Effect of Sugar- and Polyphenol-Rich, Diluted Cloudy Apple Juice on the Intestinal Barrier after Moderate Endurance Exercise and in Ultra-Marathon Runners
Abstract
1. Introduction
2. Methods
2.1. Participants
2.1.1. Study A
2.1.2. Study B
2.2. Study Design
2.2.1. Study A
2.2.2. Study B
2.3. Study Beverages
2.3.1. Density and Brix
2.3.2. Total Acidity
2.3.3. Determination of the Mineral Content Using ICP-OES (Optical Emission Spectrometry with Inductively Coupled Plasma)
2.3.4. Enzymatic Determination of the Sorbitol Content
2.3.5. The Sugars Present in the Juice Were Characterized and Quantified Using HPLC-RID (High-Performance Liquid Chromatography with Refractive Index Detector)
2.3.6. Total Phenol Content, Determined with Folin–Ciocalteu
2.4. Blood Analysis
2.5. Statistical Analysis
3. Results
3.1. Study A
3.1.1. Effects of One-Hour Running Load on CK, Lactate, and HR
3.1.2. Effects of One-Hour Moderate Running Load on Endotoxin, i-FABP, and CD14
3.1.3. Effects of Study Beverages on Time-Dependent Change in Serum Concentrations of Bacterial Endotoxin as Well as in i-FABPIL-6 and CD14 Protein in Serum after Run
3.2. Study B
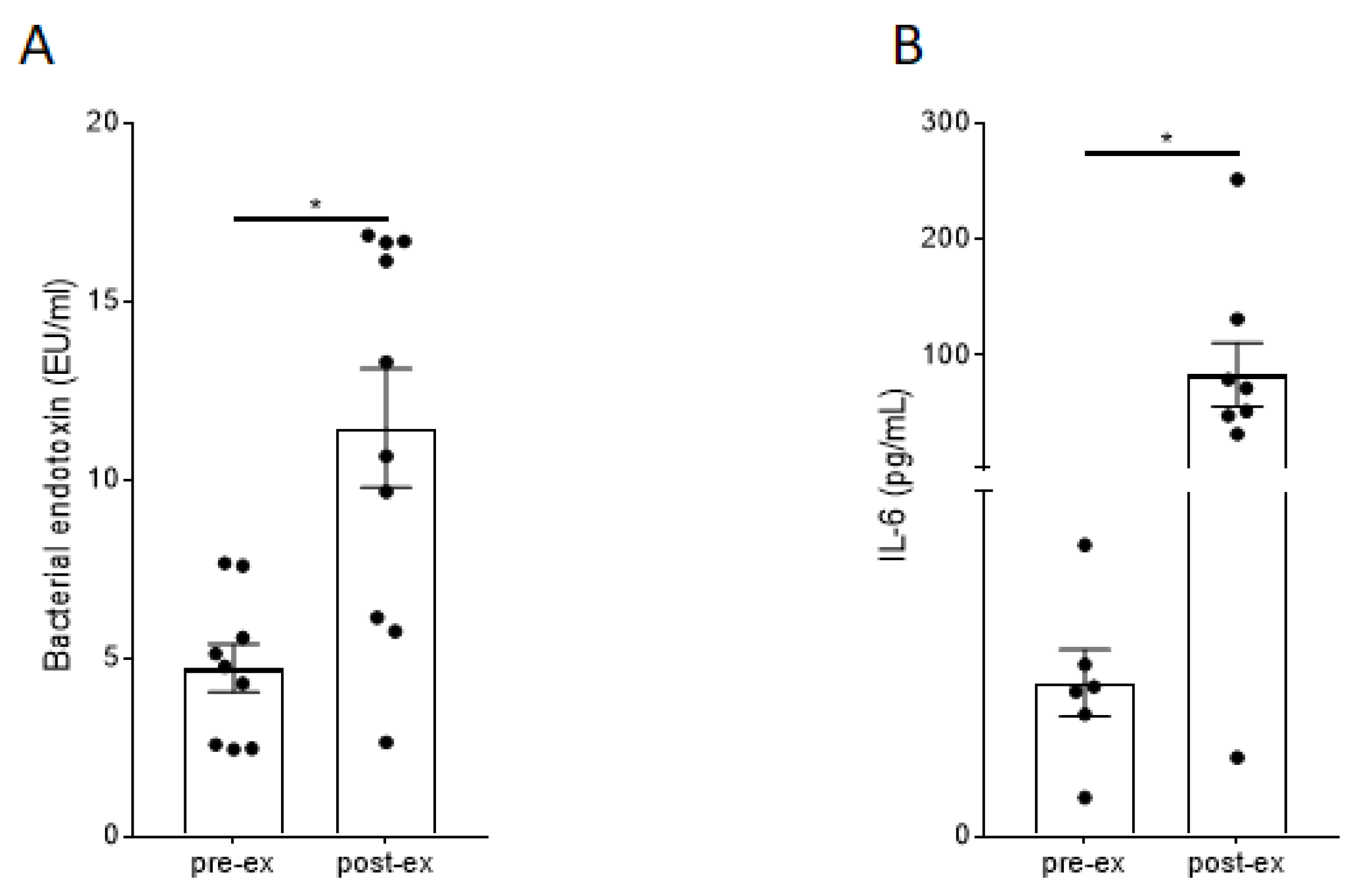
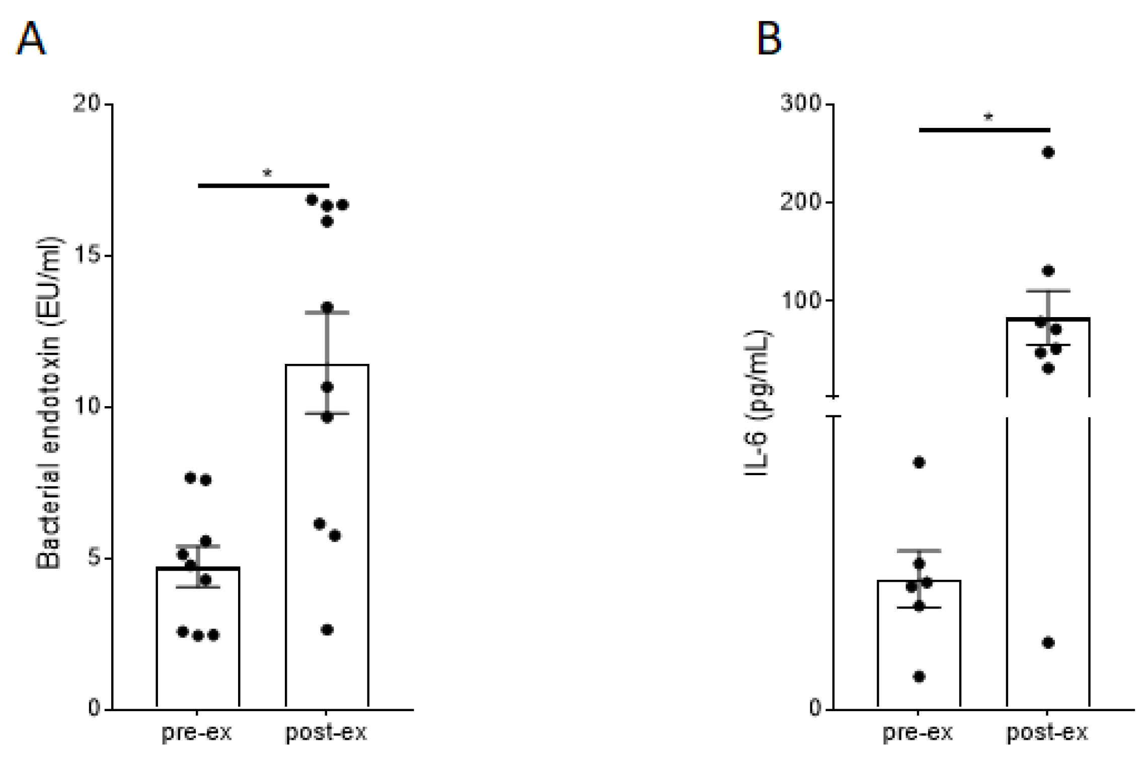
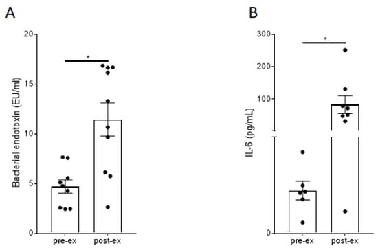
3.2.1. Effects of the 160 and 240 km Runs on Serum Concentrations of Bacterial Endotoxin and IL-6 Protein in Serum
3.2.2. Effects of the Study Beverages on Time-Dependent Serum Concentrations of Serum Endotoxin after the Run
4. Discussion
Limitations and Outlook
5. Conclusions
Supplementary Materials
Author Contributions
Funding
Institutional Review Board Statement
Informed Consent Statement
Data Availability Statement
Acknowledgments
Conflicts of Interest
Abbreviations
| AUC | area under the curve |
| BMI | body mass index |
| CD14 | cluster of differentiation 14 |
| CK | creatine kinase |
| DGE | German nutrition society |
| FJM | fruit juice matrix |
| GAE | gallic acid equivalent |
