Myopia and Nutrient Associations with Age-Related Eye Diseases in Korean Adults: A Cross-Sectional KNHANES Study
Abstract
1. Introduction
2. Materials and Methods
2.1. Data Resource and Study Population
2.2. Demographic and Socio-Economic Data
2.3. Ocular Examinations
2.3.1. Myopia Criteria
2.3.2. Cataract
2.3.3. Age-Related Macular Degeneration
2.3.4. Glaucoma
2.4. Dietary Intake Assessment
2.5. Statistical Analysis
3. Results
3.1. Study Population and Characteristics
3.2. Prevalence of Myopia and Non-Myopia by Age
3.3. Prevalence of Eye Diseases
3.4. Association between Age-Related Eye Disease and Myopia
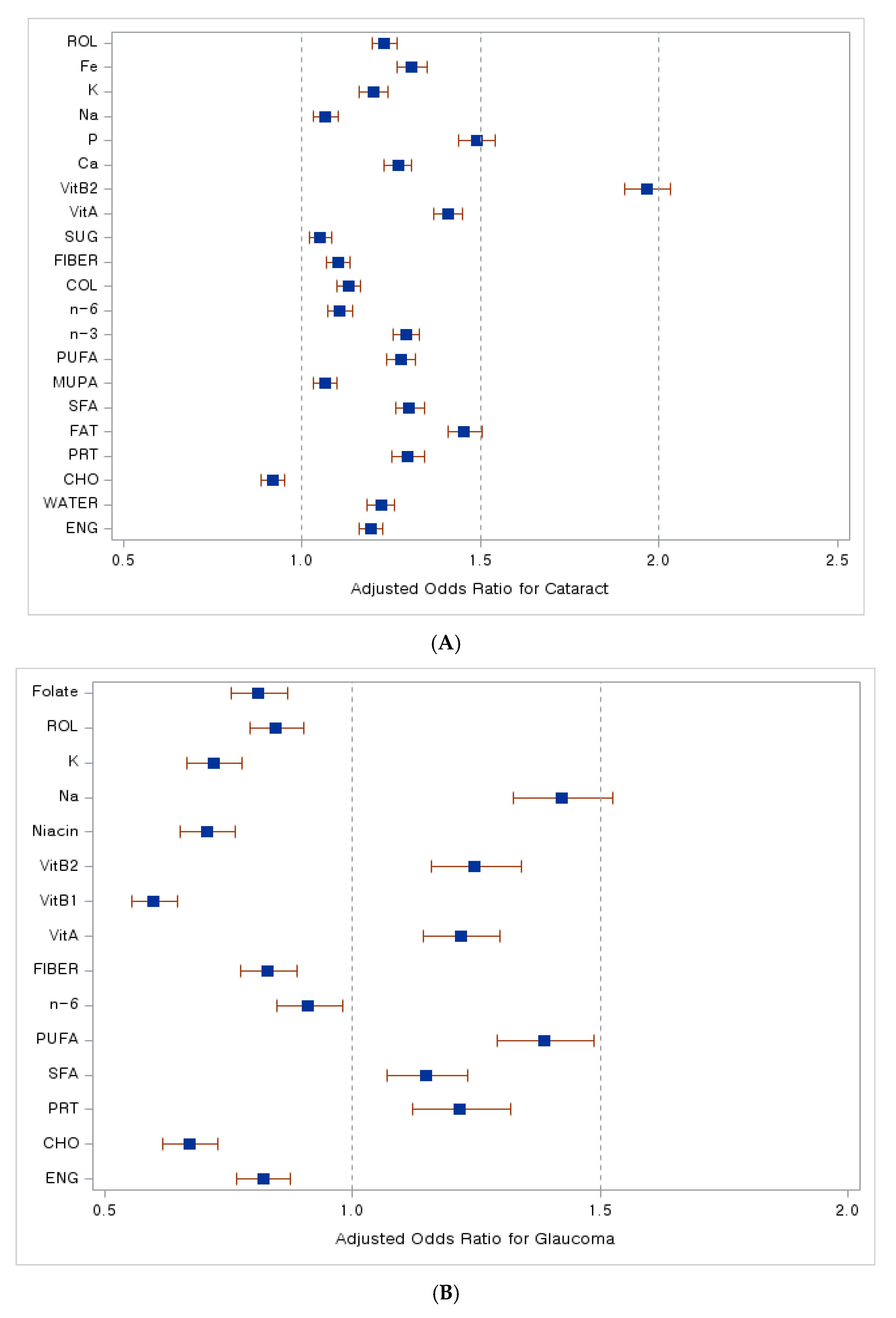
3.5. Nutrient Intake in Relation to Age-Related Eye Diseases
3.6. Nutritional Intake and Its Protective Role against Age-Related Eye Diseases
4. Discussion
4.1. Clinical Implications
4.2. Strengths and Limitations
4.3. Future Research
5. Conclusions
Author Contributions
Funding
Institutional Review Board Statement
Informed Consent Statement
Data Availability Statement
Acknowledgments
Conflicts of Interest
References
- Statistics Korea. Senior Citizen Statistics. 2022. Available online: https://kostat.go.kr/board.es?mid=a10301010000&bid=10820&tag=&act=view&list_no=420896&ref_bid (accessed on 25 August 2023).
- Statistics Korea. Life Expectancy. 2021. Available online: https://kostat.go.kr/board.es?mid=a10301060900&bid=208&act=view&list_no=422107 (accessed on 25 August 2023).
- World Health Organization. Blindness and Vision Impairment. 2023. Available online: https://www.who.int/news-room/fact-sheets/detail/blindness-and-visual-impairment (accessed on 20 August 2023).
