Mapping Consumer Preference for Vegan and Omnivorous Diets for the Sensory Attributes of Flour Products with Iodine-Fortified Plant-Based Ingredients
Highlights
- Consumers of vegan and omnivorous diets are characterized by a similar desirability for the sensory characteristics of flour products with vegetables.
- The introduction of dried iodine-fortified vegetables (carrot, pumpkin, cauliflower, beetroot, and broccoli), at the level of 24% in Gnocchi dumplings and 5% in Ciabatta rolls, allows for the high sensory desirability of these products.
- The iodine content at levels 30 μg in 100 g of Gnocchi dumplings and 9–11 μg in 100 g of Ciabatta rolls does not change their sensory profile. This applies to both iodide and potassium iodate.
Abstract
1. Introduction
2. Materials and Methods
2.1. Study Design
2.2. Material
2.2.1. Carriers Preparation
2.2.2. Products Formulations
2.3. Methods
2.3.1. Sensory Analysis
Experimental Conditions
Participants
Methods of Sensory Analysis
2.3.2. Data Analysis
3. Results
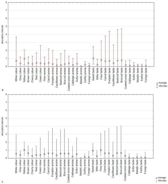
3.1. Sensory Profiling Results
3.2. Sensory Consumer Results
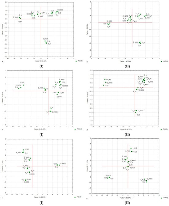
3.3. Relationships Between Descriptive and Consumer Desirability Data
4. Discussion
5. Conclusions
Supplementary Materials
Author Contributions
Funding
Institutional Review Board Statement
Informed Consent Statement
Data Availability Statement
Conflicts of Interest
References
- Zimmermann, M.B. The Remarkable Impact of Iodisation Programmes on Global Public Health. Proc. Nutr. Soc. 2023, 82, 113–119. [Google Scholar] [CrossRef] [PubMed]
- Nedić, O. Iodine: Physiological Importance and Food Sources. eFood 2023, 4, e63. [Google Scholar] [CrossRef]
- Zaremba, A.; Gramza-Michałowska, A.; Pal, K.; Szymandera-Buszka, K. The Effect of a Vegan Diet on the Coverage of the Recommended Dietary Allowance (RDA) for Iodine among People from Poland. Nutrients 2023, 15, 1163. [Google Scholar] [CrossRef] [PubMed]
- Petti, A.; Palmieri, B.; Vadalà, M.; Laurino, C. Vegetarianism and Veganism: Not Only Benefits but Also Gaps. A Review. Nutrition 2017, 19, 229–242. [Google Scholar] [CrossRef]
- Wang, T.; Liu, Y.; Kong, Q.; Cao, X.; Liu, Y.; Xia, S.; Zheng, T.; Yu, L. Effect of Moderate-to-Severe Iodine Deficiency in Early Pregnancy on Subclinical Hypothyroidism: A Longitudinal Study in an Iodine-Sufficient Region in China. Front. Nutr. 2022, 9, 839651. [Google Scholar] [CrossRef]
- Lisco, G.; De Tullio, A.; Triggiani, D.; Zupo, R.; Giagulli, V.A.; De Pergola, G.; Piazzolla, G.; Guastamacchia, E.; Sabbà, C.; Triggiani, V. Iodine Deficiency and Iodine Prophylaxis: An Overview and Update. Nutrients 2023, 15, 1004. [Google Scholar] [CrossRef]
- Andersson, M.; Takkouche, B.; Egli, I.; Allen, H.E.; De Benoist, B. Current Global Iodine Status and Progress over the Last Decade towards the Elimination of Iodine Deficiency. Bull. World Health Organ. 2005, 83, 518–525. [Google Scholar]
- Eastman, C.; Zimmermann, M. Iodine Deficiency Disorder. JK Pract. 2001, 8, 190–192. [Google Scholar]
- FAO; IFAD; UNICEF; WFP; WHO. The State of Food Security and Nutrition in the World 2020: Transforming Food Systems for Affordable Healthy Diets; FAO: Rome, Italy, 2020; ISBN 978-92-5-109888-2. [Google Scholar]