| HPLC-RID | high-performance liquid chromatography with refractive index detector |
| HR | heart rate |
| IAT | individual anaerobic threshold |
| IB | intestinal barrier |
| I-FABP | intestinal fatty acid-binding protein |
| IFU | international fruit and vegetable juice association |
| IL | interleukin |
| LBP | lipopolysaccharide-binding proteins |
| LME | linear mixed-effects regression models |
| LPS | bacterial endotoxins/lipopolysaccharides |
| PBMC | peripheral blood mononuclear cells |
| SD | standard deviation |
| SEM | standard error of the mean |
References
- Close, G.L.; Hamilton, D.L.; Philp, A.; Burke, L.M.; Morton, J.P. New strategies in sport nutrition to increase exercise performance. Free Radic. Biol. Med. 2016, 98, 144–158. [Google Scholar] [CrossRef] [PubMed]
- Isenmann, E.; Blume, F.; Bizjak, D.A.; Hundsdörfer, V.; Pagano, S.; Schibrowski, S.; Simon, W.; Schmandra, L.; Diel, P. Comparison of Pro-Regenerative Effects of Carbohydrates and Protein Administrated by Shake and Non-Macro-Nutrient Matched Food Items on the Skeletal Muscle after Acute Endurance Exercise. Nutrients 2019, 11, 744. [Google Scholar] [CrossRef] [PubMed]
- Maughan, R.J.; Depiesse, F.; Geyer, H. The use of dietary supplements by athletes. J. Sports Sci. 2007, 25 (Suppl. S1), S103–S113. [Google Scholar] [CrossRef] [PubMed]
- Hollander, D.; Kaunitz, J.D. The “Leaky Gut”: Tight Junctions but Loose Associations? Dig. Dis. Sci. 2020, 65, 1277–1287. [Google Scholar] [CrossRef] [PubMed]
- Di Tommaso, N.; Gasbarrini, A.; Ponziani, F.R. Intestinal Barrier in Human Health and Disease. Int. J. Environ. Res. Public Health 2021, 18, 12836. [Google Scholar] [CrossRef] [PubMed]
- Forcina, L.; Cosentino, M.; Musarò, A. Mechanisms Regulating Muscle Regeneration: Insights into the Interrelated and Time-Dependent Phases of Tissue Healing. Cells 2020, 9, 1297. [Google Scholar] [CrossRef] [PubMed]
