Association Between Dietary Betaine Intake and Dyslipidemia in Chinese Children and Adolescents: A Cross-Sectional Study
Abstract
1. Introduction
2. Methods
2.1. Study Design and Participants
2.2. Ascertainment of Dietary Data and Betaine Intake
2.3. Ascertainment of Dyslipidemia
2.4. Covariates
2.5. Statistical Analyses
3. Results
3.1. Characteristics of Participants
3.2. Association Between Dietary Betaine Intake and Dyslipidemia
3.3. Subgroup Analyses and Sensitivity Analyses
4. Discussion
5. Conclusions
Supplementary Materials
Author Contributions
Funding
Institutional Review Board Statement
Informed Consent Statement
Data Availability Statement
Acknowledgments
Conflicts of Interest
Abbreviations
References
- de Ferranti, S.D.; Steinberger, J.; Ameduri, R.; Baker, A.; Gooding, H.; Kelly, A.S.; Mietus-Snyder, M.; Mitsnefes, M.M.; Peterson, A.L.; St-Pierre, J.; et al. Cardiovascular Risk Reduction in High-Risk Pediatric Patients: A Scientific Statement From the American Heart Association. Circulation 2019, 139, e603–e634. [Google Scholar] [CrossRef]
- Expert Panel on Integrated Guidelines For Cardiovascular Health and Risk Reduction in Children and Adolescents; National Heart, Lung, and Blood Institute. Expert panel on integrated guidelines for cardiovascular health and risk reduction in children and adolescents: Summary report. Pediatrics 2011, 128 (Suppl. S5), S213–S256. [Google Scholar] [CrossRef] [PubMed]
- Falkner, B.; Gidding, S. Life-Course Implications of Pediatric Risk Factors for Cardiovascular Disease. Can. J. Cardiol. 2021, 37, 766–775. [Google Scholar] [CrossRef] [PubMed]
- Burlutskaya, A.V.; Tril, V.E.; Polischuk, L.V.; Pokrovskii, V.M. Dyslipidemia in pediatrician’s practice. Rev. Cardiovasc. Med. 2021, 22, 817–834. [Google Scholar] [CrossRef]
- Wang, Z.H.; Zou, Z.Y.; Yang, Y.D.; Wang, S.; Dong, Y.H.; Yang, Z.G.; Yang, Z.P.; Wang, X.J.; Li, Y.H.; Gao, D.; et al. The epidemiological characteristics and related factors of dyslipidemia among children and adolescents aged 6–17 years from 7 provinces in China, 2012. Zhonghua Yu Fang Yi Xue Za Zhi 2018, 52, 798–801. (In Chinese) [Google Scholar] [CrossRef]
- He, H.; Pan, L.; Du, J.; Liu, F.; Jin, Y.; Ma, J.; Wang, L.; Jia, P.; Hu, Z.; Shan, G. Prevalence of, and biochemical and anthropometric risk factors for, dyslipidemia in children and adolescents aged 7 to 18 years in China: A cross-sectional study. Am. J. Hum. Biol. 2019, 31, e23286. [Google Scholar] [CrossRef] [PubMed]
- Reisinger, C.; Nkeh-Chungag, B.N.; Fredriksen, P.M.; Goswami, N. The prevalence of pediatric metabolic syndrome-a critical look on the discrepancies between definitions and its clinical importance. Int. J. Obes. 2021, 45, 12–24. [Google Scholar] [CrossRef] [PubMed]
- Kavey, R.W. Combined Dyslipidemia in Children and Adolescents: A Proposed New Management Approach. Curr. Atheroscler. Rep. 2023, 25, 237–245. [Google Scholar] [CrossRef]
- Bamba, V. Update on Screening, Etiology, and Treatment of Dyslipidemia in Children. J. Clin. Endocrinol. Metab. 2014, 99, 3093–3102. [Google Scholar] [CrossRef]
- Dobrijević, D.; Pastor, K.; Nastić, N.; Özogul, F.; Krulj, J.; Kokić, B.; Bartkiene, E.; Rocha, J.M.; Kojić, J. Betaine as a Functional Ingredient: Metabolism, Health-Promoting Attributes, Food Sources, Applications and Analysis Methods. Molecules 2023, 28, 4824. [Google Scholar] [CrossRef]
- Zhao, G.; He, F.; Wu, C.; Li, P.; Li, N.; Deng, J.; Zhu, G.; Ren, W.; Peng, Y. Betaine in Inflammation: Mechanistic Aspects and Applications. Front. Immunol. 2018, 9, 1070. [Google Scholar] [CrossRef] [PubMed]
- McRae, M.P. Betaine supplementation decreases plasma homocysteine in healthy adult participants: A meta-analysis. J. Chiropr. Med. 2013, 12, 20–25. [Google Scholar] [CrossRef] [PubMed]
- Craig, S.A. Betaine in human nutrition. Am. J. Clin. Nutr. 2004, 80, 539–549. [Google Scholar] [CrossRef] [PubMed]
- Yang, Z.-J.; Huang, S.-Y.; Cheng, J.; Zeng, J.-W.; Wusiman, M.; Li, H.-B.; Zhu, H.-L. Betaine: A comprehensive review on dietary sources, health benefits, mechanisms of action, and application. Trends Food Sci. Technol. 2025, 159, 104993. [Google Scholar] [CrossRef]
- Yang, Z.; Asare, E.; Yang, Y.; Yang, J.J.; Yang, H.M.; Wang, Z.Y. Dietary supplementation of betaine promotes lipolysis by regulating fatty acid metabolism in geese. Poult. Sci. 2021, 100, 101460. [Google Scholar] [CrossRef]