- WHO; UNICEF; ICDD. Assessment of Iodine Deficiency Disorders and Monitoring Their Elimination: A Guide for Programme Managers; World Health Organization: Geneva, Switzerland, 2007; ISBN 978 92 4 159582 7. [Google Scholar]
- WHO. Iodine Status Worldwide: WHO Global Database on Iodine Deficiency; WHO: Geneva, Switzerland, 2004. [Google Scholar]
- Zimmermann, M.B.; Andersson, M. Global Endocrinology: Global Perspectives in Endocrinology: Coverage of Iodized Salt Programs and Iodine Status in 2020. Eur. J. Endocrinol. 2021, 185, R13–R21. [Google Scholar] [CrossRef]
- Hunter, R.W.; Dhaun, N.; Bailey, M.A. The Impact of Excessive Salt Intake on Human Health. Nat. Rev. Nephrol. 2022, 18, 321–335. [Google Scholar] [CrossRef]
- World Health Organization. Guideline: Fortification of Food-Grade Salt with Iodine for the Prevention and Control of Iodine Deficiency Disorders; WHO Guideline; World Health Organization: Geneva, Switzerland, 2014; pp. 1–54. [Google Scholar]
- Zaremba, A.; Waszkowiak, K.; Kmiecik, D.; Jędrusek-Golińska, A.; Jarzębski, M.; Szymandera-Buszka, K. The Selection of the Optimal Impregnation Conditions of Vegetable Matrices with Iodine. Molecules 2022, 27, 3351. [Google Scholar] [CrossRef] [PubMed]
- Zimmermann, M.B.; Andersson, M. Assessment of Iodine Nutrition in Populations: Past, Present, and Future. Nutr. Rev. 2012, 70, 553–570. [Google Scholar] [CrossRef] [PubMed]
- Łusiak, P.; Mazur, J.; Sobczak, P.; Zawiślak, K.; Panasiewicz, M. The Use of Carrot and Apple Pomace in the Production of Healthy Snack Bars. Agric. Eng. 2023, 27, 289–300. [Google Scholar] [CrossRef]
- Eveleigh, E.R.; Coneyworth, L.J.; Avery, A.; Welham, S.J.M. Vegans, Vegetarians, and Omnivores: How Does Dietary Choice Influence Iodine Intake? A Systematic Review. Nutrients 2020, 12, 1606. [Google Scholar] [CrossRef]
- Medawar, E.; Huhn, S.; Villringer, A.; Veronica Witte, A. The Effects of Plant-Based Diets on the Body and the Brain: A Systematic Review. Transl. Psychiatry 2019, 9, 226. [Google Scholar] [CrossRef]
- Bali, A.; Naik, R. The Impact of a Vegan Diet on Many Aspects of Health: The Overlooked Side of Veganism. Cureus 2023, 15, e35148. [Google Scholar] [CrossRef]
- Selinger, E.; Neuenschwander, M.; Koller, A.; Gojda, J.; Kühn, T.; Schwingshackl, L.; Barbaresko, J.; Schlesinger, S. Evidence of a Vegan Diet for Health Benefits and Risks—An Umbrella Review of Meta-Analyses of Observational and Clinical Studies. Crit. Rev. Food Sci. Nutr. 2022, 63, 9926–9936. [Google Scholar] [CrossRef]
- Boushey, C.; Ard, J.; Bazzano, L.; Heymsfield, S.; Mayer-Davis, E.; Sabaté, J.; Snetselaar, L.; Van Horn, L.; Schneeman, B.; English, L.K.; et al. Dietary Patterns and All-Cause Mortality: A Systematic Review. In USDA Nutrition Evidence Systematic Review; USDA: Washington, DC, USA, 2020. [Google Scholar]
- Sandri, E.; Sguanci, M.; Cantín Larumbe, E.; Cerdá Olmedo, G.; Werner, L.U.; Piredda, M.; Mancin, S. Plant-Based Diets versus the Mediterranean Dietary Pattern and Their Socio-Demographic Determinants in the Spanish Population: Influence on Health and Lifestyle Habits. Nutrients 2024, 16, 1278. [Google Scholar] [CrossRef]