- Volpe-Fix, A.R.; de França, E.; Silvestre, J.C.; Thomatieli-Santos, R.V. The Use of Some Polyphenols in the Modulation of Muscle Damage and Inflammation Induced by Physical Exercise: A Review. Foods 2023, 12, 916. [Google Scholar] [CrossRef] [PubMed]
- La Torre, M.E.; Monda, A.; Messina, A.; de Stefano, M.I.; Monda, V.; Moscatelli, F.; Tafuri, F.; Saraiello, E.; Latino, F.; Monda, M.; et al. The Potential Role of Nutrition in Overtraining Syndrome: A Narrative Review. Nutrients 2023, 15, 4916. [Google Scholar] [CrossRef] [PubMed]
- Mohammad, S.; Thiemermann, C. Role of Metabolic Endotoxemia in Systemic Inflammation and Potential Interventions. Front. Immunol. 2020, 11, 594150. [Google Scholar] [CrossRef]
- Gill, S.K.; Hankey, J.; Wright, A.; Marczak, S.; Hemming, K.; Allerton, D.M.; Ansley-Robson, P.; Costa, R.J.S. The Impact of a 24-h Ultra-Marathon on Circulatory Endotoxin and Cytokine Profile. Int. J. Sports Med. 2015, 36, 688–695. [Google Scholar] [CrossRef]
- Karhu, E.; Forsgård, R.A.; Alanko, L.; Alfthan, H.; Pussinen, P.; Hämäläinen, E.; Korpela, R. Exercise and gastrointestinal symptoms: Running-induced changes in intestinal permeability and markers of gastrointestinal function in asymptomatic and symptomatic runners. Eur. J. Appl. Physiol. 2017, 117, 2519–2526. [Google Scholar] [CrossRef]
- Martínez-Navarro, I.; Sanchez-Gómez, J.M.; Aparicio, I.; Priego-Quesada, J.I.; Pérez-Soriano, P.; Collado, E.; Hernando, B.; Hernando, C. Effect of mountain ultramarathon distance competition on biochemical variables, respiratory and lower-limb fatigue. PLoS ONE 2020, 15, e0238846. [Google Scholar] [CrossRef] [PubMed]
- André, P.; Laugerette, F.; Féart, C. Metabolic Endotoxemia: A Potential Underlying Mechanism of the Relationship between Dietary Fat Intake and Risk for Cognitive Impairments in Humans? Nutrients 2019, 11, 1887. [Google Scholar] [CrossRef] [PubMed]
- Nier, A.; Brandt, A.; Rajcic, D.; Bruns, T.; Bergheim, I. Short-Term Isocaloric Intake of a Fructose- but not Glucose-Rich Diet Affects Bacterial Endotoxin Concentrations and Markers of Metabolic Health in Normal Weight Healthy Subjects. Mol. Nutr. Food Res. 2019, 63, e1800868. [Google Scholar] [CrossRef] [PubMed]
