Increased Depressive-like, Anxiety-like, and Perseverative-like Behavior in Binge Eating Model in Juvenile Rats
Abstract
1. Introduction
2. Materials and Methods
2.1. Animals
2.2. Experimental Design
2.3. Diets
2.4. Caloric Restriction–Refeeding Cycles Plus Stress
2.4.1. Group One: Control (Restriction—No, Stress—No)
2.4.2. Group Two: Caloric Restriction (Restriction—Yes, Stress—No)
2.4.3. Group Three: Induced Stress (Restriction—No, Stress—Yes)
2.4.4. Group Four: Binge Eating Model (Restriction—Yes, Stress—Yes)
2.5. Standard Food Restrictions
2.6. Stress-Induction Procedure
2.7. Behavioral Tests
2.8. Forced Swim Test (Depressive-like)
2.9. Defensive Burying Test (Anxiety-like)
2.10. Y-Maze Test (Perseverative-like Behavior)
2.11. Statistical Analysis
3. Results
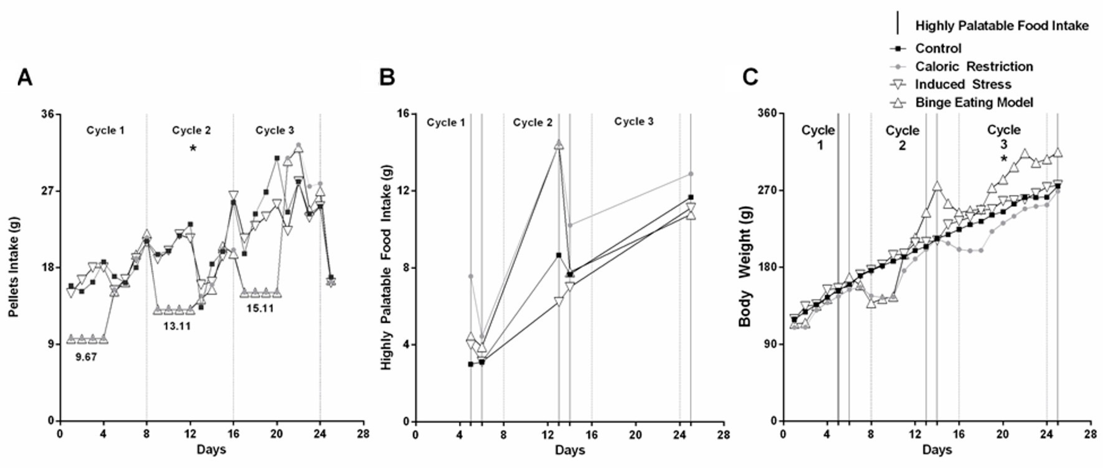
3.1. Effect of Caloric Restriction–Refeeding Cycles Plus Stress on Binge Eating
3.1.1. Pellet Intake
3.1.2. Highly Palatable Food Intake
3.1.3. Body Weight
3.2. Effect of Caloric Restriction–Refeeding Cycles on Forced Swim Test Behavior
3.3. Effect of Caloric Restriction–Refeeding Cycles on Defensive Burying Test
3.4. Effect of Caloric Restriction–Refeeding Cycles on Y-Maze Behavior
4. Discussion
5. Conclusions
Author Contributions
Funding
Institutional Review Board Statement
Informed Consent Statement
Data Availability Statement
Conflicts of Interest
References
- American Psychiatric Association. Diagnostic and Statistical Manual of Mental Disorders: DSM-5; American Psychiatric Association: Washington, DC, USA, 2013. [Google Scholar]
- Pernalete, A.R.M.; Gutierrez, C.A.G.; Alvarado, C.J.P.; Flores, D.A.M.; Pérez, F.A.P.; Navas, H.L.F.; Navea, J.M.P.; Linarez, M.A.P.; Flores, P.M.M. Factores de riesgo para los trastornos por atracón (TA) y su asociación con la obesidad en adolescentes. Gac. Médica México 2014, 150 (Suppl. S1), 125–131. [Google Scholar]
- Fandiño, J.; Moreira, R.O.; Preissler, C.; Gaya, C.W.; Papelbaum, M.; Coutinho, W.F.; Appolinario, J.C. Impact of binge eating disorder in the psychopathological profile of obese women. Compr. Psychiatry 2010, 51, 110–114. [Google Scholar] [CrossRef] [PubMed]
- Morales, A.; Gómes, A.; Jiménez, B.; Jiménez, F.; León, G.; Majano, A.; Rivas, D.; Rodríguez, M.; Soto, C. Binge Eating Disorder: Prevalence, Associated Factors and Obesity in University Students. Rev. Colomb. Psiquiatr. 2015, 44, 177–182. [Google Scholar] [CrossRef] [PubMed]
- Cebolla, A.; Perpiñá, C.; Lurbe, E.; Alvarez-Pitti, J.; Botella, C. Prevalence of binge eating disorder among a clinical sample of obese children. An. Pediatr. 2012, 77, 98–102. [Google Scholar] [CrossRef] [PubMed][Green Version]
- Benjet, C.; Méndez, E.; Borges, G.; Medina-Mora, M.E. Epidemiología de los trastornos de la conducta alimentaria en una muestra representativa de adolescentes. Salud Ment. 2012, 35, 483–490. [Google Scholar]
- Voon, V.; Morris, L.S.; Irvine, M.A.; Ruck, C.; Worbe, Y.; Derbyshire, K.; Rankov, V.; Schreiber, L.R.; Odlaug, B.L.; Harrison, N.A.; et al. Risk-taking in disorders of natural and drug rewards: Neural correlates and effects of probability, valence, and magnitude. Neuropsychopharmacology 2015, 40, 804–812. [Google Scholar] [CrossRef] [PubMed]
