Exploring Determinants of Mediterranean Lifestyle Adherence: Findings from the Multinational MEDIET4ALL e-Survey Across Ten Mediterranean and Neighboring Countries
Abstract
1. Introduction
2. Materials and Methods
2.1. Survey Development and Participant Recruitment
2.2. Data Privacy and Consent of Participation
2.3. Survey Questionnaires
2.3.1. MedLife Index
2.3.2. Sleep Quantity, Quality, Latency, and Efficiency
2.3.3. Insomnia Severity Index (ISI)
2.3.4. Depression Anxiety Stress Scale-21 (DASS-21)
2.3.5. Short Life Satisfaction Questionnaire Lockdown (SLSQ)
2.3.6. International Physical Activity Questionnaire Short Form (IPAQ-SF)
2.3.7. Short Social Participation Questionnaire—Lockdowns (SSPQ)
2.3.8. Short Technology-Use Questionnaire—Lockdowns (STuQL)
2.3.9. The MedDiet Barriers Questionnaire (MBQ)
2.3.10. Additional Questions
2.4. Statistical Analysis
3. Results
3.1. Association Between Geo-Demographic, Socio-Economic, and Health Status and MedLife Adherence Levels
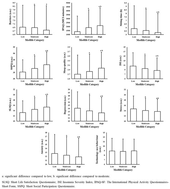
3.2. Potential Associations Between MedLife Adherence Levels and Consumer Behaviors: Findings of the Kruskal–Wallis Test
3.3. Potential Predictors of Adherence to the Mediterranean Lifestyle: Findings from the Hierarchical Multiple Linear Regression Models
4. Discussion
4.1. Strengths, Limitations, and Perspectives
4.2. Practical Applications
5. Conclusions
Author Contributions
Funding
Institutional Review Board Statement
Informed Consent Statement
Data Availability Statement
Acknowledgments
Conflicts of Interest
References
- Bach-Faig, A.; Berry, E.M.; Lairon, D.; Reguant, J.; Trichopoulou, A.; Dernini, S.; Medina, F.X.; Battino, M.; Belahsen, R.; Miranda, G.; et al. Mediterranean diet pyramid today. Science and cultural updates. Public Health Nutr. 2011, 14, 2274–2284. [Google Scholar] [CrossRef] [PubMed]
- Davis, C.; Bryan, J.; Hodgson, J.; Murphy, K. Definition of the Mediterranean diet: A literature review. Nutrients 2015, 7, 9139–9153. [Google Scholar] [CrossRef] [PubMed]
- Trichopoulou, A.; Bamia, C.; Trichopoulos, D. Anatomy of health effects of Mediterranean diet: Greek EPIC prospective cohort study. BMJ 2009, 338, b2337. [Google Scholar] [CrossRef]
- Sotos-Prieto, M.; Moreno-Franco, B.; Ordovás, J.M.; León, M.; Casasnovas, J.A.; Peñalvo, J.L. MED diet: Promotion and dissemination of healthy eating. Int. J. Food Sci. Nutr. 2022, 73, 158–171. [Google Scholar] [CrossRef]
- Lorca-Camara, V.; Bosque-Prous, M.; Bes-Rastrollo, M.; O’Callaghan-Gordo, C.; Bach-Faig, A. Environmental and health sustainability of the Mediterranean diet: A systematic review. Adv. Nutr. 2024, 15, 100322. [Google Scholar] [CrossRef]
- Guasch-Ferré, M.; Willett, W.C. The Mediterranean diet and health: A comprehensive overview. J. Intern. Med. 2021, 290, 549–566. [Google Scholar] [CrossRef]
- Trichopoulou, A.; Martínez-González, M.A.; Tong, T.Y.; Forouhi, N.G.; Khandelwal, S.; Prabhakaran, D.; Mozaffarian, D.; de Lorgeril, M. Definitions and potential health benefits of the Mediterranean diet: Views from experts around the world. BMC Med. 2014, 12, 112. [Google Scholar] [CrossRef]
- Schwingshackl, L.; Schwedhelm, C.; Galbete, C.; Hoffmann, G. Adherence to Mediterranean diet and risk of cancer: An updated systematic review and meta-analysis. Nutrients 2017, 9, 1063. [Google Scholar] [CrossRef] [PubMed]
- Psaltopoulou, T.; Sergentanis, T.N.; Panagiotakos, D.B.; Sergentanis, I.N.; Kosti, R.; Scarmeas, N. Mediterranean diet, stroke, cognitive impairment, and depression: A meta-analysis. Ann. Neurol. 2013, 74, 580–591. [Google Scholar] [CrossRef]
- Sofi, F.; Cesari, F.; Abbate, R.; Gensini, G.F.; Casini, A. Adherence to Mediterranean diet and health status: Meta-analysis. BMJ 2008, 337, a1344. [Google Scholar] [CrossRef]
- UNESCO. Mediterranean Diet. Intangible Heritage—Culture Sector. 2013. Available online: https://www.unesco.org/en/intangible-cultural-heritage/mediterranean-diet (accessed on 16 January 2025).
