Gut Microbiota and Metabolites Mediate Health Benefits of Oat and Oat Bran Consumption in IBD Mice
Abstract
1. Introduction
2. Materials and Methods
2.1. Materials and Reagents
2.2. Animals and Experimental Design
2.3. Mouse Biochemical Parameters
2.4. Histopathological Analysis
2.5. Analysis of Short-Chain Fatty Acids
2.6. Gut Microbiota Composition Analysis
2.7. Gene Expression Analysis
2.8. Statistical Analysis
3. Results
3.1. Oats and Oat Bran Improved the Symptoms of Colitis in Mice
3.2. Oat and Oat Bran Ameliorate Histologic Damage to the Colon in Colon Colitis
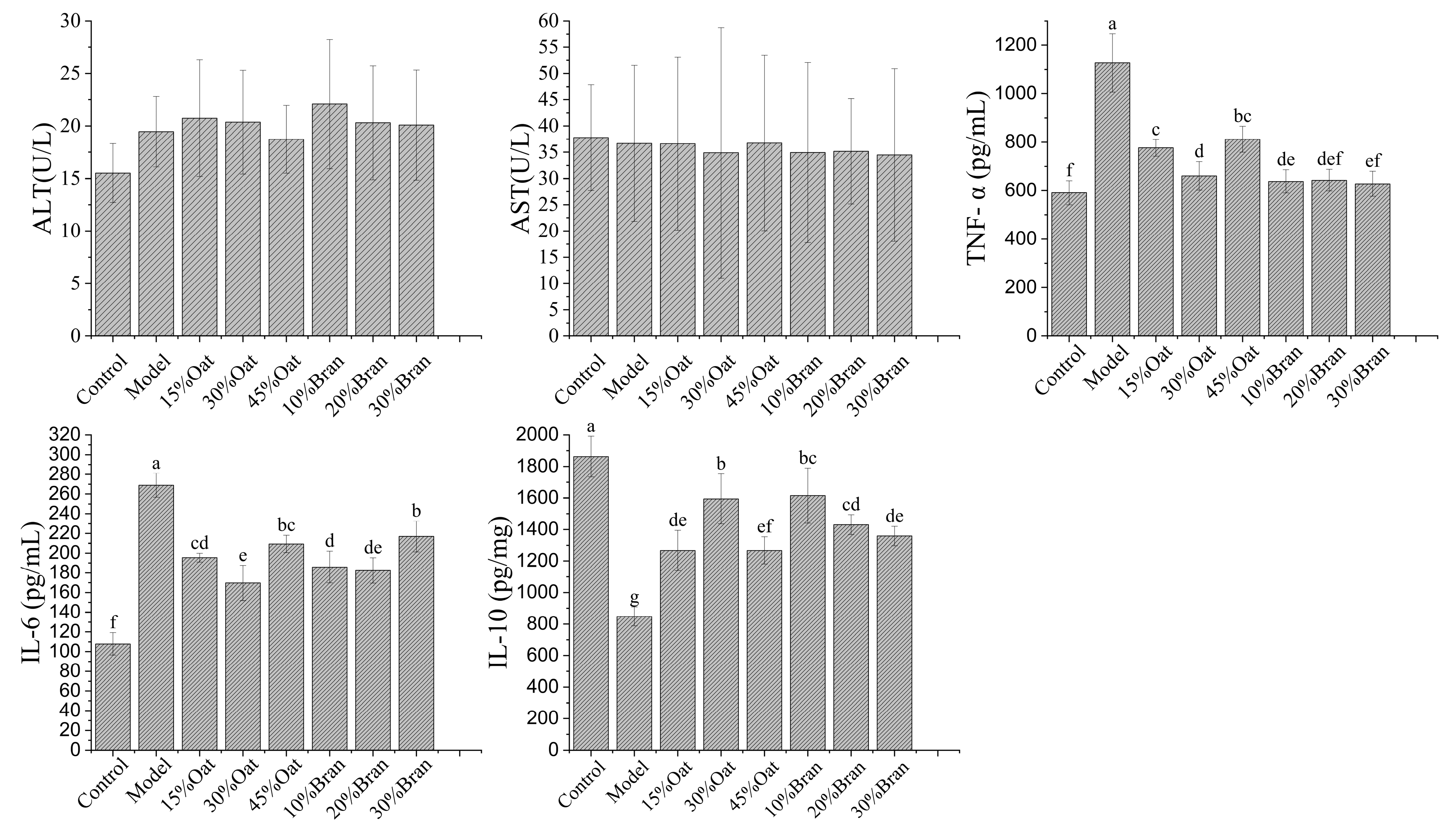
3.3. Oat and Oat Bran Improve Expression of Inflammatory Factors
3.4. Effect of Oat and Oat Bran on the Content of SCFAs in Mouse Colon Tissue
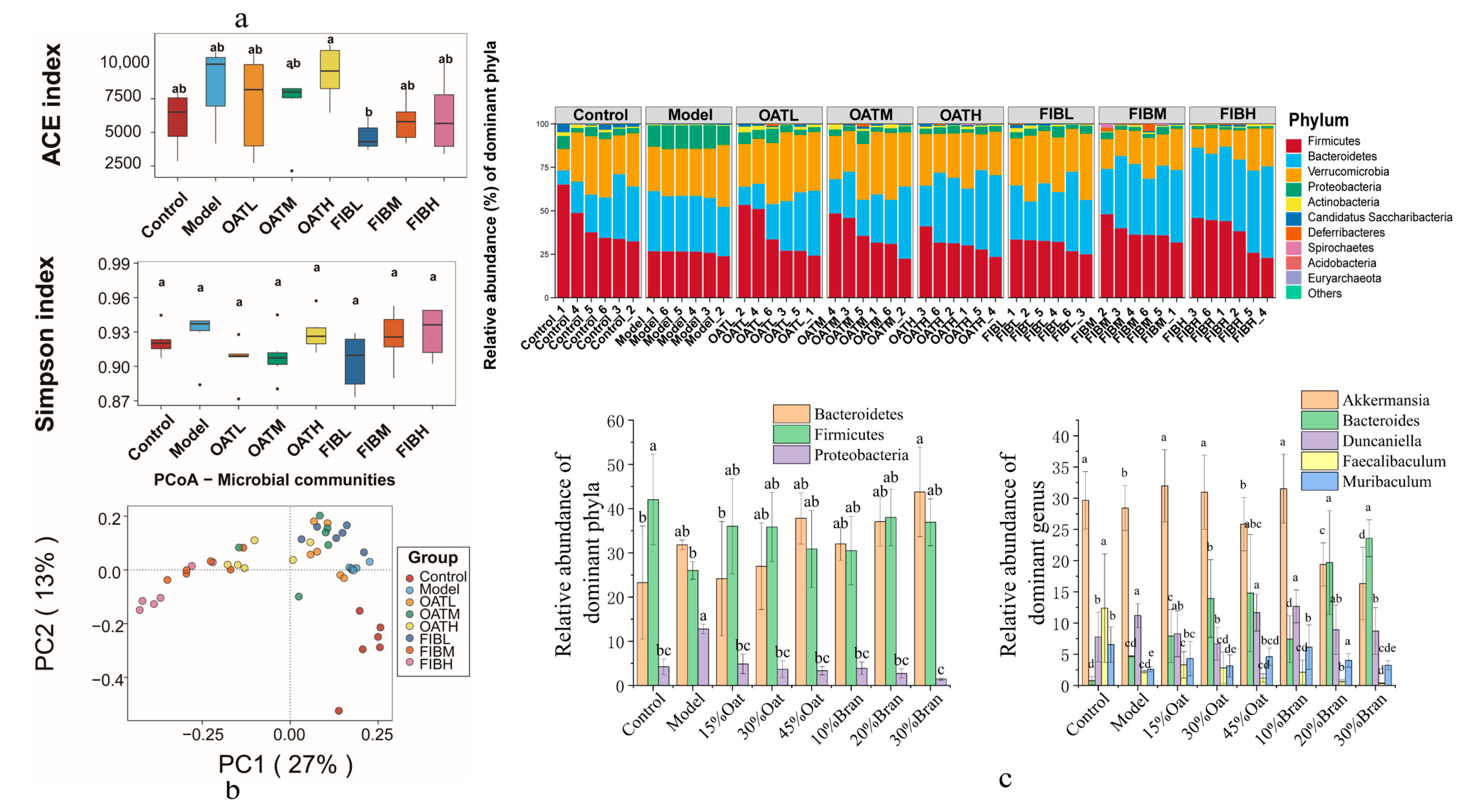
3.5. Effect of Oat and Oat Bran on Gut Microbiota
3.6. Effect of Oat and Oat Bran on the Expression Level of Related Genes
4. Discussion
5. Conclusions
Supplementary Materials
Author Contributions
Funding
Institutional Review Board Statement
Informed Consent Statement
Data Availability Statement
Conflicts of Interest
References
- Straub, R.H. The brain and immune system prompt energy shortage in chronic inflammation and ageing. Nat. Rev. Rheumatol. 2017, 13, 743–751. [Google Scholar] [CrossRef] [PubMed]
- Hu, B.; Ye, C.; Leung, E.L.-H.; Zhu, L.; Hu, H.; Zhang, Z.; Liu, H. Bletilla striata oligosaccharides improve metabolic syndrome through modulation of gut microbiota and intestinal metabolites in high fat diet-fed mice. Pharmacol. Res. 2020, 159, 104942. [Google Scholar] [CrossRef] [PubMed]
- Neurath, M.F. Host-microbiota interactions in inflammatory bowel disease. Nat. Rev. Gastroenterol. Hepatol. 2020, 17, 76–77. [Google Scholar] [CrossRef]
- Christ, A.; Lauterbach, M.; Latz, E. Western diet and the immune system: An inflammatory connection. Immunity 2019, 51, 794–811. [Google Scholar] [CrossRef] [PubMed]
- Lewis, J.D.; Abreu, M.T. Diet as a trigger or therapy for inflammatory bowel diseases. Gastroenterology 2017, 152, 398–414.e396. [Google Scholar] [CrossRef] [PubMed]
- Korczak, R.; Kocher, M.; Swanson, K.S. Effects of oats on gastrointestinal health as assessed by in vitro, animal, and human studies. Nutr. Rev. 2019, 78, 343–363. [Google Scholar] [CrossRef] [PubMed]
