisms and Clinical Relevance. Biochim. Biophys. Acta (BBA)-Mol. Cell Biol. Lipids 2015, 1851, 469–484. [Google Scholar] [CrossRef]
- Valenzuela, R.; Espinosa, A.; González-Mañán, D.; D’Espessailles, A.; Fernández, V.; Videla, L.A.; Tapia, G. N-3 Long-Chain Polyunsaturated Fatty Acid Supplementation Significantly Reduces Liver Oxidative Stress in High Fat Induced Steatosis. PLoS ONE 2012, 7, e46400. [Google Scholar] [CrossRef] [PubMed]
- Huang, T.; Bhulaidok, S.; Cai, Z.; Xu, T.; Xu, F.; Wahlqvist, M.L.; Li, D. Plasma Phospholipids n -3 Polyunsaturated Fatty Acid Is Associated with Metabolic Syndrome. Mol. Nutr. Food Res. 2010, 54, 1628–1635. [Google Scholar] [CrossRef]
- Calder, P.C. Long-Chain Fatty Acids and Inflammation. Proc. Nutr. Soc. 2012, 71, 284–289. [Google Scholar] [CrossRef] [PubMed]
- Wong, S.W.; Kwon, M.-J.; Choi, A.M.K.; Kim, H.-P.; Nakahira, K.; Hwang, D.H. Fatty Acids Modulate Toll-like Receptor 4 Activation through Regulation of Receptor Dimerization and Recruitment into Lipid Rafts in a Reactive Oxygen Species-Dependent Manner. J. Biol. Chem. 2009, 284, 27384–27392. [Google Scholar] [CrossRef]
- Alvheim, A.R.; Malde, M.K.; Osei-Hyiaman, D.; Hong, Y.H.; Pawlosky, R.J.; Madsen, L.; Kristiansen, K.; Frøyland, L.; Hibbeln, J.R. Dietary Linoleic Acid Elevates Endogenous 2-AG and Anandamide and Induces Obesity. Obesity 2012, 20, 1984–1994. [Google Scholar] [CrossRef] [PubMed]
- Takayama, F.; Nakamoto, K.; Totani, N.; Yamanushi, T.; Kabuto, H.; Kaneyuki, T.; Mankura, M. Effects of Docosahexaenoic Acid in an Experimental Rat Model of Nonalcoholic Steatohepatitis. J. Oleo Sci. 2010, 59, 407–414. [Google Scholar] [CrossRef]
- Franco, I.; Bianco, A.; Mirizzi, A.; Campanella, A.; Bonfiglio, C.; Sorino, P.; Notarnicola, M.; Tutino, V.; Cozzolongo, R.; Giannuzzi, V.; et al. Physical Activity and Low Glycemic Index Mediterranean Diet: Main and Modification Effects on NAFLD Score. Results from a Randomized Clinical Trial. Nutrients 2020, 13, 66. [Google Scholar] [CrossRef]
- Fewell, Z.; Davey Smith, G.; Sterne, J.A.C. The Impact of Residual and Unmeasured Confounding in Epidemiologic Studies: A Simulation Study. Am. J. Epidemiol. 2007, 166, 646–655. [Google Scholar] [CrossRef] [PubMed]
- Available online: https://Sinu.It/Larn/ (accessed on 2 September 2025).