- Madeira, M.S.; Rolo, E.A.; Lopes, P.A.; Ramos, D.A.; Alfaia, C.M.; Pires, V.M.; Martins, S.V.; Pinto, R.M.; Prates, J.A. Betaine and arginine supplementation of low protein diets improves plasma lipids but does not affect hepatic fatty acid composition and related gene expression profiling in pigs. J. Sci. Food Agric. 2018, 98, 598–608. [Google Scholar] [CrossRef]
- Alirezaei, M.; Jelodar, G.; Niknam, P.; Ghayemi, Z.; Nazifi, S. Betaine prevents ethanol-induced oxidative stress and reduces total homocysteine in the rat cerebellum. J. Physiol. Biochem. 2011, 67, 605–612. [Google Scholar] [CrossRef]
- Xu, L.; Huang, D.; Hu, Q.; Wu, J.; Wang, Y.; Feng, J. Betaine alleviates hepatic lipid accumulation via enhancing hepatic lipid export and fatty acid oxidation in rats fed with a high-fat diet. Br. J. Nutr. 2015, 113, 1835–1843. [Google Scholar] [CrossRef]
- Abdelmalek, M.F.; Sanderson, S.O.; Angulo, P.; Soldevila-Pico, C.; Liu, C.; Peter, J.; Keach, J.; Cave, M.; Chen, T.; McClain, C.J.; et al. Betaine for nonalcoholic fatty liver disease: Results of a randomized placebo-controlled trial. Hepatology 2009, 50, 1818–1826. [Google Scholar] [CrossRef]
- Schwab, U.; Törrönen, A.; Toppinen, L.; Alfthan, G.; Saarinen, M.; Aro, A.; Uusitupa, M. Betaine supplementation decreases plasma homocysteine concentrations but does not affect body weight, body composition, or resting energy expenditure in human subjects. Am. J. Clin. Nutr. 2002, 76, 961–967. [Google Scholar] [CrossRef]
- Olthof, M.R.; van Vliet, T.; Verhoef, P.; Zock, P.L.; Katan, M.B. Effect of homocysteine-lowering nutrients on blood lipids: Results from four randomised, placebo-controlled studies in healthy humans. PLoS Med. 2005, 2, e135. [Google Scholar] [CrossRef]
- Gao, X.; Wang, Y.; Randell, E.; Pedram, P.; Yi, Y.; Gulliver, W.; Sun, G. Higher Dietary Choline and Betaine Intakes Are Associated with Better Body Composition in the Adult Population of Newfoundland, Canada. PLoS ONE 2016, 11, e0155403. [Google Scholar] [CrossRef]
- Gao, X.; Randell, E.; Tian, Y.; Zhou, H.; Sun, G. Low serum choline and high serum betaine levels are associated with favorable components of metabolic syndrome in Newfoundland population. J. Diabetes Complicat. 2019, 33, 107398. [Google Scholar] [CrossRef]
- Golzarand, M.; Mirmiran, P.; Azizi, F. Association between dietary choline and betaine intake and 10.6-year cardiovascular disease in adults. Nutr. J. 2022, 21, 1. [Google Scholar] [CrossRef] [PubMed]
- Yu, D.; Zhao, L.; Zhang, J.; Yang, Z.; Yang, L.; Huang, J.; Fang, H.; Guo, Q.; Xu, X.; Ju, L.; et al. China Nutrition and Health Surveys (1982–2017). China CDC Wkly. 2021, 3, 193–195. [Google Scholar] [CrossRef] [PubMed]
- Liu, D.; Li, Z.H.; Shen, D.; Zhang, P.D.; Song, W.Q.; Zhang, W.T.; Huang, Q.M.; Chen, P.L.; Zhang, X.R.; Mao, C. Association of Sugar-Sweetened, Artificially Sweetened, and Unsweetened Coffee Consumption With All-Cause and Cause-Specific Mortality: A Large Prospective Cohort Study. Ann. Intern. Med. 2022, 175, 909–917. [Google Scholar] [CrossRef] [PubMed]
- Fung, T.T.; Stampfer, M.J.; Manson, J.E.; Rexrode, K.M.; Willett, W.C.; Hu, F.B. Prospective study of major dietary patterns and stroke risk in women. Stroke 2004, 35, 2014–2019. [Google Scholar] [CrossRef]
- Liu, D.; Ju, H.; Yang, Z.Y.; Zhang, Q.; Gao, J.F.; Gong, D.P.; Guo, D.D.; Luo, S.Q.; Zhao, W.H. Food Frequency Questionnaire for Chinese Children Aged 12-17 Years: Validity and Reliability. Biomed. Environ. Sci. 2019, 32, 486–495. [Google Scholar] [CrossRef]
- Liu, D.; Zhao, L.Y.; Yu, D.M.; Ju, L.H.; Zhang, J.; Wang, J.Z.; Zhao, W.H. Dietary Patterns and Association with Obesity of Children Aged 6–17 Years in Medium and Small Cities in China: Findings from the CNHS 2010–2012. Nutrients 2018, 11, 3. [Google Scholar] [CrossRef]
- Zhang, J.; Wang, H.; Wang, Y.; Xue, H.; Wang, Z.; Du, W.; Su, C.; Zhang, J.; Jiang, H.; Zhai, F.; et al. Dietary patterns and their associations with childhood obesity in China. Br. J. Nutr. 2015, 113, 1978–1984. [Google Scholar] [CrossRef]
- Yang, Y.X. Chinese Food Composition Table, Standard Edition, 6th ed.; Peking University Medical Press: Beijing, China, 2018. [Google Scholar]
- Patterson, K.B.S.; Williams, J.; Howe, J.; Holden, J. USDA Database for the Choline Content of Common Foods. 2008. Available online: http://www.ars.usda.gov/SP2UserFiles/Place/80400525/Data/Choline/Choln02.pdf (accessed on 16 May 2025).