- Tian, L.; Scholte, J.; Scheurink, A.J.W.; van den Berg, M.; Bruggeman, G.; Bruininx, E.; Gruppen, H. Effect of oat and soybean rich in distinct non-starch polysaccharides on fermentation, appetite regulation and fat accumulation in rat. Int. J. Biol. Macromol. 2019, 140, 515–521. [Google Scholar] [CrossRef]
- Li, Y.; Qin, C.; Dong, L.Z.; Zhang, X.; Wu, Z.F.; Liu, L.Y.; Liu, L.L. Whole grain benefit: Synergistic effect of oat phenolic compounds and β-glucan on hyperlipidemia gut microbiota in high-fat-diet mice. Food Funct. 2022, 13, 12686–12696. [Google Scholar] [CrossRef]
- Kristek, A.; Wiese, M.; Heuer, P.; Kosik, O.; Schär, M.Y.; Soycan, G.; Alsharif, S.; Kuhnle, G.G.C.; Walton, G.; Spencer, J.P.E. Oat bran, but not its isolated bioactive β-glucans or polyphenols, have a bifidogenic effect in an in vitro fermentation model of the gut microbiota. Br. J. Nutr. 2019, 121, 549–559. [Google Scholar] [CrossRef]
- Singh, V.; Yeoh, B.S.; Chassaing, B.; Xiao, X.; Saha, P.; Olvera, R.A.; Lapek, J.D.; Zhang, L.M.; Wang, W.B.; Hao, S.J.; et al. Dysregulated microbial fermentation of soluble fiber induces cholestatic liver cancer. Cell 2018, 175, 679. [Google Scholar] [CrossRef] [PubMed]
- Bai, J.Y.; Zhao, J.J.; AL-Ansi, W.; Wang, J.; Xue, L.M.; Liu, J.X.; Wang, L. Oat β-glucan alleviates DSS-induced colitis regulating gut microbiota metabolism in mice. Food Funct. 2021, 12, 8976–8993. [Google Scholar] [CrossRef] [PubMed]
- Schär, M.Y.; Corona, G.; Soycan, G.; Dine, C.; Kristek, A.; Alsharif, S.N.S.; Spencer, J.P.E. Excretion of avenanthramides, phenolic acids and their major metabolites following intake of oat bran. Mol. Nutr. Food Res. 2018, 62, 1700499. [Google Scholar] [CrossRef] [PubMed]
- Özkaya, H.; Özkaya, B.; Duman, B.; Turksoy, S. Effect of dephytinization by fermentation and hydrothermal autoclaving treatments on the antioxidant activity, dietary fiber, and phenolic content of oat bran. J. Agric. Food Chem. 2017, 65, 5713–5719. [Google Scholar] [CrossRef] [PubMed]
- Jones-Hall, Y.; Jiang, Q. Supplementation of polyphenol-rich grapes attenuates colitis, colitis-associated colon cancer, and disease-associated dysbiosis in mice, but fails to mitigate colitis in antibiotic-treated mice. J. Nutr. Biochem. 2022, 109, 109124. [Google Scholar] [CrossRef]