- Smith, G.P. Animal models of human eating disorders. Ann. N. Y. Acad. Sci. 1989, 575, 63–72; discussion 73–74. [Google Scholar] [CrossRef] [PubMed]
- McKinney, W.T., Jr. Animal models in psychiatry. Perspect. Biol. Med. 1974, 17, 529–542. [Google Scholar] [CrossRef] [PubMed]
- Corwin, R.L.; Buda-Levin, A. Behavioral models of binge-type eating. Physiol. Behav. 2004, 82, 123–130. [Google Scholar] [CrossRef]
- Corwin, R.L.; Babbs, R.K. Rodent models of binge eating: Are they models of addiction? ILAR J. 2012, 53, 23–34. [Google Scholar] [CrossRef]
- Hagan, M.M.; Wauford, P.K.; Chandler, P.C.; Jarrett, L.A.; Rybak, R.J.; Blackburn, K. A new animal model of binge eating: Key synergistic role of past caloric restriction and stress. Physiol. Behav. 2002, 77, 45–54. [Google Scholar] [CrossRef] [PubMed]
- Di Bonaventura, M.V.M.; Ubaldi, M.; Liberati, S.; Ciccocioppo, R.; Massi, M.; Cifani, C. Caloric restriction increases the sensitivity to the hyperphagic effect of nociceptin/orphanin FQ limiting its ability to reduce binge eating in female rats. Psychopharmacology 2013, 228, 53–63. [Google Scholar] [CrossRef] [PubMed]
- Fernández, M.A.R.; Vilca, C.M.C.; Batista, L.O.; Ramos, V.W.; Cinelli, L.P.; de Albuquerque, K.T. Intermittent food restriction in female rats induces SREBP high expression in hypothalamus and immediately postfasting hyperphagia. Nutrition 2018, 48, 122–126. [Google Scholar] [CrossRef] [PubMed]
- Heal, D.J.; Hallam, M.; Prow, M.; Gosden, J.; Cheetham, S.; Choi, Y.K.; Tarazi, F.; Hutson, P. Dopamine and μ-opioid receptor dysregulation in the brains of binge-eating female rats—Possible relevance in the psychopathology and treatment of binge-eating disorder. J. Psychopharmacol. 2017, 31, 770–783. [Google Scholar] [CrossRef] [PubMed]
- Cottone, P.; Sabino, V.; Steardo, L.; Zorrilla, E.P. Consummatory, anxiety-related and metabolic adaptations in female rats with alternating access to preferred food. Psychoneuroendocrinology 2009, 34, 38–49. [Google Scholar] [CrossRef]
- Parylak, S.L.; Cottone, P.; Sabino, V.; Rice, K.C.; Zorrilla, E.P. Effects of CB1 and CRF1 receptor antagonists on binge-like eating in rats with limited access to a sweet fat diet: Lack of withdrawal-like responses. Physiol. Behav. 2012, 107, 231–242. [Google Scholar] [CrossRef] [PubMed]
- Avena, N.M. The study of food addiction using animal models of binge eating. Appetite 2010, 55, 734–737. [Google Scholar] [CrossRef]
- Hussain, Y.; Krishnamurthy, S. Piracetam attenuates binge eating disorder related symptoms in rats. Pharmacol. Biochem. Behav. 2018, 169, 35–47. [Google Scholar] [CrossRef]
- Porsolt, R.D.; Anton, G.; Blavet, N.; Jalfre, M. Behavioural despair in rats: A new model sensitive to antidepressant treatments. Eur. J. Pharmacol. 1978, 47, 379–391. [Google Scholar] [CrossRef]
- Treit, D.; Pinel, J.P.; Fibiger, H.C. Conditioned defensive burying: A new paradigm for the study of anxiolytic agents. Pharmacol. Biochem. Behav. 1981, 15, 619–626. [Google Scholar] [CrossRef]
- Murray, T.K.; Ridley, R.M. The effect of dizocilpine (MK-801) on conditional discrimination learning in the rat. Behav. Pharmacol. 1997, 8, 383–388. [Google Scholar] [CrossRef] [PubMed]
- Boggiano, M.M.; Chandler, P.C. Binge eating in rats produced by combining dieting with stress. Curr. Protoc. Neurosci. 2006, 36, 9–23. [Google Scholar] [CrossRef]