- West, S. Epidemiology of cataract: Accomplishments over 25 years and future directions. Ophthalmic Epidemiol. 2007, 14, 173–178. [Google Scholar] [CrossRef] [PubMed]
- Toomey, C.B.; Johnson, L.V.; Bowes Rickman, C. Complement factor H in AMD: Bridging genetic associations and pathobiology. Prog. Retin. Eye Res. 2018, 62, 38–57. [Google Scholar] [CrossRef]
- Harasymowycz, P.; Birt, C.; Gooi, P.; Heckler, L.; Hutnik, C.; Jinapriya, D.; Shuba, L.; Yan, D.; Day, R. Medical Management of Glaucoma in the 21st Century from a Canadian Perspective. J. Ophthalmol. 2016, 2016, 6509809. [Google Scholar] [CrossRef]
- Holden, B.A.; Fricke, T.R.; Wilson, D.A.; Jong, M.; Naidoo, K.S.; Sankaridurg, P.; Wong, T.Y.; Naduvilath, T.J.; Resnikoff, S. Global prevalence of myopia and high myopia and temporal trends from 2000 through 2050. Ophthalmology 2016, 123, 1036–1042. [Google Scholar] [CrossRef]
- Morgan, I.G.; Ohno-Matsui, K.; Saw, S.M. Myopia. Lancet 2012, 379, 1739–1748. [Google Scholar] [CrossRef] [PubMed]
- Rim, T.H.; Kim, S.H.; Lim, K.H.; Choi, M.J.; Kim, H.Y.; Baek, S.H. Refractive errors in Koreans: The Korea National Health and nutrition examination survey 2008–2012. Korean J. Ophthalmol. 2016, 30, 214–224. [Google Scholar] [CrossRef] [PubMed]
- Bourke, C.M.; Loughman, J.; Flitcroft, D.I.; Loskutova, E.; O’Brien, C. We can’t afford to turn a blind eye to myopia. QJM 2019, 26, 635–639. [Google Scholar] [CrossRef]
- Verkicharla, P.K.; Ohno-Matsui, K.; Saw, S.M. Current and predicted demographics of high myopia and an update of its associated pathological changes. Ophthalmic Physiol. Opt. 2015, 35, 465–475. [Google Scholar] [CrossRef] [PubMed]
- Cho, B.J.; Heo, J.W.; Kim, T.W.; Ahn, J.; Chung, H. Prevalence and risk factors of age-related macular degeneration in Korea: The Korea National Health and Nutrition Examination Survey 2010–2011. Investig. Ophthalmol. Vis. Sci. 2014, 55, 1101–1108. [Google Scholar] [CrossRef]
- Friedman, D.S.; O’Colmain, B.J.; Muñoz, B.; Tomany, S.C.; McCarty, C.; de Jong, P.T.; Nemesure, B.; Mitchell, P.; Kempen, J.; Eye Diseases Prevalence Research Group. Prevalence of age-related macular degeneration in the United States. Arch. Ophthalmol. 2004, 122, 564–572. [Google Scholar]
- Chylack, L.T., Jr.; Wolfe, J.K.; Singer, D.M.; Leske, M.C.; Bullimore, M.A.; Bailey, I.L.; Friend, J.; McCarthy, D.; Wu, S.Y. The lens opacities classification system III. The longitudinal study of cataract study group. Arch. Ophthalmol. 1993, 111, 831–836. [Google Scholar] [CrossRef] [PubMed]
- Yoon, K.C.; Mun, G.H.; Kim, S.D.; Kim, S.H.; Kim, C.Y.; Park, K.H.; Park, Y.J.; Baek, S.H.; Song, S.J.; Shin, J.P.; et al. Prevalence of eye disease in South Korea: Data from the Korea National Health and nutrition examination survey 2008–2009. Korean J. Ophthalmol. 2011, 25, 421–433. [Google Scholar] [CrossRef] [PubMed]
- Bird, A.C.; Bressler, N.M.; Bressler, S.B.; Chisholm, I.H.; Coscas, G.; Davis, M.D.; de Jong, P.T.; Klaver, C.C.; Klein, B.E.; Klein, R.; et al. An international classification and grading system for age-related maculopathy and age-related macular degeneration. The International ARM Epidemiological Study Group. Surv. Ophthalmol. 1995, 39, 367–374. [Google Scholar] [CrossRef] [PubMed]
- Foster, P.J.; Buhrmann, R.; Quigley, H.A.; Johnson, G.J. The definition and classification of glaucoma in prevalence surveys. Br. J. Ophthalmol. 2002, 86, 238–242. [Google Scholar] [CrossRef] [PubMed]
- Park, S.J.; Lee, J.H.; Woo, S.J.; Ahn, J.; Shin, J.P.; Song, S.J.; Kang, S.W.; Park, K.H.; Epidemiologic Survey Committee of the Korean Ophthalmologic Society. Age-related macular degeneration: Prevalence and risk factors from Korean National Health and Nutrition Examination Survey, 2008 through 2011. Ophthalmology 2014, 121, 1756–1765. [Google Scholar] [CrossRef] [PubMed]
- Kim, K.; Kim, H.; Jun, T.J.; Kim, Y.H. Association of dietary sodium intake with impaired fasting glucose in adult cancer survivors: A population-based cross-sectional study. PLoS ONE 2023, 18, e0286346. [Google Scholar] [CrossRef] [PubMed]
- Kim, K.N.; Lee, J.S.; Shim, J.S.; Yoon, M.O.; Lee, H.S. Estimated dietary vitamin D intake and major vitamin D food sources of Koreans: Based on the Korea National Health and Nutrition Examination Survey 2016–2019. Nutr. Res. Pract. 2023, 17, 451–463. [Google Scholar] [CrossRef] [PubMed]
- Abdulhussein, D.; Abdul Hussein, M. WHO Vision 2020: Have We Done It? Ophthalmic Epidemiol. 2023, 30, 331–339. [Google Scholar] [CrossRef] [PubMed]
- Daien, V.; Le Pape, A.; Heve, D.; Carriere, I.; Villain, M. Incidence and characteristics of cataract surgery in France from 2009 to 2012: A national population study. Ophthalmology 2015, 122, 1633–1638. [Google Scholar] [CrossRef]
- Sacca, S.C.; Bolognesi, C.; Battistella, A.; Bagnis, A.; Izzotti, A. Gene–environment interactions in ocular diseases. Mutat. Res. 2009, 667, 98–117. [Google Scholar] [CrossRef]
- Beebe, D.C.; Holekamp, N.M.; Shui, Y.B. Oxidative damage and the prevention of age-related cataracts. Ophthalmic Res. 2010, 44, 155–165. [Google Scholar] [CrossRef]
- McCarty, C.A.; Taylor, H.R. A review of the epidemiologic evidence linking ultraviolet radiation and cataracts. Dev. Ophthalmol. 2002, 35, 21–31. [Google Scholar]
