Locally Prepared Therapeutic Food for Treatment of Severely Underweight Children in Rural India: An Interventional Prospective Controlled Community-Based Study with Long Follow-Up:—‘SAMMAN’ Trial
Abstract
1. Introduction
2. Methods
2.1. Study Design
2.2. Setting and Participants
2.3. Phases of Study
- (A)
- Enrollment: Every month, VHWs conducted a door-to-door survey and recorded the anthropometry of all children in the villages between 6 and 60 months of age using a complete enumeration method, standardized digital weighing machines, and stadiometer/infantometer.
- (B.1)
- SAMMAN intervention was conducted in the intervention arm. It has a duration of 90 days for each SUW child.
- a.
- Local Therapeutic Food and Micro-Nutrients (LTF–MN): The enrolled SUW children received, LTF-MN feedings, four times a day, under direct supervision of VHW at feeding center in the village.
- b.
- c.
- Behavior Change Communication: Weekly intensive behavior change communication was conducted for the parents in the intervention arm during 90 days of therapy. Hand washing, nail cutting, and other personal hygiene were ensured (File S8).
- d.
- Our VHWs daily examined all SUWs for medical and other complications, and provided appropriate childcare.
- (B.2)
- In the reference arm, “Standard care”, consisting of behavior change communication once in 10 weeks and treatment of infections, as per WHO protocols [29,30], was provided. VHWs provided referrals to government hospitals for the needy children. The children from the reference arm who became SUW after enrollment were referred to government hospitals for malnutrition management.
- (C)
- After the SAMMAN Intervention of 90 days, “standard care”, was provided for children in both arms until the age of 60 months.
- (D)
- The prevalence of S.U.W. was determined in 14 intervention villages and 22 control villages in every September, from 2011 to 2022.
- (E)
- Costing: Expenses incurred for LTF-MN ingredients, transport, manpower, and the cooking process were considered for cost calculation.
- (F)
- Operational definitions:
3. Statistical Methods
3.1. Sample Size
3.2. Patient and Public Involvement (PPI)
4. Results
Recovery with/without Relapse and Associated Factors
5. Discussion
5.1. Recovery with/without Relapse and Associated Factors
5.2. Value Addition of This Study
6. Conclusions
Limitations
Supplementary Materials
Author Contributions
Funding
Institutional Review Board Statement
Informed Consent Statement
Data Availability Statement
Acknowledgments
Conflicts of Interest
References
- Dani, V.; Satav, K.; Pendharkar, J.; Satav, A.; Ughade, S.; Adhav, A.; Thakare, B. Community-based management of severe malnutrition: SAM and SUW in the tribal area of Melghat, Maharashtra, India. Clin. Epidemiol. Glob. Health 2017, 5, 62–69. [Google Scholar] [CrossRef]
- Ansuya, B.; Nayak, B.S.; Unnikrishnan, B.; Ravishankar, N.; Shashidhara, Y.N.; Mundkur, S.C. Impact of a home-based nutritional intervention program on nutritional status of preschool children: A cluster randomized controlled trial. BMC Public Health 2023, 23, 51. [Google Scholar]
- Surve, S.; Kulkarni, R.; Patil, S.; Sankhe, L. Impact of intervention on nutritional status of under-fives in tribal blocks of Palghar District in Maharashtra, India. Indian J. Public Health 2022, 66, 159–165. [Google Scholar]
- Akilimali, A.; Banga, S.; Oduoye, M.O.; Biamba, C.; Munyangi, A.; Byiringiro, E.; Masirika, W. Malnutrition among under-five children in Democratic Republic of the Congo: A plague of the health system. Ann. Med. Surg. 2022, 82, 104260. [Google Scholar] [CrossRef] [PubMed]