- Buscemi, S. What are the determinants of adherence to the Mediterranean diet? Int. J. Food Sci. Nutr. 2021, 72, 143–144. [Google Scholar] [CrossRef]
- Schwingshackl, L.; Missbach, B.; König, J.; Hoffmann, G. Adherence to a Mediterranean diet and risk of diabetes: A systematic review and meta-analysis. Public Health Nutr. 2015, 18, 1292–1299. [Google Scholar] [CrossRef]
- Monteiro, C.A.; Cannon, G.; Levy, R.B.; Moubarac, J.C.; Louzada, M.L.; Rauber, F.; Khandpur, N.; Cediel, G.; Neri, D.; Martinez-Steele, E.; et al. Ultra-processed foods: What they are and how to identify them. Public Health Nutr. 2019, 22, 936–941. [Google Scholar] [CrossRef]
- Srour, B.; Fezeu, L.K.; Kesse-Guyot, E.; Allès, B.; Méjean, C.; Andrianasolo, R.M.; Chazelas, E.; Deschasaux, M.; Hercberg, S.; Galan, P.; et al. Ultra-processed food intake and risk of cardiovascular disease: Prospective cohort study (NutriNet-Santé). BMJ 2019, 365, l1451. [Google Scholar] [CrossRef] [PubMed]
- Rico-Campà, A.; Martínez-González, M.A.; Alvarez-Alvarez, I.; Mendonça, R.D.; de la Fuente-Arrillaga, C.; Gómez-Donoso, C.; Bes-Rastrollo, M. Association between consumption of ultra-processed foods and all-cause mortality: SUN prospective cohort study. BMJ 2019, 365, l1949. [Google Scholar] [CrossRef] [PubMed]
- Mertens, E.; Colizzi, C.; Peñalvo, J.L. Ultra-processed food consumption in adults across Europe. Eur. J. Nutr. 2022, 61, 1521–1539. [Google Scholar] [CrossRef] [PubMed]
- Slimani, N.; Deharveng, G.; Southgate, D.A.T.; Biessy, C.; Chajès, V.; van Bakel, M.M.E.; Boutron-Ruault, M.C.; McTaggart, A.; Grioni, S.; Verkaik-Kloosterman, J.; et al. Contribution of highly industrially processed foods to the nutrient intakes and patterns of middle-aged populations in the European Prospective Investigation into Cancer and Nutrition study. Eur. J. Clin. Nutr. 2009, 63 (Suppl. 4), S206–S225. [Google Scholar] [CrossRef]
- Martínez-González, M.A.; Martín-Calvo, N. The major European dietary patterns and metabolic syndrome. Rev. Endocr. Metab. Disord. 2013, 14, 265–271. [Google Scholar] [CrossRef]
- Darmon, N.; Drewnowski, A. Does social class predict diet quality? Am. J. Clin. Nutr. 2008, 87, 1107–1117. [Google Scholar] [CrossRef]
- Franchini, C.; Biasini, B.; Sogari, G.; Menozzi, D. Adherence to the Mediterranean Diet and its association with sustainable dietary behaviors, sociodemographic factors, and lifestyle: A cross-sectional study in US university students. Nutr. J. 2024, 23, 56. [Google Scholar] [CrossRef]
- Bonaccio, M.; Bonanni, A.E.; Di Castelnuovo, A.; De Lucia, F.; Donati, M.B.; de Gaetano, G.; Iacoviello, L.; Moli-sani Project Investigators. Low income is associated with poor adherence to a Mediterranean diet and a higher prevalence of obesity: Cross-sectional results from the Moli-sani study. BMJ Open 2012, 2, e001685. [Google Scholar] [CrossRef] [PubMed]
- Bonaccio, M.; Bes-Rastrollo, M.; de Gaetano, G.; Iacoviello, L. Challenges to the Mediterranean diet at a time of economic crisis. Nutr. Metab. Cardiovasc. Dis. 2016, 26, 1057–1063. [Google Scholar] [CrossRef]
- Papadaki, S.; Carayanni, V.; Notara, V.; Chaniotis, D. Socioeconomic status, lifestyle characteristics and adherence to the Mediterranean diet among Greek adolescents. Food Human. 2023, 1, 421–429. [Google Scholar] [CrossRef]
- Obeid, C.A.; Gubbels, J.S.; Jaalouk, D.; Kremers, S.P.J.; Oenema, A. Adherence to the Mediterranean diet among adults in Mediterranean countries: A systematic literature review. Eur. J. Nutr. 2022, 61, 3327–3344. [Google Scholar] [CrossRef] [PubMed]
- Shakersain, B.; Rizzuto, D.; Larsson, S.C.; Faxén-Irving, G.; Fratiglioni, L.; Xu, W. Adherence to a Mediterranean diet and risk of dementia and cognitive decline in a Swedish population. Aging Clin. Exp. Res. 2016, 28, 1009–1016. [Google Scholar]
- Féart, C.; Samieri, C.; Allès, B.; Barberger-Gateau, P. Adherence to a Mediterranean diet, cognitive decline, and risk of dementia. JAMA 2009, 302, 638–648. [Google Scholar] [CrossRef]
- Trichopoulou, A.; Costacou, T.; Bamia, C.; Trichopoulos, D. Adherence to a Mediterranean diet and survival in a Greek population. N. Engl. J. Med. 2003, 348, 2599–2608. [Google Scholar] [CrossRef]
- Arvaniti, F.; Panagiotakos, D.; Pitsavos, C.; Zampelas, A.; Stefanadis, C. Dietary habits in a Greek sample of men and women: The ATTICA study. Cent. Eur. J. Public Health 2006, 14, 74–77. [Google Scholar] [CrossRef]
- González-Sosa, S.; Ruiz-Hernández, J.J.; Puente-Fernández, A.; Robaina-Bordón, J.M.; Conde-Martel, A. Adherence to the Mediterranean Diet in medical students. Public Health Nutr. 2023, 26, 1798–1806. [Google Scholar] [CrossRef]
- Ammar, A. A transnational movement to support the sustainable transition towards a healthy and eco-friendly agri-food system through the promotion of MEDIET and its lifestyle in modern society: MEDIET4ALL. Eur. J. Public Health 2024, 34 (Suppl. 3), ckae144.643. [Google Scholar] [CrossRef]