- Park, S.J.; Lee, J.H.; Kang, S.W.; Hyon, J.Y.; Park, K.H. Cataract and Cataract Surgery: Nationwide Prevalence and Clinical Determinants. J. Korean Med. Sci. 2016, 31, 963–971. [Google Scholar] [CrossRef] [PubMed]
- Song, P.; Wang, H.; Theodoratou, E.; Chan, K.Y.; Rudan, I. The national and subnational prevalence of cataract and cataract blindness in China: A systematic review and meta-analysis. J. Glob. Health 2018, 8, 010804. [Google Scholar] [CrossRef]
- Husain, R.; Tong, L.; Fong, A.; Cheng, J.F.; How, A.; Chua, W.H.; Lee, L.; Gazzard, G.; Tan, D.T.; Koh, D.; et al. Prevalence of cataract in rural Indonesia. Ophthalmology 2005, 112, 1255–1262. [Google Scholar] [CrossRef] [PubMed]
- Gupta, P.; Zhao, D.; Guallar, E.; Ko, F.; Boland, M.V.; Friedman, D.S. Prevalence of Glaucoma in the United States: The 2005–2008 National Health and Nutrition Examination Survey. Investig. Ophthalmol. Vis. Sci. 2016, 57, 2905–2913. [Google Scholar] [CrossRef] [PubMed]
- Kawasaki, R.; Yasuda, M.; Song, S.J.; Chen, S.J.; Jonas, J.B.; Wang, J.J.; Mitchell, P.; Wong, T.Y. The prevalence of age-related macular degeneration in Asians: A systematic review and meta-analysis. Ophthalmology 2010, 117, 921–927. [Google Scholar] [CrossRef]
- Zetterberg, M. Age-related eye disease and gender. Maturitas 2016, 83, 19–26. [Google Scholar] [CrossRef]
- Smith, W.; Mitchell, P.; Wang, J.J. Gender, oestrogen, hormone replacement and age-related macular degeneration: Results from the Blue Mountains Eye Study. Aust. N. Z. J. Ophthalmol. 1997, 25, 13–15. [Google Scholar] [CrossRef]
- Xu, L.; Wang, Y.; Li, Y.; Wang, Y.; Cui, T.; Li, J.; Jonas, J.B. Causes of blindness and visual impairment in urban and rural areas in Beijing: The Beijing eye study. Ophthalmology, 2016; 113, 1134.e1–1134.e11. [Google Scholar]
- Wong, W.L.; Su, X.; Li, X.; Cheung, C.M.; Klein, R.; Cheng, C.Y.; Wong, T.Y. Global prevalence of age-related macular degeneration and disease burden projection for 2020 and 2040: A systematic review and meta-analysis. Lancet Glob. Health 2014, 2, e106–e116. [Google Scholar] [CrossRef]
- Klaver, C.C.; Assink, J.J.; van Leeuwen, R.; Wolfs, R.C.; Vingerling, J.R.; Stijnen, T.; Hofman, A.; de Jong, P.T. Incidence and progression rates of age-related maculopathy: The Rotterdam Study. Investig. Ophthalmol. Vis. Sci. 2001, 42, 2237–2241. [Google Scholar]
- Francis, P.J.; Schultz, D.W.; Hamon, S.; Ott, J.; Weleber, R.G.; Klein, M. Haplotypes in the complement factor H (CFH) gene: Associations with drusen and advanced age-related macular degeneration. PLoS ONE 2007, 2, e1197. [Google Scholar] [CrossRef] [PubMed]
- Chakravarthy, U.; Wong, T.Y.; Fletcher, A.; Piault, E.; Evans, C.; Zlateva, G.; Buggage, R.; Pleil, A.; Mitchell, P. Clinical risk factors for age-related macular degeneration: A systematic review and meta-analysis. BMC Ophthalmol. 2010, 10, 31. [Google Scholar] [CrossRef] [PubMed]
- Thomas, C.J.; Mirza, R.G.; Gill, M.K. Age-related macular degeneration. Med. Clin. N. Am. 2021, 105, 473–491. [Google Scholar] [CrossRef] [PubMed]
- Abdull, M.M.; Chandler, C.; Gilbert, C. Glaucoma, “the silent thief of sight”: Patients’ perspectives and health seeking behaviour in Bauchi, northern Nigeria. BMC Ophthalmol. 2016, 16, 44. [Google Scholar] [CrossRef] [PubMed]
- Hashemi, H.; Mohammadi, M.; Zandvakil, N.; Khabazkhoob, M.; Emamian, M.H.; Shariati, M.; Fotouhi, A. Prevalence and risk factors of glaucoma in an adult population from Shahroud, Iran. J. Curr. Ophthalmol. 2018, 31, 366372. [Google Scholar] [CrossRef] [PubMed]
- McMonnies, C.W. Glaucoma history and risk factors. J. Optom. 2017, 10, 71–78. [Google Scholar] [CrossRef] [PubMed]
- Imrie, C.; Tatham, A.J. Glaucoma: The patient’s perspective. Br. J. Gen. Pract. 2016, 66, e371–e373. [Google Scholar] [CrossRef]
- Tham, Y.C.; Li, X.; Wong, T.Y.; Quigley, H.A.; Aung, T.; Cheng, C.Y. Global prevalence of glaucoma and projections of glaucoma burden through 2040: A systematic review and meta-analysis. Ophthalmology 2014, 12, 2081–2090. [Google Scholar] [CrossRef]
- Chung, J.K.; Lee, H.K.; Kim, M.K.; Kim, H.K.; Kim, S.W.; Kim, E.C.; Kim, H.S. Cataract surgery practices in the Republic of Korea: A survey of the Korean Society of Cataract and Refractive Surgery 2018. Korean J. Ophthalmol. 2019, 33, 451–457. [Google Scholar] [CrossRef]
- Gollogly, H.E.; Hodge, D.O.; St Sauver, J.L.; Erie, J.C. Increasing incidence of cataract surgery: Population-based study. J. Cataract Refract. Surg. 2013, 39, 1383–1389. [Google Scholar] [CrossRef]
- Kim, M.H.; Kim, M.S.; Kim, E.C. The safeness of cataract surgery in older subjects. J. Korean Ophthalmol. Soc. 2016, 57, 1044–1049. [Google Scholar] [CrossRef][Green Version]
- Kim, S.H.; Hwang, J.O.; Eom, Y.S.; Kang, S.Y.; Kim, H.M.; Song, J.S. Analysis of the change in the number of cataract surgeries: KNHIS data 2013–2018. J. Korean Ophthalmol. Soc. 2020, 61, 726–736. [Google Scholar] [CrossRef]
- Rim, T.H.T.; Woo, Y.J.; Park, H.J.; Kim, S.S. Current status and future expectations of cataract surgery in Korea: KNHANES IV. J. Korean Ophthalmol. Soc. 2014, 55, 1772–1778. [Google Scholar] [CrossRef]
- HIRA Bigdata Open Portal. Available online: https://opendata.hira.or.kr/op/opc/olapHthInsRvStatInfoTab14.do (accessed on 20 July 2023).