- Cifani, C.; Polidori, C.; Melotto, S.; Ciccocioppo, R.; Massi, M. A preclinical model of binge eating elicited by yo-yo dieting and stressful exposure to food: Effect of sibutramine, fluoxetine, topiramate, and midazolam. Psychopharmacology 2009, 204, 113–125. [Google Scholar] [CrossRef]
- Norma Oficial Mexicana-NOM-062-ZOO-1999; Especificaciones Técnicas para la Producción, Cuidado y uso de los Animales de Laboratorio. Diario Oficial de la Federación: Mexico City, Mexico, 2001.
- Aguilar, T.A.F.; Bañuelos, E.G. Bioethics in the Use of Experimental Animals. In Reflections on Bioethics; IntechOpen: London, UK, 2018. [Google Scholar]
- LabDiet. Laboratory Rodent Diet 5001; LabDiet: St. Louis, MO, USA, 2021. [Google Scholar]
- Lucki, I. The forced swimming test as a model for core and component behavioral effects of antidepressant drugs. Behav. Pharmacol. 1997, 8, 523–532. [Google Scholar] [CrossRef] [PubMed]
- Slattery, D.A.; Cryan, J.F. Using the rat forced swim test to assess antidepressant-like activity in rodents. Nat. Protoc. 2012, 7, 1009–1014. [Google Scholar] [CrossRef] [PubMed]
- Yankelevitch-Yahav, R.; Franko, M.; Huly, A.; Doron, R. The forced swim test as a model of depressive-like behavior. J. Vis. Exp. JoVE 2015, 97, e52587. [Google Scholar] [CrossRef]
- Detke, M.J.; Rickels, M.; Lucki, I. Active behaviors in the rat forced swimming test differentially produced by serotonergic and noradrenergic antidepressants. Psychopharmacology 1995, 121, 66–72. [Google Scholar] [CrossRef] [PubMed]
- López-Rubalcava, C.; Lucki, I. Strain differences in the behavioral effects of antidepressant drugs in the rat forced swimming test. Neuropsychopharmacology 2000, 22, 191–199. [Google Scholar] [CrossRef]
- Pinel, J.P.; Treit, D. Burying as a defensive response in rats. J. Comp. Physiol. Psychol. 1978, 92, 708. [Google Scholar] [CrossRef]
- De Boer, S.F.; Koolhaas, J.M. Defensive burying in rodents: Ethology, neurobiology and psychopharmacology. Eur. J. Pharmacol. 2003, 463, 145–161. [Google Scholar] [CrossRef]
- Hölter, S.M.; Garrett, L.; Einicke, J.; Sperling, B.; Dirscherl, P.; Zimprich, A.; Fuchs, H.; Gailus-Durner, V.; de Angelis, M.H.; Wurst, W. Assessing Cognition in Mice. Curr. Protoc. Mouse Biol. 2015, 5, 331–358. [Google Scholar] [CrossRef] [PubMed]
- Kraeuter, A.-K.; Guest, P.C.; Sarnyai, Z. The Y-Maze for Assessment of Spatial Working and Reference Memory in Mice. Methods Mol. Biol. 2019, 1916, 105–111. [Google Scholar] [CrossRef] [PubMed]
- Ulloa, R.E.; Nicolini, H.; Fernández-Guasti, A. Age differences in an animal model of obsessive-compulsive disorder: Participation of dopamine: Dopamine in an animal model of OCD. Pharmacol. Biochem. Behav. 2004, 78, 661–666. [Google Scholar] [CrossRef] [PubMed]
- van de Vondervoort, I.I.G.M.; Amiri, H.; Bruchhage, M.M.K.; Oomen, C.A.; Rustogi, N.; Cooper, J.D.; van Asten, J.J.A.; Heerschap, A.; Bahn, S.; Williams, S.C.R.; et al. Converging evidence points towards a role of insulin signaling in regulating compulsive behavior. Transl. Psychiatry 2019, 9, 225. [Google Scholar] [CrossRef] [PubMed]
- Marcus, M.D.; Kalarchian, M.A. Binge eating in children and adolescents. Int. J. Eat. Disord. 2003, 34 (Suppl. S1), S47–S57. [Google Scholar] [CrossRef] [PubMed]
