Cognitive Function, Healthy Lifestyle, and All-Cause Mortality among Chinese Older Adults: A Longitudinal Prospective Study
Abstract
1. Introduction
2. Materials and Methods
2.1. The Study Design and Participants
2.2. Measurement of Cognitive Function
2.3. Measurement of Healthy Lifestyle
2.4. Outcome
2.5. Covariates
2.6. Statistical Analyses
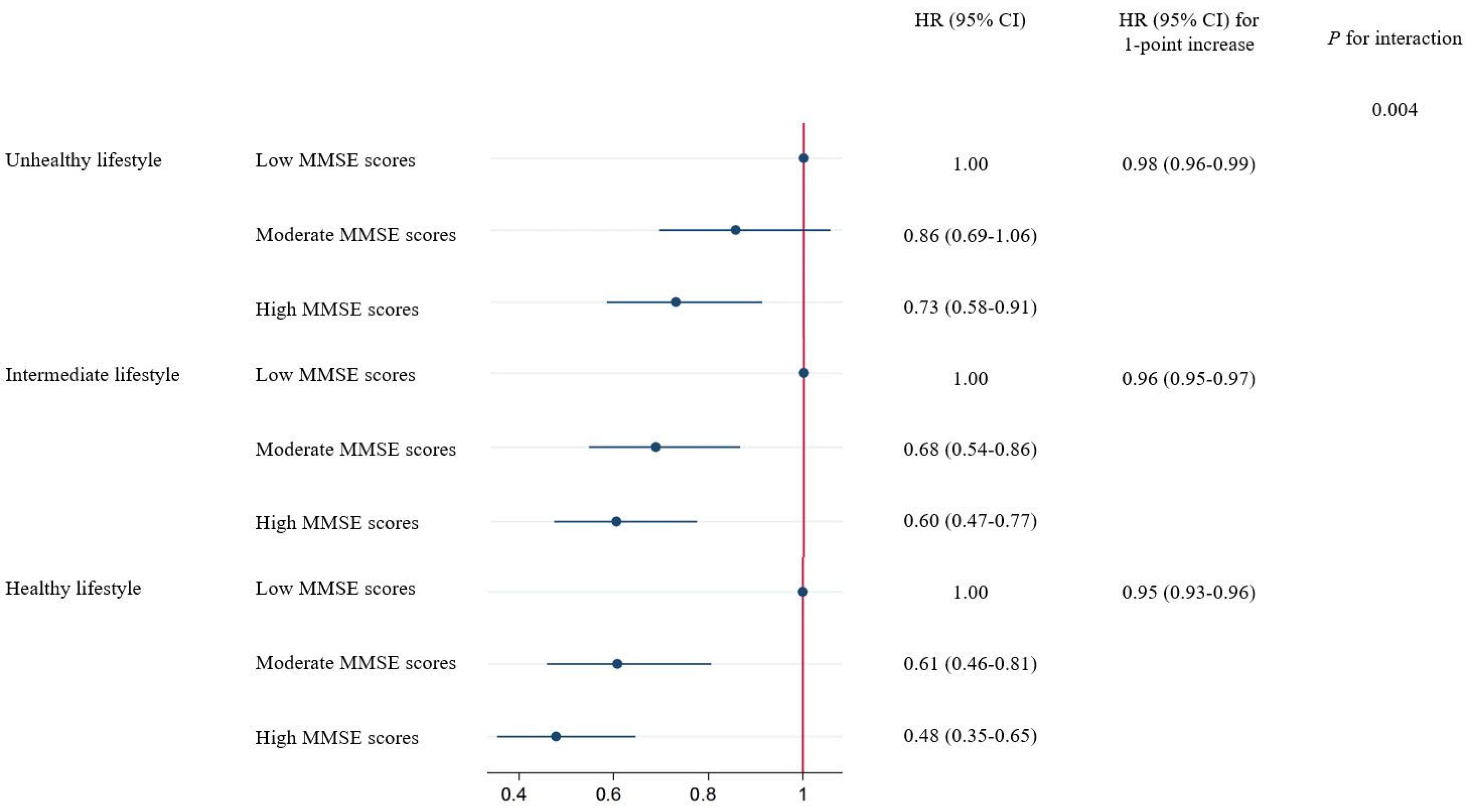
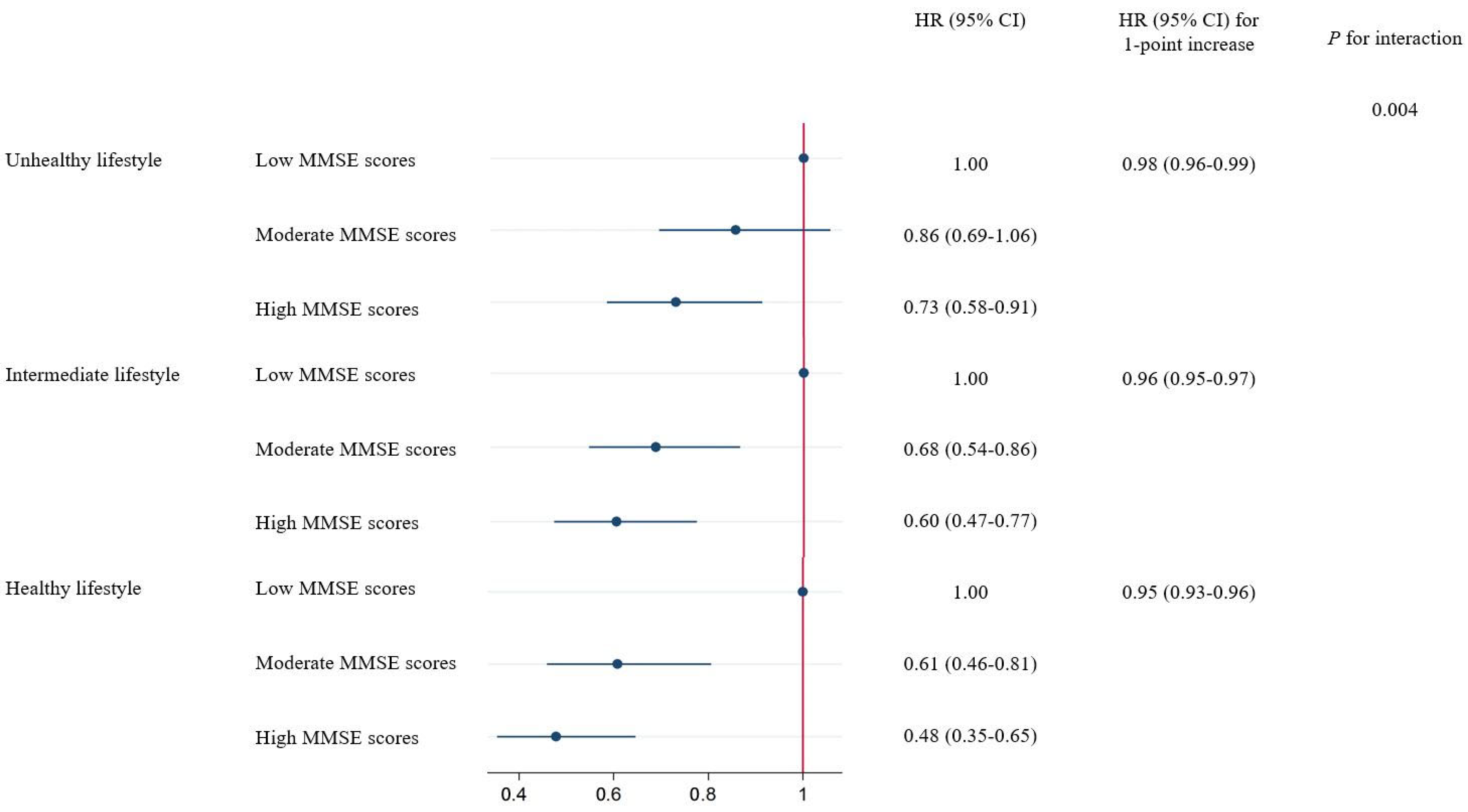
3. Results
4. Discussion
5. Conclusions
Supplementary Materials
Author Contributions
Funding
Institutional Review Board Statement
Informed Consent Statement
Data Availability Statement
Acknowledgments
Conflicts of Interest
Abbreviations
References
- Wetterberg, H.; Najar, J.; Rydén, L.; Ribbe, M.; Rydberg Sterner, T.; Zettergren, A.; Guo, X.; Falk Erhag, H.; Sacuiu, S.; Kern, S. Dementia remains the major predictor of death among octogenarians. A study of two population cohorts of 85-year-olds examined 22years apart. Eur. J. Epidemiol. 2021, 36, 507–517. [Google Scholar] [CrossRef] [PubMed]
- Tschanz, J.T.; Corcoran, C.; Skoog, I.; Khachaturian, A.S.; Herrick, J.; Hayden, K.M.; Group, C.C.S. Dementia: The leading predictor of death in a defined elderly population: The Cache County Study. Neurology 2004, 62, 1156–1162. [Google Scholar] [CrossRef] [PubMed]
- Prince, M. World Alzheimer Report 2015: The Global Impact of Dementia; Alzheimer’s Disease International (ADI): London, UK, 2015. [Google Scholar]
- Scheltens, P.; Blennow, K.; Breteler, M.M.B.; Strooper, B.D.; Frisoni, G.B.; Salloway, S.; Flier, W.M.V.D. Alzheimer’s disease. Lancet 2016, 388, 505–517. [Google Scholar] [CrossRef] [PubMed]
- Bookheimer, S.Y.; Strojwas, M.H.; Cohen, M.S.; Sanders, A.M.; Pericakvance, M.A.; Mazziotta, J.C.; Small, G.W. Patterns of Brain Activations in People at Risk for Alzheimer’s Disease. N. Engl. J. Med. 2000, 343, 450–456. [Google Scholar] [CrossRef] [PubMed]
- Batty, G.D.; Deary, I.J.; Zaninotto, P. Association of Cognitive Function With Cause-Specific Mortality in Middle and Older Age: Follow-up of Participants in the English Longitudinal Study of Ageing. Am. J. Epidemiol. 2016, 183, 183–190. [Google Scholar] [CrossRef] [PubMed]
- Gale, C.R.; Martyn, C.N.; Cooper, C. Cognitive impairment and mortality in a cohort of elderly people. BMJ 1996, 312, 608–611. [Google Scholar] [CrossRef]
- Liu, I.Y.; Lacroix, A.Z.; White, L.R.; Kittner, S.J.; Wolf, P.A. Cognitive impairment and mortality: A study of possible confounders. Am. J. Epidemiol. 1990, 132, 136–143. [Google Scholar] [CrossRef] [PubMed]