- Radnitz, C.; Beezhold, B.; DiMatteo, J. Investigation of Lifestyle Choices of Individuals Following a Vegan Diet for Health and Ethical Reasons. Appetite 2015, 90, 31–36. [Google Scholar] [CrossRef]
- Cramer, H.; Kessler, C.S.; Sundberg, T.; Leach, M.J.; Schumann, D.; Adams, J.; Lauche, R. Characteristics of Americans Choosing Vegetarian and Vegan Diets for Health Reasons. J. Nutr. Educ. Behav. 2017, 49, 561–567. [Google Scholar] [CrossRef]
- Eveleigh, E.R.; Coneyworth, L.; Welham, S.J.M. Systematic Review and Meta-Analysis of Iodine Nutrition in Modern Vegan and Vegetarian Diets. Br. J. Nutr. 2023, 130, 1580–1594. [Google Scholar] [CrossRef] [PubMed]
- Zaremba, A.; Cichoń, N.; Szymandera-Buszka, K. Designing a New Plant Product Enriched in Iodine with the additive of Beetroot-Fortified with Iodine. In Food Nowadays. Local or Global, Traditional or Innovative? Post-Conference Monograph; Beszterda-Buszczak, M., Przeor, M., Eds.; Wydawnictwo Uniwersytetu Przyrodniczego w Poznaniu: Poznań, Poland, 2022; pp. 22–36. ISBN 978-83-67112-29-1. [Google Scholar]
- Eertmans, A.; Baeyens, F.; Van den Bergh, O. Food Likes and Their Relative Importance in Human Eating Behavior: Review and Preliminary Suggestions for Health Promotion. Health Educ. Res. 2001, 16, 443–456. [Google Scholar] [CrossRef] [PubMed]
- Chen, P.; Antonelli, M. Conceptual Models of Food Choice: Influential Factors Related to Foods. Foods 2020, 9, 1898. [Google Scholar] [CrossRef]
- Wang, Q.J.; Mielby, L.A.; Junge, J.Y.; Bertelsen, A.S.; Kidmose, U.; Spence, C.; Byrne, D.V. The Role of Intrinsic and Extrinsic Sensory Factors in Sweetness Perception of Food and Beverages: A Review. Foods 2019, 8, 211. [Google Scholar] [CrossRef]
- Saba, A.; Sinesio, F.; Moneta, E.; Dinnella, C.; Laureati, M.; Torri, L.; Peparaio, M.; Saggia Civitelli, E.; Endrizzi, I.; Gasperi, F.; et al. Measuring Consumers Attitudes towards Health and Taste and Their Association with Food-Related Life-Styles and Preferences. Food Qual. Prefer. 2019, 73, 25–37. [Google Scholar] [CrossRef]
- Halagarda, M.; Suwała, G. Sensory Optimisation in New Food Product Development: A Case Study of Polish Apple Juice. Ital. J. Food Sci. 2018, 30, 317–335. [Google Scholar] [CrossRef]
- Jankowska, A.; Kobus-Cisowska, J.; Szymandera-Buszka, K. Antioxidant Properties of Beetroot Fortified with Iodine. J. Res. Appl. Agric. Eng. 2023, 68, 10–15. [Google Scholar] [CrossRef]
- Moretton, M.; Cattaneo, C.; Mosca, A.C.; Proserpio, C.; Anese, M.; Pagliarini, E.; Pellegrini, N. Identification of Desirable Mechanical and Sensory Properties of Bread for the Elderly. Food Qual. Prefer. 2023, 104, 104716. [Google Scholar] [CrossRef]
- Jankowska, A.; Szymandera-Buszka, K. Nutritional Adequacy of Flour Product Enrichment with Iodine-Fortified Plant-Based Products. Nutrients 2024, 16, 4261. [Google Scholar] [CrossRef]
- PN-EN ISO 8589; Sensory Analysis. General Guidance for the Design Studio of Sensory Analysis. Polish Committee for Standardization: Warszawa, Poland, 2010.
- ISO 13299; Sensory Analysis—Methodology—General Guidance for Establishing a Sensory Profile. International Organization for Standarization: Geneva, Switzerland, 2016.