- Woo, G.J.; Kim, Y.J.; Oh, K.W. Prevalence, awareness and treatment rates of eye diseases: Korea National Health and Nutrition Examination Survey. Public Health Wkly. Rep. 2019, 12, 717–721. [Google Scholar]
- Tideman, J.W.; Snabel, M.C.; Tedja, M.S.; van Rijn, G.A.; Wong, K.T.; Kuijpers, R.W.; Vingerling, J.R.; Hofman, A.; Buitendijk, G.H.; Keunen, J.E.; et al. Association of axial length with risk of uncorrectable visual impairment for Europeans with myopia. JAMA Ophthalmol. 2016, 134, 1355–1363. [Google Scholar] [CrossRef]
- Ohno-Matsui, K. Pathologic myopia. Asia Pac. J. Ophthalmol. 2016, 5, 415–423. [Google Scholar] [CrossRef]
- Bullimore, M.A.; Brennan, N.A. Myopia control: Why each diopter matters. Optom. Vis. Sci. 2019, 96, 463–465. [Google Scholar] [CrossRef]
- Haarman, A.E.G.; Enthoven, C.A.; Tideman, J.W.L.; Tedja, M.S.; Verhoeven, V.J.M.; Klaver, C.C.W. The complications of myopia: A review and meta-analysis. Investig. Ohthalmol. Vis. Sci. 2020, 61, 49. [Google Scholar] [CrossRef]
- Iwase, A.; Araie, M.; Tomidokoro, A.; Yamamoto, T.; Shimizu, H.; Kitazawa, Y. Prevalence and causes of low vision and blindness in a japanese adult population: The tajimi study. Ophthalmology 2006, 113, 1354–1362. [Google Scholar] [CrossRef]
- Liang, Y.B.; Friedman, D.S.; Wong, T.Y.; Zhan, S.Y.; Sun, L.P.; Wang, J.J.; Duan, X.R.; Yang, X.H.; Wang, F.H.; Zhou, Q.; et al. Prevalence and causes of low vision and blindness in a rural chinese adult population: The handan eye study. Ophthalmology 2008, 115, 1965–1972. [Google Scholar] [CrossRef]
- Morgan, I.; Rose, K. How genetic is school myopia? Prog. Retin. Eye Res. 2005, 24, 1–38. [Google Scholar] [CrossRef] [PubMed]
- Pan, C.W.; Ramamurthy, D.; Saw, S.M. Worldwide prevalence and risk factors for myopia. Ophthalmic Physiol. Opt. 2012, 32, 3–16. [Google Scholar] [CrossRef] [PubMed]
- Seddon, J.M.; Ajani, U.A.; Sperduto, R.D.; Hiller, R.; Blair, N.; Burton, T.C.; Farber, M.D.; Gragoudas, E.S.; Haller, J.; Miller, D.T.; et al. Dietary carotenoids, vitamins A, C, and E, and advanced age-related macular degeneration. Eye Disease Case-Control Study Group. JAMA 1994, 272, 1413–1420. [Google Scholar] [CrossRef] [PubMed]
- Chiu, C.J.; Taylor, A. Nutritional antioxidants and age-related cataract and maculopathy. Exp. Eye Res. 2007, 84, 229–245. [Google Scholar] [CrossRef] [PubMed]
- Gopinath, B.; Flood, V.M.; Rochtchina, E.; McMahon, C.M.; Mitchell, P. Consumption of omega-3 fatty acids and fish and risk of age-related hearing loss. Am. J. Clin. Nutr. 2010, 92, 416–421. [Google Scholar] [CrossRef] [PubMed]
- Braakhuis, A.J.; Donaldson, C.I.; Lim, J.C.; Donaldson, P.J. Nutritional strategies to prevent lens cataract: Current status and future strategies. Nutrients 2019, 11, 1186. [Google Scholar] [CrossRef] [PubMed]
- Weikel, K.A.; Garber, C.; Baburins, A.; Taylor, A. Nutritional modulation of cataract. Nutr. Rev. 2014, 72, 30–47. [Google Scholar] [CrossRef] [PubMed]
- Lim, J.C.; Caballero Arredondo, M.; Braakhuis, A.J.; Donaldson, P.J. Vitamin C and the Lens: New Insights into Delaying the Onset of Cataract. Nutrients 2020, 12, 3142. [Google Scholar] [CrossRef]
- Schleicher, M.; Weikel, K.; Garber, C.; Taylor, A. Diminishing risk for age-related macular degeneration with nutrition: A current view. Nutrients 2013, 5, 2405–2456. [Google Scholar] [CrossRef]
- Kang, J.H.; Wu, J.; Cho, E.; Ogata, S.; Jacques, P.; Taylor, A.; Chiu, C.J.; Wiggs, J.L.; Seddon, J.M.; Hankinson, S.E.; et al. Contribution of the Nurses’ Health Study to the Epidemiology of Cataract, Age-Related Macular Degeneration, and Glaucoma. Am. J. Public Health 2016, 106, 1684–1689. [Google Scholar] [CrossRef] [PubMed]
- Francisco, S.G.; Smith, K.M.; Aragonès, G.; Whitcomb, E.A.; Weinberg, J.; Wang, X.; Bejarano, E.; Taylor, A.; Rowan, S. Dietary Patterns, Carbohydrates, and Age-Related Eye Diseases. Nutrients 2020, 12, 2862. [Google Scholar] [CrossRef] [PubMed]
- Glaser, T.S.; Doss, L.E.; Shih, G.; Nigam, D.; Sperduto, R.D.; Ferris, F.L., 3rd; Agrón, E.; Clemons, T.E.; Chew, E.Y.; Age-Related Eye Disease Study Research Group. The Association of Dietary Lutein plus Zeaxanthin and B Vitamins with Cataracts in the Age-Related Eye Disease Study: AREDS Report No. 37. Ophthalmology 2015, 122, 1471–1479. [Google Scholar] [CrossRef] [PubMed]
