Effect of Barley on Postprandial Blood Glucose Response and Appetite in Healthy Individuals: A Randomized, Double-Blind, Placebo-Controlled Trial
Highlights
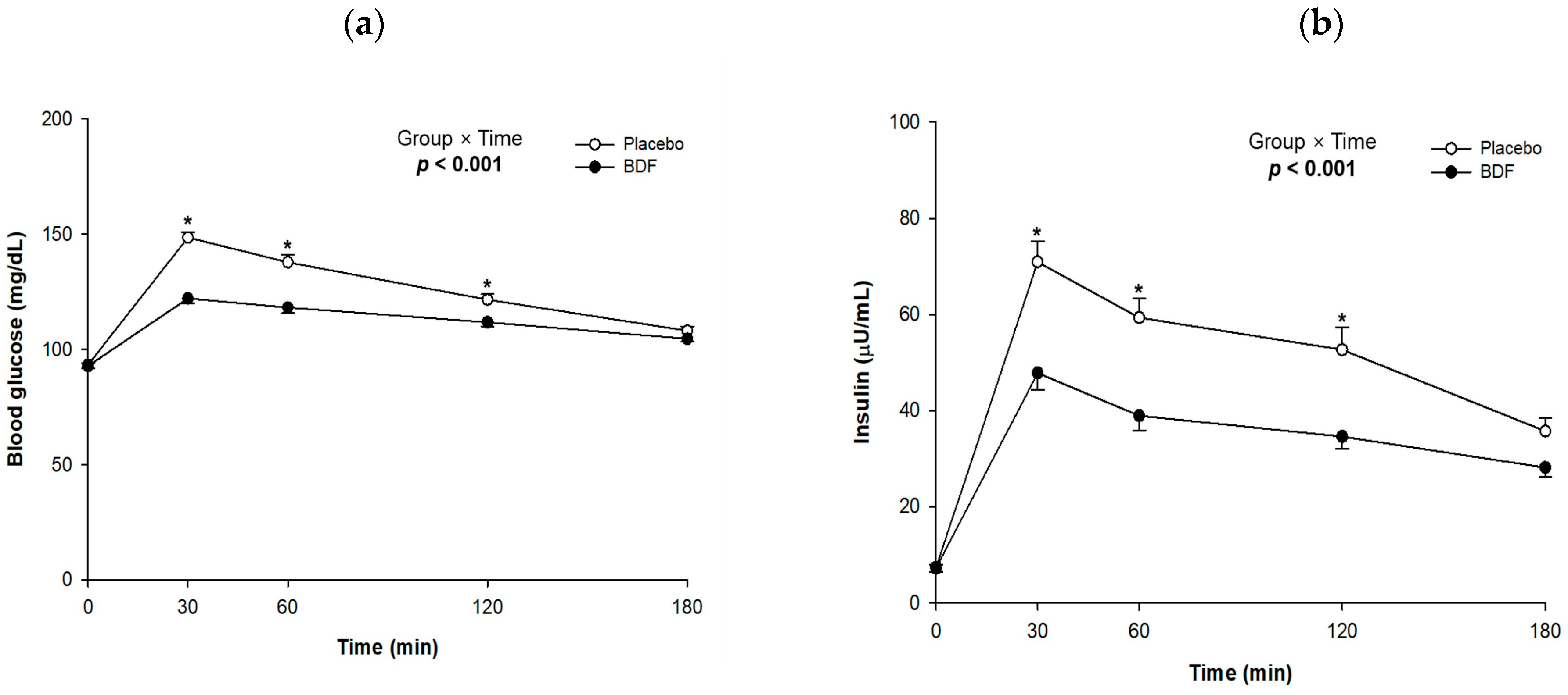
- Consumption of β-glucan-rich barley dietary fiber (BDF) delayed postprandial blood glucose increase and reduced insulin secretion.