- Zaragoza-Martí, A.; Ferrer-Cascales, R.; Hurtado-Sánchez, J.A.; Laguna-Pérez, A.; Cabañero-Martínez, M.J. Relationship between adherence to the Mediterranean diet and health-related quality of life and life satisfaction among older adults. J. Nutr. Health Aging 2018, 22, 89–96. [Google Scholar] [CrossRef]
- Sotos-Prieto, M.; Moreno-Franco, B.; Ordovás, J.M.; León, M.; Casasnovas, J.A.; Peñalvo, J.L. Design and development of an instrument to measure overall lifestyle habits for epidemiological research: The Mediterranean Lifestyle (MEDLIFE) index. Public Health Nutr. 2015, 18, 959–967. [Google Scholar] [CrossRef] [PubMed]
- Fung, T.T.; Rexrode, K.M.; Mantzoros, C.S.; Manson, J.E.; Willett, W.C.; Hu, F.B. Mediterranean diet and incidence of and mortality from coronary heart disease and stroke in women. Circulation 2009, 119, 1093–1100. [Google Scholar] [CrossRef] [PubMed]
- Boujelbane, M.A.; Ammar, A.; Salem, A.; Kerkeni, M.; Trabelsi, K.; Bouaziz, B.; Masmoudi, L.; Heydenreich, J.; Schallhorn, C.; Müller, G.; et al. Regional variations in Mediterranean diet adherence: A sociodemographic and lifestyle analysis across Mediterranean and non-Mediterranean regions. Front. Public Health 2025, 13, 1596681. [Google Scholar] [CrossRef]
- Boujelbane, M.A.; Ammar, A.; Salem, A.; Kerkeni, M.; Trabelsi, K.; Bouaziz, B.; Masmoudi, L.; Heydenreich, J.; Schallhorn, C.; Müller, G.; et al. Gender-specific insights into adherence to Mediterranean diet and lifestyle: Analysis of 4,000 responses from the MEDIET4ALL project. Front. Nutr. 2025, in press. [Google Scholar]
- Zaragoza-Martí, A.; Cabañero-Martínez, M.J.; Hurtado-Sánchez, J.A.; Laguna-Pérez, A.; Ferrer-Cascales, R. Evaluation of Mediterranean diet adherence scores: A systematic review. BMJ Open 2018, 8, e019033. [Google Scholar] [CrossRef]
- Buysse, D.J.; Reynolds, C.F., 3rd; Monk, T.H.; Berman, S.R.; Kupfer, D.J. The Pittsburgh Sleep Quality Index: A new instrument for psychiatric practice and research. Psychiatry Res. 1989, 28, 193–213. [Google Scholar] [CrossRef]
- Consensus Conference Panel; Watson, N.F.; Badr, M.S.; Belenky, G.; Bliwise, D.L.; Buxton, O.M.; Buysse, D.; Dinges, D.F.; Gangwisch, J.; Grandner, M.A.; et al. Recommended amount of sleep for a healthy adult: A joint consensus statement of the American Academy of Sleep Medicine and Sleep Research Society. J. Clin. Sleep Med. 2015, 38, 834–844. [Google Scholar]
- Bastien, C.H.; Vallières, A.; Morin, C.M. Validation of the Insomnia Severity Index as an outcome measure for insomnia research. Sleep Med. 2001, 2, 297–307. [Google Scholar] [CrossRef]
- Cerri, L.Q.; Justo, M.C.; Clemente, V.; Gomes, A.A.; Pereira, A.S.; Marques, D.R. Insomnia Severity Index: A reliability generalisation meta-analysis. J. Sleep Res. 2023, 32, e13835. [Google Scholar] [CrossRef]
- Lovibond, P.F.; Lovibond, S.H. The structure of negative emotional states: Comparison of the Depression Anxiety Stress Scales (DASS) with the Beck Depression and Anxiety Inventories. Behav. Res. Ther. 1995, 33, 335–343. [Google Scholar] [CrossRef] [PubMed]
- Ammar, A.; Chtourou, H.; Boukhris, O.; Trabelsi, K.; Masmoudi, L.; Brach, M.; Bouaziz, B.; Bentlage, E.; How, D.; Ahmed, M.; et al. COVID-19 home confinement negatively impacts social participation and life satisfaction: A worldwide multicenter study. Int. J. Environ. Res. Public Health 2020, 17, 6237. [Google Scholar] [CrossRef] [PubMed]
- Ammar, A.; Trabelsi, K.; Brach, M.; Chtourou, H.; Boukhris, O.; Masmoudi, L.; Bouaziz, B.; Bentlage, E.; How, D.; Ahmed, M.; et al. Effects of home confinement on mental health and lifestyle behaviors during the COVID-19 outbreak: Insights from the ECLB-COVID19 multicentre study. Biol. Sport 2021, 38, 9–21. [Google Scholar] [CrossRef]
- Craig, C.L.; Marshall, A.L.; Sjöström, M.; Bauman, A.E.; Booth, M.L.; Ainsworth, B.E.; Pratt, M.; Ekelund, U.; Yngve, A.; Sallis, J.F.; et al. International physical activity questionnaire: 12-country reliability and validity. Med. Sci. Sports Exerc. 2003, 35, 1381–1395. [Google Scholar] [CrossRef]
- Lee, P.H.; Macfarlane, D.J.; Lam, T.H.; Stewart, S.M. Validity of the International Physical Activity Questionnaire Short Form (IPAQ-SF): A systematic review. Int. J. Behav. Nutr. Phys. Act. 2011, 8, 115. [Google Scholar] [CrossRef]
- Ammar, A.; Salem, A.; Boujelbane, M.A.; Trabelsi, K.; Bouaziz, B.; Kerkeni, M.; Masmoudi, L.; Heydenreich, J.; Schallhorn, C.; Müller, G.; et al. Multifactorial determinants of individual health status: Insights from the MEDIET4ALL large-scale survey on eco-sociodemographic, environmental, psychological, and lifestyle factors. BMC Public Health 2025. manuscript under review. [Google Scholar]
- Centers for Disease Control and Prevention (CDC). Heart Disease Risk Factors. 2024. Available online: https://www.cdc.gov/heart-disease/risk-factors/index.html (accessed on 19 March 2025).