- Zhou, J.; Lou, L.; Jin, K.; Ye, J. Association between Healthy Eating Index-2015 and Age-Related Cataract in American Adults: A Cross-Sectional Study of NHANES 2005–2008. Nutrients 2022, 15, 98. [Google Scholar] [CrossRef] [PubMed]
- Adachi, S.; Sawada, N.; Yuki, K.; Uchino, M.; Iwasaki, M.; Tsubota, K.; Tsugane, S. Intake of vegetables and fruits and the risk of cataract incidence in a Japanese population: The Japan public health center-based prospective study. J. Epidemiol. 2021, 31, 21–29. [Google Scholar] [CrossRef] [PubMed]
- Jee, D.; Kang, S.; Huang, S.; Park, S. Polygenetic-Risk Scores Related to Crystallin Metabolism Are Associated with Age-Related Cataract Formation and Interact with Hyperglycemia, Hypertension, Western-Style Diet, and Na Intake. Nutrients 2020, 12, 3534. [Google Scholar] [CrossRef] [PubMed]
- Coleman, A.L.; Stone, K.L.; Kodjebacheva, G.; Yu, F.; Pedula, K.L.; Ensrud, K.E.; Cauley, J.A.; Hochberg, M.C.; Topouzis, F.; Badala, F.; et al. Glaucoma risk and the consumption of fruits and vegetables among older women in the study of osteoporotic fractures. Am. J. Ophthalmol. 2008, 145, 1081–1089. [Google Scholar] [CrossRef] [PubMed]
- Chen, Y.Y.; Chen, Y.J. The Relationship between Dietary Calcium and Age-Related Macular Degeneration. Nutrients 2023, 15, 671. [Google Scholar] [CrossRef]
- Chong, E.W.; Robman, L.D.; Simpson, J.A.; Hodge, A.M.; Aung, K.Z.; Dolphin, T.K.; English, D.R.; Giles, G.G.; Guymer, R.H. Fat consumption and its association with age-related macular degeneration. Arch. Ophthalmol. 2009, 127, 674–680. [Google Scholar] [CrossRef]
- Perry, A.; Rasmussen, H.; Johnson, E.J. Xanthophyll (lutein, zeaxanthin) content in fruits, vegetables and corn and egg products. J. Food Compos. Anal. 2009, 22, 9–15. [Google Scholar] [CrossRef]
- Ma, L.; Yan, S.F.; Huang, Y.M.; Lu, X.R.; Qian, F.; Pang, H.L.; Xu, X.R.; Zou, Z.Y.; Dong, P.C.; Xiao, X.; et al. Effect of lutein and zeaxanthin on macular pigment and visual function in patients with early age-related macular degeneration. Ophthalmology 2012, 119, 2290–2297. [Google Scholar] [CrossRef] [PubMed]
- Manayi, A.; Abdollahi, M.; Raman, T.; Nabavi, S.F.; Habtemariam, S.; Daglia, M.; Nabavi, S.M. Lutein and cataract: From bench to bedside. Crit. Rev. Biotechnol. 2016, 36, 829–839. [Google Scholar] [CrossRef] [PubMed]
- Pombeiro-Sponchiado, S.R.; Sousa, G.S.; Andrade, J.C.; Lisboa, H.F.; Gonçalves, R.C. Production of melanin pigment by fungi and its biotechnological applications. In Melanin; IntechOpen: London, UK, 2017. [Google Scholar]
- DePhillipo, N.N.; Aman, Z.S.; Kennedy, M.I.; Begley, J.P.; Moatshe, G.; LaPrade, R.F. Efficacy of vitamin C supplementation on collagen synthesis and oxidative stress after musculoskeletal injuries: A systematic review. Orthop. J. Sports Med. 2018, 6, 2325967118804544. [Google Scholar] [CrossRef] [PubMed]
- McCusker, M.M.; Durrani, K.; Payette, M.J.; Suchecki, J. An eye on nutrition: The role of vitamins, essential fatty acids, and antioxidants in age-related macular degeneration, dry eye syndrome, and cataract. Clin. Dermatol. 2016, 34, 276–285. [Google Scholar] [CrossRef] [PubMed]
- Clemente-Suárez, V.J.; Peris-Ramos, H.C.; Redondo-Flórez, L.; Beltrán-Velasco, A.I.; Martín-Rodríguez, A.; David-Fernandez, S.; Yáñez-Sepúlveda, R.; Tornero-Aguilera, J.F. Personalizing Nutrition Strategies: Bridging Research and Public Health. J. Pers. Med. 2024, 14, 305. [Google Scholar] [CrossRef] [PubMed]
- Pan, C.W.; Cheng, C.Y.; Saw, S.M.; Wang, J.J.; Wong, T.Y. Myopia and age-related cataract: A systematic review and meta-analysis. Am. J. Ophthalmol. 2013, 156, 1021–1033.e1. [Google Scholar] [CrossRef]
- Saw, S.M.; Gazzard, G.; Shih-Yen, E.C.; Chua, W.H. Myopia and associated pathological complications. Ophthalmic Physiol. Opt. 2005, 25, 381–391. [Google Scholar] [CrossRef]




| Myopia N (%) | Non-Myopia N (%) | p-Value | |
|---|---|---|---|
| Number | 91,276 (44.6%) | 113,697 (55.4%) | |
| Age (years) | 54.88 ± 11.55 (3) | 62.51 ± 9.94 | <0.0001 (1) |
| Gender | <0.0001 (2) | ||
| Male | 36,704 (40.2%) | 52,467 (46.2%) | |
| Female | 54,572 (59.8%) | 61,230 (53.8%) | |
| Refractive error (SE *) (D) | −2.38 ± 2.35 | +0.78 ± 1.06 | <0.0001 |
| BMI ** (kg/m2) | 23.91 ± 3.24 | 24.16 ± 3.08 | <0.0001 |