- Staltner, R.; Sánchez, V.; Bergheim, I.; Baumann, A. Acute Intake of Sucrose but Not of the Intense Sweetener Sucralose Is Associated with Post-Prandial Endotoxemia in Healthy Young Adults-A Randomized Controlled Trial. Nutrients 2023, 15, 4038. [Google Scholar] [CrossRef] [PubMed]
- Malesza, I.J.; Malesza, M.; Walkowiak, J.; Mussin, N.; Walkowiak, D.; Aringazina, R.; Bartkowiak-Wieczorek, J.; Mądry, E. High-Fat, Western-Style Diet, Systemic Inflammation, and Gut Microbiota: A Narrative Review. Cells 2021, 10, 3164. [Google Scholar] [CrossRef] [PubMed]
- Kahle, K.; Kempf, M.; Schreier, P.; Scheppach, W.; Schrenk, D.; Kautenburger, T.; Hecker, D.; Huemmer, W.; Ackermann, M.; Richling, E. Intestinal transit and systemic metabolism of apple polyphenols. Eur. J. Nutr. 2011, 50, 507–522. [Google Scholar] [CrossRef] [PubMed]
- Deusser, H.; Rogoll, D.; Scheppach, W.; Volk, A.; Melcher, R.; Richling, E. Gastrointestinal absorption and metabolism of apple polyphenols ex vivo by the pig intestinal mucosa in the Ussing chamber. Biotechnol. J. 2013, 8, 363–370. [Google Scholar] [CrossRef] [PubMed]
- Barth, S.W.; Fähndrich, C.; Bub, A.; Dietrich, H.; Watzl, B.; Will, F.; Briviba, K.; Rechkemmer, G. Cloudy apple juice decreases DNA damage, hyperproliferation and aberrant crypt foci development in the distal colon of DMH-initiated rats. Carcinogenesis 2005, 26, 1414–1421. [Google Scholar] [CrossRef]
- Schaefer, S.; Baum, M.; Eisenbrand, G.; Dietrich, H.; Will, F.; Janzowski, C. Polyphenolic apple juice extracts and their major constituents reduce oxidative damage in human colon cell lines. Mol. Nutr. Food Res. 2006, 50, 24–33. [Google Scholar] [CrossRef]
- Heck, H.; Mader, A.; Hess, G.; Mücke, S.; Müller, R.; Hollmann, W. Justification of the 4-mmol/l lactate threshold. Int. J. Sports Med. 1985, 6, 117–130. [Google Scholar] [CrossRef] [PubMed]