- Ito, R.; Shin-Ya, M.; Kishida, T.; Urano, A.; Takada, R.; Sakagami, J.; Mazda, O. Interferon-gamma is causatively involved in experimental inflammatory bowel disease in mice. Clin. Exp. Immunol. 2006, 146, 330–338. [Google Scholar] [CrossRef]
- Wang, H.L.; Xie, L.L.; Liu, S.F.; Dai, A.N.; Chi, X.X.; Zhang, D.J. Non-targeted metabolomics and microbial analyses of the impact of oat antimicrobial peptides on rats with dextran sulfate sodium-induced enteritis. Front. Nutr. 2023, 9, 1095483. [Google Scholar] [CrossRef]
- Hu, J.; Chen, J.W.; Xu, X.J.; Hou, Q.L.; Ren, J.; Yan, X.H. Gut microbiota-derived 3-phenylpropionic acid promotes intestinal epithelial barrier function via AhR signaling. Microbiome 2023, 11, 102. [Google Scholar] [CrossRef]
- Li, X.Q.; Chen, Y.H.; Peng, X.N.; Zhu, Y.; Duan, W.; Ji, R.Y.; Xiao, H.; Li, X.L.; Liu, G.; Yu, Y.G.; et al. Anti-inflammation mechanisms of a homogeneous polysaccharide from Phyllanthus emblica L. on DSS induced colitis mice via the gut microbiota and metabolites alteration. Food Chem. 2024, 459, 140346. [Google Scholar] [CrossRef]
- Yang, C.C.; Yang, W.Q.; Wang, Y.; Du, Y.; Zhao, T.; Shao, H.J.; Yang, X.B. Nonextractable polyphenols from Fu brick tea alleviates ulcerative colitis by controlling colon microbiota-targeted release to inhibit intestinal inflammation in mice. J. Agric. Food Chem. 2024, 72, 7397–7410. [Google Scholar] [CrossRef] [PubMed]
- Gao, Y.; Zhang, M.W.; Zhang, R.F.; You, L.J.; Li, T.; Liu, R.H. Whole grain brown rice extrudate ameliorates the symptoms of diabetes by activating the IRS1/PI3K/AKT insulin pathway in db/db mice. J. Agric. Food Chem. 2019, 67, 11657–11664. [Google Scholar] [CrossRef] [PubMed]
- Ni, J.; Wu, G.D.; Albenberg, L.; Tomov, V.T. Gut microbiota and IBD: Causation or correlation? Nat. Rev. Gastroenterol. Hepatol. 2017, 14, 573–584. [Google Scholar] [CrossRef] [PubMed]
- Praengam, K.; Sahasakul, Y.; Kupradinun, P.; Sakarin, S.; Sanitchua, W.; Rungsipipat, A.; Rattanapinyopituk, K.; Angkasekwinai, P.; Changsri, K.; Mhuantong, W.; et al. Brown rice and retrograded brown rice alleviate inflammatory response in dextran sulfate sodium (DSS)-induced colitis mice. Food Funct. 2024, 8, 4630–4643. [Google Scholar] [CrossRef] [PubMed]