- WHO. Child Mortality (under 5 Years); WHO Factsheets: Geneva, Switzerland, 2022; p. 2. [Google Scholar]
- Programme UND. Zero Hunger; United Nations: New York, NY, USA, 2023; p. 2. [Google Scholar]
- Chika Hayashi, J.K.; Kawakatsu, Y.; Johnston, R.; Mehra, V.; Borghi, E.; Dominguez, E.; Flores-Urrutia, M.; Gatica-Domínguez, G.; US, R.K.; Suzuki, E.; et al. Levels and trends in child malnutrition. In The Data and Analytics Section of the Division of Data A, Planning and Monitoring UNY, Together with the Department of Nutrition and Food Safety; UNICEF, WHO and World Bank Group: Geneva, Switzerland, 2023; p. 31. [Google Scholar]
- Chowdhury, M.R.K.; Khan, H.T.A.; Rashid, M.; Mondal, M.N.I.; Bornee, F.A.; Billah, B. Prevalence and correlates of severe under-5 child anthropometric failure measured by the composite index of severe anthropometric failure in Bangladesh. Front. Pediatr. 2022, 10, 978568. [Google Scholar] [CrossRef] [PubMed]
- Cora Luiza Araújo, A.L.; Bhandari, N.; Aa, G.-E.; Mohamed, A.J.; Dewey, K.G. WHO Child Growth Standards; WHO: Geneva, Switzerland, 2006; ISBN 92-4-154693-X. [Google Scholar]
- Dani, V.; Satav, A.; Pendharkar, J.; Ughade, S.; Jain, D.; Adhav, A.; Sadanshiv, A. Prevalence of under nutrition in under-five tribal children of Melghat: A community based cross sectional study in Central India. Clin. Epidemiol. Glob. Health 2015, 3, 77–84. [Google Scholar] [CrossRef]
- Navarro, D.; Dolores, M.; de Arriba, G.; del Hoyo, R.; Brizuela, E.V.; del Cerro, P.; Alvarez, M. Female eco-stability and severe malnutrition in children: Evidence from humanitarian aid interventions of Action Against Hunger in African, Asian and Latin American countries. Nutr. Clin. Diet. Hosp. 2017, 34, 127–134. [Google Scholar]
- Sinha, R.K.; Dua, R.; Bijalwan, V.; Rohatgi, S.; Kumar, P. Determinants of Stunting, Wasting, and Underweight in Five High-Burden Pockets of Four Indian States. Indian J. Community Med. 2018, 43, 279–283. [Google Scholar]
- Karlsson, O.; Kim, R.; Sarwal, R.; James, K.S.; Subramanian, S.V. Trends in underweight, stunting, and wasting prevalence and inequality among children under three in Indian states, 1993–2016. Sci. Rep. 2021, 11, 14137. [Google Scholar] [CrossRef]
- Kim, R.; Bijral, A.S.; Xu, Y.; Zhang, X.; Blossom, J.C.; Swaminathan, A.; Subramanian, S.V. Precision mapping child undernutrition for nearly 600,000 inhabited census villages in India. Proc. Natl. Acad. Sci. USA 2021, 118, e2025865118. [Google Scholar] [CrossRef]
- Murarkar, S.; Gothankar, J.; Doke, P.; Pore, P.; Lalwani, S.; Dhumale, G.; Malshe, N. Prevalence and determinants of undernutrition among under-five children residing in urban slums and rural area, Maharashtra, India: A community-based cross-sectional study. BMC Public Health 2020, 20, 1559. [Google Scholar] [CrossRef]
- Satav, A.R.; Satav, K.A.; Bharadwaj, A.; Pendharkar, J.; Dani, V.; Ughade, S.; Simões, E.A. Effect of home-based childcare on childhood mortality in rural Maharashtra, India: A cluster randomised controlled trial. BMJ Glob. Health 2022, 7, e008909. [Google Scholar] [CrossRef]
- Ghosh, S.; Varerkar, S.A. Undernutrition among tribal children in Palghar district, Maharashtra, India. PLoS ONE 2019, 14, e0212560. [Google Scholar] [CrossRef] [PubMed]
- Hossain, M.I.; Nahar, B.; Hamadani, J.D.; Ahmed, T.; Brown, K.H. Effects of community-based follow-up care in managing severely underweight children. J. Pediatr. Gastroenterol. Nutr. 2011, 53, 310–319. [Google Scholar] [CrossRef] [PubMed]