- Midgley, A.W.; McNaughton, L.R.; Polman, R.; Marchant, D. Criteria for determination of maximal oxygen uptake: A brief critique and recommendations for future research. Sports Med. 2007, 37, 1019–1028. [Google Scholar] [CrossRef] [PubMed]
- Bishop, D.; Jenkins, D.G.; Mackinnon, L.T. The relationship between plasma lactate parameters, Wpeak and 1-h cycling performance in women. Med. Sci. Sports Exerc. 1998, 30, 1270–1275. [Google Scholar] [CrossRef] [PubMed]
- König, D.; Carlsohn, A.; Braun, H.; Großhauser, M.; Lampen, A.; Mosler, S.; Nieß, A.; Schäbethal, K.; Schek, A.; Stehle, P.; et al. Position of the working group sports nutrition of the German Nutrition Society (DGE): Protein intake in sports. Dtsch. Z. Für Sportmed. 2020, 71, 192–198. [Google Scholar] [CrossRef]
- International Fruit and Vegetable Juice Association. Relative Density–Relative Density Method; International Fruit and Vegetable Juice Association: Paris, France, 2005; (No. 01a); Available online: https://ifu-fruitjuice.com/page/ListofIFUMethods (accessed on 19 March 2024).
- International Fruit and Vegetable Juice Association. Titratable Acidity; International Fruit and Vegetable Juice Association: Paris, France, 2017; (No. 03); Available online: https://ifu-fruitjuice.com/page/ListofIFUMethods (accessed on 19 March 2024).
- Bundesamt für Verbraucherschutz und Lebensmittelsicherheit. Amtliche Sammlung von Untersuchungsmethoden (ASU) Nach §64 LFGB. Deutschland (L.00.00-144). Available online: https://www.bvl.bund.de/DE/Arbeitsbereiche/01_Lebensmittel/01_Aufgaben/02_AmtlicheLebensmittelueberwachung/08_AmtlicheSammlung/lm_AmtlicheSammlung_node.html (accessed on 19 March 2024).
- International Fruit and Vegetable Juice Association. Determination of Sugars and Sorbitol (HPLC); International Fruit and Vegetable Juice Association: Paris, France, 2005; (No. 67); Available online: https://ifu-fruitjuice.com/page/ListofIFUMethods (accessed on 19 March 2024).