| List of Fish | EPA (mg/day) | DHA (mg/day) |
|---|---|---|
| Mean (SD) | Mean (SD) | |
| Total Intake | 139.78 (94.46) | 242.39 (165.83) |
| Group 1: | 16.91 (19.98) | 12.22 (14.53) |
| Shrimps, Prawns, Langoustines | 2.52 (3.93) | 1.96 (3.06) |
| Octopus, Cuttlefish, Squid | 10.71 (15.20) | 7.92 (11.23) |
| Mussels, Clams | 3.68 (5.41) | 2.34 (3.44) |
| Group 2: | 80.49 (72.34) | 147.61 (131.16) |
| Sole, Plaice | 4.79 (8.07) | 5.99 (10.08) |
| Sardines, Mackerel, Anchovies | 14.21 (25.61) | 32.24 (58.09) |
| Trout | 1.79 (4.51) | 5.10 (12.88) |
| Salmon | 30.08 (42.52) | 40.22 (56.86) |
| Swordfish, Tuna | 2.70 (5.09) | 13.73 (25.90) |
| Other Fish | 26.92 (38.18) | 50.33 (71.38) |
| Group 3: | 42.38 (36.95) | 82.56 (80.79) |
| Salted cod, stockfish | 3.69 (6.18) | 6.24 (10.45) |
| Tinned fish | 33.17 (32.48) | 49.03 (48.01) |
| Frozen sticks and filets | 5.52 (11.22) | 27.28 (55.42) |
| Variables a | MASLD | |||
|---|---|---|---|---|
| Whole Sample b | No | Yes | p-Value c | |
| N (%) | 1297 | 668 (51.50) | 629 (48.50) | |
| Exposure variables | ||||
| EPA (mg/day) | 139.78 (94.46) | 145.11 (92.28) | 134.11 (96.48) | 0.036 |
| EPA Group 1 (mg/day) | 16.91 (19.98) | 17.31 (19.59) | 16.50 (20.40) | 0.470 |
| EPA Group 2 (mg/day) | 80.49 (72.34) | 83.22 (70.03) | 77.58 (74.67) | 0.160 |
| EPA Group 3 (mg/day) | 42.38 (36.95) | 44.59 (37.57) | 40.03 (36.17) | 0.027 |
| DHA (mg/day) | 242.39 (165.83) | 251.24 (163.32) | 232.99 (168.07) | 0.048 |
| DHA Group 1 (mg/day) | 12.22 (14.53) | 12.53 (14.35) | 11.89 (14.72) | 0.430 |
| DHA Group 2 (mg/day) | 147.61 (131.16) | 151.16 (125.71) | 143.84 (136.71) | 0.320 |
| DHA Group 3 (mg/day) | 82.56 (80.79) | 87.55 (84.03) | 77.25 (76.93) | 0.022 |
| Demographic and lifestyle characteristics | ||||
| Age (years) | 54.33 (14.34) | 49.24 (13.80) | 59.74 (12.86) | <0.001 |
| Gender (%) | ||||
| Female | 744 (57.40) | 417 (56.00) | 327 (44.00) | <0.001 |
| Male | 553 (42.60) | 251 (45.40) | 302 (54.60) | |
| rMED | 8.04 (2.55) | 7.91 (2.54) | 8.18 (2.56) | 0.050 |
| rMED Score (%) | ||||
| Low | 365 (28.10) | 196 (53.70) | 169 (46.30) | 0.460 |
| Moderate | 705 (54.40) | 362 (51.30) | 343 (48.70) | |
| High | 227 (17.50) | 110 (48.50) | 117 (51.50) | |
| Alcohol intake (g/day) | 10.58 (12.72) | 10.74 (13.41) | 10.42 (11.96) | 0.660 |
| Wine intake (ml/day) | 67.18 (174.36) | 56.88 (214.44) | 78.13 (116.89) | 0.028 |
| Kcal (day) | 2056.26 (750.22) | 2100.33 (724.88) | 2009.46 (774.05) | 0.029 |
| Smoker (%) | ||||
| Never/Former | 1137 (87.70) | 587 (51.60) | 550 (48.40) | 0.870 |
| Current | 159 (12.30) | 81 (50.90) | 78 (49.10) | |
