Mediterranean Diet and Lifestyle in Persons with Mild to Moderate Alzheimer’s Disease
Abstract
1. Introduction
2. Participants and Methods
2.1. Participants
2.2. Outcome: Adherence to the Mediterranean Diet
2.3. Demographics
2.4. Multidimensional Evaluation
2.5. Nutritional Evaluation
2.6. Statistical Analysis
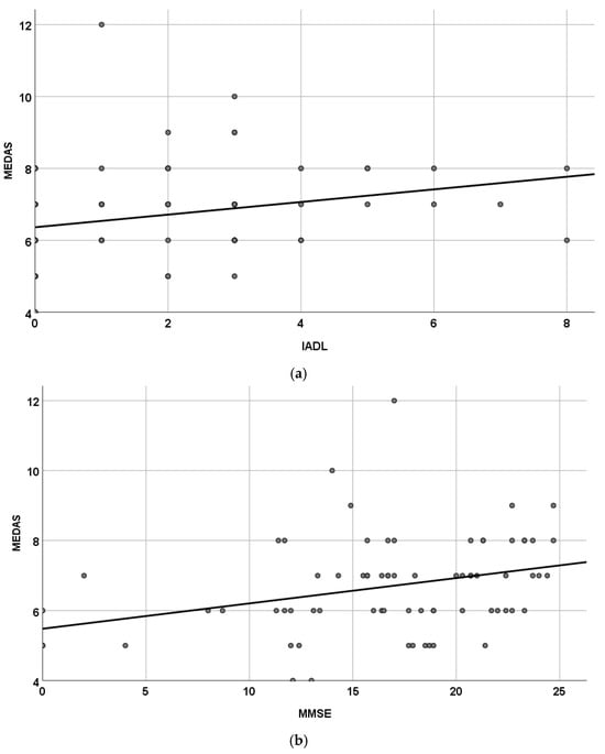
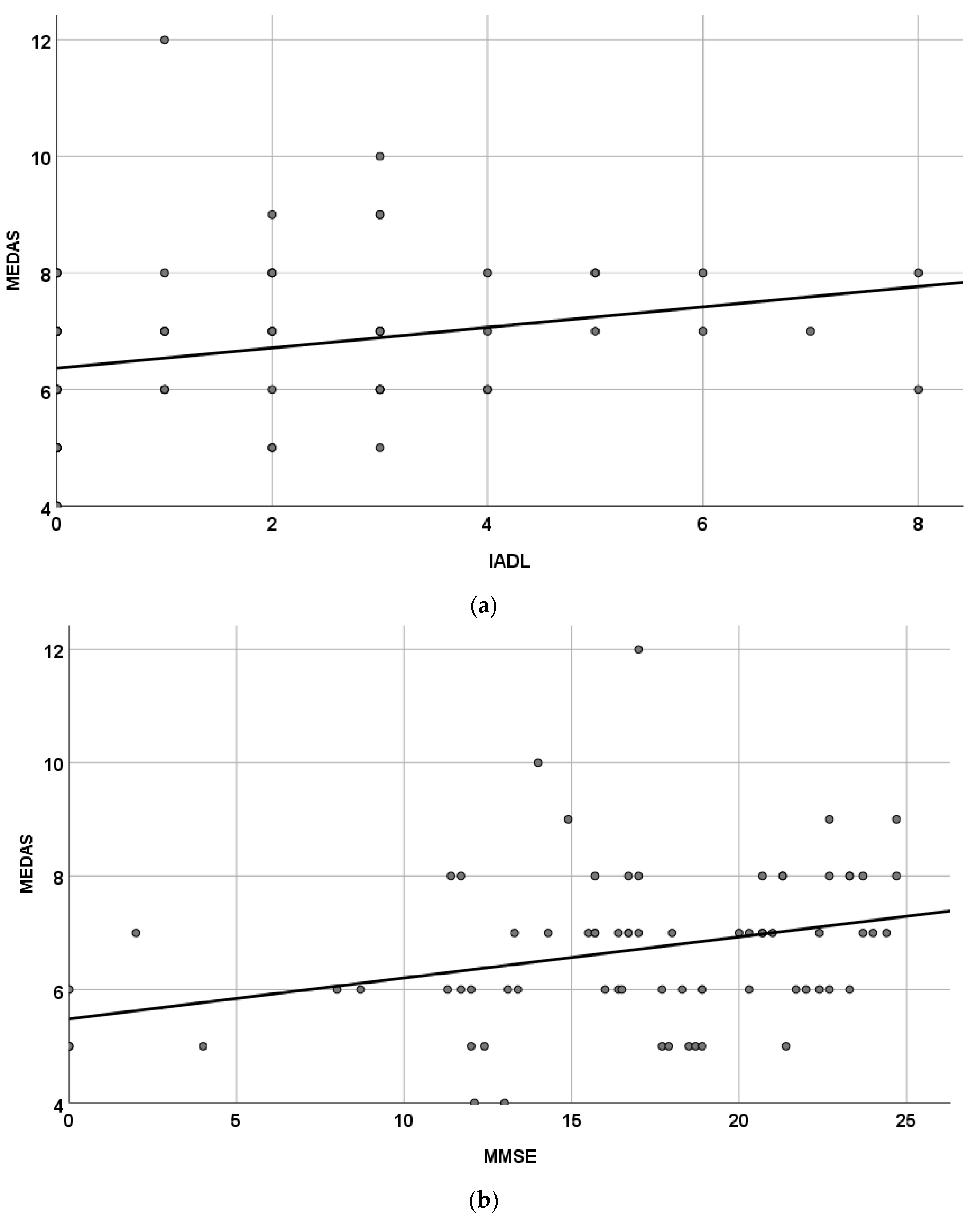
3. Results
4. Discussion
5. Conclusions
Author Contributions
Funding
Institutional Review Board Statement
Informed Consent Statement
Data Availability Statement
Conflicts of Interest
References
- Foreman, K.J.; Marquez, N.; Dolgert, A.; Fukutaki, K.; Fullman, N.; McGaughey, M.; Pletcher, M.A.; Smith, A.E.; Tang, K.; Yuan, C.W.; et al. Forecasting life expectancy, years of life lost, and all-cause and cause-specific mortality for 250 causes of death: Reference and alternative scenarios for 2016–40 for 195 countries and territories. Lancet 2018, 392, 2052–2090. [Google Scholar] [CrossRef] [PubMed]
- Akselrod, S.; Bloomfield, A.; Marmot, M.; Moran, A.E.; Nishtar, S.; Placella, E.; on behalf of the NCD Expert Editorial Group. Mobilising society to implement solutions for non-communicable diseases. BMJ 2019, 365, l360. [Google Scholar] [CrossRef]
- Livingston, G.; Huntley, J.; Liu, K.Y.; Costafreda, S.G.; Selbaek, G.; Alladi, S.; Ames, D.; Banerjee, S.; Burns, A.; Brayne, C.; et al. Dementia prevention, intervention, and care: 2024 report of the Lancet standing Commission. Lancet 2024, 404, 572–628. [Google Scholar] [CrossRef] [PubMed]
- Collaborators, G.B.D.D.F. Estimation of the global prevalence of dementia in 2019 and forecasted prevalence in 2050: An analysis for the Global Burden of Disease Study 2019. Lancet Public Health 2022, 7, e105–e125. [Google Scholar] [CrossRef]
- Malik, R.; Kalra, S.; Bhatia, S.; Harrasi, A.A.; Singh, G.; Mohan, S.; Makeen, H.A.; Albratty, M.; Meraya, A.; Bahar, B.; et al. Overview of therapeutic targets in management of dementia. Biomed. Pharmacother. 2022, 152, 113168. [Google Scholar] [CrossRef] [PubMed]
- Gonzales, M.M.; Garbarino, V.R.; Pollet, E.; Palavicini, J.P.; Kellogg, D.L., Jr.; Kraig, E.; Orr, M.E. Biological aging processes underlying cognitive decline and neurodegenerative disease. J. Clin. Investig. 2022, 132, e158453. [Google Scholar] [CrossRef]
- Anderton, B.H. Ageing of the brain. Mech. Ageing Dev. 2002, 123, 811–817. [Google Scholar] [CrossRef]
- Yankner, B.A.; Lu, T.; Loerch, P. The aging brain. Annu. Rev. Pathol. 2008, 3, 41–66. [Google Scholar] [CrossRef]
- Minhas, P.S.; Latif-Hernandez, A.; McReynolds, M.R.; Durairaj, A.S.; Wang, Q.; Rubin, A.; Joshi, A.U.; He, J.Q.; Gauba, E.; Liu, L.; et al. Restoring metabolism of myeloid cells reverses cognitive decline in ageing. Nature 2021, 590, 122–128. [Google Scholar] [CrossRef]
- Armstrong, R.A. Risk factors for Alzheimer’s disease. Folia Neuropathol. 2019, 57, 87–105. [Google Scholar] [CrossRef]
- Profyri, E.; Leung, P.; Huntley, J.; Orgeta, V. Effectiveness of treatments for people living with severe dementia: A systematic review and meta-analysis of randomised controlled clinical trials. Ageing Res. Rev. 2022, 82, 101758. [Google Scholar] [CrossRef] [PubMed]
- Scarmeas, N.; Anastasiou, C.A.; Yannakoulia, M. Nutrition and prevention of cognitive impairment. Lancet Neurol. 2018, 17, 1006–1015. [Google Scholar] [CrossRef] [PubMed]
- Dominguez, L.J.; Veronese, N.; Vernuccio, L.; Catanese, G.; Inzerillo, F.; Salemi, G.; Barbagallo, M. Nutrition, Physical Activity, and Other Lifestyle Factors in the Prevention of Cognitive Decline and Dementia. Nutrients 2021, 13, 4080. [Google Scholar] [CrossRef] [PubMed]
- Scarmeas, N.; Stern, Y.; Mayeux, R.; Manly, J.J.; Schupf, N.; Luchsinger, J.A. Mediterranean diet and mild cognitive impairment. Arch. Neurol. 2009, 66, 216–225. [Google Scholar] [CrossRef]