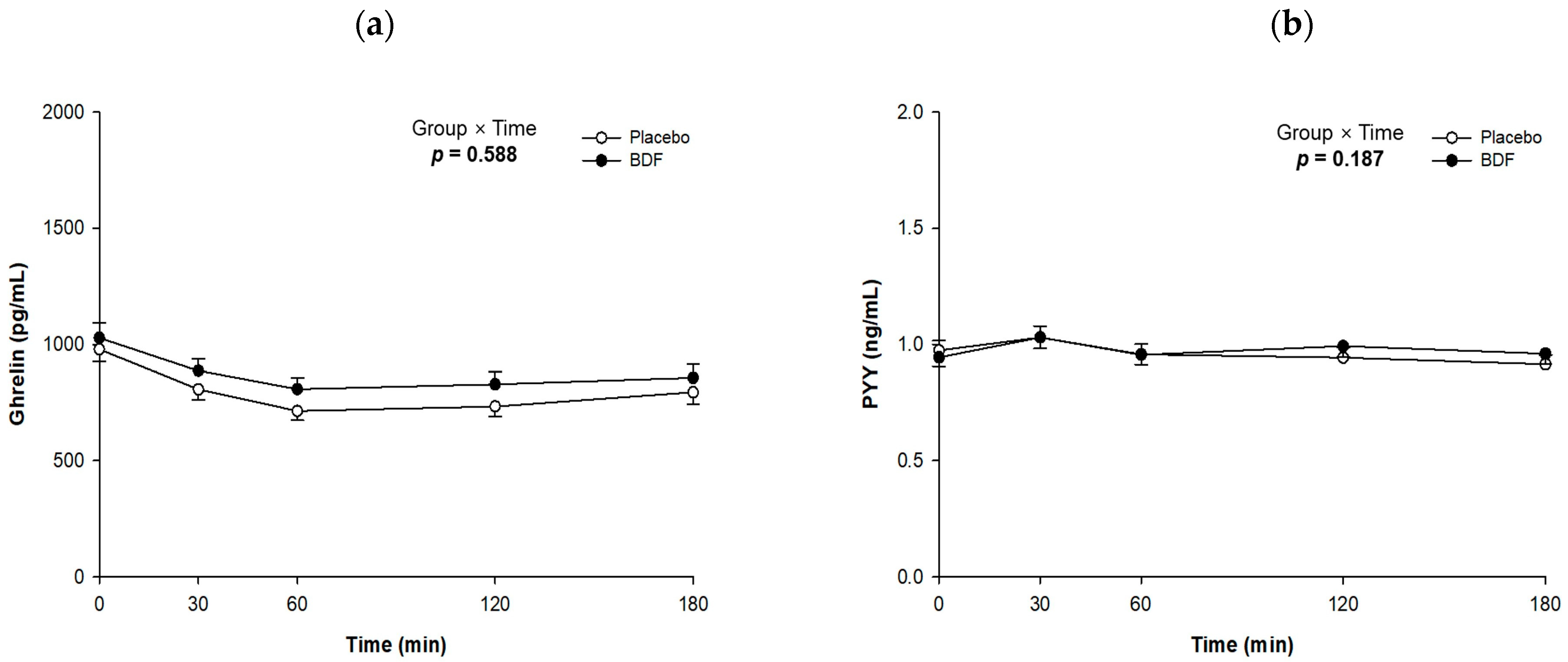
- BDF enhanced satiety and reduced hunger via the regulation of ghrelin and peptide YY (PYY).
- BDF demonstrates promise as a dietary intervention for controlling blood glucose and supporting metabolic health.
- This study highlights the effectiveness of glutinous barley, Hordeum vulgare L. (Saechalssalbori), in modulating postprandial metabolic responses.
Abstract
1. Introduction
2. Materials and Methods
2.1. Study Materials
2.2. Study Design
2.3. Participants
2.4. Sample Size Calculation
2.5. Protocol
2.6. Visual Analog Scale (VAS)
2.7. Ghrelin and PYY Enzyme-Linked Immunosorbent Assays (ELISAs)
2.8. Statistical Analysis
3. Results
3.1. Subject Characteristics
3.2. Effects of BDF on Postprandial Blood Glucose and Insulin Secretion Levels