- Moramarco, S.; Amerio, G.; Kasengele Chipoma, J.; Nielsen-Saines, K.; Palombi, L.; Buonomo, E. Filling the Gaps for Enhancing the Effectiveness of Community-Based Programs Combining Treatment and Prevention of Child Malnutrition: Results from the Rainbow Project 2015⁻17 in Zambia. Int. J. Environ. Res. Public Health 2018, 15, 1807. [Google Scholar] [CrossRef] [PubMed]
- Olofin, I.; McDonald, C.M.; Ezzati, M.; Flaxman, S.; Black, R.E.; Fawzi, W.W.; Nutrition Impact Model Study. Associations of suboptimal growth with all-cause and cause-specific mortality in children under five years: A pooled analysis of ten prospective studies. PLoS ONE 2013, 8, e64636. [Google Scholar] [CrossRef] [PubMed]
- Gausman, J.; Kim, R.; Subramanian, S.V. Associations of single versus multiple anthropometric failure with mortality in children under 5 years: A prospective cohort study. SSM Popul. Health 2021, 16, 100965. [Google Scholar] [CrossRef]
- Odei Obeng-Amoako, G.A.; Stobaugh, H.; Wrottesley, S.V.; Khara, T.; Binns, P.; Trehan, I.; Lelijveld, N. How do children with severe underweight and wasting respond to treatment? A pooled secondary data analysis to inform future intervention studies. Matern. Child Nutr. 2023, 19, e13434. [Google Scholar] [CrossRef]
- Bailey, J.; Lelijveld, N.; Khara, T.; Dolan, C.; Stobaugh, H.; Sadler, K.; Myatt, M. Response to Malnutrition Treatment in Low Weight-for-Age Children: Secondary Analyses of Children 6–59 Months in the ComPAS Cluster Randomized Controlled Trial. Nutrients 2021, 13, 1054. [Google Scholar] [CrossRef]
- Girma, T.; Mølgaard, C.; Michaelsen, K.F. Appropriate management of severe malnutrition greatly contributes to the reduction of child mortality rate. J. Pediatr. Gastroenterol. Nutr. 2006, 43, 436–438. [Google Scholar] [CrossRef]
- Khara, T.; Myatt, M.; Sadler, K.; Bahwere, P.; Berkley, J.A.; Black, R.E.; Briend, A. Anthropometric criteria for best-identifying children at high risk of mortality: A pooled analysis of twelve cohorts. Public Health Nutr. 2023, 26, 1–17. [Google Scholar] [CrossRef]
- Islam, M.R.; Nuzhat, S.; Alam, J.; Huq, S.; Chisti, M.J.; Ahmed, T. Inpatient Morbidity and Mortality of Severely Underweight Children Was Comparable to That of Severely Wasted Children in Dhaka, Bangladesh. Am. J. Trop. Med. Hyg. 2023, 109, 698–703. [Google Scholar] [CrossRef] [PubMed]
- World Health Organization; World Food Programme; United Nations System Standing Committee on Nutrition; United Nations Children’s Fund. Community-based Management of Severe Acute Malnutrition: A Joint Statement by the World Health Organization, the World Food Programme, the United Nations System Standing Committee on Nutrition and the United Nations Children’s Fund; World Health Organization: Geneva, Switzerland, 2007. [Google Scholar]
- Satav, A.; Dani, V.; Pendharkar, J.; Jain, D.; Satav, K. Mapping of Local Therapeutic Foods (LTF) and Micronutrients (MN); their logistics in community-based management of Severe Malnutrition (SAM, SUW) as a benchmark in tribal Melghat, Maharashtra. Arch. Food Nutr. Sci. 2022, 6, 26–34. [Google Scholar]
- Gove, S. Integrated management of childhood illness by outpatient health workers: Technical basis and overview. The WHO Working Group on Guidelines for Integrated Management of the Sick Child. Bull. World Health Organ. 1997, 75 (Suppl. S1), 7–24. [Google Scholar]
- WHO. Handbook: IMCI Integrated Management of Childhood Illness; World Health Organisation: Geneva, Switzerland, 2005. [Google Scholar]