- Zeisel, S.H.; Mar, M.H.; Howe, J.C.; Holden, J.M. Concentrations of choline-containing compounds and betaine in common foods. J. Nutr. 2003, 133, 1302–1307. [Google Scholar] [CrossRef]
- Xia, P.F.; Zhang, Y.B.; Liu, G.; Pan, A. The application of energy adjustment models in nutritional epidemiology. Zhonghua Yu Fang. Yi Xue Za Zhi 2020, 54, 228–232. (In Chinese) [Google Scholar] [CrossRef] [PubMed]
- Subspecialty Group of Rare Diseases, the Society of Pediatrics, Chinese Medical Association; Subspecialty Group of Cardiology, the Society of Pediatrics, Chinese Medical Association; Subspecialty Group of Child Health Care, the Society of Pediatrics, Chinese Medical Association; Subspecialty Group of Endocrinological, Hereditary and Metabolic Diseases, the Society of Pediatrics, Chinese Medical Association; Editorial Board, Chinese Journal of Pediatrics. Expert consensus on diagnosis and management of dyslipidemia in children. Zhonghua Er Ke Za Zhi 2022, 60, 633–639. (In Chinese) [Google Scholar] [CrossRef]
- Nordestgaard, B.G.; Varbo, A. Triglycerides and cardiovascular disease. Lancet 2014, 384, 626–635. [Google Scholar] [CrossRef]
- Stürzebecher, P.E.; Katzmann, J.L.; Laufs, U. What is ‘remnant cholesterol’? Eur. Heart J. 2023, 44, 1446–1448. [Google Scholar] [CrossRef]
- Composing and Editorial Board of Physical Activity Guidelines for Chinese. Physical Activity Guidelines for Chinese (2021). Zhonghua Yu Fang Yi Xue Za Zhi 2022, 56, 7–8. (In Chinese) [Google Scholar] [CrossRef]
- National Health Commission of the People’s Republic of China. Screening for Overweight and Obesity Among School-Age Children and Adolescents. Available online: http://www.nhc.gov.cn/ewebeditor/uploadfile/2018/03/20180330094031236.pdf (accessed on 16 May 2025).
- Buuren, S.v.; Groothuis-Oudshoorn, K. mice: Multivariate Imputation by Chained Equations in R. J. Stat. Softw. 2011, 45, 1–67. [Google Scholar] [CrossRef]
- Ding, W.; Dong, H.; Mi, J. Prevalence of dyslipidemia in Chinese children and adolescents: A Meta-analysis. Zhonghua Liu Xing Bing Xue Za Zhi 2015, 36, 71–77. (In Chinese) [Google Scholar] [PubMed]
- Bingül, İ.; Başaran-Küçükgergin, C.; Aydın, A.F.; Çoban, J.; Doğan-Ekici, I.; Doğru-Abbasoğlu, S.; Uysal, M. Betaine treatment decreased oxidative stress, inflammation, and stellate cell activation in rats with alcoholic liver fibrosis. Environ. Toxicol. Pharmacol. 2016, 45, 170–178. [Google Scholar] [CrossRef]
- Ejaz, A.; Martinez-Guino, L.; Goldfine, A.B.; Ribas-Aulinas, F.; De Nigris, V.; Ribó, S.; Gonzalez-Franquesa, A.; Garcia-Roves, P.M.; Li, E.; Dreyfuss, J.M.; et al. Dietary Betaine Supplementation Increases Fgf21 Levels to Improve Glucose Homeostasis and Reduce Hepatic Lipid Accumulation in Mice. Diabetes 2016, 65, 902–912. [Google Scholar] [CrossRef]
- Vukićević, D.; Rovčanin, B.; Gopčević, K.; Stanković, S.; Vučević, D.; Jorgačević, B.; Mladenović, D.; Vesković, M.; Samardžić, J.; Ješić, R.; et al. The Role of MIF in Hepatic Function, Oxidative Stress, and Inflammation in Thioacetamide-induced Liver Injury in Mice: Protective Effects of Betaine. Curr. Med. Chem. 2021, 28, 3249–3268. [Google Scholar] [CrossRef] [PubMed]
- Atkinson, W.; Slow, S.; Elmslie, J.; Lever, M.; Chambers, S.T.; George, P.M. Dietary and supplementary betaine: Effects on betaine and homocysteine concentrations in males. Nutr. Metab. Cardiovasc. Dis. 2009, 19, 767–773. [Google Scholar] [CrossRef] [PubMed]