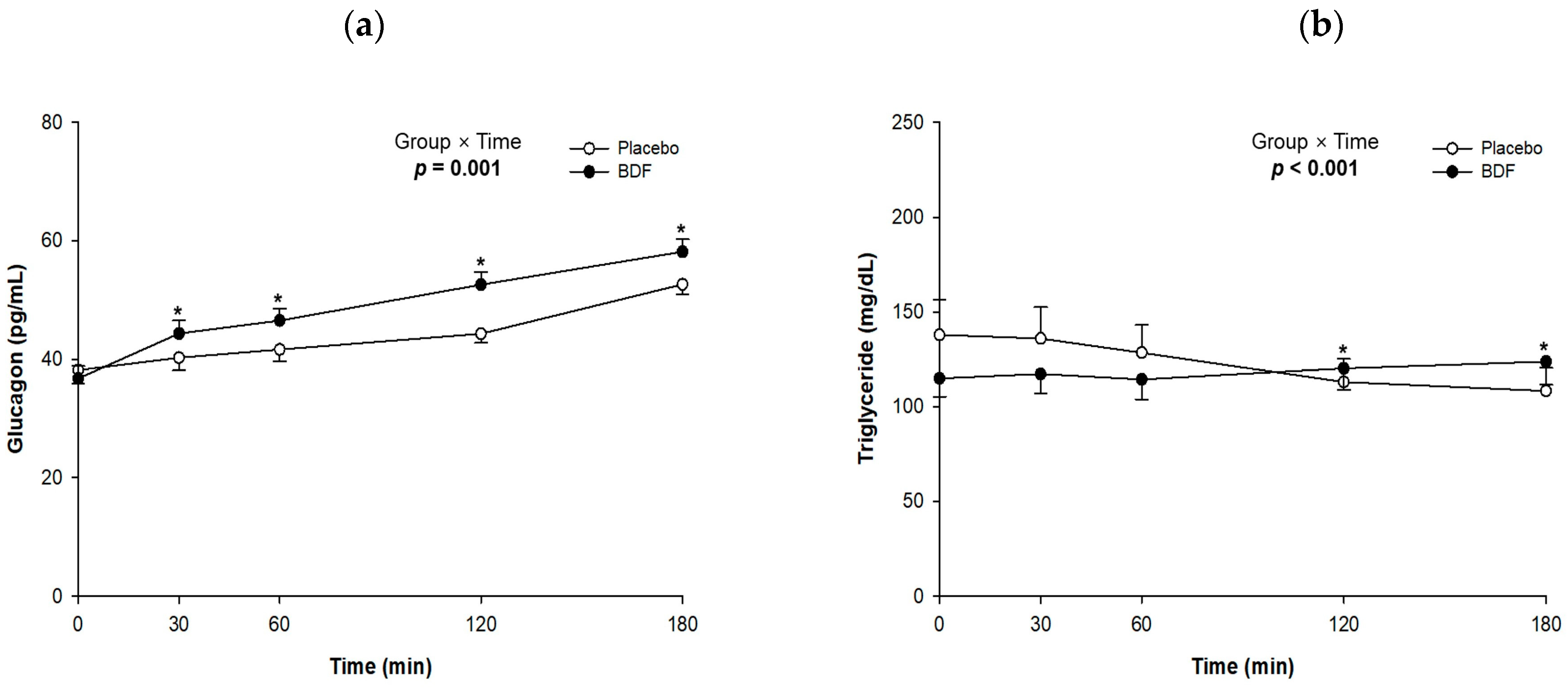
3.3. Effects of BDF on Postprandial Blood Glucagon and Triglycerides Concentration
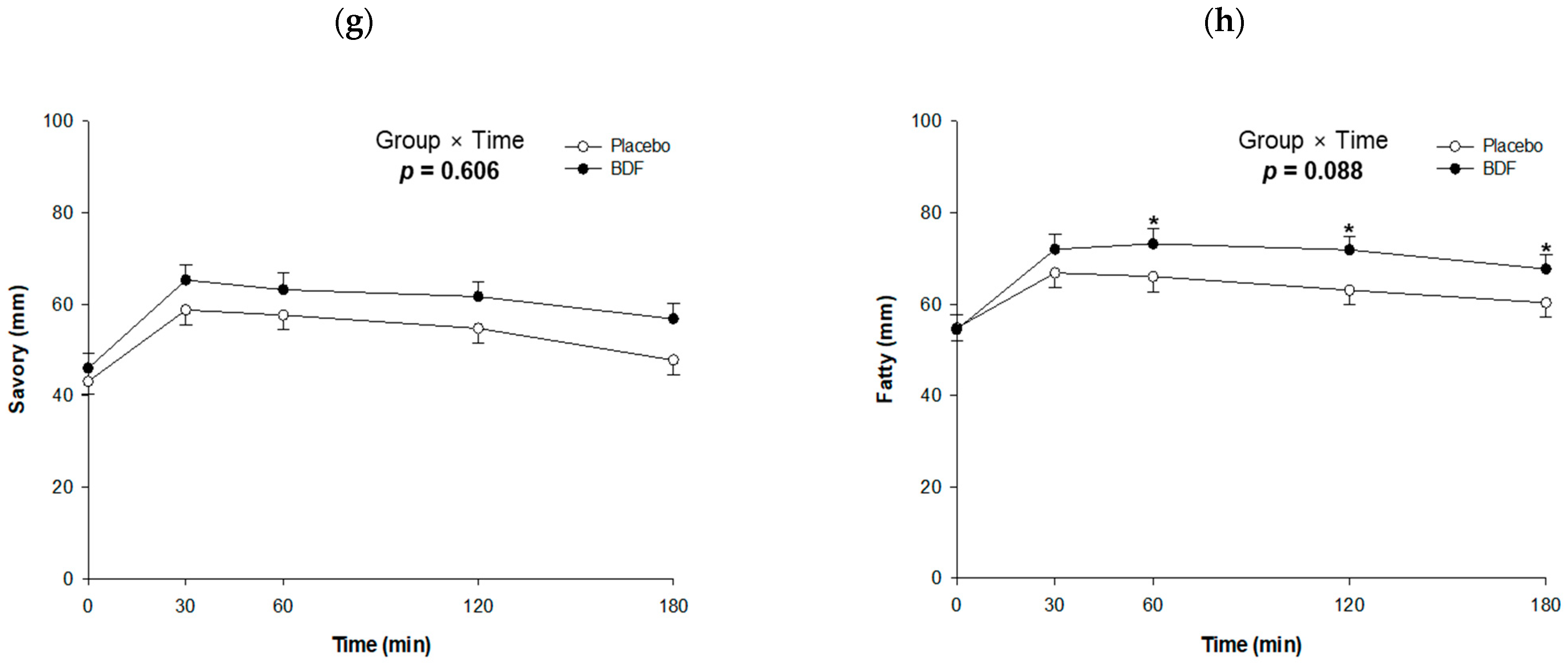
3.4. Effects of BDF on Hunger, Satiety, and Appetite Hormone (Ghrelin and PYY) Levels
4. Discussion
5. Conclusions
Author Contributions
Funding
Institutional Review Board Statement
Informed Consent Statement
Data Availability Statement
Acknowledgments
Conflicts of Interest
References
- Radenković, M.; Stojanović, M.; Prostran, M. Experimental diabetes induced by alloxan and streptozotocin: The current state of the art. J. Pharmacol. Toxicol. Methods 2016, 78, 13–31. [Google Scholar] [CrossRef] [PubMed]
- Sun, H.; Saeedi, P.; Karuranga, S.; Pinkepank, M.; Ogurtsova, K.; Duncan, B.B.; Stein, C.; Basit, A.; Chan, J.C.; Mbanya, J.C. IDF Diabetes Atlas: Global, regional and country-level diabetes prevalence estimates for 2021 and projections for 2045. Diabetes Res. Clin. Pract. 2022, 183, 109119. [Google Scholar] [CrossRef] [PubMed]
- Ong, K.L.; Stafford, L.K.; McLaughlin, S.A.; Boyko, E.J.; Vollset, S.E.; Smith, A.E.; Dalton, B.E.; Duprey, J.; Cruz, J.A.; Hagins, H. Global, regional, and national burden of diabetes from 1990 to 2021, with projections of prevalence to 2050: A systematic analysis for the Global Burden of Disease Study 2021. Lancet 2023, 402, 203–234. [Google Scholar] [CrossRef]
- Centers for Disease Control and Prevention. 2022 National Health and Nutrition Examination Survey; Centers for Disease Control and Prevention: Seoul, Republic of Korea, 2023. Available online: https://knhanes.kdca.go.kr (accessed on 11 November 2024).