- de Onis, M.; Garza, C.; Onyango, A.W.; Rolland-Cachera, M.F. WHO growth standards for infants and young children. Arch. Pediatr. 2009, 16, 47–53. [Google Scholar] [CrossRef]
- Government of India. Protocol for MANAGEMENT of MALNUTRITION IN CHILDREN. In Ministry of Health and Family Welfare MoWaCD; Government of India: New Delhi, India, 2023; p. 22. [Google Scholar]
- Ghodsi, D.; Omidvar, N.; Rashidian, A.; Eini-Zinab, H.; Raghfar, H.; Aghayan, M. Effectiveness of the national food supplementary program on children growth and nutritional status in Iran. Matern. Child Nutr. 2018, 14, e12591. [Google Scholar] [CrossRef]
- Gartner, A.; Maire, B.; Traissac, P.; Kameli, Y.; Delpeuch, F. Determinants of nutrition improvement in a large-scale urban project: A follow-up study of children participating in the Senegal Community Nutrition Project. Public Health Nutr. 2006, 9, 982–990. [Google Scholar] [CrossRef]
- Thakwalakwa, C.M.; Ashorn, P.; Jawati, M.; Phuka, J.C.; Cheung, Y.B.; Maleta, K.M. An effectiveness trial showed lipid-based nutrient supplementation but not corn-soya blend offered a modest benefit in weight gain among 6- to 18-month-old underweight children in rural Malawi. Public Health Nutr. 2012, 15, 1755–1762. [Google Scholar] [CrossRef] [PubMed]
- White, H. Comment on contributions regarding the impact of the Bangladesh Integrated Nutrition Project. Health Policy Plan. 2005, 20, 408–411; author reply 11. [Google Scholar] [CrossRef][Green Version]
- Pelletiera, D.; Dua, L.; Kostermansb, K. The Bangladesh Integrated Nutrition Project Effectiveness and Lessons; World Bank: Dhaka, Bangladesh, 2005; p. 106. [Google Scholar]
- Schoonees, A.; Lombard, M.J.; Musekiwa, A.; Nel, E.; Volmink, J. Ready-to-use therapeutic food (RUTF) for home-based nutritional rehabilitation of severe acute malnutrition in children from six months to five years of age. Cochrane Database Syst. Rev. 2019, 5, Cd009000. [Google Scholar] [CrossRef]
- Kundan, I.; Nair, R.; Kulkarni, S.; Deshpande, A.; Jotkar, R.; Phadke, M. Assessment, outcomes and implications of multiple anthropometric deficits in children. BMJ Nutr. Prev. Health 2021, 4, 267–274. [Google Scholar] [CrossRef] [PubMed]
- Wilson, E.M.; Green, J.R.; Weismer, G. A kinematic description of the temporal characteristics of jaw motion for early chewing: Preliminary findings. J. Speech Lang. Hear. Res. 2012, 55, 626–638. [Google Scholar] [CrossRef] [PubMed]
- Tournier, C.; Demonteil, L.; Canon, F.; Marduel, A.; Feron, G.; Nicklaus, S. A new masticatory performance assessment method for infants: A feasibility study. J. Texture Stud. 2019, 50, 237–247. [Google Scholar] [CrossRef] [PubMed]
- Meenakshi, A.; Paul, P. (Eds.) Human Chewing Pattern: Prosthodontic Overview. Int. J. Oral Health Med. Res. 2017, 4, 2017. [Google Scholar]
- Kumar, S.; Bhawani, L. Managing child malnutrition in a drought affected district of Rajasthan–A case study. Indian J. Public Health 2005, 49, 198–206. [Google Scholar]
- Satav, K.A. 389 Home Based Child Care for Reducing Child Malnutrition in Melghat. Pediatr. Res. 2010, 68, 200. [Google Scholar] [CrossRef]
- Satav, A. Effect of home based child care & nutrition improvement program on child mortality and malnutrition in a tribal belt: Result of field randomized control trial. J. Nutr. Food Sci. 2015, 3, 89. [Google Scholar]
- Hossain, S.M.; Duffield, A.; Taylor, A. An evaluation of the impact of a US$60 million nutrition programme in Bangladesh. Health Policy Plan. 2005, 20, 35–40. [Google Scholar] [CrossRef]
- Compliance Report of Women and Child Development Department Public Interest Litigation No. 133 of 2007 PIL (2022).