- Díez-Ricote, L.; San-Cristobal, R.; Concejo, M.J.; Martínez-González, M.; Corella, D.; Salas-Salvadó, J.; Goday, A.; Martínez, J.A.; Alonso-Gómez, Á.M.; Wärnberg, J.; et al. One-year longitudinal association between changes in dietary choline or betaine intake and cardiometabolic variables in the PREvención con DIeta MEDiterránea-Plus (PREDIMED-Plus) trial. Am. J. Clin. Nutr. 2022, 116, 1565–1579. [Google Scholar] [CrossRef]
- Rajaie, S.; Esmaillzadeh, A. Dietary choline and betaine intakes and risk of cardiovascular diseases: Review of epidemiological evidence. ARYA Atheroscler. 2011, 7, 78–86. [Google Scholar] [PubMed]
- Sparks, J.D.; Collins, H.L.; Chirieac, D.V.; Cianci, J.; Jokinen, J.; Sowden, M.P.; Galloway, C.A.; Sparks, C.E. Hepatic very-low-density lipoprotein and apolipoprotein B production are increased following in vivo induction of betaine-homocysteine S-methyltransferase. Biochem. J. 2006, 395, 363–371. [Google Scholar] [CrossRef]
- Kharbanda, K.K.; Todero, S.L.; Ward, B.W.; Cannella, J.J., 3rd; Tuma, D.J. Betaine administration corrects ethanol-induced defective VLDL secretion. Mol. Cell Biochem. 2009, 327, 75–78. [Google Scholar] [CrossRef]
- Zhang, Y.; Pletcher, M.J.; Vittinghoff, E.; Clemons, A.M.; Jacobs, D.R., Jr.; Allen, N.B.; Alonso, A.; Bellows, B.K.; Oelsner, E.C.; Zeki Al Hazzouri, A.; et al. Association Between Cumulative Low-Density Lipoprotein Cholesterol Exposure During Young Adulthood and Middle Age and Risk of Cardiovascular Events. JAMA Cardiol. 2021, 6, 1406–1413. [Google Scholar] [CrossRef]
- Ference, B.A.; Ginsberg, H.N.; Graham, I.; Ray, K.K.; Packard, C.J.; Bruckert, E.; Hegele, R.A.; Krauss, R.M.; Raal, F.J.; Schunkert, H.; et al. Low-density lipoproteins cause atherosclerotic cardiovascular disease. 1. Evidence from genetic, epidemiologic, and clinical studies. A consensus statement from the European Atherosclerosis Society Consensus Panel. Eur. Heart J. 2017, 38, 2459–2472. [Google Scholar] [CrossRef]
- Borén, J.; Chapman, M.J.; Krauss, R.M.; Packard, C.J.; Bentzon, J.F.; Binder, C.J.; Daemen, M.J.; Demer, L.L.; Hegele, R.A.; Nicholls, S.J.; et al. Low-density lipoproteins cause atherosclerotic cardiovascular disease: Pathophysiological, genetic, and therapeutic insights: A consensus statement from the European Atherosclerosis Society Consensus Panel. Eur. Heart J. 2020, 41, 2313–2330. [Google Scholar] [CrossRef]
- Berenson, G.S.; Srinivasan, S.R.; Bao, W.; Newman, W.P., 3rd; Tracy, R.E.; Wattigney, W.A. Association between multiple cardiovascular risk factors and atherosclerosis in children and young adults. The Bogalusa Heart Study. N. Engl. J. Med. 1998, 338, 1650–1656. [Google Scholar] [CrossRef]
- McGill, H.C., Jr.; McMahan, C.A.; Gidding, S.S. Preventing heart disease in the 21st century: Implications of the Pathobiological Determinants of Atherosclerosis in Youth (PDAY) study. Circulation 2008, 117, 1216–1227. [Google Scholar] [CrossRef]
- Ueland, P.M. Choline and betaine in health and disease. J. Inherit. Metab. Dis. 2011, 34, 3–15. [Google Scholar] [CrossRef] [PubMed]
- Jafari, A.; Jalilpiran, Y.; Suitor, K.; Bellissimo, N.; Azadbakht, L. The association of dietary choline and betaine and anthropometric measurements among Iranian children: A cross-sectional study. BMC Pediatr. 2021, 21, 213. [Google Scholar] [CrossRef]
- Bruce, S.J.; Guy, P.A.; Rezzi, S.; Ross, A.B. Quantitative measurement of betaine and free choline in plasma, cereals and cereal products by isotope dilution LC-MS/MS. J. Agric. Food Chem. 2010, 58, 2055–2061. [Google Scholar] [CrossRef] [PubMed]
- Ross, A.B.; Zangger, A.; Guiraud, S.P. Cereal foods are the major source of betaine in the Western diet--analysis of betaine and free choline in cereal foods and updated assessments of betaine intake. Food Chem. 2014, 145, 859–865. [Google Scholar] [CrossRef]