- Wei, J.; Tian, J.; Tang, C.; Fang, X.; Miao, R.; Wu, H.; Wang, X.; Tong, X. The influence of different types of diabetes on vascular complications. J. Diabetes Res. 2022, 2022, 3448618. [Google Scholar] [CrossRef]
- Hoogwerf, B.J. Type of diabetes mellitus: Does it matter to the clinician? Clevel. Clin. J. Med. 2020, 87, 100–108. [Google Scholar] [CrossRef]
- Cavaghan, M.K.; Ehrmann, D.A.; Polonsky, K.S. Interactions between insulin resistance and insulin secretion in the development of glucose intolerance. J. Clin. Investig. 2000, 106, 329–333. [Google Scholar] [CrossRef]
- Holman, N.; Young, B.; Gadsby, R. Invited Editorial, Current prevalence of Type 1 and Type 2 diabetes in adults and children in the UK. Diabet. Med. 2015, 32, 1119–1120. [Google Scholar] [CrossRef]
- Kang, H.; Kim, S.-C.; Kang, Y.S.; Kwon, Y.-I. Mode of action of water soluble β-glucan from oat (Avena sativa) on calorie restriction effect in-vitro and in-vivo animal models. Korean J. Food Nutr. 2017, 30, 1222–1228. [Google Scholar]
- Bullard, K.M. Prevalence of diagnosed diabetes in adults by diabetes type—United States, 2016. MMWR Morb. Mortal. Wkly. Rep. 2018, 67, 359–361. [Google Scholar] [CrossRef]
- Liu, L.; Wang, X.; Li, Y.; Sun, C. Postprandial Differences in the Amino Acid and Biogenic Amines Profiles of Impaired Fasting Glucose Individuals after Intake of Highland Barley. Nutrients 2015, 7, 5556–5571. [Google Scholar] [CrossRef]
- Higa, M.; Fuse, Y.; Miyashita, N.; Fujitani, A.; Yamashita, K.; Ichijo, T.; Aoe, S.; Hirose, T. Effect of High β-glucan Barley on Postprandial Blood Glucose Levels in Subjects with Normal Glucose Tolerance: Assessment by Meal Tolerance Test and Continuous Glucose Monitoring System. Clin. Nutr. Res. 2019, 8, 55–63. [Google Scholar] [CrossRef] [PubMed]
- Tosh, S.M. Review of human studies investigating the post-prandial blood-glucose lowering ability of oat and barley food products. Eur. J. Clin. Nutr. 2013, 67, 310–317. [Google Scholar] [CrossRef] [PubMed]
- Chillo, S.; Ranawana, D.V.; Pratt, M.; Henry, C.J.K. Glycemic response and glycemic index of semolina spaghetti enriched with barley β-glucan. Nutrition 2011, 27, 653–658. [Google Scholar] [CrossRef] [PubMed]
- US Food and Drug Administration. CFR-Code of Federal Regulations Title 21; US Food and Drug Administration: Washington, DC, USA, 2018. [Google Scholar]
- EFSA Panel on Dietetic Products, Nutrition and Allergies (NDA). Scientific Opinion on the substantiation of a health claim related to barley beta-glucans and lowering of blood cholesterol and reduced risk of (coronary) heart disease pursuant to Article 14 of Regulation (EC) No 1924/2006. EFSA J. 2011, 9, 2470. [Google Scholar] [CrossRef]
- EFSA Panel on Dietetic Products, Nutrition and Allergies (NDA). Scientific Opinion on the substantiation of health claims related to beta glucans and maintenance or achievement of normal blood glucose concentrations (ID 756, 802, 2935) pursuant to Article 13 (1) of Regulation (EC) No 1924/2006. EFSA J. 2010, 8, 1482. [Google Scholar]
- EFSA Panel on Dietetic Products, Nutrition and Allergies (NDA). Scientific Opinion on the substantiation of health claims related to beta-glucans from oats and barley and maintenance of normal blood LDL-cholesterol concentrations (ID 1236, 1299), increase in satiety leading to a reduction in energy intake (ID 851, 852), reduction of post-prandial glycaemic responses (ID 821, 824), and “digestive function”(ID 850) pursuant to Article 13 (1) of Regulation (EC) No 1924/2006. EFSA J. 2011, 9, 2207. [Google Scholar]