- Perna, L.; Wahl, H.W.; Mons, U.; Saum, K.U.; Holleczek, B.; Brenner, H. Cognitive impairment, all-cause and cause-specific mortality among non-demented older adults. Age Ageing 2015, 44, 445–451. [Google Scholar] [CrossRef]
- Sabia, S.; Nabi, H.; Kivimaki, M.; Shipley, M.J.; Marmot, M.G.; Singh-Manoux, A. Health Behaviors From Early to Late Midlife as Predictors of Cognitive Function: The Whitehall II Study. Am. J. Epidemiol. 2009, 170, 428–437. [Google Scholar] [CrossRef]
- Yu, J.; Feng, Q.; Yu, J.; Zeng, Y.; Feng, L. Late-Life Cognitive Trajectories and their Associated Lifestyle Factors. J. Alzheimer’s Dis. JAD 2020, 73, 1555–1563. [Google Scholar] [CrossRef]
- Clare, L.; Wu, Y.T.; Teale, J.C.; Macleod, C.; Woods, B. Potentially modifiable lifestyle factors, cognitive reserve, and cognitive function in later life: A cross-sectional study. PLoS Med. 2017, 14, e1002259. [Google Scholar] [CrossRef] [PubMed]
- Hillman, C.H.; Erickson, K.I.; Kramer, A.F. Be Smart, Exercise Your Heart: Exercise Effects on Brain and Cognition. Nat. Rev. Neurosci. 2008, 9, 58–65. [Google Scholar] [CrossRef] [PubMed]
- Northey, J.M.; Cherbuin, N.; Pumpa, K.L.; Smee, D.J.; Rattray, B. Exercise interventions for cognitive function in adults older than 50: A systematic review with meta-analysis. Br. J. Sports Med. 2018, 52, 154–160. [Google Scholar] [CrossRef] [PubMed]
- Beydoun, M.A.; Gamaldo, A.A.; Beydoun, H.A.; Tanaka, T.; Zonderman, A.B. Caffeine and alcohol intakes and overall nutrient adequacy are associated with longitudinal cognitive performance among U.S. adults. J. Nutr. 2014, 144, 890–901. [Google Scholar] [CrossRef] [PubMed]
- Zhou, S.; Zhou, R.; Zhong, T.; Tan, J.; Zhou, H. Association of Smoking and Alcohol Drinking with Dementia Risk Among Elderly Men in China. Curr. Alzheimer Res. 2014, 11, 899–907. [Google Scholar] [CrossRef] [PubMed]
- Zhang, W.; Chen, Y.; Chen, N. Body mass index and trajectories of the cognition among Chinese middle and old-aged adults. BMC Geriatr. 2022, 22, 613. [Google Scholar] [CrossRef] [PubMed]
- Zhu, N.; Yu, C.; Guo, Y.; Bian, Z.; Han, Y.; Yang, L.; Chen, Y.; Du, H.; Li, H.; Liu, F. Adherence to a healthy lifestyle and all-cause and cause-specific mortality in Chinese adults: A 10-year prospective study of 0.5 million people. Int. J. Behav. Nutr. Phys. Act. 2019, 16, 98. [Google Scholar] [CrossRef] [PubMed]