- Filipčev, B.; Kojić, J.; Krulj, J.; Bodroža-Solarov, M.; Ilić, N. Betaine in Cereal Grains and Grain-Based Products. Foods 2018, 7, 49. [Google Scholar] [CrossRef] [PubMed]
- Kuerbanjiang, M.; Yu, W.; Shang, T.; Liu, Y.; Muheyati, D.; Lv, M.X.; Jielili, M.; Han, J. Association between dietary betaine intake and overweight or obesity. Sci. Rep. 2024, 14, 32031. [Google Scholar] [CrossRef]
- Pei, Q.; Chen, C.; Bai, H.; Xi, Y.; Zhang, L.; Li, H.; Liu, H.; Hao, Y. Trends and Characteristics of the Whole-Grain Diet. Am. J. Chin. Med. 2024, 52, 1969–1987. [Google Scholar] [CrossRef]
- Ross, A.B.; Bruce, S.J.; Blondel-Lubrano, A.; Oguey-Araymon, S.; Beaumont, M.; Bourgeois, A.; Nielsen-Moennoz, C.; Vigo, M.; Fay, L.B.; Kochhar, S.; et al. A whole-grain cereal-rich diet increases plasma betaine, and tends to decrease total and LDL-cholesterol compared with a refined-grain diet in healthy subjects. Br. J. Nutr. 2011, 105, 1492–1502. [Google Scholar] [CrossRef]
- Ahnen, R.T.; Jonnalagadda, S.S.; Slavin, J.L. Role of plant protein in nutrition, wellness, and health. Nutr. Rev. 2019, 77, 735–747. [Google Scholar] [CrossRef]



| Characteristics | Overall | Betaine Intake by Quartiles, mg/d Median (IQR): 56.35 (25.77, 207.66) | p-Value | |||
|---|---|---|---|---|---|---|
| Q1 12.93 (5.53, 20.89) | Q2 39.37 (32.06, 45.20) | Q3 129.26 (77.84, 145.61) | Q4 266.90 (256.20, 386.40) | |||
| Participants, No. | 11,452 | 2863 | 2863 | 2863 | 2863 | |
| Female, No. (%) | 7436 (64.9) | 1853 (64.7) | 1828(63.8) | 1895 (66.2) | 1860(65.0) | 0.318 |
| Age, mean (SD), years | 12.4 (3.2) | 11.9 (3.2) | 12.1 (3.2) | 12.4 (3.2) | 13.0 (3.1) | <0.001 |
| Residence, No. (%) | <0.001 | |||||
| Urban | 3880 (37.0) | 703 (26.8) | 974(37.2) | 1068 (40.7) | 1135 (43.2) | |
| Rural | 6610 (63.0) | 1916 (73.2) | 1646 (62.8) | 1554 (59.3) | 1494 (56.8) | |
| Nationality, No. (%) | <0.001 | |||||
| Han | 10,240 (90.0) | 2385 (83.7) | 2550 (89.6) | 2645 (93.1) | 2660 (93.8) | |
| Others | 1134 (10.0) | 466 (16.3) | 295 (10.4) | 196 (6.9) | 177 (6.2) | |
| Educational level of the primary caregiver, No. (%) | <0.001 | |||||
| Illiteracy | 674 (5.9) | 234 (8.2) | 156 (5.5) | 159 (5.6) | 125 (4.4) | |
| Primary school | 2928 (25.8) | 906 (31.8) | 750 (26.4) | 641 (22.6) | 631 (22.3) | |
| Junior high school | 4228 (37.2) | 1044 (36.6) | 990 (34.9) | 1098 (38.7) | 1096 (38.7) | |
| High school and above | 3533 (31.1) | 666 (23.4) | 943 (33.2) | 941 (33.1) | 983 (34.7) | |
| Active physical activity, No. (%) | <0.001 | |||||
| ≤60 min/d | 7993 (76.2) | 1857 (73.7) | 1966 (75.5) | 2059 (76.9) | 2111 (78.5) | |
| >60 min/d | 2497 (23.8) | 663 (26.3) | 637 (24.5) | 620 (23.1) | 577 (21.5) | |
| Sleep duration, No. (%) | <0.001 | |||||
| <8 h/d | 1652 (15.8) | 317 (12.6) | 378 (14.5) | 458 (17.1) | 499 (18.6) | |
| 8–9 h/d | 2654 (25.3) | 571 (22.7) | 662 (25.4) | 648 (24.2) | 773 (28.7) | |
| ≥9 h/d | 6182 (58.9) | 1632 (64.8) | 1564 (60.1) | 1569 (58.7) | 1417 (52.7) | |
| Smoking or exposure to second-hand smoke, No. (%) | <0.001 | |||||
| Every day | 1112 (10.6) | 309 (12.3) | 303 (11.6) | 243 (9.1) | 257 (9.6) | |
| 4–6 days/week | 409 (3.9) | 111 (4.4) | 100 (3.8) | 108 (4.0) | 90 (3.3) | |
| 1–3 days/week | 1337 (12.7) | 316 (12.5) | 356 (13.7) | 353 (13.2) | 312 (11.6) | |
| <1 day/week | 1648 (15.7) | 333 (13.2) | 433 (16.6) | 436 (16.3) | 446 (16.6) | |
| Never | 5988 (57.1) | 1451 (57.6) | 1412 (54.2) | 1539 (57.4) | 1586 (58.9) | |
| Alcohol consumption, No. (%) | 0.283 | |||||