- Cosentino, F.; Grant, P.J.; Aboyans, V.; Bailey, C.J.; Ceriello, A.; Delgado, V.; Federici, M.; Filippatos, G.; Grobbee, D.E.; Hansen, T.B.; et al. 2019 ESC Guidelines on diabetes, pre-diabetes, and cardiovascular diseases developed in collaboration with the EASD. Eur. Heart J. 2020, 41, 255–323. [Google Scholar] [CrossRef] [PubMed]
- Petry, N.M. A comparison of young, middle-aged, and older adult treatment-seeking pathological gamblers. Gerontologist 2002, 42, 92–99. [Google Scholar] [CrossRef]
- Mayén, A.L.; Marques-Vidal, P.; Paccaud, F.; Bovet, P.; Stringhini, S. Socioeconomic determinants of dietary patterns in low- and middle-income countries: A systematic review. Am. J. Clin. Nutr. 2014, 100, 1520–1531. [Google Scholar] [CrossRef]
- Albani, E.N.; Togas, C.; Kanelli, Z.; Fradelos, E.C.; Mantzouranis, G.; Saridi, M.; Tzenalis, A. Is there an association between health literacy and adherence to the Mediterranean diet? A cross-sectional study in Greece. Wiad. Lek. 2022, 75, 2181–2188. [Google Scholar] [CrossRef]
- Abreu, F.; Hernando, A.; Goulão, L.F.; Pinto, A.M.; Branco, A.; Cerqueira, A.; Galvão, C.; Guedes, F.B.; Bronze, M.R.; Viegas, W.; et al. Mediterranean diet adherence and nutritional literacy: An observational cross-sectional study of the reality of university students in a COVID-19 pandemic context. BMJ Nutr. Prev. Health 2023, 6, 221–230. [Google Scholar] [CrossRef]
- Aureli, V.; Rossi, L. Nutrition knowledge as a driver of adherence to the Mediterranean diet in Italy. Front. Nutr. 2022, 9, 804865. [Google Scholar] [CrossRef] [PubMed]
- Elmskini, F.Z.; Bouh, A.; Labyad, A.; Elghoulam, N.; Iraqi, H.; Mehdad, S.; Madkour, A.; Moufid, A.; Aabi, M.; Boutayeb, S.; et al. Increased nutrition knowledge and adherence to the Mediterranean diet are associated with lower body mass index and better self-rated general health among university students. Hum. Nutr. Metab. 2024, 35, 200240. [Google Scholar] [CrossRef]
- Gibbs, H.D.; Kennett, A.R.; Kerling, E.H.; Yu, Q.; Gajewski, B.; Ptomey, L.T.; Sullivan, D.K. Assessing the nutrition literacy of parents and its relationship with child diet quality. J. Nutr. Educ. Behav. 2016, 48, 505–509.e1. [Google Scholar] [CrossRef]
- Glanz, K.; Metcalfe, J.J.; Folta, S.C.; Brown, A.; Fiese, B. Diet and health benefits associated with in-home eating and sharing meals at home: A systematic review. Int. J. Environ. Res. Public Health 2021, 18, 1577. [Google Scholar] [CrossRef] [PubMed]
- Snuggs, S.; Harvey, K. Family mealtimes: A systematic umbrella review of characteristics, correlates, outcomes, and interventions. Nutrients 2023, 15, 2841. [Google Scholar] [CrossRef]
- Keys, A.; Menotti, A.; Karvonen, M.J.; Aravanis, C.; Blackburn, H.; Buzina, R.; Djordjevic, B.S.; Dontas, A.S.; Fidanza, F.; Keys, M.H.; et al. The diet and 15-year death rate in the seven countries study. Am. J. Epidemiol. 1986, 124, 903–915. [Google Scholar] [CrossRef]
- Grosso, G.; Marventano, S.; Giorgianni, G.; Raciti, T.; Galvano, F.; Mistretta, A. Mediterranean diet adherence rates in Sicily, southern Italy. Public Health Nutr. 2014, 17, 2001–2009. [Google Scholar] [CrossRef]
- Muñoz, M.A.; Fíto, M.; Marrugat, J.; Covas, M.I.; Schröder, H. Adherence to the Mediterranean diet is associated with better mental and physical health. Br. J. Nutr. 2009, 101, 1821–1827. [Google Scholar] [CrossRef]
- Gualdi-Russo, E.; Zaccagni, L. Physical activity for health and wellness. Int. J. Environ. Res. Public Health 2021, 18, 7823. [Google Scholar] [CrossRef]
- Kramer, A.F.; Hillman, C.H. Aging, physical activity, and neurocognitive function. In Psychobiology of Physical Activity; Acevedo, E.O., Ekkekakis, P., Eds.; Human Kinetics: Champaign, IL, USA, 2006; pp. 45–59. [Google Scholar]
- Ammar, A.; Trabelsi, K.; Hermassi, S.; Kolahi, A.A.; Mansournia, M.A.; Jahrami, H.; Boukhris, O.; Boujelbane, M.A.; Glenn, J.M.; Clark, C.C.T.; et al. Global disease burden attributed to low physical activity in 204 countries and territories from 1990 to 2019: Insights from the GBD 2019. Biol. Sport 2023, 40, 835–855. [Google Scholar] [CrossRef]
- Lee, I.M.; Shiroma, E.J.; Lobelo, F.; Puska, P.; Blair, S.N.; Katzmarzyk, P.T. Effect of physical inactivity on major non-communicable diseases worldwide: An analysis of burden of disease and life expectancy. Lancet 2012, 380, 219–229. [Google Scholar] [CrossRef]
- Ding, D.; Lawson, K.D.; Kolbe-Alexander, T.L.; Finkelstein, E.A.; Katzmarzyk, P.T.; van Mechelen, W.; Pratt, M. The economic burden of physical inactivity: A global analysis of major non-communicable diseases. Lancet 2016, 388, 1311–1324. [Google Scholar] [CrossRef] [PubMed]