- Jin, S.; Li, C.; Cao, X.; Chen, C.; Ye, Z.; Liu, Z. Association of lifestyle with mortality and the mediating role of aging among older adults in China. Arch. Gerontol. Geriatr. 2021, 98, 104559. [Google Scholar] [CrossRef] [PubMed]
- Lian, Z.; Zhu, C.; Yuan, H.; Chen, Y. Combined impact of lifestyle-related factors on total mortality among the elder Chinese: A prospective cohort study. BMC Geriatr. 2022, 22, 325. [Google Scholar] [CrossRef]
- Gu, D. General Data Quality Assessment of the CLHLS; Springer Science & Business Media: Dordrecht, The Netherlands, 2008. [Google Scholar]
- Zeng, Y. Introduction to the Chinese Longitudinal Healthy Longevity Survey (CLHLS); Springer Science & Business Media: Dordrecht, The Netherlands, 2008. [Google Scholar]
- Zeng, Y.; Feng, Q.; Hesketh, T.; Christensen, K.; Vaupel, J.W. Survival, disabilities in activities of daily living, and physical and cognitive functioning among the oldest-old in China: A cohort study. Lancet 2017, 389, 1619–1629. [Google Scholar] [CrossRef]
- Zeng, Y.; Feng, Q.; Gu, D.; Vaupel, J.W. Demographics, phenotypic health characteristics and genetic analysis of centenarians in China. Mech Ageing Dev. 2017, 165, 86–97. [Google Scholar] [CrossRef]
- Rodda, J.; Walker, Z.; Carter, J. Depression in older adults. BMJ 2011, 343, d5219. [Google Scholar] [CrossRef] [PubMed]
- Folstein, M.F.; Folstein, S.E.; McHugh, P.R. “Mini-mental state”. A practical method for grading the cognitive state of patients for the clinician. J. Psychiatr. Res. 1975, 12, 189–198. [Google Scholar] [CrossRef] [PubMed]
- Steis, M.R.; Schrauf, R.W. A review of translations and adaptations of the Mini-Mental State Examination in languages other than English and Spanish. Res. Gerontol. Nurs. 2009, 2, 214–224. [Google Scholar] [CrossRef] [PubMed]
- Zhang, Z.; Gu, D.; Hayward, M.D. Childhood nutritional deprivation and cognitive impairment among older Chinese people. Soc. Sci. Med. 2010, 71, 941–949. [Google Scholar] [CrossRef]
- Sun, Q.; Yu, D.; Fan, J.; Yu, C.; Guo, Y.; Pei, P.; Yang, L.; Chen, Y.; Du, H.; Yang, X.; et al. Healthy lifestyle and life expectancy at age 30 years in the Chinese population: An observational study. Lancet. Public Health 2022, 7, e994–e1004. [Google Scholar] [CrossRef]
- Li, Y.; Schoufour, J.; Wang, D.D.; Dhana, K.; Hu, F.B. Healthy lifestyle and life expectancy free of cancer, cardiovascular disease, and type 2 diabetes: Prospective cohort study. BMJ 2020, 368, l6669. [Google Scholar] [CrossRef]