- Prior, R.L.; Wu, X.; Schaich, K. Standardized methods for the determination of antioxidant capacity and phenolics in foods and dietary supplements. J. Agric. Food Chem. 2005, 53, 4290–4302. [Google Scholar] [CrossRef] [PubMed]
- Sellmann, C.; Baumann, A.; Brandt, A.; Jin, C.J.; Nier, A.; Bergheim, I. Oral Supplementation of Glutamine Attenuates the Progression of Nonalcoholic Steatohepatitis in C57BL/6J Mice. J. Nutr. 2017, 147, 2041–2049. [Google Scholar] [CrossRef] [PubMed]
- The R Core Team. R: A Language and Environment for Statistical Computing: Reference Index. Available online: https://cran.r-project.org/doc/manuals/r-release/fullrefman.pdf (accessed on 10 May 2023).
- Koller, M. Robustlmm: An R Package for Robust Estimation of Linear Mixed-Effects Models. Available online: http://www.ispm.unibe.ch/ (accessed on 21 August 2023).
- Pals, K.L.; Chang, R.T.; Ryan, A.J.; Gisolfi, C.V. Effect of running intensity on intestinal permeability. J. Appl. Physiol. (1985) 1997, 82, 571–576. [Google Scholar] [CrossRef] [PubMed]
- Shive, C.L.; Jiang, W.; Anthony, D.D.; Lederman, M.M. Soluble CD14 is a nonspecific marker of monocyte activation. AIDS 2015, 29, 1263–1265. [Google Scholar] [CrossRef] [PubMed]
- Koivula, T.; Lempiäinen, S.; Rinne, P.; Rannikko, J.H.; Hollmén, M.; Sundberg, C.J.; Rundqvist, H.; Minn, H.; Heinonen, I. The effect of acute exercise on circulating immune cells in newly diagnosed breast cancer patients. Sci. Rep. 2023, 13, 6561. [Google Scholar] [CrossRef]
- Sand, K.L.; Flatebo, T.; Andersen, M.B.; Maghazachi, A.A. Effects of exercise on leukocytosis and blood hemostasis in 800 healthy young females and males. World J. Exp. Med. 2013, 3, 11–20. [Google Scholar] [CrossRef]
- Brock-Utne, J.G.; Gaffin, S.L.; Wells, M.T.; Gathiram, P.; Sohar, E.; James, M.F.; Morrell, D.F.; Norman, R.J. Endotoxaemia in exhausted runners after a long-distance race. S. Afr. Med. J. 1988, 73, 533–536. [Google Scholar] [PubMed]
- Jeukendrup, A.E.; Vet-Joop, K.; Sturk, A.; Stegen, J.H.; Senden, J.; Saris, W.H.; Wagenmakers, A.J. Relationship between gastro-intestinal complaints and endotoxaemia, cytokine release and the acute-phase reaction during and after a long-distance triathlon in highly trained men. Clin. Sci. 2000, 98, 47–55. [Google Scholar] [CrossRef]







| Sex | Male (14), Female (3) |
|---|---|
| Age (years) | 26 ± 4 |
| Height (cm) | 178.94 ± 7.28 |
| Body mass (kg) | 70.94 ± 8.17 |
| BMI (kg/m2) | 22.12 ± 1.80 |
| Anthropometry | |||||||
|---|---|---|---|---|---|---|---|
| Age (years) | Height (cm) | Body Mass (kg) | Body Mass Index (kg/m2) | ||||
| 160.9 km | 230 km | 160.9 km | 230 km | 160.9 km | 230 km | 160.9 km | 230 km |
| 50.20 (7.98) | 50.14 (9.74) | 174.80 (4.62) | 177.43 (8.74) | 71.14 (4.18) | 71.89 (11.30) | 23.30 (1.29) | 22.79 (2.93) |
| Finish time (hours) | |||||||
| 160.9 km | 22.56 (3.31) | ||||||
| 230 km | 32.28 (2.95) | ||||||