| Current smoking | <0.0001 | ||
| Yes | 14,328 (15.7%) | 16,484 (14.5%) | |
| No | 76,948 (84.3%) | 97,213 (85.5%) | |
| Heavy alcohol | 0.0253 | ||
| Yes | 9957 (10.9%) | 12,053 (10.6%) | |
| No | 81,319 (89.1%) | 101,644 (89.4%) | |
| Near work activity | <0.0001 | ||
| ≤2 h/D | 51,861 (56.8%) | 86,473 (76.1%) | |
| >2 h/D | 39,415 (43.2%) | 27,224 (23.9%) | |
| Education | <0.0001 | ||
| Less than high school | 21,622 (23.7%) | 53,715 (47.2%) | |
| High school and above | 69,654 (76.3%) | 59,982 (52.8%) | |
| Household income | <0.0001 | ||
| Lowest quartile | 13,938 (15.3%) | 24,445 (21.5%) | |
| 2nd quartile | 20,754 (22.7%) | 30,265 (26.6%) | |
| 3rd quartile | 27,210 (29.8%) | 29,144 (25.6%) | |
| Highest quartile | 29,374 (32.3%) | 29,843 (26.3%) | |
| Residence | <0.0001 | ||
| Urban | 64,914 (71.1%) | 76,089 (66.9%) | |
| Rural | 26,362 (28.9%) | 37,608 (33.1%) | |
| Physical activity | <0.0001 | ||
| Yes | 37,655 (41.3%) | 43,792 (38.5%) | |
| No | 53,621 (58.7%) | 69,905 (61.5%) | |
| Last eye exam | <0.0001 | ||
| <1 year | 33,784 (37.0%) | 43,299 (38.0%) | |
| 1 year ≤ exam < 3 years | 15,230 (16.7%) | 18,414 (16.2%) | |
| ≥3 years | 18,346 (20.1%) | 23,489 (20.7%) | |
| None | 23,916 (26.2%) | 28,495 (25.1%) |
| Age Group (Years) | Myopia N (%) | Non-Myopia N (%) | p-Value |
|---|---|---|---|
| 40–49 | 38,333 (74.9%) | 12,867 (25.1%) | <0.0001 |
| 50–59 | 25,021 (45.1%) | 30,556 (54.9%) | <0.0001 |
| 60–69 | 14,113 (26.4%) | 39,388 (73.6%) | <0.0001 |
| 70–79 | 10,323 (28.8%) | 25,631 (71.2%) | <0.0001 |
| 80+ | 3486 (39.9%) | 5255 (60.1%) | <0.0001 |
| Total | 91,276 (44.6%) | 113,697 (55.4%) | <0.0001 |
| Gender | |||
| Male | 36,704 (41.2%) | 52,467 (58.8%) | <0.0001 |
| Female | 54,572 (47.1%) | 61,230 (52.9%) | <0.0001 |
| Age (Years) | Cataract N (%) | Glaucoma N (%) | Macular Degeneration N (%) | ||||||
|---|---|---|---|---|---|---|---|---|---|
| Male | Female | p-Value | Male | Female | p-Value | Male | Female | p-Value | |
| 40–49 | 261 (1.2%) | 360 (1.2%) | 0.8841 | 0 (0.0%) | 57 (0.2%) | <0.0001 | 903 (4.2%) | 668 (2.2%) | <0.0001 |
| 50–59 | 875 (3.9%) | 2079 (6.3%) | <0.0001 | 230 (1.0%) | 573 (1.7%) | <0.0001 | 2346 (10.5%) | 2726 (8.2%) | <0.0001 |
| 60–69 | 3393 (13.4%) | 8047 (28.5%) | <0.0001 | 512 (2.0%) | 907 (3.2%) | <0.0001 | 5006 (19.8%) | 6217 (22.0%) | <0.0001 |
| 70–79 | 7613 (46.5%) | 11,357 (58.0%) | <0.0001 | 857 (5.2%) | 1069 (5.5%) | 0.3660 | 6341 (38.8%) | 6020 (30.7%) | <0.0001 |
| 80+ | 2412 (62.6%) | 3290 (67.3%) | <0.0001 | 232 (6.0%) | 266 (5.4%) | 0.2481 | 1083 (28.1%) | 1900 (38.9%) | <0.0001 |
| Total | 14,554 (16.3%) | 25,133 (21.7%) | <0.0001 | 1831 (2.1%) | 2872 (2.5%) | <0.0001 | 15,679 (17.6%) | 17,531 (15.1%) | <0.0001 |
| p-value | <0.0001 | <0.0001 | <0.0001 | <0.0001 | <0.0001 | <0.0001 | |||
| Myopia | Non-Myopia | |||||||||
|---|---|---|---|---|---|---|---|---|---|---|
| N | Model 1 (1) OR (95% CI) | p | Model 2 (2) OR (95% CI) | p | N | Model 1 OR (95% CI) | p | Model 2 OR (95% CI) | p | |
| Cataract | ||||||||||
| 40–49 | 417 | 0.007 (0.007–0.009) | <0.0001 | 0.004 (0.004–0.005) | <0.0001 | 204 | 0.012 (0.010–0.014) | <0.0001 | 0.010 (0.009–0.012) | <0.0001 |
| 50–59 | 1047 | 0.025 (0.023–0.028) | <0.0001 | 0.015 (0.014–0.017) | <0.0001 | 1907 | 0.047 (0.043–0.051) | <0.0001 | 0.041 (0.038–0.044) | <0.0001 |
| 60–69 | 3078 | 0.135 (0.123–0.147) | <0.0001 | 0.113 (0.103–0.123) | <0.0001 | 8362 | 0.179 (0.168–0.191) | <0.0001 | 0.166 (0.156–0.176) | <0.0001 |
| 70–79 | 7089 | 0.858 (0.787–0.936) | <0.0001 | 0.865 (0.794–0.943) | <0.0001 | 11,881 | 0.545 (0.513–0.580) | <0.0001 | 0.553 (0.520–0.588) | <0.0001 |
| 80+ | 2507 | 1 | 1 | 3195 | 1 | 1 | ||||
| Glaucoma | ||||||||||
| 40–49 | 0 | - | - | - | - | 57 | 0.244 (0.178–0.334) | <0.0001 | 0.098 (0.073–0.132) | <0.0001 |
| 50–59 | 377 | 0.158 (0.132–0.190) | 0.9423 | 0.194 (0.165–0.228) | 0.9396 | 426 | 0.645 (0.538–0.774) | 0.6983 | 0.321 (0.271–0.382) | <0.0001 |
| 60–69 | 717 | 0.674 (0.579–0.785) | 0.9056 | 0.713 (0.617–0.823) | 0.9060 | 702 | 0.617 (0.525–0.726) | 0.5920 | 0.452 (0.385–0.530) | 0.3195 |
| 70–79 | 865 | 1.142 (0.991–1.315) | 0.8923 | 1.116 (0.970–1.284) | 0.8945 | 1061 | 1.040 (0.893–1.211) | <0.0001 | 1.057 (0.908–1.230) | <0.0001 |