- Pick, M.E.; Hawrysh, Z.J.; Gee, M.I.; Toth, E.; Garg, M.L.; Hardin, R.T. Oat bran concentrate bread products improve long-term control of diabetes: A pilot study. J. Am. Diet. Assoc. 1996, 96, 1254–1261. [Google Scholar] [CrossRef]
- El Khoury, D.; Cuda, C.; Luhovyy, B.; Anderson, G. Beta glucan: Health benefits in obesity and metabolic syndrome. J. Nutr. Metab. 2012, 2012, 851362. [Google Scholar] [CrossRef]
- Oh, H.-J.; Lee, S.-R. Physiological Function in vitro of β-Glucan Isolated from Barley. Korean J. Food Sci. Technol. 1996, 28, 689–695. [Google Scholar]
- Idehen, E.; Wang, W.; Sang, S. Health benefits of barley for diabetes. J. Food Bioact. 2020, 12, 76–86. [Google Scholar] [CrossRef]
- Jun, H.-I.; Cha, M.-N.; Song, G.-S.; Yoo, C.-S.; Kim, Y.-T.; Kim, Y.-S. Physicochemical Properties and Cooking Quality of Naked Waxy Barley (Saechalssal bon). Korean J. Food Preserv. 2011, 18, 165–170. [Google Scholar] [CrossRef]
- Bays, H.; Frestedt, J.L.; Bell, M.; Williams, C.; Kolberg, L.; Schmelzer, W.; Anderson, J.W. Reduced viscosity Barley β-Glucan versus placebo: A randomized controlled trial of the effects on insulin sensitivity for individuals at risk for diabetes mellitus. Nutr. Metab. 2011, 8, 58. [Google Scholar] [CrossRef] [PubMed]
- Ames, N.; Blewett, H.; Storsley, J.; Thandapilly, S.J.; Zahradka, P.; Taylor, C. A double-blind randomised controlled trial testing the effect of a barley product containing varying amounts and types of fibre on the postprandial glucose response of healthy volunteers. Br. J. Nutr. 2015, 113, 1373–1383. [Google Scholar] [CrossRef] [PubMed]
- Kim, J.Y.; Ok, H.M.; Kim, J.; Park, S.W.; Kwon, S.W.; Kwon, O. Mulberry leaf extract improves postprandial glucose response in prediabetic subjects: A randomized, double-blind placebo-controlled trial. J. Med. Food 2015, 18, 306–313. [Google Scholar] [CrossRef]
- Aldughpassi, A.; Abdel-Aal, E.-S.M.; Wolever, T.M. Barley cultivar, kernel composition, and processing affect the glycemic index. J. Nutr. 2012, 142, 1666–1671. [Google Scholar] [CrossRef]
- Bui, T.N.; Le, T.H.; Nguyen, D.H.; Tran, Q.B.; Nguyen, T.L.; Le, D.T.; Do, V.A.; Vu, A.L.; Aoto, H.; Okuhara, Y. Pre-germinated brown rice reduced both blood glucose concentration and body weight in Vietnamese women with impaired glucose tolerance. J. Nutr. Sci. Vitaminol. 2014, 60, 183–187. [Google Scholar] [CrossRef]
- Nakayama, T.; Nagai, Y.; Uehara, Y.; Nakamura, Y.; Ishii, S.; Kato, H.; Tanaka, Y. Eating glutinous brown rice twice a day for 8 weeks improves glycemic control in Japanese patients with diabetes mellitus. Nutr. Diabetes 2017, 7, e273. [Google Scholar] [CrossRef]
- Lee, Y. Dietary fiber composition and viscosity of extracts from domestic barley, wheat, oat, and rye. Korean J. Food Nutr. 2001, 14, 233–238. [Google Scholar]
- Hallfrisch, J.; Behall, K.M. Mechanisms of the effects of grains on insulin and glucose responses. J. Am. Coll. Nutr. 2000, 19, 320S–325S. [Google Scholar] [CrossRef]
- Henrion, M.; Francey, C.; Lê, K.-A.; Lamothe, L. Cereal B-glucans: The impact of processing and how it affects physiological responses. Nutrients 2019, 11, 1729. [Google Scholar] [CrossRef]
- Kameyama, N.; Maruyama, C.; Matsui, S.; Araki, R.; Yamada, Y.; Maruyama, T. Effects of consumption of main and side dishes with white rice on postprandial glucose, insulin, glucose-dependent insulinotropic polypeptide and glucagon-like peptide-1 responses in healthy Japanese men. Br. J. Nutr. 2014, 111, 1632–1640. [Google Scholar] [CrossRef] [PubMed]