- Yin, Z.; Fei, Z.; Qiu, C.; Brasher, M.S.; Kraus, V.B.; Zhao, W.; Shi, X.; Zeng, Y. Dietary diversity and cognitive function among elderly people: A population-based study. J. Nutr. Health Aging 2017, 21, 1089–1094. [Google Scholar] [CrossRef]
- WHO. Preparation and Use of Food-Based Dietary Guidelines Report of a Joint FAO/WHO Consultation; World Health Organization: Geneva, Switzerland, 1998. [Google Scholar]
- Yin, Z.; Brasher, M.S.; Kraus, V.B.; Lv, Y.; Shi, X.; Zeng, Y. Dietary Diversity Was Positively Associated with Psychological Resilience among Elders: A Population-Based Study. Nutrients 2019, 11, 650. [Google Scholar] [CrossRef]
- Kennedy, G.; Ballard, T.; Dop, M.C. Guidelines for Measuring Household and Individual Dietary Diversity; Food and Agriculture Organization of the United Nations: Rome, Italy, 2013. [Google Scholar]
- Wang, Z.; Pang, Y.; Liu, J.; Wang, J.; Huang, T. Association of healthy lifestyle with cognitive function among Chinese older adults. Eur. J. Clin. Nutr. 2021, 75, 325–334. [Google Scholar] [CrossRef]
- Lv, X.; Li, W.; Ma, Y.; Chen, H.; Zeng, Y.; Yu, X.; Hofman, A.; Wang, H. Cognitive decline and mortality among community-dwelling Chinese older people. BMC Med. 2019, 17, 63. [Google Scholar] [CrossRef] [PubMed]
- Katz, S.C.; Ford, A.B.; Moskowitz, R.W.; Jackson, B.A.; Jaffe, M.W. Studies of Illness in the Aged. The Index of Adl: A Standardized Measure of Biological and Psychosocial Function. JAMA J. Am. Med. Assoc. 1963, 185, 914–919. [Google Scholar] [CrossRef] [PubMed]
- Stump, T. Cognitive impairment and mortality in older primary care patients. J. Am. Geriat. Soc. 2001, 49, 934–940. [Google Scholar] [CrossRef] [PubMed]
- Dewey, M.E.; Saz, P. Dementia, cognitive impairment and mortality in persons aged 65 and over living in the community: A systematic review of the literature. Int. J. Geriatr. Psychiatry 2001, 16, 751–761. [Google Scholar] [CrossRef] [PubMed]
- An, R.L.; Gordon, G. Cognitive impairment and mortality among the oldest-old Chinese. Int. J. Geriatr. Psychiatry 2016, 31, 1345–1353. [Google Scholar] [CrossRef] [PubMed]
- Sun, C.; Liu, H.; Xu, F.; Qin, Y.; Wang, P.; Zhou, Q.; Liu, D.; Jia, S.; Zhang, Q. Combined lifestyle factors on mortality among the elder population: Evidence from a Chinese cohort study. BMC Geriatr. 2022, 22, 474. [Google Scholar] [CrossRef] [PubMed]