- Satta, V.; Scherma, M.; Giunti, E.; Collu, R.; Fattore, L.; Fratta, W.; Fadda, P. Emotional profile of female rats showing binge eating behavior. Physiol. Behav. 2016, 163, 136–143. [Google Scholar] [CrossRef] [PubMed]
- Berner, L.A.; Avena, N.M.; Hoebel, B.G. Bingeing, self-restriction, and increased body weight in rats with limited access to a sweet-fat diet. Obesity 2008, 16, 1998–2002. [Google Scholar] [CrossRef]
- Chandler-Laney, P.; Castaneda, E.; Pritchett, C.; Smith, M.; Giddings, M.; Artiga, A.; Boggiano, M. A history of caloric restriction induces neurochemical and behavioral changes in rats consistent with models of depression. Pharmacol. Biochem. Behav. 2007, 87, 104–114. [Google Scholar] [CrossRef] [PubMed]
- Kelley, A.E.; Baldo, B.A.; Pratt, W.E.; Will, M.J. Corticostriatal-hypothalamic circuitry and food motivation: Integration of energy, action and reward. Physiol. Behav. 2005, 86, 773–795. [Google Scholar] [CrossRef]
- França, A.P.; Schamne, M.G.; de Souza, B.S.; Scheffer, D.d.L.; Bernardelli, A.K.; Corrêa, T.; Izídio, G.d.S.; Latini, A.; da Silva-Santos, J.E.; Canas, P.M.; et al. Caffeine Consumption plus Physical Exercise Improves Behavioral Impairments and Stimulates Neuroplasticity in Spontaneously Hypertensive Rats (SHR): An Animal Model of Attention Deficit Hyperactivity Disorder. Mol. Neurobiol. 2020, 57, 3902–3919. [Google Scholar] [CrossRef]
- Hancock, S.D.; Menard, J.L.; Olmstead, M.C. Variations in maternal care influence vulnerability to stress-induced binge eating in female rats. Physiol. Behav. 2005, 85, 430–439. [Google Scholar] [CrossRef]
- Spear, L.P. The adolescent brain and age-related behavioral manifestations. Neurosci. Biobehav. Rev. 2000, 24, 417–463. [Google Scholar] [CrossRef]
- Zylan, K.D.; Brown, S.D. Effect of stress and food variety on food intake in male and female rats. Physiol. Behav. 1996, 59, 165–169. [Google Scholar] [CrossRef]
- Hicks, C.; Sabino, V.; Cottone, P. The Alpha-1 Adrenergic Receptor Antagonist Prazosin Reduces Binge-Like Eating in Rats. Nutrients 2020, 12, 1569. [Google Scholar] [CrossRef]
- Kreisler, A.D.; Mattock, M.; Zorrilla, E.P. The duration of intermittent access to preferred sucrose-rich food affects binge-like intake, fat accumulation, and fasting glucose in male rats. Appetite 2018, 130, 59–69. [Google Scholar] [CrossRef]
- Halbeisen, G.; Laskowski, N.; Brandt, G.; Waschescio, U.; Paslakis, G. Eating Disorders in Men. Dtsch. Arztebl. Int. 2024, 121, 86–91. [Google Scholar] [CrossRef]
- Hansson, A.C.; Cippitelli, A.; Sommer, W.H.; Fedeli, A.; Björk, K.; Soverchia, L.; Terasmaa, A.; Massi, M.; Heilig, M.; Ciccocioppo, R. Variation at the rat Crhr1 locus and sensitivity to relapse into alcohol seeking induced by environmental stress. Proc. Natl. Acad. Sci. USA 2006, 103, 15236–15241. [Google Scholar] [CrossRef]
- Hagan, M.M.; Moss, D.E. Persistence of binge-eating patterns after a history of restriction with intermittent bouts of refeeding on palatable food in rats: Implications for bulimia nervosa. Int. J. Eat. Disord. 1997, 22, 411–420. [Google Scholar] [CrossRef]
- Borsini, F.; Meli, A. Is the forced swimming test a suitable model for revealing antidepressant activity? Psychopharmacology 1988, 94, 147–160. [Google Scholar] [CrossRef]