- Ritchie, L.E.; Taddeo, S.S.; Weeks, B.R.; Carroll, R.J.; Dykes, L.; Rooney, L.W.; Turner, N.D. Impact of novel sorghum bran diets on DSS-induced colitis. Nutrients 2017, 9, 330. [Google Scholar] [CrossRef] [PubMed]
- Deng, N.; He, Z.Q.; Guo, R.X.; Zheng, B.S.; Li, T.; Liu, R.H. Highland Barley whole grain ameliorates hyperlipidemia by Mmodulating cecal microbiota, miRNAs, and AMPK pathways in leptin receptor-deficient db/db mice. J. Agric. Food Chem. 2020, 68, 11735–11746. [Google Scholar] [CrossRef]
- Hoti, I.; McCarthy, N.; Giles, E.; Ayada, I.; Harrow, P.; Gordon, H.; Lindsay, J. Circulating classical monocytes and intestinal macrophages exhibit reduced response to IL-10 in IBD. J. Crohns Colitis 2019, 13, S131–S132. [Google Scholar] [CrossRef]
- Pereira, M.D.A.; de Avila, L.G.M.; Cruz, B.C.D.; Silva, B.C.; de Oliveira, L.L.; Gonçalves, R.V.; Peluzio, M.D.G. The role of IL-10 in regulating inflammation and gut microbiome in mice consuming milk kefir and orally challenged with Typhimurium. Food Funct. 2023, 14, 3804–3814. [Google Scholar] [CrossRef]
- He, T.-S.; Cai, K.; Lai, W.; Yu, J.; Qing, F.; Shen, A.; Liu, Z. E3 ubiquitin ligase RNF128 attenuates colitis and colorectal tumorigenesis by triggering the degradation of IL-6 receptors. J. Adv. Res. 2024; in press. [Google Scholar] [CrossRef]
- Ju, S.W.; Ge, Y.; Li, P.; Tian, X.X.; Wang, H.Y.; Zheng, X.C.; Ju, S.G. Dietary quercetin ameliorates experimental colitis in mouse by remodeling the function of colonic macrophages via a heme oxygenase-1-dependent pathway. Cell Cycle 2024, 269, 53–63. [Google Scholar] [CrossRef] [PubMed]
- Guo, W.Q.; Zhang, Z.L.; Li, L.R.; Liang, X.; Wu, Y.Q.; Wang, X.L.; Yuan, C.S. Gut microbiota induces DNA methylation via SCFAs predisposing obesity-prone individuals to diabetes. Pharmacol. Res. 2022, 182, 106355. [Google Scholar] [CrossRef] [PubMed]
- Parada Venegas, D.; De la Fuente, M.K.; Landskron, G.; González, M.J.; Quera, R.; Dijkstra, G.; Hermoso, M.A. Short chain fatty acids (SCFAs)-mediated gut epithelial and immune regulation and its relevance for inflammatory bowel diseases. Front. Immunol. 2019, 10, 277. [Google Scholar] [CrossRef]