| 80+ | 289 | 1 | 1 | 209 | 1 | 1 | ||||
| MD | ||||||||||
| 40–49 | 1137 | 0.067 (0.061–0.075) | <0.0001 | 0.050 (0.045–0.055) | <0.0001 | 434 | 0.083 (0.074–0.094) | <0.0001 | 0.076 (0.068–0.086) | <0.0001 |
| 50–59 | 2037 | 0.148 (0.135–0.162) | <0.0001 | 0.148 (0.136–0.161) | <0.0001 | 3035 | 0.251 (0.233–0.271) | <0.0001 | 0.248 (0.231–0.266) | <0.0001 |
| 60–69 | 2816 | 0.402 (0.369–0.438) | <0.0001 | 0.452 (0.417–0.491) | <0.0001 | 8407 | 0.611 (0.573–0.652) | <0.0001 | 0.615 (0.577–0.656) | <0.0001 |
| 70–79 | 3240 | 0.728 (0.671–0.790) | <0.0001 | 0.786 (0.724–0.852) | <0.0001 | 9121 | 1.223 (1.147–1.304) | <0.0001 | 1.195 (1.120–1.274) | <0.0001 |
| 80+ | 1338 | 1 | 1 | 1645 | 1 | 1 | ||||
| 2020 DRI (8) | Cataract | Glaucoma | Macular Degeneration | |||||
|---|---|---|---|---|---|---|---|---|
| Male | Female | No (N = 165,286) | Yes (N = 39,687) | No (N = 200,270) | Yes (N = 4703) | No (N = 171,763) | Yes (N = 33,210) | |
| Energy (Kcal) (1) | 2200 (9) | 1700 | 1996.760 ± 1.885 | 1956.618 ± 4.219 | 1991.740 ± 1.657 | 1871.789 ± 10.902 | 1989.619 ± 1.806 | 1985.721 ± 4.260 |
| Carbohydrates (g) (2) | 130 | 130 | 307.928 ± 0.179 | 301.423 ± 0.400 | 307.035 ± 0.157 | 291.072 ± 1.033 | 307.405 ± 0.171 | 302.856 ± 0.403 |
| Proteins (g) | 60 | 50 | 71.871 ± 0.051 | 73.361 ± 0.115 | 72.109 ± 0.045 | 74.303 ± 0.297 | 72.098 ± 0.049 | 72.477 ± 0.116 |
| Fats (g) | - | - | 40.484 ± 0.050 | 43.251 ± 0.111 | 40.963 ± 0.044 | 43.446 ± 0.287 | 40.985 ± 0.048 | 41.201 ± 0.112 |
| SFAs (g) (3) | - | - | 12.307 ± 0.018 | 12.953 ± 0.041 | 12.423 ± 0.016 | 12.841 ± 0.107 | 12.413 ± 0.018 | 12.532 ± 0.042 |
| MUSFAs (g) (4) | - | - | 12.948 ± 0.020 | 13.900 ± 0.045 | 13.113 ± 0.018 | 13.989 ± 0.117 | 13.124 ± 0.019 | 13.178 ± 0.046 |
| PUSFAs (g) (5) | - | - | 11.542 ± 0.017 | 12.519 ± 0.038 | 11.701 ± 0.015 | 13.005 ± 0.098 | 11.747 ± 0.016 | 11.646 ± 0.038 |
| n-6 fatty acids (g) | - | - | 9.498 ± 0.014 | 10.133 ± 0.032 | 9.594 ± 0.013 | 10.785 ± 0.084 | 9.637 ± 0.014 | 9.538 ± 0.033 |
| Cholesterol (mg) | 300 | 300 | 230.826 ± 0.433 | 242.296 ± 0.970 | 233.131 ± 0.381 | 229.460 ± 2.508 | 235.187 ± 0.415 | 221.978 ± 0.979 |
| Fiber (g) | 30 | 20 | 28.536 ± 0.030 | 26.928 ± 0.067 | 28.255 ± 0.026 | 26.923 ± 0.174 | 28.297 ± 0.029 | 27.852 ± 0.068 |
| Sugar (g) | - | - | 58.318 ± 0.086 | 56.629 ± 0.193 | 57.973 ± 0.076 | 58.760 ± 0.500 | 58.134 ± 0.083 | 57.255 ± 0.195 |
| Calcium (mg) | 750 | 800 | 547.565 ± 0.735 | 565.694 ± 1.645 | 550.986 ± 0.646 | 554.853 ± 4.253 | 555.718 ± 0.704 | 527.061 ± 1.660 |
| Phosphorus (mg) | 700 | 700 | 1116.030 ± 0.731 | 1132.419 ± 1.637 | 1119.052 ± 0.643 | 1125.610 ± 4.231 | 1121.988 ± 0.700 | 1104.800 ± 1.652 |
| Iron (mg) | 10 | 8 | 13.121 ± 0.013 | 12.987 ± 0.030 | 13.094 ± 0.012 | 13.119 ± 0.077 | 13.100 ± 0.013 | 13.066 ± 0.030 |
| Sodium (mg) | 1500 | 1500 | 3569.355 ± 3.838 | 3511.706 ± 8.592 | 3555.653 ± 3.373 | 3666.356 ± 22.206 | 3556.278 ± 3.676 | 3568.098 ± 8.672 |
| Potassium (mg) | 3500 | 3500 | 3055.219 ± 2.359 | 3009.361 ± 5.282 | 3047.807 ± 2.074 | 2983.866 ± 13.652 | 3053.272 ± 2.260 | 3010.491 ± 5.331 |
| Vitamin A (μg RAE (6)) | 750 | 600 | 402.217 ± 1.043 | 412.323 ± 2.335 | 403.305 ± 0.917 | 441.180 ± 6.035 | 400.838 ± 0.999 | 421.427 ± 2.356 |
| β-carotene (μg) | - | - | 3199.480 (10) ± 6.351 | 3206.541 ± 14.219 | 3201.555 ± 5.583 | 3170.710 ± 36.748 | 3249.920 ± 6.077 | 2947.039 ± 14.338 |
| Retinol (μg) | - | - | 135.415 ± 0.875 | 144.931 ± 1.958 | 136.328 ± 0.769 | 176.853 ± 5.061 | 129.824 ± 0.837 | 175.703 ± 1.974 |
| Thiamin (mg) | 1.2 | 1.1 | 1.385 ± 0.001 | 1.397 ± 0.003 | 1.386 ± 0.001 | 1.443 ± 0.008 | 1.382 ± 0.001 | 1.414 ± 0.003 |
| Riboflavin (mg) | 1.5 | 1.2 | 1.591 ± 0.002 | 1.641 ± 0.003 | 1.598 ± 0.001 | 1.728 ± 0.009 | 1.602 ± 0.001 | 1.592 ± 0.003 |
| Niacin (mg) | 16 | 14 | 13.431 ± 0.012 | 13.443 ± 0.026 | 13.416 ± 0.010 | 14.170 ± 0.067 | 13.469 ± 0.011 | 13.249 ± 0.026 |
| Folate (μg DFE (7)) | 400 | 400 | 368.165 ± 0.360 | 367.515 ± 0.805 | 368.330 ± 0.316 | 355.654 ± 2.081 | 370.084 ± 0.344 | 357.467 ± 0.812 |
| Vitamin C (mg) | 100 | 100 | 69.419 ± 0.194 | 69.065 ± 0.435 | 69.326 ± 0.171 | 70.376 ± 1.125 | 68.874 ± 0.186 | 71.811 ± 0.439 |
| Disease Outcome | Nutrients Focusing on | Ref |
|---|---|---|