| Marital Status (%) | ||||
| Single | 181 (14.00) | 115 (63.50) | 66 (36.50) | <0.001 |
| Married or living together | 1034 (79.70) | 519 (50.20) | 515 (49.80) | |
| Separated or divorced | 28 (2.20) | 20 (71.40) | 8 (28.60) | |
| Widow/er | 54 (4.20) | 14 (25.90) | 40 (74.10) | |
| Education (%) | ||||
| Primary school | 282 (21.80) | 71 (25.20) | 211 (74.80) | <0.001 |
| Secondary school | 383 (29.50) | 171 (44.60) | 212 (55.50) | |
| High School | 460 (35.50) | 307 (66.70) | 153 (33.30) | |
| Graduate | 172 (13.30) | 119 (69.20) | 53 (30.80) | |
| Work (%) | ||||
| Managers and Professionals | 102 (7.90) | 57 (55.90) | 45 (44.10) | <0.001 |
| Craft, Agricultural, and Sales Workers | 469 (36.20) | 285 (60.80) | 184 (39.20) | |
| Elementary Occupations | 185 (14.10) | 93 (50.30) | 92 (49.70) | |
| Housewife | 141 (10.90) | 74 (52.50) | 67 (47.50) | |
| Pensioners | 325 (25.10) | 110 (33.80) | 215 (66.20) | |
| Unemployed | 75 (5.80) | 49 (65.30) | 26 (34.70) | |
| Family income assessment (%) | ||||
| insufficient | 27 (2.10) | 10 (37.00) | 17 (63.00) | 0.025 |
| just sufficient | 167 (12.90) | 81 (48.50) | 86 (51.50) | |
| sufficient | 1019 (78.60) | 521 (51.10) | 498 (48.90) | |
| more than sufficient | 64 (4.90) | 44 (68.80) | 20 (31.20) | |
| good | 20 (1.50) | 12 (60.00) | 8 (40.00) | |
| Anthropometric and clinical parameters | ||||
| BMI (kg/m2) | 27.58 (5.05) | 25.04 (3.59) | 30.28 (4.97) | <0.001 |
| Weight (kg) | 72.93 (14.87) | 66.66 (12.02) | 79.58 (14.73) | <0.001 |
| Waist (cm) | 90.45 (13.46) | 83.04 (10.38) | 98.32 (11.79) | <0.001 |
| SBP (mmHg) | 120.93 (15.81) | 115.64 (15.35) | 126.52 (14.30) | <0.001 |
| DBP (mmHg) | 77.68 (8.00) | 75.69 (7.88) | 79.78 (7.58) | <0.001 |
| Hypertension (%) | ||||
| No | 847 (68.80) | 517 (61.00) | 330 (39.00) | <0.001 |
| Yes | 385 (31.20) | 115 (29.90) | 270 (70.10) | |
| Dyslipidemia (%) | ||||
| No | 1047 (85.10) | 561 (53.60) | 486 (46.40) | <0.001 |
| Yes | 184 (14.90) | 71 (38.60) | 113 (61.40) | |
| Diabetes (%) | ||||
| No | 1148 (93.20) | 620 (54.00) | 528 (46.00) | <0.001 |
| Yes | 84 (6.80) | 12 (14.30) | 72 (85.70) | |
| Blood Tests | ||||
| HbA1c (mmol/mol) | 38.07 (6.87) | 36.59 (5.05) | 39.64 (8.09) | <0.001 |
| Glucose (mg/dL) | 95.34 (17.34) | 90.13 (10.54) | 100.89 (21.06) | <0.001 |
| HOMA-IR | 1.89 (1.88) | 1.33 (0.90) | 2.43 (2.38) | <0.001 |
| ALT (U/L) | 22.20 (16.21) | 19.70 (8.27) | 24.86 (21.37) | <0.001 |
| γGT (U/L) | 17.58 (13.46) | 14.80 (7.67) | 20.54 (17.16) | <0.001 |
| AST (U/L) | 21.74 (10.87) | 20.70 (5.94) | 22.85 (14.29) | <0.001 |