| Current | 477 (4.5) | 114 (4.5) | 106 (4.1) | 116 (4.3) | 141 (5.2) | |
| Former | 1100 (10.5) | 243 (9.6) | 276 (10.6) | 295 (11.0) | 286 (10.6) | |
| Never | 8918 (85.0) | 2163 (85.8) | 2222 (85.3) | 2269 (84.7) | 2264 (84.1) | |
| Total energy, mean (SD), kcal/d | 1952.3 (1314.9) | 1562.2 (964.6) | 1917.3 (1243.5) | 2063.3 (1505.6) | 2266.6 (1381.9) | <0.001 |
| Intake of animal-source foods, mean (SD), g/d | ||||||
| Red meat | 62.4 (68.7) | 52.3 (55.8) | 64.4 (65.4) | 68.3 (78.4) | 64.7 (72.1) | <0.001 |
| Poultry | 16.1 (36.9) | 9.2 (16.0) | 17.3 (32.2) | 20.5 (49.8) | 17.2 (40.2) | <0.001 |
| Fishery products | 22.8 (52.0) | 13.3 (27.0) | 24.1 (42.3) | 26.4 (61.7) | 27.4 (66.2) | <0.001 |
| Eggs | 28.4 (37.1) | 23.7 (31.0) | 26.3 (33.6) | 30.8 (41.0) | 32.9 (41.0) | <0.001 |
| Dairy products | 137.2 (193.1) | 99.3 (131.1) | 151.2 (195.9) | 156.6 (233.3) | 141.7 (192.9) | <0.001 |
| Intake of plant-source foods, mean (SD), g/d | ||||||
| Cereals | 12.1 (34.5) | 6.4 (21.5) | 11.7 (31.5) | 15.4 (38.8) | 15.0 (41.8) | <0.001 |
| Tuber crops and potatoes | 29.8 (60.0) | 24.1 (56.1) | 33.7 (64.8) | 31.1 (57.9) | 30.2 (60.4) | <0.001 |
| Vegetable | 140.6 (166.7) | 112.5 (100.9) | 140.3 (152.0) | 144.2 (176.6) | 165.6 (212.8) | <0.001 |
| Fruits | 105.3 (141.2) | 88.8 (115.8) | 100.0 (133.7) | 113.2 (172.9) | 119.2 (134.5) | <0.001 |
| Legumes | 7.0 (15.2) | 5.3 (11.1) | 8.2 (17.8) | 7.5 (16.2) | 7.2 (14.8) | <0.001 |
| Nuts and peanuts | 28.3 (72.9) | 19.3 (54.8) | 30.9 (74.5) | 31.7 (80.6) | 31.3 (78.0) | <0.001 |
| Menstruation or spermatorrhea, No. (%) | 4181 (36.5) | 895 (31.3) | 963 (33.6) | 1068 (37.3) | 1255 (43.8) | <0.001 |
| Heart rate, mean (SD), bpm | 88.1 (13.4) | 88.5 (13.2) | 88.0 (13.2) | 88.1 (13.9) | 87.9 (13.2) | 0.448 |
| Systolic blood pressure, mean (SD), mmHg | 112.1 (11.9) | 110.6 (11.3) | 110.8 (11.2) | 112.3 (12.0) | 114.9 (12.4) | <0.001 |
| Diastolic blood pressure, mean (SD), mmHg | 66.3 (8.6) | 65.4 (8.5) | 65.4 (8.4) | 66.3 (8.3) | 68.0 (8.9) | <0.001 |
| BMI, mean (SD), kg/m2 | 18.7 (4.6) | 18.1 (4.1) | 18.4 (4.3) | 18.8 (4.4) | 19.5 (5.4) | <0.001 |
| Normal, No. (%) | 9374 (81.9) | 2419 (84.6) | 2367 (82.7) | 2335 (81.6) | 2253 (78.7) | |
| Overweight, No. (%) | 1179 (10.3) | 260 (9.1) | 295 (10.3) | 295 (10.3) | 329 (11.5) | |
| Obesity, No. (%) | 894 (7.8) | 181 (6.3) | 201 (7.0) | 232 (8.1) | 280 (9.8) | |
| Waist circumference, mean (SD), cm | 63.7 (11.1) | 61.9 (10.9) | 63.0 (10.8) | 64.0 (11.1) | 65.9 (11.4) | <0.001 |
| Serum biomarkers, mean (SD) | ||||||
| Total protein, g/L | 76.2 (5.1) | 75.9 (5.0) | 76.0 (5.1) | 76.0 (5.2) | 76.7 (5.1) | <0.001 |
| Albumin, g/L | 49.3 (3.0) | 49.1 (3.0) | 49.1 (3.0) | 49.3 (3.0) | 49.6 (3.0) | <0.001 |
| Fasting blood glucose, mmol/L | 5.15 (0.58) | 5.13 (0.62) | 5.17 (0.61) | 5.15 (0.54) | 5.17 (0.56) | 0.016 |
| TC, mmol/L | 4.01 (0.80) | 4.04 (0.80) | 4.05 (0.86) | 4.01 (0.77) | 3.96 (0.76) | <0.001 |
| TG, mmol/L | 0.92 (0.60) | 0.92 (0.42) | 0.91 (0.39) | 0.93 (0.96) | 0.94 (0.41) | 0.299 |
| HDL-C, mmol/L | 1.46 (0.32) | 1.45 (0.31) | 1.46 (0.32) | 1.48 (0.32) | 1.48 (0.33) | 0.001 |
| LDL-C, mmol/L | 2.15 (0.64) | 2.17 (0.62) | 2.17 (0.67) | 2.13 (0.63) | 2.12 (0.63) | 0.007 |
| Non-HDL-C, mmol/L | 2.55 (0.73) | 2.59 (0.73) | 2.59 (0.79) | 2.53 (0.70) | 2.49 (0.70) | <0.001 |
| RC, mmol/L | 0.40 (0.31) | 0.42 (0.30) | 0.42 (0.37) | 0.40 (0.28) | 0.36 (0.26) | <0.001 |
| Dyslipidemia, No. (%) | 2577 (22.5) | 683 (23.9) | 669 (23.4) | 631 (22.0) | 594 (20.7) | 0.022 |
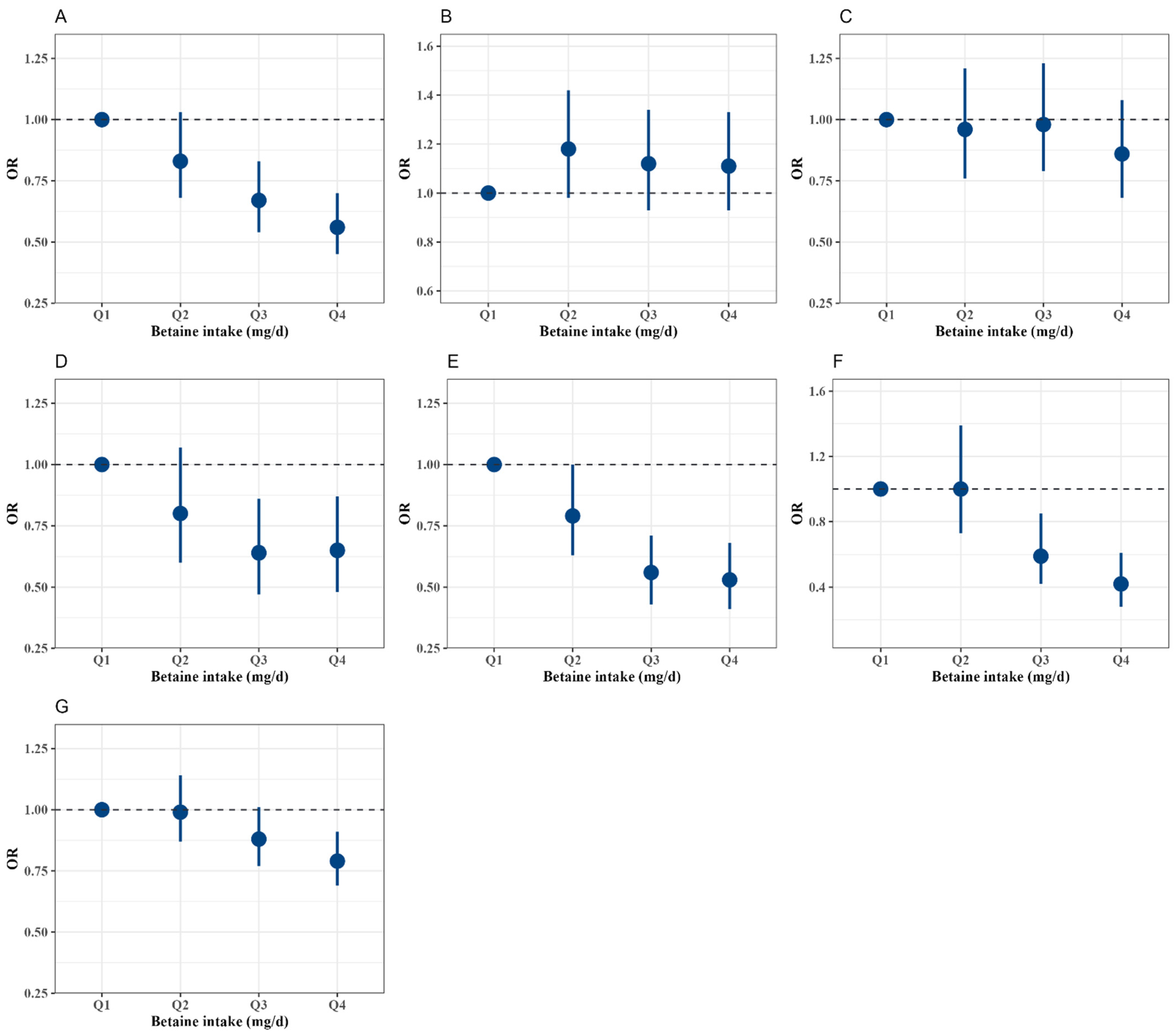