- Mcdougall, G.J.; Mackert, M.; Becker, H. Memory Performance, Health Literacy, and Instrumental Activities of Daily Living of Community Residing Older Adults. Nurs. Res. 2012, 61, 70–75. [Google Scholar] [CrossRef] [PubMed]
- Song, S.; Stern, Y.; Gu, Y. Modifiable lifestyle factors and cognitive reserve: A systematic review of current evidence. Ageing Res. Rev. 2022, 74, 101551. [Google Scholar] [CrossRef] [PubMed]
- Song, Y.; Zeng, L.; Gao, J.; Chen, L.; Sun, C.; Yan, M.; Li, M.; Jiang, H. Adherence to High Dietary Diversity and Incident Cognitive Impairment for the Oldest-Old: A Community-Based, Nationwide Cohort Study. Nutrients 2022, 14, 4530. [Google Scholar] [CrossRef]
- Zheng, J.; Zhou, R.; Li, F.; Chen, L.; Wu, K.; Huang, J.; Liu, H.; Huang, Z.; Xu, L.; Yuan, Z.; et al. Association between dietary diversity and cognitive impairment among the oldest-old: Findings from a nationwide cohort study. Clin. Nutr. 2021, 40, 1452–1462. [Google Scholar] [CrossRef]
- Xiao, Q.; Li, Y.; Li, B.; Li, T.; Li, F.; Li, Y.; Chen, L.; Zhao, Z.; Wang, Q.; Rong, S. Dietary Diversity and Mild Cognitive Impairment in Middle-Aged and Older Chinese People: A Cross-Sectional Study. J. Alzheimer’s Dis. Rep. 2023, 7, 1045–1053. [Google Scholar] [CrossRef] [PubMed]
- Tucker, K.L. Nutrient intake, nutritional status, and cognitive function with aging. Ann. N. Y. Acad. Sci. 2016, 1367, 38–49. [Google Scholar] [CrossRef] [PubMed]
- Wang, H.P.; Liang, J.; Kuo, L.M.; Chen, C.Y.; Shyu, Y.I. Trajectories of nutritional status and cognitive impairment among older Taiwanese with hip fracture. J. Nutr. Health Aging 2017, 21, 38–45. [Google Scholar] [CrossRef] [PubMed]
- Narmaki, E.; Siassi, F.; Koohdani, F.; Qorbani, M.; Shiraseb, F.; Ataie-Jafari, A.; Sotoudeh, G. Dietary diversity as a proxy measure of blood antioxidant status in women. Nutrition 2015, 31, 722–726. [Google Scholar] [CrossRef] [PubMed]
- Guidi, I.; Galimberti, D.; Lonati, S.; Novembrino, C.; Bamonti, F.; Tiriticco, M.; Fenoglio, C.; Venturelli, E.; Baron, P.; Bresolin, N. Oxidative imbalance in patients with mild cognitive impairment and Alzheimers disease. Neurobiol. Aging 2006, 27, 262–269. [Google Scholar] [CrossRef] [PubMed]
- Claesson, M.J.; Jeffery, I.B.; Conde, S.; Power, S.E.; O’Connor, E.M.; Cusack, S.; Harris, H.M.B.; Coakley, M.; Lakshminarayanan, B.; O’Sullivan, O. Gut microbiota composition correlates with diet and health in the elderly. Nature 2012, 488, 178–184. [Google Scholar] [CrossRef] [PubMed]