| ALP (U/L) | 52.98 (16.10) | 50.10 (15.56) | 56.04 (16.11) | <0.001 |
| TG (mg/dL) | 98.41 (69.23) | 80.73 (58.55) | 117.22 (74.60) | <0.001 |
| TC (mg/dL) | 191.35 (35.36) | 188.90 (33.06) | 193.96 (37.50) | 0.010 |
| HDL-C (mg/dL) | 50.79 (12.59) | 53.18 (12.80) | 48.24 (11.85) | <0.001 |
| C-reactive protein (mg/dL) | 0.26 (0.55) | 0.21 (0.52) | 0.31 (0.58) | <0.001 |
| Variables | EPA (mg/day) | DHA (mg/day) | ||||
|---|---|---|---|---|---|---|
| MASLD | MASLD | |||||
| No | Yes | No | Yes | |||
| Mean (SD) | Mean (SD) | p-Value a | Mean (SD) | Mean (SD) | p-Value a | |
| Group 1: | 17.31 (19.59) | 16.50 (20.40) | 0.470 | 12.53 (14.35) | 11.89 (14.72) | 0.430 |
| Shrimps, prawns, langoustines | 2.64 (3.92) | 2.40 (3.95) | 0.270 | 2.05 (3.05) | 1.87 (3.07) | 0.270 |
| Octopus, Cuttlefish, Squid | 11.14 (16.12) | 10.26 (14.15) | 0.300 | 8.23 (11.92) | 7.58 (10.46) | 0.300 |
| Mussels, Clams | 3.53 (4.53) | 3.84 (6.21) | 0.310 | 2.25 (2.88) | 2.44 (3.95) | 0.310 |
| Group 2: | 83.22 (70.03) | 77.58 (74.67) | 0.160 | 151.16 (125.71) | 143.84 (136.71) | 0.320 |
| Sole, Plaice | 5.01 (8.41) | 4.56 (7.69) | 0.320 | 6.26 (10.51) | 5.70 (9.62) | 0.320 |
| Sardines, Mackerel, Anchovies | 12.43 (21.70) | 16.11 (29.10) | 0.010 | 28.20 (49.22) | 36.53 (66.00) | 0.010 |
| Trout | 2.04 (5.00) | 1.51 (3.90) | 0.034 | 5.84 (14.29) | 4.32 (11.14) | 0.034 |
| Salmon | 33.90 (45.70) | 26.02 (38.49) | <0.001 | 45.33 (61.10) | 34.79 (51.46) | <0.001 |
| Swordfish, Tuna | 3.03 (5.93) | 2.35 (3.98) | 0.016 | 15.41 (30.19) | 11.95 (20.25) | 0.016 |
| Other Fish | 26.81 (34.87) | 27.04 (41.43) | 0.910 | 50.12 (65.20) | 50.55 (77.46) | 0.910 |
| Group 3: | 44.59 (37.57) | 40.03 (36.17) | 0.027 | 87.55 (84.03) | 77.25 (76.93) | 0.022 |
| Salted cod, stockfish | 3.15 (5.78) | 4.26 (6.53) | 0.001 | 5.33 (9.79) | 7.21 (11.04) | 0.001 |
| Tinned fish | 35.38 (32.82) | 30.81 (31.97) | 0.011 | 52.31 (48.52) | 45.55 (47.26) | 0.011 |
| Frozen sticks and filets | 6.05 (11.95) | 4.96 (10.36) | 0.078 | 29.92 (59.03) | 24.49 (51.21) | 0.078 |
| Model 1 | Model 2 | |||||
|---|---|---|---|---|---|---|
| OR a | p-Value | 95%CI | OR a | p-Value | 95%CI | |
| EPA Quartiles (mg/day) | ||||||
| <77 | 1.000 | 1.000 | ||||
| 77–119 | 0.686 | 0.017 | 0.503; 0.934 | 0.686 | 0.031 | 0.487; 0.966 |
| 120–182 | 0.712 | 0.031 | 0.523; 0.970 | 0.683 | 0.031 | 0.482; 0.966 |
| 183–630 | 0.613 | 0.002 | 0.450; 0.836 | 0.572 | 0.002 | 0.400; 0.818 |
| Total EPA intake (mg/day) | 0.999 | 0.037 | 0.998; 0.999 | 0.999 | 0.048 | 0.997; 0.999 |
| OR a | p-value | 95%CI | OR a | p-value | 95%CI | |