- Kırbaş, Z.; Kumcuoglu, S.; Tavman, S. Effects of Apple, Orange and Carrot Pomace Powders on Gluten-Free Batter Rheology and Cake Properties. J. Food Sci. Technol. 2019, 56, 914–926. [Google Scholar] [CrossRef]
- Przybylski, W.; Jaworska, D.; Sionek, B.; Sankowska, W.; Wójtowicz, M. Functional and Sensory Properties of Gingerbread Enriched with the Addition of Vegetables. Appl. Sci. 2022, 12, 9267. [Google Scholar] [CrossRef]
- Drabińska, N.; Nogueira, M.; Ciska, E.; Jeleń, H. Effect of Drying and Broccoli Leaves Incorporation on the Nutritional Quality of Durum Wheat Pasta. Pol. J. Food Nutr. Sci. 2022, 72, 273–285. [Google Scholar] [CrossRef]
- Raczyk, M.; Polanowska, K.; Kruszewski, B.; Grygier, A.; Michałowska, D. Effect of Spirulina (Arthrospira platensis) Supplementation on Physical and Chemical Properties of Semolina (Triticum durum) Based Fresh Pasta. Molecules 2022, 27, 355. [Google Scholar] [CrossRef] [PubMed]
- Duda, A.; Adamczak, J.; Chelminska, P.; Juszkiewicz, J.; Kowalczewski, P. Quality and Nutritional/Textural Properties of Durum Wheat Pasta Enriched with Cricket Powder. Foods 2019, 8, 46. [Google Scholar] [CrossRef] [PubMed]
- Engel, E.; Baty, C.; Le Corre, D.; Souchon, I.; Martin, N. Flavor-Active Compounds Potentially Implicated in Cooked Cauliflower Acceptance. J. Agric. Food Chem. 2002, 50, 6459–6467. [Google Scholar] [CrossRef]
- Hanschen, F.S.; Kühn, C.; Nickel, M.; Rohn, S.; Dekker, M. Leaching and Degradation Kinetics of Glucosinolates during Boiling of Brassica oleracea Vegetables and the Formation of Their Breakdown Products. Food Chem. 2018, 263, 240–250. [Google Scholar] [CrossRef]
- Silva, E.; Gerritsen, L.; Dekker, M.; Van Der Linden, E.; Scholten, E. High Amounts of Broccoli in Pasta-like Products: Nutritional Evaluation and Sensory Acceptability. Food Funct. 2013, 4, 1700–1708. [Google Scholar] [CrossRef]
- Gray, P.J.; Conklin, S.D.; Todorov, T.I.; Kasko, S.M. Cooking Rice in Excess Water Reduces Both Arsenic and Enriched Vitamins in the Cooked Grain. Food Addit. Contam. Part A 2015, 33, 78–85. [Google Scholar] [CrossRef]
- van Stokkom, V.L.; de Graaf, C.; Wang, S.; van Kooten, O.; Stieger, M. Combinations of Vegetables Can Be More Accepted than Individual Vegetables. Food Qual. Prefer. 2019, 72, 147–158. [Google Scholar] [CrossRef]
- Drewnowski, A.; Gomez-Carneros, C. Bitter Taste, Phytonutrients, and the Consumer: A Review. Am. J. Clin. Nutr. 2000, 72, 1424–1435. [Google Scholar] [CrossRef]



| Sensory Attributes | Gnocchi Dumplings | Ciabatta Rolls | ||
|---|---|---|---|---|
| F1 | F2 | F1 | F2 | |
| Colour | ||||
| White | 0.122 | −0.442 | 0.108 | 0.317 |
| Grey | 0.700 * | −0.229 | 0.737 * | 0.029 |
| Yellow | −0.256 | −0.151 | −0.118 | 0.292 |
| Brown | −0.541 | 0.756 | −0.269 | −0.917 * |
| Cherry | −0.558 | 0.811 * | −0.521 | −0.806 * |
| Red | −0.572 | 0.798 * | −0.533 | −0.793 * |
| Green | 0.074 | −0.327 | −0.143 | 0.341 |
| Aroma | ||||
| Flour | −0.370 | −0.621 | −0.312 | 0.539 |
| Carrot | −0.374 | −0.259 | −0.222 | 0.348 |
| Pumpkin | −0.272 | −0.020 | −0.170 | 0.085 |
| Cauliflower | 0.942 * | 0.232 | 0.970 * | −0.219 |
| Beetroot | −0.348 | 0.808 * | −0.405 | −0.888 * |