- Russell, W.R.; Gratz, S.W.; Duncan, S.H.; Holtrop, G.; Ince, J.; Scobbie, L.; Flint, H.J. High-protein, reduced-carbohydrate weight-loss diets promote metabolite profiles likely to be detrimental to colonic health. Am. J. Clin. Nutr. 2011, 93, 1062–1072. [Google Scholar] [CrossRef] [PubMed]
- Di Rosa, C.; Altomare, A.; Imperia, E.; Spiezia, C.; Khazrai, Y.M.; Guarino, M.P.L. The Role of Dietary Fibers in the Management of IBD Symptoms. Nutrients 2022, 14, 4775. [Google Scholar] [CrossRef]
- Zhou, J.; Li, M.Y.; Chen, Q.F.; Li, X.J.; Chen, L.F.; Dong, Z.L.; Chen, Q. Programmable probiotics modulate inflammation and gut microbiota for inflammatory bowel disease treatment after effective oral delivery. Nat. Commun. 2022, 13, 1–14. [Google Scholar] [CrossRef]
- Penumutchu, S.; Korry, B.J.; Hewlett, K.; Belenky, P. Fiber supplementation protects from antibiotic-induced gut microbiome dysbiosis by modulating gut redox potential. Nat. Commun. 2023, 14, 1–11. [Google Scholar] [CrossRef] [PubMed]
- Li, G.F.; Lin, J.; Zhang, C.; Gao, H.; Lu, H.Y.; Gao, X.; Liu, Z.J. Microbiota metabolite butyrate constrains neutrophil functions and ameliorates mucosal inflammation in inflammatory bowel disease. Gut Microbes 2021, 13, 1968257. [Google Scholar] [CrossRef]
- Feng, W.W.; Liu, J.; Tan, Y.Z.; Ao, H.; Wang, J.; Peng, C. Polysaccharides from Atractylodes macrocephala Koidz. Ameliorate ulcerative colitis via extensive modification of gut microbiota and host metabolism. Food Res. Int. 2020, 138, 110675. [Google Scholar] [CrossRef]
- Wei, X.; Wang, J.H.; Wang, Y.X.; Zhao, Y.L.; Long, Y.; Tan, B.; Li, Q.X.; Dong, Z.Y.; Wan, X.Y. Dietary fiber and polyphenols from whole grains. J. Environ. Manag. 2024, 9, 4682–4702. [Google Scholar] [CrossRef]
- Lluansí, A.; Llirós, M.; Carreras-Torres, R.; Bahí, A.; Capdevila, M.; Feliu, A.; Vilà-Quintana, L.; Elias-Masiques, N.; Cueva, E.; Peries, L.; et al. Impact of bread diet on intestinal dysbiosis and irritable bowel syndrome symptoms in quiescent ulcerative colitis: A pilot study. PLoS ONE 2020, 19, 110675. [Google Scholar] [CrossRef] [PubMed]