- García-Hermoso, A.; Ezzatvar, Y.; López-Gil, J.F.; Ramírez-Vélez, R.; Olloquequi, J.; Izquierdo, M. Is adherence to the Mediterranean diet associated with healthy habits and physical fitness? A systematic review and meta-analysis including 565,421 youths. Br. J. Nutr. 2022, 128, 1433–1444. [Google Scholar] [CrossRef] [PubMed]
- Mendes, J.; Afonso, C.; Borges, N.; Santos, A.; Moreira, P.; Padrão, P.; Negrão, R.; Amaral, T.F. Adherence to a Mediterranean dietary pattern and functional parameters: A cross-sectional study in an older population. J. Nutr. Health Aging 2020, 24, 138–146. [Google Scholar] [CrossRef]
- Júdice, P.B.; Carraça, E.V.; Santos, I.; Silva, A.M.; Sardinha, L.B. Different sedentary behavior domains present distinct associations with eating-related indicators. BMC Public Health 2024, 24, 275. [Google Scholar] [CrossRef] [PubMed]
- Holt-Lunstad, J.; Smith, T.B.; Baker, M.; Harris, T.; Stephenson, D. Loneliness and social isolation as risk factors for mortality: A meta-analytic review. Perspect. Psychol. Sci. 2015, 10, 227–237. [Google Scholar] [CrossRef]
- Nurminen, M.; Thoma-Otremba, A.; Casabianca, E. Mapping of Loneliness Interventions in the EU; European Commission: Brussels, Belgium, 2023; JRC134255. [Google Scholar]
- Bonaccio, M.; Di Castelnuovo, A.; Bonanni, A.; Costanzo, S.; De Lucia, F.; Pounis, G.; Zito, F.; Donati, M.B.; de Gaetano, G.; Iacoviello, L.; et al. Adherence to a Mediterranean diet is associated with a better health-related quality of life: A possible role of high dietary antioxidant content. BMJ Open 2013, 3, e003003. [Google Scholar] [CrossRef]
- Bhargav, C. Communal eating: A symbol of shared humanity and unity in a fragmented world. Glob. J. Sociol. Anthropol. 2024, 13, 1–2. [Google Scholar]
- Godos, J.; Grosso, G.; Castellano, S.; Galvano, F.; Caraci, F.; Ferri, R. Association between diet and sleep quality: A systematic review. Sleep Med. Rev. 2021, 57, 101430. [Google Scholar] [CrossRef]
- St-Onge, M.P.; Mikic, A.; Pietrolungo, C.E. Effects of diet on sleep quality. Adv. Nutr. 2016, 7, 938–949. [Google Scholar] [CrossRef]
- Godos, J.; Ferri, R.; Lanza, G.; Caraci, F.; Vistorte, A.O.R.; Yelamos Torres, V.; Grosso, G.; Castellano, S. Mediterranean diet and sleep features: A systematic review of current evidence. Nutrients 2024, 16, 282. [Google Scholar] [CrossRef]
- Lassale, C.; Batty, G.D.; Baghdadli, A.; Jacka, F.; Sánchez-Villegas, A.; Kivimäki, M.; Akbaraly, T. Healthy dietary indices and risk of depressive outcomes: A systematic review and meta-analysis of observational studies. Mol. Psychiatry 2019, 24, 965–986. [Google Scholar] [CrossRef] [PubMed]
- Clark, J.S.; Simpson, B.S.; Murphy, K.J. The role of a Mediterranean diet and physical activity in decreasing age-related inflammation through modulation of the gut microbiota composition. Br. J. Nutr. 2022, 128, 1299–1314. [Google Scholar] [CrossRef] [PubMed]
- Park, G.; Kadyan, S.; Hochuli, N.; Pollak, J.; Wang, B.; Salazar, G.; Chakrabarty, P.; Efron, P.; Sheffler, J.; Nagpal, R. A modified Mediterranean-style diet enhances brain function via specific gut-microbiome-brain mechanisms. Gut Microbes 2024, 16, 2323752. [Google Scholar] [CrossRef] [PubMed]
- Grao-Cruces, A.; Nuviala, A.; Fernández-Martínez, A.; Porcel-Gálvez, A.M.; Moral-García, J.E.; Martínez-López, E.J. Adherence to the Mediterranean diet in rural and urban adolescents of southern Spain, life satisfaction, anthropometry, and physical and sedentary activities. Nutr. Hosp. 2013, 28, 1129–1135. [Google Scholar]
- Grao-Cruces, A.; Fernández-Martínez, A.; Nuviala, A. Association of fitness with life satisfaction, health risk behaviors, and adherence to the Mediterranean diet in Spanish adolescents. J. Strength Cond. Res. 2014, 28, 2164–2172. [Google Scholar] [CrossRef]
- Michie, S.; van Stralen, M.M.; West, R. The behavior change wheel: A new method for characterising and designing behavior change interventions. Implement. Sci. 2011, 6, 42. [Google Scholar] [CrossRef]
- Guiné, R.P.F.; Ferrão, A.C.; Ferreira, M.; Correia, P.; Cardoso, A.P.; Duarte, J.; Rumbak, I.; Shehata, A.-M.; Vittadini, E.; Papageorgiou, M. The motivations that define eating patterns in some Mediterranean countries. Nutr. Food Sci. 2019, 49, 1126–1141. [Google Scholar] [CrossRef]
- Biggi, C.; Biasini, B.; Ogrinc, N.; Strojnik, L.; Endrizzi, I.; Menghi, L.; Khémiri, I.; Mankai, A.; Slama, F.B.; Jamoussi, H.; et al. Drivers and barriers influencing adherence to the Mediterranean diet: A comparative study across five countries. Nutrients 2024, 16, 2405. [Google Scholar] [CrossRef]
- Tong, T.Y.N.; Imamura, F.; Monsivais, P.; Brage, S.; Griffin, S.J.; Wareham, N.J.; Forouhi, N.G. Dietary cost associated with adherence to the Mediterranean diet, and its variation by socio-economic factors in the UK Fenland Study. Br. J. Nutr. 2018, 119, 685–694. [Google Scholar] [CrossRef]