| Broccoli | 0.074 | −0.327 | −0.144 | 0.345 |
| Cooked onion | 0.828 * | 0.369 | 0.912 * | −0.363 |
| Cabbage | 0.975 * | 0.138 | 0.861 * | −0.103 |
| Sulphur | 0.975 * | 0.145 | 0.949 * | −0.135 |
| Metallic | −0.222 | 0.539 | −0.224 | −0.488 |
| Earthy | 0.368 | 0.651 | 0.396 | −0.867 * |
| Taste | ||||
| Sweet | −0.453 | 0.860 * | −0.407 | −0.770 |
| Bitter | −0.216 | −0.428 | −0.269 | 0.517 |
| Flour | −0.081 | −0.617 | −0.097 | 0.471 |
| Carrot | −0.319 | −0.257 | −0.221 | 0.348 |
| Pumpkin | −0.272 | −0.020 | −0.169 | 0.086 |
| Cauliflower | 0.944 * | 0.233 | 0.970 | −0.218 |
| Beetroot | −0.370 | 0.851 * | −0.406 | −0.888 * |
| Broccoli | 0.075 | −0.327 | −0.144 | 0.344 |
| Cooked onion | 0.776 * | 0.181 | 0.793 * | −0.020 |
| Cabbage | 0.943 * | 0.235 | 0.967 * | −0.219 |
| Sulphur | 0.936 * | 0.229 | −0.226 | −0.495 |
| Metallic | 0.830 * | −0.046 | −0.445 | −0.769 * |
| Earthy | −0.273 | −0.250 | −0.193 | 0.324 |
| Foreign | 0.937 * | 0.235 | 0.945 * | −0.219 |
| SS * | df | MSE | F | p | |
|---|---|---|---|---|---|
| GNOCCHI | |||||
| Colour desirability | |||||
| Vegetable type | 1.24 | 5 | 0.25 | 3.73 | 0.03 |
| Iodine Form | 0.10 | 2 | 0.05 | 0.52 | 0.60 |
| Diet type | 0.25 | 1 | 0.25 | 2.66 | 0.11 |
| Aroma desirability | |||||
| Vegetable type | 40.72 | 5 | 8.15 | 271.50 | 0.00 |
| Iodine Form | 0.13 | 2 | 0.06 | 0.03 | 0.97 |
| Diet type | 0.67 | 1 | 0.67 | 0.29 | 0.59 |
| Taste desirability | |||||
| Vegetable type | 3.74 | 5 | 0.75 | 6.47 | 0.00 |
| Iodine Form | 0.06 | 2 | 0.03 | 0.09 | 0.92 |
| Diet type | 0.01 | 1 | 0.01 | 0.02 | 0.89 |
| Overall desirability | |||||
| Vegetable type | 3.74 | 5 | 0.75 | 6.47 | 0.00 |
| Iodine Form | 0.06 | 2 | 0.03 | 0.09 | 0.92 |
| Diet type | 0.01 | 1 | 0.01 | 0.02 | 0.89 |
| CIABATTA | |||||
| Colour desirability | |||||
| Vegetable type | 0.58 | 5 | 0.12 | 2.26 | 0.11 |
| Iodine Form | 0.04 | 2 | 0.02 | 0.24 | 0.79 |
| Diet type | 0.56 | 1 | 0.56 | 7.86 | 0.06 |
| Aroma desirability | |||||
| Vegetable type | 41.34 | 5 | 8.27 | 225.52 | 0.00 |
| Iodine Form | 0.18 | 2 | 0.09 | 0.04 | 0.96 |
| Diet type | 0.72 | 1 | 0.72 | 0.31 | 0.58 |
| Taste desirability | |||||
| Vegetable type | 3.02 | 5 | 0.61 | 17.00 | 0.00 |
| Iodine Form | 0.17 | 2 | 0.08 | 0.36 | 0.70 |
| Diet type | 0.10 | 1 | 0.10 | 0.43 | 0.52 |
| Overall desirability | |||||
| Vegetable type | 21.72 | 5 | 4.35 | 107.13 | 0.00 |
| Iodine Form | 0.05 | 2 | 0.03 | 0.02 | 0.98 |
| Diet type | 0.02 | 1 | 0.02 | 0.02 | 0.89 |
| Sensory Atribiutes | Consumer Desirability | |
|---|---|---|
| Vegan | Omnivore | |
| Colour | 0.276 | 0.279 |
| Aroma | 0.360 | 0.257 |
| Taste | 1.000 | 1.000 |
| Consumer Desirability | ||||
|---|---|---|---|---|
| Descriptors | Vegan Diet | Omnivore Diet | ||
| Colour | colour desirability | overall desirability | colour desirability | overall desirability |
| White | −0.496 | −0.262 | −0.405 | −0.308 |
| Grey | −0.471 | −0.355 | −0.323 | −0.299 |
| Yellow | −0.015 | 0.581 | 0.383 | 0.487 |
| Brown | 0.502 | −0.050 | 0.113 | −0.215 |
| Cherry | 0.538 | 0.054 | 0.120 | −0.181 |
| Red | 0.548 | 0.087 | 0.145 | −0.146 |
| Green | 0.066 | 0.042 | 0.100 | 0.286 |