- Fetriyuna, F.; Purwestri, R.C.; Jati, I.; Setiawan, B.; Huda, S.; Wirawan, N.N.; Andoyo, R. Ready-to-use therapeutic/supplementary foods from local food resources: Technology accessibility, program effectiveness, and sustainability, a review. Heliyon 2023, 9, e22478. [Google Scholar] [CrossRef]
- Owino, V.O.; Irena, A.H.; Dibari, F.; Collins, S. Development and acceptability of a novel milk-free soybean-maize-sorghum ready-to-use therapeutic food (SMS-RUTF) based on industrial extrusion cooking process. Matern. Child Nutr. 2014, 10, 126–134. [Google Scholar] [CrossRef]
- Ali, E.; Zachariah, R.; Dahmane, A.; Van den Boogaard, W.; Shams, Z.; Akter, T.; Harries, A.D. Peanut-based ready-to-use therapeutic food: Acceptability among malnourished children and community workers in Bangladesh. Public Health Action 2013, 3, 128–135. [Google Scholar] [CrossRef]
- Kabalo, M.Y. Manifolds boosting severe acute malnutrition burden among children in and around Wolaita Zone, Southern Ethiopia: Mini-review. BMC Res. Notes 2018, 11, 870. [Google Scholar] [CrossRef]
- Ciliberto, M.A.; Sandige, H.; Ndekha, M.J.; Ashorn, P.; Briend, A.; Ciliberto, H.M.; Manary, M.J. Comparison of home-based therapy with ready-to-use therapeutic food with standard therapy in the treatment of malnourished Malawian children: A controlled, clinical effectiveness trial. Am. J. Clin. Nutr. 2005, 81, 864–870. [Google Scholar] [CrossRef] [PubMed]
- Das, J.K.; Salam, R.A.; Hadi, Y.B.; Sheikh, S.S.; Bhutta, A.Z.; Prinzo, Z.W.; Bhutta, Z.A. Preventive lipid-based nutrient supplements given with complementary foods to infants and young children 6 to 23 months of age for health, nutrition, and developmental outcomes. Cochrane Database Syst. Rev. 2019, 5, CD012611. [Google Scholar] [PubMed]
- Linneman, Z.; Matilsky, D.; Ndekha, M.; Manary, M.J.; Maleta, K.; Manary, M.J. A large-scale operational study of home-based therapy with ready-to-use therapeutic food in childhood malnutrition in Malawi. Matern. Child Nutr. 2007, 3, 206–215. [Google Scholar] [CrossRef] [PubMed]