- Shannon, O.M.; Ranson, J.M.; Gregory, S.; Macpherson, H.; Milte, C.; Lentjes, M.; Mulligan, A.; McEvoy, C.; Griffiths, A.; Matu, J.; et al. Mediterranean diet adherence is associated with lower dementia risk, independent of genetic predisposition: Findings from the UK Biobank prospective cohort study. BMC Med. 2023, 21, 81. [Google Scholar] [CrossRef]
- Singh, B.; Parsaik, A.K.; Mielke, M.M.; Erwin, P.J.; Knopman, D.S.; Petersen, R.C.; Roberts, R.O. Association of mediterranean diet with mild cognitive impairment and Alzheimer’s disease: A systematic review and meta-analysis. J. Alzheimers Dis. 2014, 39, 271–282. [Google Scholar] [CrossRef]
- Volkert, D.; Chourdakis, M.; Faxen-Irving, G.; Fruhwald, T.; Landi, F.; Suominen, M.H.; Vandewoude, M.; Wirth, R.; Schneider, S.M. ESPEN guidelines on nutrition in dementia. Clin. Nutr. 2015, 34, 1052–1073. [Google Scholar] [CrossRef]
- Sanders, C.L.; Wengreen, H.J.; Schwartz, S.; Behrens, S.J.; Corcoran, C.; Lyketsos, C.G.; Tschanz, J.T.; Cache County, I. Nutritional Status is Associated with Severe Dementia and Mortality: The Cache County Dementia Progression Study. Alzheimer Dis. Assoc. Disord. 2018, 32, 298–304. [Google Scholar] [CrossRef]
- Doorduijn, A.S.; de van der Schueren, M.A.E.; van de Rest, O.; de Leeuw, F.A.; Hendriksen, H.M.A.; Teunissen, C.E.; Scheltens, P.; van der Flier, W.M.; Visser, M. Nutritional Status Is Associated with Clinical Progression in Alzheimer’s Disease: The NUDAD Project. J. Am. Med. Dir. Assoc. 2023, 24, 638–644. [Google Scholar] [CrossRef]
- Blasko, I.; Hinterberger, M.; Kemmler, G.; Jungwirth, S.; Krampla, W.; Leitha, T.; Heinz Tragl, K.; Fischer, P. Conversion from mild cognitive impairment to dementia: Influence of folic acid and vitamin B12 use in the VITA cohort. J. Nutr. Health Aging 2012, 16, 687–694. [Google Scholar] [CrossRef]
- Kimura, A.; Sugimoto, T.; Kitamori, K.; Saji, N.; Niida, S.; Toba, K.; Sakurai, T. Malnutrition is Associated with Behavioral and Psychiatric Symptoms of Dementia in Older Women with Mild Cognitive Impairment and Early-Stage Alzheimer’s Disease. Nutrients 2019, 11, 1951. [Google Scholar] [CrossRef] [PubMed]
- Sachdev, P.S.; Blacker, D.; Blazer, D.G.; Ganguli, M.; Jeste, D.V.; Paulsen, J.S.; Petersen, R.C. Classifying neurocognitive disorders: The DSM-5 approach. Nat. Rev. Neurol. 2014, 10, 634–642. [Google Scholar] [CrossRef] [PubMed]
- World Medical, A. World Medical Association Declaration of Helsinki. Ethical principles for medical research involving human subjects. Bull. World Health Organ. 2001, 79, 373–374. [Google Scholar]
- Schröder, H.; Fitó, M.; Estruch, R.; Martínez-González, M.A.; Corella, D.; Salas-Salvadó, J.; Lamuela-Raventós, R.; Ros, E.; Salaverría, I.; Fiol, M. A short screener is valid for assessing Mediterranean diet adherence among older Spanish men and women. J. Nutr. 2011, 141, 1140–1145. [Google Scholar] [CrossRef]
- Estruch, R.; Ros, E.; Salas-Salvadó, J.; Covas, M.-I.; Corella, D.; Arós, F.; Gómez-Gracia, E.; Ruiz-Gutiérrez, V.; Fiol, M.; Lapetra, J. Primary prevention of cardiovascular disease with a Mediterranean diet supplemented with extra-virgin olive oil or nuts. N. Engl. J. Med. 2018, 378, e34. [Google Scholar] [CrossRef]
- Craig, C.L.; Marshall, A.L.; Sjöström, M.; Bauman, A.E.; Booth, M.L.; Ainsworth, B.E.; Pratt, M.; Ekelund, U.; Yngve, A.; Sallis, J.F. International physical activity questionnaire: 12-country reliability and validity. Med. Sci. Sports Exerc. 2003, 35, 1381–1395. [Google Scholar] [CrossRef]
- Wallace, M.; Shelkey, M. Katz index of independence in activities of daily living (ADL). Urol. Nurs. 2007, 27, 93–94. [Google Scholar]