- Sun, M.; Ma, K.; Wen, J.; Wang, G.; Zhang, C.; Li, Q.; Bao, X.; Wang, H. A Review of the Brain-Gut-Microbiome Axis and the Potential Role of Microbiota in Alzheimer’s Disease. J. Alzheimer’s Dis. 2020, 73, 849–865. [Google Scholar] [CrossRef] [PubMed]
- Kesika, P.; Suganthy, N.; Sivamaruthi, B.S.; Chaiyasut, C. Role of gut-brain axis, gut microbial composition, and probiotic intervention in Alzheimer’s disease. Life Sci. 2021, 264, 118627. [Google Scholar] [CrossRef]
- Momtaz, Y.A.; Haron, S.A.; Hamid, T.A.; Ibrahim, R.; Tanjani, P.T. Body Mass Index (BMI) and Cognitive Functions in Later Life. Curr. Alzheimer Res. 2018, 15, 195–200. [Google Scholar] [CrossRef]
- Lautenschlager, N.T.; Cox, K.L.; Flicker, L.; Foster, J.K.; van Bockxmeer, F.M.; Xiao, J.; Greenop, K.R.; Almeida, O.P. Effect of physical activity on cognitive function in older adults at risk for Alzheimer disease: A randomized trial. JAMA 2008, 300, 1027–1037. [Google Scholar] [CrossRef]


| Characteristics | MMSE Score | p | ||
|---|---|---|---|---|
| Low | Moderate | High | ||
| N | 1298 | 1588 | 2238 | |
| Age group (%) | <0.001 | |||
| 65–79 years | 666 (51.3) | 1243 (78.27) | 2006 (89.6) | |
| ≥80 years | 632 (48.7) | 345 (21.7) | 232 (10.4) | |
| Male (%) | 365 (28.1) | 797 (50.2) | 1246 (55.7) | <0.001 |
| No schooling (%) | 1015 (78.4) | 841 (53.2) | 869 (38.9) | <0.001 |
| Urban residents (%) | 500 (38.5) | 774 (48.7) | 1130 (50.5) | <0.001 |
| Married (%) | 322 (24.9) | 763 (48.2) | 1333 (59.7) | <0.001 |
| Living with family members (%) | 1027 (79.7) | 1247 (78.9) | 1798 (81.1) | 0.247 |
| Self-rated of economic status (%) | <0.001 | |||
| Rich | 187 (14.5) | 292 (18.5) | 477 (21.3) | |
| So-so | 842 (65.5) | 1058 (67.0) | 1524 (68.2) | |
| Poor | 257 (20.0) | 230 (14.6) | 234 (10.5) | |
| ADL disabled (%) | 346 (27.3) | 166 (10.7) | 125 (5.7) | <0.001 |
| Heart disease (%) | 132 (10.2) | 216 (13.6) | 286 (12.8) | <0.001 |
| Diabetes (%) | 38 (2.9) | 74 (4.7) | 124 (5.5) | 0.001 |
| Cancer (%) | 6 (0.5) | 6(0.4) | 19 (0.9) | <0.001 |
| Stroke (%) | 100 (7.7) | 117 (7.4) | 152 (6.8) | <0.001 |
| Lifestyle (%) | <0.001 | |||
| Unhealthy | 498 (38.5) | 609 (38.5) | 823 (36.8) | |
| Intermediate | 473 (36.6) | 544 (34.4) | 698 (31.2) | |
| Healthy | 323 (25.0) | 430 (27.2) | 715 (32.0) | |
| Vital status (%) | <0.001 | |||
| Survived | 690 (53.2) | 1166 (73.4) | 1807 (80.7) | |
| Deceased | 608 (46.8) | 422 (26.6) | 431 (19.3) | |
| MMSE Scores | HR (95% CI) for 1-Point Increase | p for Trend | |||