| Variables | Residual Energy-Adjusted Betaine Intake by Quartiles * | Increments per 1 Quartile * | ptrend | |||
|---|---|---|---|---|---|---|
| Q1 | Q2 * | Q3 * | Q4 * | |||
| High TC | ||||||
| Cases/N | 239/2863 | 251/2863 | 198/2863 | 162/2863 | ||
| Model 1 | 1.00 (Ref.) | 0.97 (0.80, 1.19) | 0.79 (0.64, 0.97) | 0.69 (0.56, 0.86) | 0.88 (0.82, 0.94) | <0.001 |
| Model 2 | 1.00 (Ref.) | 0.83 (0.68, 1.03) | 0.67 (0.54, 0.83) | 0.56 (0.45, 0.70) | 0.82 (0.77, 0.88) | <0.001 |
| High TG | ||||||
| Cases/N | 278/2863 | 358/2863 | 349/2863 | 347/2863 | ||
| Model 1 | 1.00 (Ref.) | 1.21 (1.01, 1.44) | 1.21 (1.02, 1.44) | 1.28 (1.08, 1.52) | 1.07 (1.02, 1.13) | 0.008 |
| Model 2 | 1.00 (Ref.) | 1.18 (0.98, 1.42) | 1.12 (0.93, 1.34) | 1.11 (0.93, 1.33) | 1.02 (0.97, 1.08) | 0.459 |
| Low HDL-C | ||||||
| Cases/N | 212/2863 | 164/2863 | 178/2863 | 159/2863 | ||
| Model 1 | 1.00 (Ref.) | 0.86 (0.69, 1.08) | 0.90 (0.73, 1.12) | 0.75 (0.60, 0.93) | 0.92 (0.86, 0.99) | 0.018 |
| Model 2 | 1.00 (Ref.) | 0.96 (0.76, 1.21) | 0.98 (0.79, 1.23) | 0.86 (0.68, 1.08) | 0.96 (0.89, 1.03) | 0.255 |
| High LDL-C | ||||||
| Cases/N | 117/2863 | 117/2863 | 95/2863 | 98/2863 | ||
| Model 1 | 1.00 (Ref.) | 0.92 (0.69, 1.22) | 0.77 (0.58, 1.03) | 0.86 (0.65, 1.13) | 0.92 (0.86, 0.99) | 0.018 |
| Model 2 | 1.00 (Ref.) | 0.80 (0.60, 1.07) | 0.64 (0.47, 0.86) | 0.65 (0.48, 0.87) | 0.86 (0.78, 0.94) | 0.001 |
| High non-HDL-C | ||||||
| Cases/N | 196/2863 | 187/2863 | 133/2863 | 128/2863 | ||
| Model 1 | 1.00 (Ref.) | 0.91 (0.73, 1.14) | 0.66 (0.52, 0.83) | 0.67 (0.53, 0.85) | 0.86 (0.79, 0.92) | <0.001 |
| Model 2 | 1.00 (Ref.) | 0.79 (0.63, 1.00) | 0.56 (0.43, 0.71) | 0.53 (0.41, 0.68) | 0.79 (0.73, 0.86) | <0.001 |
| High RC | ||||||
| Cases/N | 88/2863 | 99/2863 | 59/2863 | 40/2863 | ||
| Model 1 | 1.00 (Ref.) | 1.06 (0.77, 1.45) | 0.64 (0.45, 0.90) | 0.45 (0.30, 0.65) | 0.76 (0.68, 0.84) | <0.001 |
| Model 2 | 1.00 (Ref.) | 1.00 (0.73, 1.39) | 0.59 (0.42, 0.85) | 0.42 (0.28, 0.61) | 0.74 (0.65, 0.83) | <0.001 |
| Dyslipidemia | ||||||
| Cases/N | 664/2863 | 693/2863 | 636/2863 | 584/2863 | ||
| Model 1 | 1.00 (Ref.) | 1.02 (0.89, 1.16) | 0.93 (0.82, 1.06) | 0.88 (0.77, 1.00) | 0.95 (0.92, 0.99) | 0.018 |
| Model 2 | 1.00 (Ref.) | 0.99 (0.87, 1.14) | 0.88 (0.77, 1.01) | 0.79 (0.69, 0.91) | 0.92 (0.88, 0.96) | <0.001 |
| Variables | Residual Energy-Adjusted Betaine Intake from Animal-Source Foods by Quartiles | Increments per 1 Quartile | ptrend | |||
|---|---|---|---|---|---|---|
| Q1 | Q2 | Q3 | Q4 | |||
| High TC | ||||||
| Cases/N | 167/2863 | 213/2863 | 238/2863 | 232/2863 | ||
| OR (95% CIs) | 1.00 (Ref.) | 1.17 (0.94, 1.46) | 1.23 (0.99, 1.53) | 1.16 (0.92, 1.46) | 1.05 (0.98, 1.13) | 0.187 |
| High TG | ||||||
| Cases/N | 336/2863 | 352/2863 | 309/2863 | 335/2863 | ||
| OR (95% CIs) | 1.00 (Ref.) | 0.96 (0.81, 1.14) | 0.85 (0.71, 1.01) | 0.98 (0.81, 1.19) | 0.98 (0.92, 1.04) | 0.484 |
| Low HDL-C | ||||||
| Cases/N | 208/2863 | 184/2863 | 168/2863 | 153/2863 | ||
| OR (95% CIs) | 1.00 (Ref.) | 0.91 (0.73, 1.13) | 0.80 (0.64, 1.01) | 0.72 (0.56, 0.93) | 0.90 (0.83, 0.97) | 0.007 |
| High LDL-C | ||||||
| Cases/N | 86/2863 | 106/2863 | 127/2863 | 108/2863 | ||
| OR (95% CIs) | 1.00 (Ref.) | 1.13 (0.83, 1.53) | 1.31 (0.98, 1.76) | 1.09 (0.79, 1.51) | 1.04 (0.94, 1.15) | 0.398 |
| High non-HDL-C | ||||||
| Cases/N | 139/2863 | 158/2863 | 180/2863 | 167/2863 | ||
| OR (95% CIs) | 1.00 (Ref.) | 0.98 (0.77, 1.26) | 1.07 (0.84, 1.37) | 0.98 (0.75, 1.27) | 1.00 (0.92, 1.09) | 0.925 |
| High RC | ||||||
| Cases/N | 70/2863 | 80/2863 | 76/2863 | 60/2863 | ||