| ARC/AMD | Antioxidants: vitamins C, E, carotenoids | Chiu and Taylor (2007) [60] |
| Cataract | Antioxidants | Braakhuis et al. (2019) [62] |
| Cataract | Vitamin C, lutein/zeaxanthin, B vitamins, ω-3 fatty acids, multivitamins, and carbohydrates | Weikel et al. (2014) [63] |
| Cataract | Antioxidant interventions including vitamin C and vitamin C-based supplements | Lim et al. (2020) [64] |
| AMD | ω-3 fatty acids, lower-glycemic-index diets, and some carotenoids | Schleicher et al. (2013) [65] |
| Cataract, AMD, and glaucoma | Carotenoid, lower-glycemic-index diet, a healthy diet rich in fruits and vegetables | Kang et al. (2016) [66] |
| Cataract, AMD, and glaucoma | Dietary patterns and carbohydrates | Francisco et al. (2020) [67] |
| Study, Design | Nutrients Studied | Population (Age) | Disease Outcome | Key Findings | Ref. |
|---|---|---|---|---|---|
| Cross-sectional and prospective cohort study | Lutein, zeaxanthin, and vitamins B | 3115 (55–80) | Cataract | The highest vitamins B2 (OR = 0.62 [0.43–0.90], p = 0.01), B12 (OR = 0.62 [0.43–0.88], p = 0.01), B6 (OR = 0.67 [0.45–0.99]) | Glaser et al. (2015) [68] |
| Cross-sectional study | Total fruits, whole fruits, whole grains, and refined grains | 6395 (over 30) | Cataract | Total fruits (OR = 0.95 [0.90–0.99], p = 0.027), whole fruits (OR = 0.95 [0.91–0.99], p = 0.016), whole grains (OR = 0.97 [0.94–0.100], p = 0.024), refined grains (OR = 0.96 [0.93–0.99], p = 0.002) | Zhou et al. (2022) [69] |
| Prospective cohort study | Vegetables, cruciferous vegetables | 71,720 (45–74) | Cataract | Higher intake of vegetables for men [OR = 0.77 [0.59–1.01], p = 0.03), cruciferous vegetables for men (OR = 0.74 [0.57–0.96], p = 0.02), higher intake of vegetables for women (OR = 1.28 [1.06–1.53], p = 0.01) | Adachi et al. (2021) [70] |
| Hospital-based city cohort study | Na, coffee, a Western-style diet | 41,067 (over 50) | ARC | High Na, Western-style diet, and low coffee intake elevated its risk | Jee et al. (2020) [71] |
| Cross-sectional cohort study | Vitamins A, B, C, and E, carotene | 1155 (over 65) | Glaucoma | Vitamin B2 (OR = 0.39 [0.17–0.86], p = 0.019) | Coleman et al. (2008) [72] |
| Cross-sectional study | Mineral elements, calcium | 5227 (mean age 70.20 ± 11.43) | AMD | Dietary calcium (OR = 0.68 [0.48–0.96], p = 0.029) | Chen and Chen (2023) [73] |
| Cohort study | Trans-unsaturated fat, ω-3 fatty acids, and olive oil | 6734 (58–69) | AMD | Trans-fat (OR = 1.76 [0.92–3.37], p = 0.02), ω-3 (OR = 0.85 [ 0.71–1.02], p = 0.03; early AMD), olive oil (OR = 0.48 [0.22–1.04], p = 0.03; late AMD) | Chong et al. (2009) [74] |
| Multicenter case–control study | Carotenoids and vitamins A, C, and E | 876 (55–80) | Advanced AMD | Higher carotenoid (OR = 0.57 [0.35−0.92], p = 0.02) | Seddon et al. (1994) [59] |
Disclaimer/Publisher’s Note: The statements, opinions and data contained in all publications are solely those of the individual author(s) and contributor(s) and not of MDPI and/or the editor(s). MDPI and/or the editor(s) disclaim responsibility for any injury to people or property resulting from any ideas, methods, instructions or products referred to in the content. |
© 2024 by the authors. Licensee MDPI, Basel, Switzerland. This article is an open access article distributed under the terms and conditions of the Creative Commons Attribution (CC BY) license (https://creativecommons.org/licenses/by/4.0/).
Share and Cite
Kim, J.-M.; Choi, Y.-J. Myopia and Nutrient Associations with Age-Related Eye Diseases in Korean Adults: A Cross-Sectional KNHANES Study. Nutrients 2024, 16, 1276. https://doi.org/10.3390/nu16091276
Kim J-M, Choi Y-J. Myopia and Nutrient Associations with Age-Related Eye Diseases in Korean Adults: A Cross-Sectional KNHANES Study. Nutrients. 2024; 16(9):1276. https://doi.org/10.3390/nu16091276
Chicago/Turabian StyleKim, Jeong-Mee, and Yean-Jung Choi. 2024. "Myopia and Nutrient Associations with Age-Related Eye Diseases in Korean Adults: A Cross-Sectional KNHANES Study" Nutrients 16, no. 9: 1276. https://doi.org/10.3390/nu16091276
APA StyleKim, J.-M., & Choi, Y.-J. (2024). Myopia and Nutrient Associations with Age-Related Eye Diseases in Korean Adults: A Cross-Sectional KNHANES Study. Nutrients, 16(9), 1276. https://doi.org/10.3390/nu16091276