- Katz, S.; Ford, A.B.; Moskowitz, R.W.; Jackson, B.A.; Jaffe, M.W. Studies of Illness in the Aged. The Index of Adl: A Standardized Measure of Biological and Psychosocial Function. JAMA 1963, 185, 914–919. [Google Scholar] [CrossRef]
- Graf, C. The Lawton instrumental activities of daily living scale. AJN Am. J. Nurs. 2008, 108, 52–62. [Google Scholar] [CrossRef]
- Lawton, M.P.; Brody, E.M. Assessment of older people: Self-maintaining and instrumental activities of daily living. Gerontologist 1969, 9, 179–186. [Google Scholar] [CrossRef]
- Willadsen, T.G.; Bebe, A.; Køster-Rasmussen, R.; Jarbøl, D.E.; Guassora, A.D.; Waldorff, F.B.; Reventlow, S.; Olivarius, N.d.F. The role of diseases, risk factors and symptoms in the definition of multimorbidity—A systematic review. Scand. J. Prim. Health Care 2016, 34, 112–121. [Google Scholar] [CrossRef] [PubMed]
- Gnjidic, D.; Hilmer, S.N.; Blyth, F.M.; Naganathan, V.; Waite, L.; Seibel, M.J.; McLachlan, A.J.; Cumming, R.G.; Handelsman, D.J.; Le Couteur, D.G. Polypharmacy cutoff and outcomes: Five or more medicines were used to identify community-dwelling older men at risk of different adverse outcomes. J. Clin. Epidemiol. 2012, 65, 989–995. [Google Scholar] [CrossRef] [PubMed]
- Hill, E.; Goodwill, A.M.; Gorelik, A.; Szoeke, C. Diet and biomarkers of Alzheimer’s disease: A systematic review and meta-analysis. Neurobiol. Aging 2019, 76, 45–52. [Google Scholar] [CrossRef] [PubMed]
- Hu, E.A.; Toledo, E.; Diez-Espino, J.; Estruch, R.; Corella, D.; Salas-Salvado, J.; Vinyoles, E.; Gomez-Gracia, E.; Aros, F.; Fiol, M. Lifestyles and risk factors associated with adherence to the Mediterranean diet: A baseline assessment of the PREDIMED trial. PLoS ONE 2013, 8, e60166. [Google Scholar] [CrossRef] [PubMed]
- van Dam, R.M.; Hu, F.B.; Willett, W.C. Coffee, Caffeine, and Health. N. Engl. J. Med. 2020, 383, 369–378. [Google Scholar] [CrossRef]
- Knight, A.; Bryan, J.; Murphy, K. The Mediterranean diet and age-related cognitive functioning: A systematic review of study findings and neuropsychological assessment methodology. Nutr. Neurosci. 2017, 20, 449–468. [Google Scholar] [CrossRef]
- Radd-Vagenas, S.; Duffy, S.L.; Naismith, S.L.; Brew, B.J.; Flood, V.M.; Fiatarone Singh, M.A. Effect of the Mediterranean diet on cognition and brain morphology and function: A systematic review of randomized controlled trials. Am. J. Clin. Nutr. 2018, 107, 389–404. [Google Scholar] [CrossRef]
- Dinu, M.; Pagliai, G.; Casini, A.; Sofi, F. Mediterranean diet and multiple health outcomes: An umbrella review of meta-analyses of observational studies and randomised trials. Eur. J. Clin. Nutr. 2018, 72, 30–43. [Google Scholar] [CrossRef]
- Chen, H.; Dhana, K.; Huang, Y.; Huang, L.; Tao, Y.; Liu, X.; Melo van Lent, D.; Zheng, Y.; Ascherio, A.; Willett, W.; et al. Association of the Mediterranean Dietary Approaches to Stop Hypertension Intervention for Neurodegenerative Delay (MIND) Diet with the Risk of Dementia. JAMA Psychiatry 2023, 80, 630–638. [Google Scholar] [CrossRef]
- Agarwal, P.; Leurgans, S.E.; Agrawal, S.; Aggarwal, N.T.; Cherian, L.J.; James, B.D.; Dhana, K.; Barnes, L.L.; Bennett, D.A.; Schneider, J.A. Association of Mediterranean-DASH Intervention for Neurodegenerative Delay and Mediterranean Diets with Alzheimer Disease Pathology. Neurology 2023, 100, e2259–e2268. [Google Scholar] [CrossRef]
- Dhana, K.; Agarwal, P.; James, B.D.; Leurgans, S.E.; Rajan, K.B.; Aggarwal, N.T.; Barnes, L.L.; Bennett, D.A.; Schneider, J.A. Healthy Lifestyle and Cognition in Older Adults with Common Neuropathologies of Dementia. JAMA Neurol. 2024, 81, 233–239. [Google Scholar] [CrossRef] [PubMed]