- Rubini, A.; Vilaplana-Prieto, C.; Flor-Alemany, M.; Yeguas-Rosa, L.; Hernández-González, M.; Félix-García, F.J.; Félix-Redondo, F.J.; Fernández-Bergés, D. Assessment of the cost of the Mediterranean diet in a low-income region: Adherence and relationship with available incomes. BMC Public Health 2022, 22, 58. [Google Scholar]

| Variables | Low | Medium | High | Total | χ2 | df | p |
|---|---|---|---|---|---|---|---|
| Country of living | |||||||
| Algeria | 49 (34%) | 71 (49%) | 26 (17%) | 146 | 113.93 | 18 | <0.001 |
| France | 171 (32%) | 239 (45%) | 123 (23%) | 533 | |||
| Germany | 223 (36%) | 279 (45%) | 114 (19%) | 616 | |||
| Italy | 212 (30%) | 304 (43%) | 195 (27%) | 711 | |||
| Luxembourg | 21 (18%) | 67 (57%) | 30 (25%) | 118 | |||
| Tunisia | 42 (25%) | 86 (50%) | 42 (25%) | 170 | |||
| Spain | 50 (18%) | 123 (44%) | 105 (38%) | 278 | |||
| Morocco | 56 (35%) | 72 (45%) | 32 (20%) | 160 | |||
| Turkey | 177 (30%) | 326 (55%) | 93 (15%) | 596 | |||
| Jordan | 247 (36%) | 308 (45%) | 127 (19%) | 682 | |||
| Region | |||||||
| Mediterranean | 757 (29%) | 1221 (47%) | 616 (24%) | 2594 | 17.83 | 2 | <0.001 |
| Non-Mediterranean | 491 (35%) | 654 (46%) | 271 (19%) | 1416 | |||
| Continent | |||||||
| Europe | 677 (30%) | 1012 (45%) | 567 (25%) | 2256 | 30.22 | 4 | <0.001 |
| Asia | 424 (33%) | 634 (50%) | 220 (17%) | 1278 | |||
| Africa | 147 (31%) | 229 (48%) | 100 (21%) | 476 | |||
| Ethnicity | |||||||
| Prefer not to say | 65 (32%) | 92 (46%) | 44 (22%) | 201 | 41.86 | 14 | <0.001 |
| Black/African/Caribbean | 34 (27%) | 58 (47%) | 33 (26%) | 125 | |||
| Latin American/Hispanic | 18 (29%) | 25 (40%) | 19 (31%) | 62 | |||
| White/European | 559 (29%) | 855 (45%) | 486 (26%) | 1940 | |||
| Asian | 38 (35%) | 53 (48%) | 19 (17%) | 110 | |||
| Middle Eastern/Arab | 300 (33%) | 429 (47%) | 177 (20%) | 906 | |||
| Turks | 166 (30%) | 294 (54%) | 90 (16%) | 550 | |||
| Other | 28 (24%) | 69 (60%) | 19 (16%) | 116 | |||
| Living environment | |||||||
| Urban environment | 773 (29%) | 1271 (48%) | 614 (23%) | 2658 | 16.57 | 4 | 0.002 |
| Suburban environment | 248 (34%) | 330 (46%) | 148 (20%) | 726 | |||
| Rural environment | 227 (36%) | 274 (44%) | 125 (20%) | 626 | |||
| Gender | |||||||
| Male | 495 (30%) | 755 (47%) | 375 (23%) | 1625 | 1.57 | 2 | 0.457 |
| Female | 753 (32%) | 1120 (47%) | 512 (21%) | 2385 | |||
| Age (years) | |||||||
| 18–35 | 711 (33%) | 1004 (46%) | 455 (21%) | 2170 | 10.19 | 4 | 0.037 |
| 36–55 | 358 (30%) | 546 (47%) | 267 (23%) | 1171 | |||
| >55 | 179 (27%) | 325 (48%) | 165 (25%) | 669 | |||
| Body mass index (BMI) | |||||||
| Underweight | 74 (35%) | 97 (47%) | 38 (18%) | 209 | 21.44 | 6 | 0.002 |
| Normal weight | 617 (29%) | 1031 (48%) | 498 (23%) | 2146 | |||
| Overweight | 535 (33%) | 735 (46%) | 344 (21%) | 1614 | |||
| Obesity | 22 (54%) | 12 (29%) | 7 (17%) | 41 | |||
| Education | |||||||
| No schooling completed | 78 (37%) | 93 (45%) | 37 (18%) | 208 | 47.09 | 6 | <0.001 |
| High school graduate, diploma, or the equivalent/Professional degree | 483 (34%) | 665 (46%) | 296 (20%) | 1444 | |||
| Bachelor’s degree | 476 (33%) | 683 (47%) | 296 (20%) | 1455 | |||
| Master–Doctorate degree | 211 (23%) | 434 (48%) | 258 (29%) | 903 | |||
| MedLife awareness | |||||||
| Aware | 501 (23%) | 1042 (48%) | 642 (29%) | 2185 | 218.92 | 2 | <0.001 |
| Not aware | 747 (41%) | 833 (46%) | 245 (13%) | 1825 | |||
| Marital status | |||||||
| Single | 631 (32%) | 931 (47%) | 411 (21%) | 1973 | 14.23 | 4 | 0.007 |
| Married living as a couple | 507 (29%) | 817 (47%) | 422 (24%) | 1746 | |||
| Widowed, divorced, separated | 110 (38%) | 127 (44%) | 54 (18%) | 291 | |||
| Employment | |||||||
| Employed | 609 (30%) | 948 (47%) | 476 (23%) | 2033 | 25.78 | 8 | 0.001 |
| Unemployed | 181 (39%) | 203 (43%) | 83 (18%) | 467 | |||
| Student | 322 (31%) | 480 (47%) | 225 (22%) | 1027 | |||
| Retired | 87 (26%) | 170 (50%) | 82 (24%) | 339 | |||
| Uncategorized | 49 (34%) | 74 (51%) | 21 (15%) | 144 | |||
| Health status | |||||||
| Healthy | 895 (30%) | 1419 (47%) | 700 (23%) | 3014 | 15.67 | 4 | 0.004 |
| At risk | 248 (35%) | 322 (45%) | 138 (20%) | 708 | |||
| With diseases | 105 (46%) | 134 (47%) | 49 (17%) | 288 | |||
| Smoking | |||||||
| Cigarettes smokers | 287 (36%) | 335 (42%) | 173 (22%) | 795 | 12.53 | 4 | 0.014 |
| Shisha smokers | 61 (29%) | 101 (48%) | 47 (23%) | 209 | |||
| Non-smokers | 900 (30%) | 1439 (48%) | 667 (22%) | 3006 | |||
| UC | SC | t | Sig | R | SEE | Adj. R2 | ANOVA | ||||
|---|---|---|---|---|---|---|---|---|---|---|---|
| b | SE | β | F | p-Value | |||||||