| DHA Quartiles (mg/day) | ||||||
| <130 | 1.000 | 1.000 | ||||
| 130–206 | 0.569 | <0.001 | 0.417; 0.776 | 0.567 | 0.001 | 0.402; 0.799 |
| 207–318 | 0.738 | 0.054 | 0.542; 1.006 | 0.693 | 0.041 | 0.488; 0.985 |
| 319–950 | 0.554 | <0.001 | 0.406; 0.757 | 0.516 | <0.001 | 0.361; 0.739 |
| Total DHA intake (mg/day) | 0.999 | 0.048 | 0.998; 0.999 | 0.999 | 0.061 | 0.998; 1.000 |
| Group 1 | Model 1 | Model 2 | ||||
|---|---|---|---|---|---|---|
| OR a | p-Value | 95%CI | OR a | p-Value | 95%CI | |
| EPA Quartiles (mg/day) | ||||||
| <4.14 | 1.000 | 1.000 | ||||
| 4.14–10.79 | 0.817 | 0.196 | 0.600; 1.110 | 0.758 | 0.104 | 0.543; 1.058 |
| 11.80–23.84 | 0.673 | 0.012 | 0.494; 0.917 | 0.667 | 0.019 | 0.476; 0.936 |
| 23.85–198.0 | 0.752 | 0.071 | 0.552; 1.025 | 0.679 | 0.026 | 0.483; 0.955 |
| Total EPA intake (mg/day) | 0.998 | 0.467 | 0.993; 1.003 | 0.996 | 0.231 | 0.990; 1.002 |
| OR a | p-value | 95%CI | OR a | p-value | 95%CI | |
| DHA Quartiles (mg/day) | ||||||
| <2.80 | 1.000 | 1.000 | ||||
| 2.80–7.81 | 0.777 | 0.108 | 0.571; 1.057 | 0.709 | 0.044 | 0.507; 0.991 |
| 7.82–16.99 | 0.673 | 0.012 | 0.494; 0.917 | 0.647 | 0.012 | 0.461; 0.908 |
| 17.00–143.3 | 0.753 | 0.071 | 0.553; 1.025 | 0.684 | 0.029 | 0.487; 0.961 |
| Total DHA intake (mg/day) | 0.997 | 0.429 | 0.989; 1.005 | 0.995 | 0.217 | 0.986; 1.003 |
| Group 2 | Model 1 | Model 2 | ||||
|---|---|---|---|---|---|---|
| OR a | p-Value | 95%CI | OR a | p-Value | 95%CI | |
| EPA Quartiles (mg/day) | ||||||
| <29.29 | 1.000 | 1.000 | ||||
| 29.30–64.00 | 0.890 | 0.456 | 0.654; 1.210 | 0.882 | 0.471 | 0.628; 1.240 |
| 64.01–110.2 | 0.816 | 0.195 | 0.599; 1.110 | 0.678 | 0.028 | 0.479; 0.960 |
| 110.3–470.0 | 0.677 | 0.013 | 0.497; 0.922 | 0.556 | 0.001 | 0.390; 0.794 |
| Total EPA intake (mg/day) | 0.999 | 0.161 | 0.997; 1.000 | 0.998 | 0.037 | 0.996; 0.999 |
| OR a | p-value | 95%CI | OR a | p-value | 95%CI | |
| DHA Quartiles (mg/day) | ||||||
| <54.6 | 1.000 | 1.000 | ||||
| 54.6–118.4 | 0.847 | 0.290 | 0.622; 1.152 | 0.832 | 0.289 | 0.592; 1.169 |
| 118.5–204.7 | 0.811 | 0.183 | 0.596; 1.104 | 0.660 | 0.020 | 0.465; 0.937 |
| 204.8–800.0 | 0.716 | 0.034 | 0.525; 0.975 | 0.575 | 0.002 | 0.403; 0.820 |
| Total DHA intake (mg/day) | 1.000 | 0.316 | 0.999; 1.000 | 0.999 | 0.053 | 0.998; 1.000 |
| Group 3 | Model 1 | Model 2 | ||||
|---|---|---|---|---|---|---|
| OR a | p-Value | 95%CI | OR a | p-Value | 95%CI | |
| EPA Quartiles (mg/day) | ||||||
| <15.00 | 1.000 | 1.000 | ||||
| 15.00–34.67 | 0.777 | 0.108 | 0.571; 1.057 | 0.898 | 0.533 | 0.639; 1.261 |
| 34.68–59.00 | 0.744 | 0.060 | 0.547; 1.013 | 0.958 | 0.808 | 0.681; 1.349 |