- van den Brink, A.C.; Brouwer-Brolsma, E.M.; Berendsen, A.A.M.; van de Rest, O. The Mediterranean, Dietary Approaches to Stop Hypertension (DASH), and Mediterranean-DASH Intervention for Neurodegenerative Delay (MIND) Diets Are Associated with Less Cognitive Decline and a Lower Risk of Alzheimer’s Disease—A Review. Adv. Nutr. 2019, 10, 1040–1065. [Google Scholar] [CrossRef] [PubMed]
- Levak, N.; Lehtisalo, J.; Thunborg, C.; Westman, E.; Andersen, P.; Andrieu, S.; Broersen, L.M.; Coley, N.; Hartmann, T.; Irving, G.F.; et al. Nutrition guidance within a multimodal intervention improves diet quality in prodromal Alzheimer’s disease: Multimodal Preventive Trial for Alzheimer’s Disease (MIND-AD(mini)). Alzheimers Res. Ther. 2024, 16, 147. [Google Scholar] [CrossRef] [PubMed]
- Shafiei, F.; Salari-Moghaddam, A.; Larijani, B.; Esmaillzadeh, A. Mediterranean diet and depression: Reanalysis of a meta-analysis. Nutr. Rev. 2023, 81, 889–890. [Google Scholar] [CrossRef] [PubMed]
- Gildawie, K.R.; Galli, R.L.; Shukitt-Hale, B.; Carey, A.N. Protective Effects of Foods Containing Flavonoids on Age-Related Cognitive Decline. Curr. Nutr. Rep. 2018, 7, 39–48. [Google Scholar] [CrossRef]
- Kent, K.; Charlton, K.E.; Netzel, M.; Fanning, K. Food-based anthocyanin intake and cognitive outcomes in human intervention trials: A systematic review. J. Hum. Nutr. Diet. 2017, 30, 260–274. [Google Scholar] [CrossRef]
- Barrea, L.; Pugliese, G.; Frias-Toral, E.; El Ghoch, M.; Castellucci, B.; Chapela, S.P.; Carignano, M.L.A.; Laudisio, D.; Savastano, S.; Colao, A.; et al. Coffee consumption, health benefits and side effects: A narrative review and update for dietitians and nutritionists. Crit. Rev. Food Sci. Nutr. 2023, 63, 1238–1261. [Google Scholar] [CrossRef]
- Santos, C.; Costa, J.; Santos, J.; Vaz-Carneiro, A.; Lunet, N. Caffeine intake and dementia: Systematic review and meta-analysis. J. Alzheimers Dis. 2010, 20 (Suppl. 1), S187–S204. [Google Scholar] [CrossRef]
- Nila, I.S.; Villagra Moran, V.M.; Khan, Z.A.; Hong, Y. Effect of Daily Coffee Consumption on the Risk of Alzheimer’s Disease: A Systematic Review and Meta-Analysis. J. Lifestyle Med. 2023, 13, 83–89. [Google Scholar] [CrossRef]
- Li, F.; Liu, X.; Jiang, B.; Li, X.; Wang, Y.; Chen, X.; Su, Y.; Wang, X.; Luo, J.; Chen, L.; et al. Tea, coffee, and caffeine intake and risk of dementia and Alzheimer’s disease: A systematic review and meta-analysis of cohort studies. Food Funct. 2024, 15, 8330–8344. [Google Scholar] [CrossRef]
- Xie, C.; Feng, Y. Alcohol consumption and risk of Alzheimer’s disease: A dose-response meta-analysis. Geriatr. Gerontol. Int. 2022, 22, 278–285. [Google Scholar] [CrossRef] [PubMed]
- Shafiee, A.; Jafarabady, K.; Rafiei, M.A.; Beiky, M.; Seighali, N.; Golpayegani, G.; Jalali, M.; Soltani Abhari, F.; Arabzadeh Bahri, R.; Safari, O.; et al. Effect of alcohol on Brain-Derived Neurotrophic Factor (BDNF) blood levels: A systematic review and meta-analysis. Sci. Rep. 2023, 13, 17554. [Google Scholar] [CrossRef]
- Zeli, C.; Lombardo, M.; Storz, M.A.; Ottaviani, M.; Rizzo, G. Chocolate and Cocoa-Derived Biomolecules for Brain Cognition during Ageing. Antioxidants 2022, 11, 1353. [Google Scholar] [CrossRef] [PubMed]
- Baker, L.D.; Manson, J.E.; Rapp, S.R.; Sesso, H.D.; Gaussoin, S.A.; Shumaker, S.A.; Espeland, M.A. Effects of cocoa extract and a multivitamin on cognitive function: A randomized clinical trial. Alzheimers Dement. 2023, 19, 1308–1319. [Google Scholar] [CrossRef] [PubMed]
- Seibel, R.; Schneider, R.H.; Gottlieb, M.G.V. Effects of Spices (Saffron, Rosemary, Cinnamon, Turmeric and Ginger) in Alzheimer’s Disease. Curr. Alzheimer Res. 2021, 18, 347–357. [Google Scholar] [CrossRef] [PubMed]
- Shi, K.; Yu, Y.; Li, Z.; Hou, M.; Li, X. Causal relationship between dietary salt intake and dementia risk: Mendelian randomization study. Genes. Nutr. 2024, 19, 6. [Google Scholar] [CrossRef] [PubMed]