| Model 1 | (Constant) | 12.943 | 0.515 | 25.146 | <0.001 | 3.11 | 0.027 | 12.4 | <0.001 | ||
| Age | 0.026 | 0.004 | 0.126 | 6.138 | <0.001 | 0.061 | |||||
| BMI | −0.048 | 0.011 | −0.074 | −4.436 | <0.001 | −0.065 | |||||
| Gender | −0.136 | 0.102 | −0.021 | −1.325 | 0.185 | −0.019 | |||||
| Marital status | −0.169 | 0.097 | −0.033 | −1.736 | 0.083 | 0.006 | |||||
| Employment | −0.023 | 0.043 | −0.009 | −0.539 | 0.59 | −0.019 | |||||
| Health | 0.353 | 0.087 | 0.067 | 4.052 | <0.001 | 0.066 | |||||
| Ethnicity | −0.036 | 0.032 | −0.018 | −1.121 | 0.262 | −0.04 | |||||
| Education | 0.212 | 0.039 | 0.088 | 5.462 | <0.001 | 0.09 | |||||
| Smoking | 0.123 | 0.063 | 0.031 | 1.968 | 0.049 | 0.035 | |||||
| Model 2 | (Constant) | 13.766 | 0.260 | 52.968 | <0.001 | 3.13 | 0.014 | 15.43 | <0.001 | ||
| Country of living | 0.032 | 0.020 | 0.031 | 1.588 | 0.112 | −0.011 | |||||
| Region | 0.617 | 0.108 | 0.094 | 5.711 | <0.001 | 0.083 | |||||
| Continent | −0.343 | 0.084 | −0.076 | −4.074 | <0.001 | −0.045 | |||||
| Living environment | −0.280 | 0.068 | −0.067 | −4.116 | <0.001 | −0.066 | |||||
| Model 3 | (Constant) | 12.659 | 0.270 | 46.843 | <0.001 | 3.09 | 0.035 | 36.97 | <0.001 | ||
| Depression | −0.032 | 0.018 | −0.051 | −1.803 | 0.071 | −0.106 | |||||
| Anxiety | 0.010 | 0.017 | 0.016 | 0.606 | 0.544 | −0.063 | |||||
| Stress | −0.001 | 0.018 | −0.001 | −0.048 | 0.962 | −0.082 | |||||
| SLSQ-L | 0.117 | 0.012 | 0.168 | 9.937 | <0.001 | 0.185 | |||||
| Model 4 | (Constant) | 9.932 | 2.556 | 3.886 | <0.001 | 3.11 | 0.027 | 23.31 | <0.001 | ||
| Sleep latency | 0.003 | 0.006 | 0.030 | 0.498 | 0.618 | −0.102 | |||||
| Number of hours of sleep | −0.024 | 0.044 | −0.013 | −0.536 | 0.592 | 0.043 | |||||
| Sleep efficiency | 0.038 | 0.028 | 0.086 | 1.353 | 0.176 | 0.114 | |||||
| Sleep quality | 0.355 | 0.076 | 0.089 | 4.646 | <0.001 | 0.144 | |||||
| ISI | −0.037 | 0.011 | −0.068 | −3.475 | 0.001 | −0.139 | |||||
| Model 5 | (Constant) | 11.383 | 0.265 | 42.987 | <0.001 | 3.03 | 0.073 | 79.58 | <0.001 | ||
| Sitting time | −0.068 | 0.016 | −0.066 | −4.333 | <0.001 | −0.080 | |||||
| IPAQ score | <0.001 | <0.001 | 0.114 | 7.410 | <0.001 | 0.143 | |||||
| SSPQ-L | 0.068 | 0.005 | 0.219 | 14.237 | <0.001 | 0.237 | |||||
| Technology use behavior | 0.014 | 0.018 | 0.012 | 0.800 | 0.424 | 0.010 | |||||
| Model 6 | (Constant) | 13.706 | 0.328 | 41.738 | <0.001 | 13.706 | 3.02 | 0.084 | 27.23 | <0.001 | |
| MedDiet awareness | 1.569 | 0.098 | 0.248 | 16.043 | <0.001 | 0.260 | |||||
| Barriers: Food allergies and intolerances | −0.170 | 0.142 | −0.018 | −1.197 | 0.231 | −0.003 | |||||
| Barriers: Cultural and/or religious limitations | −0.162 | 0.162 | −0.016 | −1.000 | 0.318 | 0.003 | |||||
| Barriers: Medical/health-related limitations | −0.256 | 0.161 | −0.025 | −1.590 | 0.112 | −0.044 | |||||
| Barriers: Individual beliefs limitation (e.g., vegan and vegetarian) | −0.680 | 0.170 | −0.062 | −4.010 | <0.001 | −0.066 | |||||
| Barriers: Taste dislike | −0.544 | 0.126 | −0.067 | −4.314 | <0.001 | −0.087 | |||||
| Barriers: Attitudes (suitability, taste, restrictive, food waste) | −0.133 | 0.128 | −0.016 | −1.040 | 0.298 | 0.003 | |||||
| Barriers: Social norms (food culture) | −0.277 | 0.132 | −0.033 | −2.104 | 0.035 | −0.026 | |||||
| Barriers: Low motivation | −0.487 | 0.131 | −0.059 | −3.718 | <0.001 | −0.087 | |||||
| Barriers: Price unaffordability | −0.230 | 0.111 | −0.033 | −2.071 | 0.038 | −0.013 | |||||
| Barriers: Time/effort-consuming | −0.361 | 0.116 | −0.049 | −3.109 | 0.002 | −0.054 | |||||
| Barriers: Low accessibility/availability of Mediterranean food | −0.319 | 0.146 | −0.035 | −2.183 | 0.029 | −0.019 | |||||
| Barriers: Lack of knowledge and cooking skills | −0.231 | 0.130 | −0.028 | −1.785 | 0.074 | −0.061 | |||||
| Barriers: Others | −0.407 | 0.328 | −0.019 | −1.239 | 0.215 | −0.017 | |||||
| UC | SC | T | Sig. | R | SEE | Adj. R2 | ANOVA | ||||
|---|---|---|---|---|---|---|---|---|---|---|---|
| B | SE | β | F | p-Value | |||||||
| Model 7 | (Constant) | 8.047 | 0.585 | 13.765 | <0.001 | 2.85 | 0.179 | 44.872 | <0.001 | ||
| Age | 0.016 | 0.003 | 0.077 | 4.545 | <0.001 | 0.061 | |||||
| Health | 0.148 | 0.081 | 0.028 | 1.818 | 0.069 | 0.066 | |||||
| Education | 0.11 | 0.036 | 0.046 | 3.064 | 0.002 | 0.09 | |||||
| Living environment | −0.227 | 0.062 | −0.054 | −3.676 | <0.001 | −0.066 | |||||
| Region | 0.352 | 0.099 | 0.053 | 3.564 | <0.001 | 0.083 | |||||
| Continent | 0.009 | 0.075 | 0.002 | 0.114 | 0.909 | −0.045 | |||||
| SLSQ-L | 0.06 | 0.011 | 0.086 | 5.494 | <0.001 | 0.187 | |||||
| Sleep quality | 0.291 | 0.071 | 0.073 | 4.085 | <0.001 | 0.144 | |||||
| ISI | −0.014 | 0.01 | −0.026 | −1.404 | 0.16 | −0.139 | |||||