| Meal Components | Energy (kcal/100 g) | Carbohydrates (g/100 g) | Fat (g/100 g) | Protein (g/100 g) | Fiber (g/100 g) |
|---|---|---|---|---|---|
| Egg-based pasta | 352.3 | 68.3 | 2.8 | 12.3 | 5.0 |
| Zucchini | 19.1 | 2.0 | 0.4 | 1.6 | 1.1 |
| Onion | 28.0 | 4.9 | 0.3 | 1.3 | 1.8 |
| Olive oil | 881.7 | 0.2 | 99.6 | - | - |
| Tomato | 17.4 | 2.6 | 0.2 | 0.9 | 0.9 |
| Cream (10% fat content) | 116.6 | 3.3 | 10.0 | 3.1 | - |
| Mozzarella | 254.8 | - | 19.8 | 19.0 | - |
| Salt | - | - | - | - | - |
| Parameter | Diluted Cloudy Apple Juice (60% Juice Content) | Placebo |
|---|---|---|
| Brix corr. | 6.72 | 6.72 |
| Glucose [g/L] | 13.4 | 13.4 |
| Fructose [g/L] | 35.0 | 35.0 |
| Sucrose [g/L] | 9.1 | 9.1 |
| Total sugar [g/L] | 57.5 | 57.5 |
| Sorbitol [g/L] | 2.20 | 2.20 |
| L-malic acid [g/L] | 3.36 | 3.36 |
| Potassium [g/L] | 0.59 | 0.59 |
| Apple flavor [ml/L] | --- | 4.70 |
| Total polyphenol content [mg/L] | 554.4 | --- |
Disclaimer/Publisher’s Note: The statements, opinions and data contained in all publications are solely those of the individual author(s) and contributor(s) and not of MDPI and/or the editor(s). MDPI and/or the editor(s) disclaim responsibility for any injury to people or property resulting from any ideas, methods, instructions or products referred to in the content. |
© 2024 by the authors. Licensee MDPI, Basel, Switzerland. This article is an open access article distributed under the terms and conditions of the Creative Commons Attribution (CC BY) license (https://creativecommons.org/licenses/by/4.0/).
Share and Cite
Valder, S.; Staltner, R.; Bizjak, D.A.; Esatbeyoglu, T.; Herdegen, V.; Köpsel, M.; Kostov, T.; Bergheim, I.; Diel, P. Effect of Sugar- and Polyphenol-Rich, Diluted Cloudy Apple Juice on the Intestinal Barrier after Moderate Endurance Exercise and in Ultra-Marathon Runners. Nutrients 2024, 16, 1353. https://doi.org/10.3390/nu16091353
Valder S, Staltner R, Bizjak DA, Esatbeyoglu T, Herdegen V, Köpsel M, Kostov T, Bergheim I, Diel P. Effect of Sugar- and Polyphenol-Rich, Diluted Cloudy Apple Juice on the Intestinal Barrier after Moderate Endurance Exercise and in Ultra-Marathon Runners. Nutrients. 2024; 16(9):1353. https://doi.org/10.3390/nu16091353
Chicago/Turabian StyleValder, Sarah, Raphaela Staltner, Daniel Alexander Bizjak, Tuba Esatbeyoglu, Volker Herdegen, Magdalena Köpsel, Tihomir Kostov, Ina Bergheim, and Patrick Diel. 2024. "Effect of Sugar- and Polyphenol-Rich, Diluted Cloudy Apple Juice on the Intestinal Barrier after Moderate Endurance Exercise and in Ultra-Marathon Runners" Nutrients 16, no. 9: 1353. https://doi.org/10.3390/nu16091353
APA StyleValder, S., Staltner, R., Bizjak, D. A., Esatbeyoglu, T., Herdegen, V., Köpsel, M., Kostov, T., Bergheim, I., & Diel, P. (2024). Effect of Sugar- and Polyphenol-Rich, Diluted Cloudy Apple Juice on the Intestinal Barrier after Moderate Endurance Exercise and in Ultra-Marathon Runners. Nutrients, 16(9), 1353. https://doi.org/10.3390/nu16091353