- Jiang, G.; Zhang, B.B. Glucagon and regulation of glucose metabolism. Am. J. Physiol. Endocrinol. Metab. 2003, 284, E671–E678. [Google Scholar] [CrossRef] [PubMed]
- Hong, K.H.; Kim, H.-S.; Jang, K.-H.; Kang, S.A. The improvement effects of β-glucan on adiposity and serum lipids levels in high fat diet-induced obese rats. J. Korea Acad. Ind. Coop. Soc. 2015, 16, 3973–3981. [Google Scholar]
- Flint, A.; Gregersen, N.T.; Gluud, L.L.; Møller, B.K.; Raben, A.; Tetens, I.; Verdich, C.; Astrup, A. Associations between postprandial insulin and blood glucose responses, appetite sensations and energy intake in normal weight and overweight individuals: A meta-analysis of test meal studies. Br. J. Nutr. 2007, 98, 17–25. [Google Scholar] [CrossRef] [PubMed]
- Delzenne, N.; Blundell, J.; Brouns, F.; Cunningham, K.; De Graaf, K.; Erkner, A.; Lluch, A.; Mars, M.; Peters, H.; Westerterp-Plantenga, M. Gastrointestinal targets of appetite regulation in humans. Obes. Rev. 2010, 11, 234–250. [Google Scholar] [CrossRef]
- Blundell, J.; De Graaf, C.; Hulshof, T.; Jebb, S.; Livingstone, B.; Lluch, A.; Mela, D.; Salah, S.; Schuring, E.; Van Der Knaap, H. Appetite control: Methodological aspects of the evaluation of foods. Obes. Rev. 2010, 11, 251–270. [Google Scholar] [CrossRef]
- Slavin, J. Fiber and prebiotics: Mechanisms and health benefits. Nutrients 2013, 5, 1417–1435. [Google Scholar] [CrossRef]
- Ueno, H.; Yamaguchi, H.; Mizuta, M.; Nakazato, M. The role of PYY in feeding regulation. Regul. Pept. 2008, 145, 12–16. [Google Scholar] [CrossRef]
- Sanchis, P.; Rivera, R.; Berga, F.; Fortuny, R.; Adrover, M.; Costa-Bauza, A.; Grases, F.; Masmiquel, L. Phytate decreases formation of advanced glycation end-products in patients with type II diabetes: Randomized crossover trial. Sci. Rep. 2018, 8, 9619. [Google Scholar] [CrossRef]
- Shen, C.-Y.; Lu, C.-H.; Wu, C.-H.; Li, K.-J.; Kuo, Y.-M.; Hsieh, S.-C.; Yu, C.-L. The development of maillard reaction, and advanced glycation end product (AGE)-receptor for AGE (RAGE) signaling inhibitors as novel therapeutic strategies for patients with AGE-related diseases. Molecules 2020, 25, 5591. [Google Scholar] [CrossRef]
- Yoon, J.H.; Thompson, L.U.; Jenkins, D. The effect of phytic acid on in vitro rate of starch digestibility and blood glucose response. Am. J. Clin. Nutr. 1983, 38, 835–842. [Google Scholar] [CrossRef]
- Binou, P.; Yanni, A.E.; Stergiou, A.; Karavasilis, K.; Konstantopoulos, P.; Perrea, D.; Tentolouris, N.; Karathanos, V.T. Enrichment of bread with beta-glucans or resistant starch induces similar glucose, insulin and appetite hormone responses in healthy adults. Eur. J. Nutr. 2021, 60, 455–464. [Google Scholar] [CrossRef]






| Variables | Value |
|---|---|
| Age (yr) | 35.3 ± 1.1 |
| Gender (male/female) | 55/15 |
| Menstruation (Y/N/NA) | 15/0/55 |
| RFS | 17.3 ± 1.0 |
| Body weight (kg) | 72.4 ± 1.5 |
| BMI (kg/m2) | 24.4 ± 0.4 |
| Waist circumference (cm) | 79.9 ± 1.1 |
| Alcohol drinker (Y/N) | 44/26 |
| Alcohol amount (SD/wk) | 3.2 ± 0.5 |
| Smoker (Y/N) | 27/43 |
| Smoking amount (cigarette/d) | 2.8 ± 0.5 |
| Physical activity (MET-min/wk) | 2475 ± 328 |
| Fasting glucose (mg/dL) | 95.7 ± 0.9 |
| Variables | Placebo | BDF | Estimate 2 | p-Value 2 | p-Value 3 |
|---|---|---|---|---|---|
| Blood glucose (mg/dL) | |||||