| 59.00–280 | 0.682 | 0.015 | 0.501; 0.929 | 0.880 | 0.470 | 0.623; 1.244 |
| Total EPA intake (mg/day) | 0.997 | 0.027 | 0.994; 1.000 | 0.999 | 0.721 | 0.996; 1.003 |
| OR a | p-value | 95%CI | OR a | p-value | 95%CI | |
| DHA Quartiles (mg/day) | ||||||
| <25.50 | 1.000 | 1.000 | ||||
| 25.50–64.29 | 0.745 | 0.061 | 0.547; 1.014 | 0.816 | 0.241 | 0.582; 1.146 |
| 64.30–107.0 | 0.675 | 0.012 | 0.496; 0.918 | 0.871 | 0.430 | 0.617; 1.228 |
| 107.0–700.5 | 0.662 | 0.009 | 0.487; 0.902 | 0.857 | 0.381 | 0.607; 1.210 |
| Total DHA intake (mg/day) | 0.998 | 0.023 | 0.997; 1.000 | 1.000 | 0.620 | 0.998; 1.001 |
Disclaimer/Publisher’s Note: The statements, opinions and data contained in all publications are solely those of the individual author(s) and contributor(s) and not of MDPI and/or the editor(s). MDPI and/or the editor(s) disclaim responsibility for any injury to people or property resulting from any ideas, methods, instructions or products referred to in the content. |
© 2025 by the authors. Licensee MDPI, Basel, Switzerland. This article is an open access article distributed under the terms and conditions of the Creative Commons Attribution (CC BY) license (https://creativecommons.org/licenses/by/4.0/).
Share and Cite
Tatoli, R.; Caterina, B.; Donghia, R.; Pesole, P.L.; Fontana, L.; Giannelli, G. Dietary Omega-3 Fatty Acids from Fish and Risk of Metabolic Dysfunction-Associated Steatotic Liver Disease in a Mediterranean Population: Findings from the NUTRIHEP Cohort. Nutrients 2025, 17, 3372. https://doi.org/10.3390/nu17213372
Tatoli R, Caterina B, Donghia R, Pesole PL, Fontana L, Giannelli G. Dietary Omega-3 Fatty Acids from Fish and Risk of Metabolic Dysfunction-Associated Steatotic Liver Disease in a Mediterranean Population: Findings from the NUTRIHEP Cohort. Nutrients. 2025; 17(21):3372. https://doi.org/10.3390/nu17213372
Chicago/Turabian StyleTatoli, Rossella, Bonfiglio Caterina, Rossella Donghia, Pasqua Letizia Pesole, Luigi Fontana, and Gianluigi Giannelli. 2025. "Dietary Omega-3 Fatty Acids from Fish and Risk of Metabolic Dysfunction-Associated Steatotic Liver Disease in a Mediterranean Population: Findings from the NUTRIHEP Cohort" Nutrients 17, no. 21: 3372. https://doi.org/10.3390/nu17213372
APA StyleTatoli, R., Caterina, B., Donghia, R., Pesole, P. L., Fontana, L., & Giannelli, G. (2025). Dietary Omega-3 Fatty Acids from Fish and Risk of Metabolic Dysfunction-Associated Steatotic Liver Disease in a Mediterranean Population: Findings from the NUTRIHEP Cohort. Nutrients, 17(21), 3372. https://doi.org/10.3390/nu17213372