- Lourida, I.; Hannon, E.; Littlejohns, T.J.; Langa, K.M.; Hypponen, E.; Kuzma, E.; Llewellyn, D.J. Association of Lifestyle and Genetic Risk With Incidence of Dementia. JAMA 2019, 322, 430–437. [Google Scholar] [CrossRef]
- Licher, S.; Ahmad, S.; Karamujic-Comic, H.; Voortman, T.; Leening, M.J.G.; Ikram, M.A.; Ikram, M.K. Genetic predisposition, modifiable-risk-factor profile and long-term dementia risk in the general population. Nat. Med. 2019, 25, 1364–1369. [Google Scholar] [CrossRef]
- Grande, G.; Qiu, C.; Fratiglioni, L. Prevention of dementia in an ageing world: Evidence and biological rationale. Ageing Res. Rev. 2020, 64, 101045. [Google Scholar] [CrossRef]
- Vellas, B.; Lauque, S.; Gillette-Guyonnet, S.; Andrieu, S.; Cortes, F.; Nourhashemi, F.; Cantet, C.; Ousset, P.J.; Grandjean, H.; Group, R.F. Impact of nutritional status on the evolution of Alzheimer’s disease and on response to acetylcholinesterase inhibitor treatment. J. Nutr. Health Aging 2005, 9, 75–80. [Google Scholar]
- Guerin, O.; Soto, M.E.; Brocker, P.; Robert, P.H.; Benoit, M.; Vellas, B.; Group, R.F. Nutritional status assessment during Alzheimer’s disease: Results after one year (the REAL French Study Group). J. Nutr. Health Aging 2005, 9, 81–84. [Google Scholar] [PubMed]
- Jensen, G.L.; Cederholm, T.; Correia, M.; Gonzalez, M.C.; Fukushima, R.; Higashiguchi, T.; de Baptista, G.A.; Barazzoni, R.; Blaauw, R.; Coats, A.J.S.; et al. GLIM Criteria for the Diagnosis of Malnutrition: A Consensus Report from the Global Clinical Nutrition Community. JPEN J. Parenter. Enteral Nutr. 2019, 43, 32–40. [Google Scholar] [CrossRef] [PubMed]
- Wesselman, L.M.P.; Doorduijn, A.S.; de Leeuw, F.A.; Verfaillie, S.C.J.; van Leeuwenstijn-Koopman, M.; Slot, R.E.R.; Kester, M.I.; Prins, N.D.; van de Rest, O.; de van der Schueren, M.A.E.; et al. Dietary Patterns Are Related to Clinical Characteristics in Memory Clinic Patients with Subjective Cognitive Decline: The SCIENCe Project. Nutrients 2019, 11, 1057. [Google Scholar] [CrossRef] [PubMed]
- Soysal, P.; Dokuzlar, O.; Erken, N.; Dost Gunay, F.S.; Isik, A.T. The Relationship between Dementia Subtypes and Nutritional Parameters in Older Adults. J. Am. Med. Dir. Assoc. 2020, 21, 1430–1435. [Google Scholar] [CrossRef] [PubMed]
- Jang, J.W.; Kim, Y.; Choi, Y.H.; Lee, J.M.; Yoon, B.; Park, K.W.; Kim, S.E.; Kim, H.J.; Yoon, S.J.; Jeong, J.H.; et al. Association of Nutritional Status with Cognitive Stage in the Elderly Korean Population: The Korean Brain Aging Study for the Early Diagnosis and Prediction of Alzheimer’s Disease. J. Clin. Neurol. 2019, 15, 292–300. [Google Scholar] [CrossRef]
- Morley, J.E. Nutrition and the brain. Clin. Geriatr. Med. 2010, 26, 89–98. [Google Scholar] [CrossRef]
- Favaro-Moreira, N.C.; Krausch-Hofmann, S.; Matthys, C.; Vereecken, C.; Vanhauwaert, E.; Declercq, A.; Bekkering, G.E.; Duyck, J. Risk Factors for Malnutrition in Older Adults: A Systematic Review of the Literature Based on Longitudinal Data. Adv. Nutr. 2016, 7, 507–522. [Google Scholar] [CrossRef]
- Volkert, D.; Beck, A.M.; Cederholm, T.; Cereda, E.; Cruz-Jentoft, A.; Goisser, S.; de Groot, L.; Grosshauser, F.; Kiesswetter, E.; Norman, K.; et al. Management of Malnutrition in Older Patients-Current Approaches, Evidence and Open Questions. J. Clin. Med. 2019, 8, 974. [Google Scholar] [CrossRef]
- Noale, M.; Prinelli, F.; Conti, S.; Sergi, G.; Maggi, S.; Brennan, L.; de Groot, L.C.; Volkert, D.; McEvoy, C.T.; Trevisan, C.; et al. Undernutrition, cognitive decline and dementia: The collaborative PROMED-COG pooled cohorts study. Clin. Nutr. 2024, 43, 2372–2380. [Google Scholar] [CrossRef]
- Testad, I.; Kajander, M.; Froiland, C.T.; Corbett, A.; Gjestsen, M.T.; Anderson, J.G. Nutritional Interventions for Persons With Early-Stage Dementia or Alzheimer’s Disease: An Integrative Review. Res. Gerontol. Nurs. 2019, 12, 259–268. [Google Scholar] [CrossRef]