| Aroma | aroma desirability | overall desirability | aroma desirability | overall desirability |
| Flour | −0.450 | 0.269 | −0.067 | 0.134 |
| Carrot | 0.297 | 0.247 | 0.253 | 0.202 |
| Pumpkin | 0.253 | 0.792 | 0.276 | 0.679 |
| Cauliflower | −0.980 * | −0.315 | −0.974 * | −0.201 |
| Beetroot | 0.257 | −0.456 | 0.177 | −0.580 |
| Broccoli | 0.194 | 0.042 | 0.242 | 0.283 |
| Cooked onion | −0.851 * | −0.253 | −0.844 * | −0.201 |
| Cabbage | −0.935 * | −0.318 | −0.916 * | −0.118 |
| Sulphur | −0.921 * | −0.303 | −0.901 * | −0.128 |
| Metallic | 0.137 | 0.114 | 0.192 | 0.109 |
| Earthy | −0.433 | −0.604 | −0.497 | −0.592 |
| Taste | taste desirability | overall desirability | taste desirability | overall desirability |
| Sweet | −0.053 | −0.062 | −0.258 | −0.317 |
| Bitter | 0.003 | 0.013 | 0.167 | 0.167 |
| Flour | −0.081 | −0.088 | −0.176 | −0.156 |
| Carrot | 0.051 | 0.079 | 0.063 | 0.066 |
| Pumpkin | 0.783 * | 0.791 * | 0.701 * | 0.705 * |
| Cauliflower | −0.311 | −0.321 | −0.271 | −0.208 |
| Beetroot | −0.304 | −0.314 | −0.442 | −0.491 |
| Broccoli | 0.044 | 0.040 | 0.307 | 0.300 |
| Cooked onion | 0.027 | 0.046 | 0.045 | 0.103 |
| Cabbage | −0.322 | −0.333 | −0.286 | −0.222 |
| Sulphur | −0.288 | −0.298 | −0.237 | −0.181 |
| Metallic | −0.216 | −0.227 | 0.052 | 0.101 |
| Earthy | −0.093 | −0.041 | −0.020 | −0.016 |
| Foreign | −0.333 | −0.343 | −0.303 | −0.236 |
Disclaimer/Publisher’s Note: The statements, opinions and data contained in all publications are solely those of the individual author(s) and contributor(s) and not of MDPI and/or the editor(s). MDPI and/or the editor(s) disclaim responsibility for any injury to people or property resulting from any ideas, methods, instructions or products referred to in the content. |
© 2024 by the authors. Licensee MDPI, Basel, Switzerland. This article is an open access article distributed under the terms and conditions of the Creative Commons Attribution (CC BY) license (https://creativecommons.org/licenses/by/4.0/).
Share and Cite
Szymandera-Buszka, K.; Jankowska, A.; Jędrusek-Golińska, A. Mapping Consumer Preference for Vegan and Omnivorous Diets for the Sensory Attributes of Flour Products with Iodine-Fortified Plant-Based Ingredients. Nutrients 2024, 16, 4392. https://doi.org/10.3390/nu16244392
Szymandera-Buszka K, Jankowska A, Jędrusek-Golińska A. Mapping Consumer Preference for Vegan and Omnivorous Diets for the Sensory Attributes of Flour Products with Iodine-Fortified Plant-Based Ingredients. Nutrients. 2024; 16(24):4392. https://doi.org/10.3390/nu16244392
Chicago/Turabian StyleSzymandera-Buszka, Krystyna, Agata Jankowska, and Anna Jędrusek-Golińska. 2024. "Mapping Consumer Preference for Vegan and Omnivorous Diets for the Sensory Attributes of Flour Products with Iodine-Fortified Plant-Based Ingredients" Nutrients 16, no. 24: 4392. https://doi.org/10.3390/nu16244392
APA StyleSzymandera-Buszka, K., Jankowska, A., & Jędrusek-Golińska, A. (2024). Mapping Consumer Preference for Vegan and Omnivorous Diets for the Sensory Attributes of Flour Products with Iodine-Fortified Plant-Based Ingredients. Nutrients, 16(24), 4392. https://doi.org/10.3390/nu16244392