| SSPQ-L | 0.061 | 0.005 | 0.196 | 12.299 | <0.001 | 0.237 | |||||
| Sitting time | −0.057 | 0.015 | −0.055 | −3.806 | <0.001 | −0.08 | |||||
| IPAQ score | <0.001 | <0.001 | 0.095 | 6.46 | <0.001 | 0.143 | |||||
| MedDiet awareness | 1.297 | 0.101 | 0.205 | 12.901 | <0.001 | 0.26 | |||||
| Barriers: Individual beliefs limitation (e.g., vegan and vegetarian) | −0.534 | 0.161 | −0.049 | −3.315 | 0.001 | −0.066 | |||||
| Barriers: Taste dislike | −0.528 | 0.12 | −0.065 | −4.411 | <0.001 | −0.087 | |||||
| Barriers: Social norms (food culture) | −0.144 | 0.125 | −0.017 | −1.157 | 0.247 | −0.026 | |||||
| Barriers: Low motivation | −0.372 | 0.123 | −0.045 | −3.01 | 0.003 | −0.087 | |||||
| Barriers: Price unaffordability | −0.392 | 0.105 | −0.056 | −3.73 | <0.001 | −0.013 | |||||
| Barriers: Time/effort-consuming | −0.341 | 0.11 | −0.046 | −3.102 | 0.002 | −0.054 | |||||
| Barriers: Low accessibility/availability of Mediterranean food | −0.337 | 0.138 | −0.037 | −2.441 | 0.015 | −0.019 | |||||
| Model 8 | (Constant) | 7.93 | 0.43 | 18.453 | <0.001 | 2.85 | 0.179 | 55.55 | <0.001 | ||
| Age | 0.014 | 0.003 | 0.071 | 4.446 | <0.001 | 0.061 | |||||
| Education | 0.118 | 0.036 | 0.049 | 3.299 | 0.001 | 0.09 | |||||
| Living environment | −0.232 | 0.062 | −0.055 | −3.763 | <0.001 | −0.066 | |||||
| Region | 0.382 | 0.096 | 0.058 | 3.958 | <0.001 | 0.083 | |||||
| SLSQ-L | 0.065 | 0.011 | 0.093 | 6.032 | <0.001 | 0.187 | |||||
| Sleep quality | 0.359 | 0.06 | 0.089 | 5.978 | <0.001 | 0.144 | |||||
| SSPQ-L | 0.061 | 0.005 | 0.194 | 12.36 | <0.001 | 0.237 | |||||
| Sitting time | −0.059 | 0.015 | −0.057 | −3.931 | <0.001 | −0.08 | |||||
| IPAQ score | <0.001 | <0.001 | 0.096 | 6.576 | <0.001 | 0.143 | |||||
| MedDiet awareness | 1.3 | 0.096 | 0.206 | 13.523 | <0.001 | 0.26 | |||||
| Barriers: Individual beliefs limitation (e.g., vegan and vegetarian) | −0.523 | 0.16 | −0.048 | −3.258 | 0.001 | −0.066 | |||||
| Barriers: Taste dislike | −0.547 | 0.119 | −0.067 | −4.595 | <0.001 | −0.087 | |||||
| Barriers: Low motivation | −0.377 | 0.123 | −0.045 | −3.075 | 0.002 | −0.087 | |||||
| Barriers: Price unaffordability | −0.387 | 0.105 | −0.055 | −3.694 | <0.001 | −0.013 | |||||
| Barriers: Time/effort-consuming | −0.345 | 0.11 | −0.047 | −3.143 | 0.002 | −0.054 | |||||
| Barriers: Low accessibility/availability of Mediterranean food | −0.333 | 0.136 | −0.036 | −2.439 | 0.015 | −0.019 | |||||
Disclaimer/Publisher’s Note: The statements, opinions and data contained in all publications are solely those of the individual author(s) and contributor(s) and not of MDPI and/or the editor(s). MDPI and/or the editor(s) disclaim responsibility for any injury to people or property resulting from any ideas, methods, instructions or products referred to in the content. |
© 2025 by the authors. Licensee MDPI, Basel, Switzerland. This article is an open access article distributed under the terms and conditions of the Creative Commons Attribution (CC BY) license (https://creativecommons.org/licenses/by/4.0/).
Share and Cite
Ammar, A.; Boujelbane, M.A.; Salem, A.; Trabelsi, K.; Bouaziz, B.; Kerkeni, M.; Masmoudi, L.; Heydenreich, J.; Schallhorn, C.; Müller, G.; et al. Exploring Determinants of Mediterranean Lifestyle Adherence: Findings from the Multinational MEDIET4ALL e-Survey Across Ten Mediterranean and Neighboring Countries. Nutrients 2025, 17, 2280. https://doi.org/10.3390/nu17142280
Ammar A, Boujelbane MA, Salem A, Trabelsi K, Bouaziz B, Kerkeni M, Masmoudi L, Heydenreich J, Schallhorn C, Müller G, et al. Exploring Determinants of Mediterranean Lifestyle Adherence: Findings from the Multinational MEDIET4ALL e-Survey Across Ten Mediterranean and Neighboring Countries. Nutrients. 2025; 17(14):2280. https://doi.org/10.3390/nu17142280
Chicago/Turabian StyleAmmar, Achraf, Mohamed Ali Boujelbane, Atef Salem, Khaled Trabelsi, Bassem Bouaziz, Mohamed Kerkeni, Liwa Masmoudi, Juliane Heydenreich, Christiana Schallhorn, Gabriel Müller, and et al. 2025. "Exploring Determinants of Mediterranean Lifestyle Adherence: Findings from the Multinational MEDIET4ALL e-Survey Across Ten Mediterranean and Neighboring Countries" Nutrients 17, no. 14: 2280. https://doi.org/10.3390/nu17142280
APA StyleAmmar, A., Boujelbane, M. A., Salem, A., Trabelsi, K., Bouaziz, B., Kerkeni, M., Masmoudi, L., Heydenreich, J., Schallhorn, C., Müller, G., Uyar, A. M., Ghazzawi, H. A., Amawi, A. T., Orhan, B. E., Grosso, G., Abdelkarim, O., Aly, M., Driss, T., El Abed, K., ... Schöllhorn, W. I. (2025). Exploring Determinants of Mediterranean Lifestyle Adherence: Findings from the Multinational MEDIET4ALL e-Survey Across Ten Mediterranean and Neighboring Countries. Nutrients, 17(14), 2280. https://doi.org/10.3390/nu17142280