- Borders, J.C.; Blanke, S.; Johnson, S.; Gilmore-Bykovskyi, A.; Rogus-Pulia, N. Efficacy of Mealtime Interventions for Malnutrition and Oral Intake in Persons With Dementia: A Systematic Review. Alzheimer Dis. Assoc. Disord. 2020, 34, 366–379. [Google Scholar] [CrossRef] [PubMed]
- Gomez-Gomez, M.E.; Zapico, S.C. Frailty, Cognitive Decline, Neurodegenerative Diseases and Nutrition Interventions. Int. J. Mol. Sci. 2019, 20, 2842. [Google Scholar] [CrossRef] [PubMed]
- Soto, M.E.; Secher, M.; Gillette-Guyonnet, S.; Abellan van Kan, G.; Andrieu, S.; Nourhashemi, F.; Rolland, Y.; Vellas, B. Weight loss and rapid cognitive decline in community-dwelling patients with Alzheimer’s disease. J. Alzheimers Dis. 2012, 28, 647–654. [Google Scholar] [CrossRef] [PubMed]
- White, H.K.; McConnell, E.S.; Bales, C.W.; Kuchibhatla, M. A 6-month observational study of the relationship between weight loss and behavioral symptoms in institutionalized Alzheimer’s disease subjects. J. Am. Med. Dir. Assoc. 2004, 5, 89–97. [Google Scholar] [CrossRef] [PubMed]
- Johnson, D.K.; Wilkins, C.H.; Morris, J.C. Accelerated weight loss may precede diagnosis in Alzheimer disease. Arch. Neurol. 2006, 63, 1312–1317. [Google Scholar] [CrossRef]
- Stewart, R.; Masaki, K.; Xue, Q.L.; Peila, R.; Petrovitch, H.; White, L.R.; Launer, L.J. A 32-year prospective study of change in body weight and incident dementia: The Honolulu-Asia Aging Study. Arch. Neurol. 2005, 62, 55–60. [Google Scholar] [CrossRef]
- Alhurani, R.E.; Vassilaki, M.; Aakre, J.A.; Mielke, M.M.; Kremers, W.K.; Machulda, M.M.; Geda, Y.E.; Knopman, D.S.; Petersen, R.C.; Roberts, R.O. Decline in Weight and Incident Mild Cognitive Impairment: Mayo Clinic Study of Aging. JAMA Neurol. 2016, 73, 439–446. [Google Scholar] [CrossRef]
- Atti, A.R.; Palmer, K.; Volpato, S.; Winblad, B.; De Ronchi, D.; Fratiglioni, L. Late-life body mass index and dementia incidence: Nine-year follow-up data from the Kungsholmen Project. J. Am. Geriatr. Soc. 2008, 56, 111–116. [Google Scholar] [CrossRef]
- Nourhashemi, F.; Deschamps, V.; Larrieu, S.; Letenneur, L.; Dartigues, J.F.; Barberger-Gateau, P.; Quid, P.s.P.A. Body mass index and incidence of dementia: The PAQUID study. Neurology 2003, 60, 117–119. [Google Scholar] [CrossRef]
- Cronk, B.B.; Johnson, D.K.; Burns, J.M.; Alzheimer’s Disease Neuroimaging, I. Body mass index and cognitive decline in mild cognitive impairment. Alzheimer Dis. Assoc. Disord. 2010, 24, 126–130. [Google Scholar] [CrossRef]
- Sobow, T.; Fendler, W.; Magierski, R. Body mass index and mild cognitive impairment-to-dementia progression in 24 months: A prospective study. Eur. J. Clin. Nutr. 2014, 68, 1216–1219. [Google Scholar] [CrossRef] [PubMed]
- Colon-Emeric, C.S.; Whitson, H.E.; Pavon, J.; Hoenig, H. Functional decline in older adults. Am. Fam. Physician 2013, 88, 388–394. [Google Scholar] [PubMed]
- Lisko, I.; Kulmala, J.; Annetorp, M.; Ngandu, T.; Mangialasche, F.; Kivipelto, M. How can dementia and disability be prevented in older adults: Where are we today and where are we going? J. Intern. Med. 2021, 289, 807–830. [Google Scholar] [CrossRef] [PubMed]
- Huuha, A.M.; Norevik, C.S.; Moreira, J.B.N.; Kobro-Flatmoen, A.; Scrimgeour, N.; Kivipelto, M.; Van Praag, H.; Ziaei, M.; Sando, S.B.; Wisloff, U.; et al. Can exercise training teach us how to treat Alzheimer’s disease? Ageing Res. Rev. 2022, 75, 101559. [Google Scholar] [CrossRef]
- Raji, C.A.; Meysami, S.; Hashemi, S.; Garg, S.; Akbari, N.; Ahmed, G.; Chodakiewitz, Y.G.; Nguyen, T.D.; Niotis, K.; Merrill, D.A.; et al. Exercise-Related Physical Activity Relates to Brain Volumes in 10,125 Individuals. J. Alzheimers Dis. 2024, 97, 829–839. [Google Scholar] [CrossRef] [PubMed]