| 0 min | 93.4 ± 0.9 | 92.9 ± 1.0 | |||
| 30 min | 148.6 ± 2.3 | 122.2 ± 2.2 | −26.0 | <0.001 | |
| 60 min | 137.9 ± 3.3 | 118.2 ± 2.5 | −19.2 | <0.001 | |
| 120 min | 121.7 ± 2.5 | 111.8 ± 1.8 | −9.4 | 0.004 | |
| 180 min | 108.2 ± 1.8 | 104.7 ± 1.4 | −3.0 | 0.342 | <0.001 |
| AUC (mg/dL × min) | |||||
| 0–30 | 3629 ± 42 | 3226 ± 36 | −398 | <0.001 | |
| 30–60 | 4297 ± 78 | 3606 ± 66 | −684 | <0.001 | |
| 60–120 | 7785 ± 159 | 6902 ± 118 | −869 | <0.001 | |
| 120–180 | 6896 ± 112 | 6496 ± 84 | −387 | 0.001 | |
| 0–30 | 3629 ± 42 | 3226 ± 36 | −398 | <0.001 | |
| 0–60 | 7926 ± 115 | 6832 ± 98 | −1083 | <0.001 | |
| 0–120 | 15,712 ± 264 | 13,734 ± 207 | −1952 | <0.001 | |
| 0–180 | 22,607 ± 357 | 20,230 ± 276 | −2338 | <0.001 | |
| Cmax (mg/dL) | 152.3 ± 2.4 | 127.3 ± 2.2 | −24.7 | <0.001 | |
| Tmax (min) | 41.0 ± 2.3 | 57.8 ± 4.8 | 17.0 | 0.002 | |
| Insulin (µU/mL) | |||||
| 0 min | 7.4 0.7 | 7.3 ± 0.8 | |||
| 30 min | 70.9 ± 4.3 | 47.8 ± 3.6 | −23.0 | <0.001 | |
| 60 min | 59.3 ± 3.9 | 39.0 ± 3.1 | −20.3 | <0.001 | |
| 120 min | 52.7 ± 4.7 | 34.6 ± 2.5 | −18.0 | <0.001 | |
| 180 min | 35.7 ± 2.7 | 28.2 ± 1.9 | −7.5 | 0.095 | <0.001 |
| AUC (µU/mL × min) | |||||
| 0–30 | 1175 ± 72 | 826 ± 59 | −355 | <0.001 | |
| 30–60 | 1954 ± 115 | 1302 ± 94 | −670 | <0.001 | |
| 60–120 | 3360 ± 234 | 2206 ± 158 | −1186 | <0.001 | |
| 120–180 | 2651 ± 208 | 1882 ± 123 | −787 | <0.001 | |
| 0–30 | 1175 ± 72 | 826 ± 59 | −355 | <0.001 | |
| 0–60 | 3129 ± 184 | 2128 ± 152 | −1025 | <0.001 | |
| 0–120 | 6489 ± 392 | 4334 ± 300 | −2217 | <0.001 | |
| 0–180 | 9140 ± 572 | 6216 ± 411 | −3007 | <0.001 | |
| Cmax (µU/mL) | 79.8 ± 4.9 | 52.0 ± 3.5 | −28.3 | <0.001 | |
| Tmax (min) | 53.8 ± 4.2 | 59.1 ± 5.3 | 5.5 | 0.395 | |
Disclaimer/Publisher’s Note: The statements, opinions and data contained in all publications are solely those of the individual author(s) and contributor(s) and not of MDPI and/or the editor(s). MDPI and/or the editor(s) disclaim responsibility for any injury to people or property resulting from any ideas, methods, instructions or products referred to in the content. |
© 2024 by the authors. Licensee MDPI, Basel, Switzerland. This article is an open access article distributed under the terms and conditions of the Creative Commons Attribution (CC BY) license (https://creativecommons.org/licenses/by/4.0/).
Share and Cite
Kim, I.-S.; Park, S.-y.; Park, M.J.; Kim, K.J.; Kim, J.Y. Effect of Barley on Postprandial Blood Glucose Response and Appetite in Healthy Individuals: A Randomized, Double-Blind, Placebo-Controlled Trial. Nutrients 2024, 16, 3899. https://doi.org/10.3390/nu16223899
Kim I-S, Park S-y, Park MJ, Kim KJ, Kim JY. Effect of Barley on Postprandial Blood Glucose Response and Appetite in Healthy Individuals: A Randomized, Double-Blind, Placebo-Controlled Trial. Nutrients. 2024; 16(22):3899. https://doi.org/10.3390/nu16223899
Chicago/Turabian StyleKim, In-Sook, Soo-yeon Park, Min Ju Park, Kyeong Jin Kim, and Ji Yeon Kim. 2024. "Effect of Barley on Postprandial Blood Glucose Response and Appetite in Healthy Individuals: A Randomized, Double-Blind, Placebo-Controlled Trial" Nutrients 16, no. 22: 3899. https://doi.org/10.3390/nu16223899
APA StyleKim, I.-S., Park, S.-y., Park, M. J., Kim, K. J., & Kim, J. Y. (2024). Effect of Barley on Postprandial Blood Glucose Response and Appetite in Healthy Individuals: A Randomized, Double-Blind, Placebo-Controlled Trial. Nutrients, 16(22), 3899. https://doi.org/10.3390/nu16223899