- Pisani, L.F.; Crespi, G.; Mellai, M.; Flavio, C.; Annunziata, M.L.; Manfredi, M.; Porta, C. DOP36 Vedolizumab-treated IBD patients show an increased gut microbial diversity associated with a specific serum metabolic signature. J. Crohn’s Colitis 2023, 17 (Suppl. S1), i99–i101. [Google Scholar] [CrossRef]
- Li, W.S.; Tang, X.Y.; Liu, H.; Liu, K.; Tian, Z.Q.; Zhao, Y.J. Protective effect of 1,3-dioleoyl-2-palmitoylglycerol against DSS-induced colitis via modulating gut microbiota and maintaining intestinal epithelial barrier integrity. Food Funct. 2024, 17, 8700–8711. [Google Scholar] [CrossRef]
- Lee, H.R.; Jeong, Y.J.; Park, S.A.; Kim, H.J.; Heo, T.H. Geraniin alleviates inflammation in Caco-2 cells and dextran sulfate sodium-induced colitis mice by targeting IL-1β. J. Agric. Food Chem. 2024, 72, 7882–7893. [Google Scholar] [CrossRef] [PubMed]







Disclaimer/Publisher’s Note: The statements, opinions and data contained in all publications are solely those of the individual author(s) and contributor(s) and not of MDPI and/or the editor(s). MDPI and/or the editor(s) disclaim responsibility for any injury to people or property resulting from any ideas, methods, instructions or products referred to in the content. |
© 2024 by the authors. Licensee MDPI, Basel, Switzerland. This article is an open access article distributed under the terms and conditions of the Creative Commons Attribution (CC BY) license (https://creativecommons.org/licenses/by/4.0/).
Share and Cite
Duan, W.; Zheng, B.; Li, T.; Liu, R. Gut Microbiota and Metabolites Mediate Health Benefits of Oat and Oat Bran Consumption in IBD Mice. Nutrients 2024, 16, 4365. https://doi.org/10.3390/nu16244365
Duan W, Zheng B, Li T, Liu R. Gut Microbiota and Metabolites Mediate Health Benefits of Oat and Oat Bran Consumption in IBD Mice. Nutrients. 2024; 16(24):4365. https://doi.org/10.3390/nu16244365
Chicago/Turabian StyleDuan, Wen, Bisheng Zheng, Tong Li, and Ruihai Liu. 2024. "Gut Microbiota and Metabolites Mediate Health Benefits of Oat and Oat Bran Consumption in IBD Mice" Nutrients 16, no. 24: 4365. https://doi.org/10.3390/nu16244365
APA StyleDuan, W., Zheng, B., Li, T., & Liu, R. (2024). Gut Microbiota and Metabolites Mediate Health Benefits of Oat and Oat Bran Consumption in IBD Mice. Nutrients, 16(24), 4365. https://doi.org/10.3390/nu16244365