- Casaletto, K.B.; Renteria, M.A.; Pa, J.; Tom, S.E.; Harrati, A.; Armstrong, N.M.; Rajan, K.B.; Mungas, D.; Walters, S.; Kramer, J.; et al. Late-Life Physical and Cognitive Activities Independently Contribute to Brain and Cognitive Resilience. J. Alzheimers Dis. 2020, 74, 363–376. [Google Scholar] [CrossRef]
- de Freitas, G.B.; Lourenco, M.V.; De Felice, F.G. Protective actions of exercise-related FNDC5/Irisin in memory and Alzheimer’s disease. J. Neurochem. 2020, 155, 602–611. [Google Scholar] [CrossRef]
- Sanders, L.M.J.; Hortobagyi, T.; Karssemeijer, E.G.A.; Van der Zee, E.A.; Scherder, E.J.A.; van Heuvelen, M.J.G. Effects of low- and high-intensity physical exercise on physical and cognitive function in older persons with dementia: A randomized controlled trial. Alzheimers Res. Ther. 2020, 12, 28. [Google Scholar] [CrossRef]
- Lamb, S.E.; Sheehan, B.; Atherton, N.; Nichols, V.; Collins, H.; Mistry, D.; Dosanjh, S.; Slowther, A.M.; Khan, I.; Petrou, S.; et al. Dementia And Physical Activity (DAPA) trial of moderate to high intensity exercise training for people with dementia: Randomised controlled trial. BMJ 2018, 361, k1675. [Google Scholar] [CrossRef]
- Veronese, N.; Soysal, P.; Demurtas, J.; Solmi, M.; Bruyere, O.; Christodoulou, N.; Ramalho, R.; Fusar-Poli, P.; Lappas, A.S.; Pinto, D.; et al. Physical activity and exercise for the prevention and management of mild cognitive impairment and dementia: A collaborative international guideline. Eur. Geriatr. Med. 2023, 14, 925–952. [Google Scholar] [CrossRef]
- DiSabato, D.J.; Quan, N.; Godbout, J.P. Neuroinflammation: The devil is in the details. J. Neurochem. 2016, 139 (Suppl. 2), 136–153. [Google Scholar] [CrossRef] [PubMed]
- Lyman, M.; Lloyd, D.G.; Ji, X.; Vizcaychipi, M.P.; Ma, D. Neuroinflammation: The role and consequences. Neurosci. Res. 2014, 79, 1–12. [Google Scholar] [CrossRef] [PubMed]
- Traub, J.; Frey, A.; Stork, S. Chronic Neuroinflammation and Cognitive Decline in Patients with Cardiac Disease: Evidence, Relevance, and Therapeutic Implications. Life 2023, 13, 329. [Google Scholar] [CrossRef] [PubMed]
- Kip, E.; Parr-Brownlie, L.C. Healthy lifestyles and wellbeing reduce neuroinflammation and prevent neurodegenerative and psychiatric disorders. Front. Neurosci. 2023, 17, 1092537. [Google Scholar] [CrossRef]
- Dominguez, L.J.; Di Bella, G.; Veronese, N.; Barbagallo, M. Impact of Mediterranean Diet on Chronic Non-Communicable Diseases and Longevity. Nutrients 2021, 13, 2028. [Google Scholar] [CrossRef]
- Grabska-Kobylecka, I.; Szpakowski, P.; Krol, A.; Ksiazek-Winiarek, D.; Kobylecki, A.; Glabinski, A.; Nowak, D. Polyphenols and Their Impact on the Prevention of Neurodegenerative Diseases and Development. Nutrients 2023, 15, 3454. [Google Scholar] [CrossRef]
- Novakovic, M.; Rout, A.; Kingsley, T.; Kirchoff, R.; Singh, A.; Verma, V.; Kant, R.; Chaudhary, R. Role of gut microbiota in cardiovascular diseases. World J. Cardiol. 2020, 12, 110–122. [Google Scholar] [CrossRef]
- Wang, M.; Zhang, H.; Liang, J.; Huang, J.; Chen, N. Exercise suppresses neuroinflammation for alleviating Alzheimer’s disease. J. Neuroinflammation 2023, 20, 76. [Google Scholar] [CrossRef]
- Rijal, A.; Nielsen, E.E.; Hemmingsen, B.; Neupane, D.; Gaede, P.H.; Olsen, M.H.; Jakobsen, J.C. Adding exercise to usual care in patients with hypertension, type 2 diabetes mellitus and/or cardiovascular disease: A protocol for a systematic review with meta-analysis and trial sequential analysis. Syst. Rev. 2019, 8, 330. [Google Scholar] [CrossRef]
- Pearce, N. Analysis of matched case-control studies. BMJ 2016, 352, i969. [Google Scholar] [CrossRef]