|---|---|---|---|---|---|
| Low | Moderate | High | |||
| Model 1 a | 1.00 | 0.61 (0.54–0.70) | 0.49 (0.43–0.56) | 0.95 (0.95–0.96) | <0.001 |
| Model 2 b | 1.00 | 0.62 (0.55–0.71) | 0.51 (0.44–0.58) | 0.96 (0.95–0.96) | <0.001 |
| Model 3 c | 1.00 | 0.72 (0.63–0.83) | 0.60 (0.52–0.69) | 0.96 (0.96–0.97) | <0.001 |
| Model 4 d | 1.00 | 0.73 (0.64–0.83) | 0.61 (0.53–0.71) | 0.96 (0.96–0.97) | <0.001 |
| Lifestyle | HR (95% CI) for 1-Point Increase | p for Trend | |||
|---|---|---|---|---|---|
| Unhealthy | Intermediate | Healthy | |||
| Model 1 a | 1.00 | 0.91 (0.81–1.03) | 0.69 (0.60–0.79) | 0.87 (0.83–0.91) | <0.001 |
| Model 2 b | 1.00 | 0.93 (0.83–1.05) | 0.74 (0.65–0.85) | 0.90 (0.86–0.94) | <0.001 |
| Model 3 c | 1.00 | 0.95 (0.84–1.07) | 0.78 (0.68–0.90) | 0.90 (0.86–0.95) | <0.001 |
| Model 4 d | 1.00 | 0.96 (0.85–1.08) | 0.80 (0.70–0.93) | 0.92 (0.87–0.97) | 0.001 |
Disclaimer/Publisher’s Note: The statements, opinions and data contained in all publications are solely those of the individual author(s) and contributor(s) and not of MDPI and/or the editor(s). MDPI and/or the editor(s) disclaim responsibility for any injury to people or property resulting from any ideas, methods, instructions or products referred to in the content. |
© 2024 by the authors. Licensee MDPI, Basel, Switzerland. This article is an open access article distributed under the terms and conditions of the Creative Commons Attribution (CC BY) license (https://creativecommons.org/licenses/by/4.0/).
Share and Cite
Li, H.; Zheng, Y.; Li, Q.; Wang, M. Cognitive Function, Healthy Lifestyle, and All-Cause Mortality among Chinese Older Adults: A Longitudinal Prospective Study. Nutrients 2024, 16, 1297. https://doi.org/10.3390/nu16091297
Li H, Zheng Y, Li Q, Wang M. Cognitive Function, Healthy Lifestyle, and All-Cause Mortality among Chinese Older Adults: A Longitudinal Prospective Study. Nutrients. 2024; 16(9):1297. https://doi.org/10.3390/nu16091297
Chicago/Turabian StyleLi, Huiwen, Yi Zheng, Qi Li, and Mengying Wang. 2024. "Cognitive Function, Healthy Lifestyle, and All-Cause Mortality among Chinese Older Adults: A Longitudinal Prospective Study" Nutrients 16, no. 9: 1297. https://doi.org/10.3390/nu16091297
APA StyleLi, H., Zheng, Y., Li, Q., & Wang, M. (2024). Cognitive Function, Healthy Lifestyle, and All-Cause Mortality among Chinese Older Adults: A Longitudinal Prospective Study. Nutrients, 16(9), 1297. https://doi.org/10.3390/nu16091297