- Colantuoni, C.; Rada, P.; McCarthy, J.; Patten, C.; Avena, N.M.; Chadeayne, A.; Hoebel, B.G. Evidence that intermittent, excessive sugar intake causes endogenous opioid dependence. Obes. Res. 2002, 10, 478–488. [Google Scholar] [CrossRef]





| Adaptation | Cycle 1 | Cycle 2 | Cycle 3 | |||||||
|---|---|---|---|---|---|---|---|---|---|---|
| Group | 3 Days | Days 1–4 | Days 5–6 | Days 7–8 | Days 9–12 | Days 13–14 | Days 15–16 | Days 17–20 | Days 21–24 | Day 25 |
| Control | Ad lib food | Ad lib food | Ad lib food + HPF (2 h) | Ad lib food | Ad lib food | Ad lib food + HPF (2 h) | Ad lib food | Ad lib food | Ad lib food | No stress+ ad lib food + HPF (2 h) |
| Caloric Restriction | Ad lib food | Food restriction | Ad lib food + HPF (2 h) | Ad lib food | Food restriction | Ad lib food + HPF (2 h) | Ad lib food | Food restriction | Ad lib food | No stress + ad lib food + HPF (2 h) |
| Induced Stress | Ad lib food | Ad lib food | Stress + ad lib food + HPF (2 h) | Ad lib food | Ad lib food | Stress + ad lib food + HPF (2 h) | Ad lib food | Ad lib food | Ad lib food | Stress + ad lib food + HPF (2 h) |
| Binge Eating Model | Ad lib food | Food restriction | Stress + Ad lib food + HPF (2 h) | Ad lib food | Food restriction | Stress + ad lib food + HPF (2 h) | Ad lib food | Food restriction | Ad lib food | Stress + ad lib food + HPF (2 h) |
Disclaimer/Publisher’s Note: The statements, opinions and data contained in all publications are solely those of the individual author(s) and contributor(s) and not of MDPI and/or the editor(s). MDPI and/or the editor(s) disclaim responsibility for any injury to people or property resulting from any ideas, methods, instructions or products referred to in the content. |
© 2024 by the authors. Licensee MDPI, Basel, Switzerland. This article is an open access article distributed under the terms and conditions of the Creative Commons Attribution (CC BY) license (https://creativecommons.org/licenses/by/4.0/).
Share and Cite
Genis-Mendoza, A.D.; Juárez-Rojop, I.E.; Escobar-Chan, Y.M.; Tovilla-Zárate, C.A.; López-Narváez, M.L.; Nicolini, H.; González-Castro, T.B. Increased Depressive-like, Anxiety-like, and Perseverative-like Behavior in Binge Eating Model in Juvenile Rats. Nutrients 2024, 16, 1275. https://doi.org/10.3390/nu16091275
Genis-Mendoza AD, Juárez-Rojop IE, Escobar-Chan YM, Tovilla-Zárate CA, López-Narváez ML, Nicolini H, González-Castro TB. Increased Depressive-like, Anxiety-like, and Perseverative-like Behavior in Binge Eating Model in Juvenile Rats. Nutrients. 2024; 16(9):1275. https://doi.org/10.3390/nu16091275
Chicago/Turabian StyleGenis-Mendoza, Alma Delia, Isela Esther Juárez-Rojop, Yudy Merady Escobar-Chan, Carlos Alfonso Tovilla-Zárate, María Lilia López-Narváez, Humberto Nicolini, and Thelma Beatriz González-Castro. 2024. "Increased Depressive-like, Anxiety-like, and Perseverative-like Behavior in Binge Eating Model in Juvenile Rats" Nutrients 16, no. 9: 1275. https://doi.org/10.3390/nu16091275
APA StyleGenis-Mendoza, A. D., Juárez-Rojop, I. E., Escobar-Chan, Y. M., Tovilla-Zárate, C. A., López-Narváez, M. L., Nicolini, H., & González-Castro, T. B. (2024). Increased Depressive-like, Anxiety-like, and Perseverative-like Behavior in Binge Eating Model in Juvenile Rats. Nutrients, 16(9), 1275. https://doi.org/10.3390/nu16091275