- Mansournia, M.A.; Jewell, N.P.; Greenland, S. Case-control matching: Effects, misconceptions, and recommendations. Eur. J. Epidemiol. 2018, 33, 5–14. [Google Scholar] [CrossRef] [PubMed]



| Parameter | Cases (n = 73) | Controls (n = 73) | p-Value |
|---|---|---|---|
| Demographics | |||
| Age (mean, SD) | 76.6 (4.7) | 76.3 (3.9) | 0.69 |
| Males (%) | 42.5 | 20.5 | 0.004 |
| Moderate-to-high physical activity level (%) | 1.4 | 13.7 | 0.03 |
| Low physical activity level (%) | 38.4 | 93.2 | <0.0001 |
| Smoking status, no (%) | 82.2 | 86.3 | 0.34 |
| Smoking status, current (%) | 5.5 | 6.8 | |
| Smoking status, previous (%) | 12.3 | 6.9 | |
| Multidimensional evaluation | |||
| ADL (mean, SD) | 3.4 (1.8) | 6 | - |
| IADL (mean, SD) | 1.9 (2.1) | 8 for women, 6 for men | - |
| MMSE (mean, SD) | 16.7 (6.0) | 30 | - |
| Multimorbidity (%) | 68.5 | 9.6 | <0.0001 |
| Polypharmacy (%) | 74.0 | 28.8 | <0.0001 |
| Nutritional evaluation | |||
| BMI (mean, SD) | 26.5 (4.0) | 26.1 (4.4) | 0.54 |
| Alcohol drinking, non-red wine (%) | 5.5 | 0 | 0.12 |
| Spices more than 3 times in a week (%) | 32.9 | 49.3 | 0.04 |
| Tea consumption more than 3 times in a week (%) | 24.7 | 34.2 | 0.20 |
| Cocoa, more than 3 times in a week (%) | 23.3 | 13.7 | 0.21 |
| Red fruits, more than 3 times in a week (%) | 52.1 | 11.0 | <0.0001 |
| Coffee, yes/no (%) | 72.6 | 100 | <0.0001 |
| Salt, 3 spoons/day (%) | 4.1 | 0 | <0.0001 |
| MEDAS (mean, SD) | 6.7 (1.4) | 8.1 (1.5) | <0.0001 |
| Parameter | Odds Ratio | 95% Low CI | 95% High CI | p -Value |
|---|---|---|---|---|
| Presence of Alzheimer’s Disease | 0.222 | 0.058 | 0.848 | 0.028 |
| Males | 0.916 | 0.368 | 2.281 | 0.850 |
| Age | 0.929 | 0.845 | 1.022 | 0.129 |
| Low physical activity level | 0.905 | 0.345 | 2.375 | 0.839 |
| Multimorbidity | 0.762 | 0.238 | 2.443 | 0.648 |
| Polypharmacy | 0.930 | 0.297 | 2.917 | 0.902 |
| Red fruits, more than 3 times per week | 0.855 | 0.350 | 2.090 | 0.731 |
| Coffee consumption | 1.475 | 0.494 | 4.403 | 0.486 |
| Salt, 2 spoons/day | 0.587 | 0.232 | 10.484 | 0.260 |
| Salt, 3 spoons/day | 10.358 | 0.101 | 18.185 | 0.817 |
Disclaimer/Publisher’s Note: The statements, opinions and data contained in all publications are solely those of the individual author(s) and contributor(s) and not of MDPI and/or the editor(s). MDPI and/or the editor(s) disclaim responsibility for any injury to people or property resulting from any ideas, methods, instructions or products referred to in the content. |
© 2024 by the authors. Licensee MDPI, Basel, Switzerland. This article is an open access article distributed under the terms and conditions of the Creative Commons Attribution (CC BY) license (https://creativecommons.org/licenses/by/4.0/).
Share and Cite
Dominguez, L.J.; Veronese, N.; Parisi, A.; Seminara, F.; Vernuccio, L.; Catanese, G.; Barbagallo, M. Mediterranean Diet and Lifestyle in Persons with Mild to Moderate Alzheimer’s Disease. Nutrients 2024, 16, 3421. https://doi.org/10.3390/nu16193421
Dominguez LJ, Veronese N, Parisi A, Seminara F, Vernuccio L, Catanese G, Barbagallo M. Mediterranean Diet and Lifestyle in Persons with Mild to Moderate Alzheimer’s Disease. Nutrients. 2024; 16(19):3421. https://doi.org/10.3390/nu16193421
Chicago/Turabian StyleDominguez, Ligia J., Nicola Veronese, Angela Parisi, Flavia Seminara, Laura Vernuccio, Giuseppina Catanese, and Mario Barbagallo. 2024. "Mediterranean Diet and Lifestyle in Persons with Mild to Moderate Alzheimer’s Disease" Nutrients 16, no. 19: 3421. https://doi.org/10.3390/nu16193421
APA StyleDominguez, L. J., Veronese, N., Parisi, A., Seminara, F., Vernuccio, L., Catanese, G., & Barbagallo, M. (2024). Mediterranean Diet and Lifestyle in Persons with Mild to Moderate Alzheimer’s Disease. Nutrients, 16(19), 3421. https://doi.org/10.3390/nu16193421