| OR (95% CIs) | 1.00 (Ref.) | 1.05 (0.75, 1.48) | 0.99 (0.70, 1.40) | 0.69 (0.46, 1.02) | 0.90 (0.80, 1.01) | 0.083 |
| Dyslipidemia | ||||||
| Cases/N | 628/2863 | 662/2863 | 643/2863 | 644/2863 | ||
| OR (95% CIs) | 1.00 (Ref.) | 1.01 (0.89, 1.16) | 0.97 (0.85, 1.11) | 0.97 (0.84, 1.12) | 0.99 (0.94, 1.03) | 0.552 |
| Variables | Residual Energy-Adjusted Betaine Intake from Plant-Source Foods by Quartiles | Increments per 1 Quartile | ptrend | |||
|---|---|---|---|---|---|---|
| Q1 | Q2 | Q3 | Q4 | |||
| High TC | ||||||
| Cases/N | 230/2863 | 281/2863 | 179/2863 | 160/2863 | ||
| OR (95% CIs) | 1.00 (Ref.) | 1.15 (0.94, 1.41) | 0.70 (0.56, 0.86) | 0.65 (0.52, 0.82) | 0.84 (0.78, 0.90) | <0.001 |
| High TG | ||||||
| Cases/N | 313/2863 | 336/2863 | 340/2863 | 343/2863 | ||
| OR (95% CIs) | 1.00 (Ref.) | 0.96 (0.81, 1.15) | 0.94 (0.79, 1.12) | 0.99 (0.83, 1.18) | 0.99 (0.94, 1.05) | 0.849 |
| Low HDL-C | ||||||
| Cases/N | 184/2863 | 191/2863 | 178/2863 | 160/2863 | ||
| OR (95% CIs) | 1.00 (Ref.) | 1.23 (0.97, 1.54) | 1.16 (0.92, 1.46) | 0.99 (0.78, 1.25) | 0.99 (0.92, 1.06) | 0.775 |
| High LDL-C | ||||||
| Cases/N | 121/2863 | 123/2863 | 89/2863 | 94/2863 | ||
| OR (95% CIs) | 1.00 (Ref.) | 0.91 (0.69, 1.19) | 0.62 (0.46, 0.83) | 0.66 (0.49, 0.89) | 0.85 (0.77, 0.93) | <0.001 |
| High non-HDL-C | ||||||
| Cases/N | 184/2863 | 212/2863 | 123/2863 | 125/2863 | ||
| OR (95% CIs) | 1.00 (Ref.) | 1.10 (0.88, 1.37) | 0.60 (0.47, 0.7) | 0.63 (0.49, 0.80) | 0.82 (0.75, 0.88) | <0.001 |
| High RC | ||||||
| Cases/N | 86/2863 | 101/2863 | 55/2863 | 44/2863 | ||
| OR (95% CIs) | 1.00 (Ref.) | 1.12 (0.82, 1.53) | 0.59 (0.41, 0.85) | 0.50 (0.34, 0.73) | 0.77 (0.68, 0.86) | <0.001 |
| Dyslipidemia | ||||||
| Cases/N | 648/2863 | 727/2863 | 617/2863 | 585/2863 | ||
| OR (95% CIs) | 1.00 (Ref.) | 1.12 (0.98, 1.28) | 0.90 (0.78, 1.02) | 0.86 (0.75, 0.98) | 0.93 (0.89, 0.97) | 0.001 |
Disclaimer/Publisher’s Note: The statements, opinions and data contained in all publications are solely those of the individual author(s) and contributor(s) and not of MDPI and/or the editor(s). MDPI and/or the editor(s) disclaim responsibility for any injury to people or property resulting from any ideas, methods, instructions or products referred to in the content. |
© 2025 by the authors. Licensee MDPI, Basel, Switzerland. This article is an open access article distributed under the terms and conditions of the Creative Commons Attribution (CC BY) license (https://creativecommons.org/licenses/by/4.0/).
Share and Cite
Chen, P.; Xu, Z.; Li, C.; Yu, L.; Zhu, Q.; Li, Z.; Liu, T.; Liu, D.; Mao, C. Association Between Dietary Betaine Intake and Dyslipidemia in Chinese Children and Adolescents: A Cross-Sectional Study. Nutrients 2025, 17, 1742. https://doi.org/10.3390/nu17101742
Chen P, Xu Z, Li C, Yu L, Zhu Q, Li Z, Liu T, Liu D, Mao C. Association Between Dietary Betaine Intake and Dyslipidemia in Chinese Children and Adolescents: A Cross-Sectional Study. Nutrients. 2025; 17(10):1742. https://doi.org/10.3390/nu17101742
Chicago/Turabian StyleChen, Peiliang, Zhitong Xu, Chengping Li, Lianlong Yu, Qianrang Zhu, Zhihao Li, Tao Liu, Dan Liu, and Chen Mao. 2025. "Association Between Dietary Betaine Intake and Dyslipidemia in Chinese Children and Adolescents: A Cross-Sectional Study" Nutrients 17, no. 10: 1742. https://doi.org/10.3390/nu17101742
APA StyleChen, P., Xu, Z., Li, C., Yu, L., Zhu, Q., Li, Z., Liu, T., Liu, D., & Mao, C. (2025). Association Between Dietary Betaine Intake and Dyslipidemia in Chinese Children and Adolescents: A Cross-Sectional Study. Nutrients, 17(10), 1742. https://doi.org/10.3390/nu17101742