- Thapa, B.R.; Goyal, P.; Menon, J.; Sharma, A. Acceptability and Efficacy of Locally Produced Ready-to-Use Therapeutic Food Nutreal in the Management of Severe Acute Malnutrition in Comparison with Defined Food: A Randomized Control Trial. Food Nutr. Bull. 2017, 38, 18–26. [Google Scholar] [CrossRef] [PubMed]
- Myatt, M.; Khara, T.; Schoenbuchner, S.; Pietzsch, S.; Dolan, C.; Lelijveld, N.; Briend, A. Children who are both wasted and stunted are also underweight and have a high risk of death: A descriptive epidemiology of multiple anthropometric deficits using data from 51 countries. Arch. Public Health 2018, 76, 28. [Google Scholar] [CrossRef]
- Roy, S.K.; Chowdhury, A.K.; Rahaman, M.M. Excess mortality among children discharged from hospital after treatment for diarrhoea in rural Bangladesh. Br. Med. J. (Clin. Res. Ed.) 1983, 287, 1097–1099. [Google Scholar] [CrossRef]







| Factors | Levels | Arm | p-Value | |
|---|---|---|---|---|
| Intervention (N = 339) | Control (N = 339) | |||
| N (%) | ||||
| Age at enrolment (months) | 6–11 | 54 (15.9) | 58 (17.1) | 0.991 |
| 12–23 | 112 (33.0) | 114 (33.6) | ||
| 24–35 | 88 (26.0) | 84 (24.8) | ||
| 36–47 | 50 (14.7) | 49 (14.5) | ||
| 48–60 | 35 (10.3) | 34 (10.0) | ||
| Sex | Female | 161 (47.5) | 171 (50.4) | 0.442 |
| Male | 178 (52.5) | 168 (49.6) | ||
| Birth weight (g) | <2500 | 177 (52.2) | 3 (0.9) | <0.001 |
| ≥2500 | 162 (47.8) | 336 (99.1) | ||
| Parent literacy | Both illiterate | 34 (10.0) | 26 (7.7) | 0.279 |
| Either parent literate * | 305 (90.0) | 313 (92.3) | ||
| Community | Nontribal | 20 (5.9) | 16 (4.7) | 0.493 |
| Tribal | 319 (94.1) | 323 (95.3) | ||
| Wealth index from assets 1 ** | I | 97 (28.6) | 74 (21.9) | 0.185 |
| II | 78 (23.0) | 89 (26.3) | ||
| III | 85 (25.1) | 83 (24.6) | ||
| IV | 79 (23.3) | 92 (27.2) | ||
| Village level status 2 ** | I | 128 (37.8) | 118 (34.8) | 0.281 |
| II | 78 (23.0) | 78 (23.0) | ||
| III | 38 (11.2) | 28 (8.3) | ||
| IV | 95 (28.0) | 115 (33.9) | ||
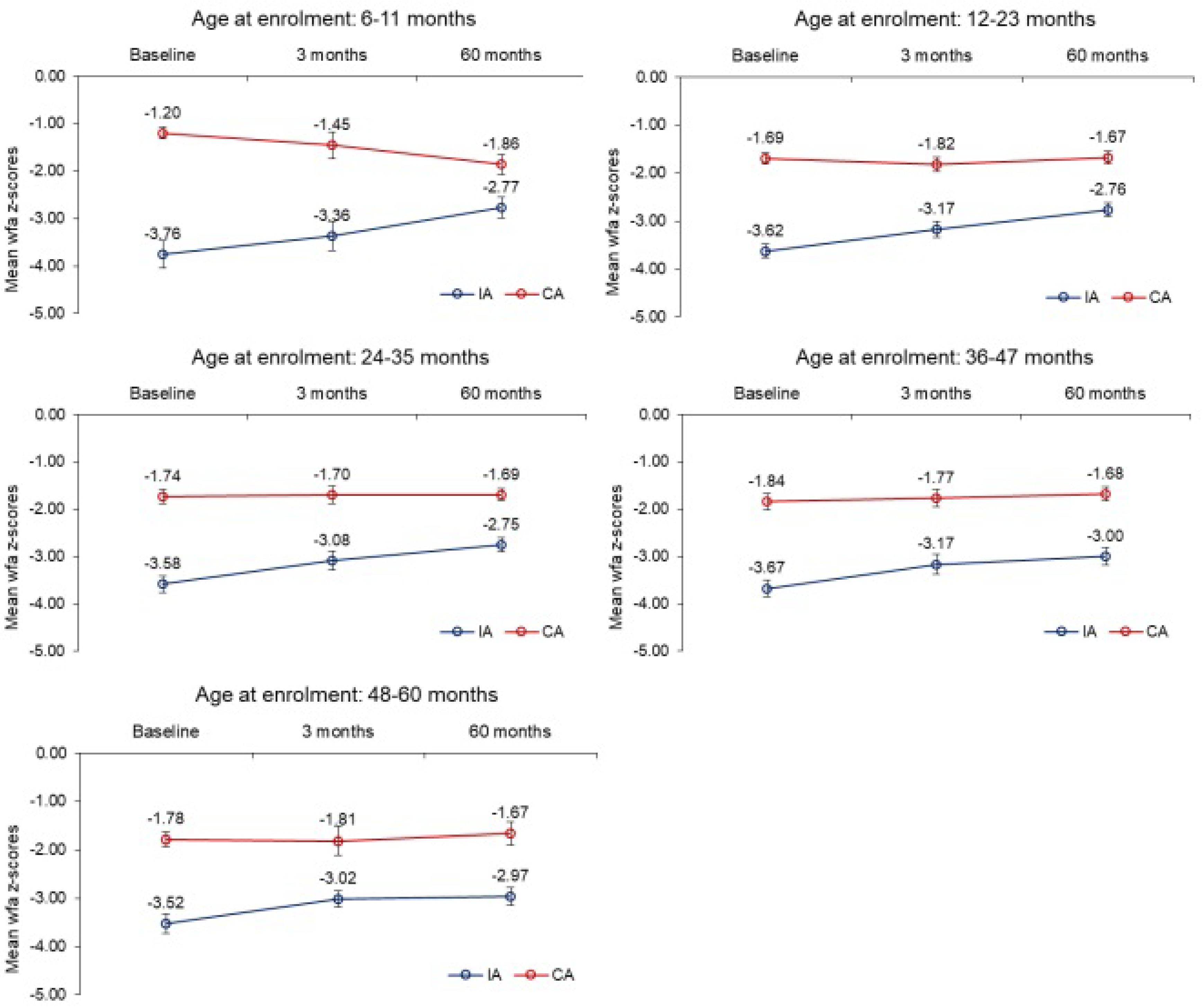
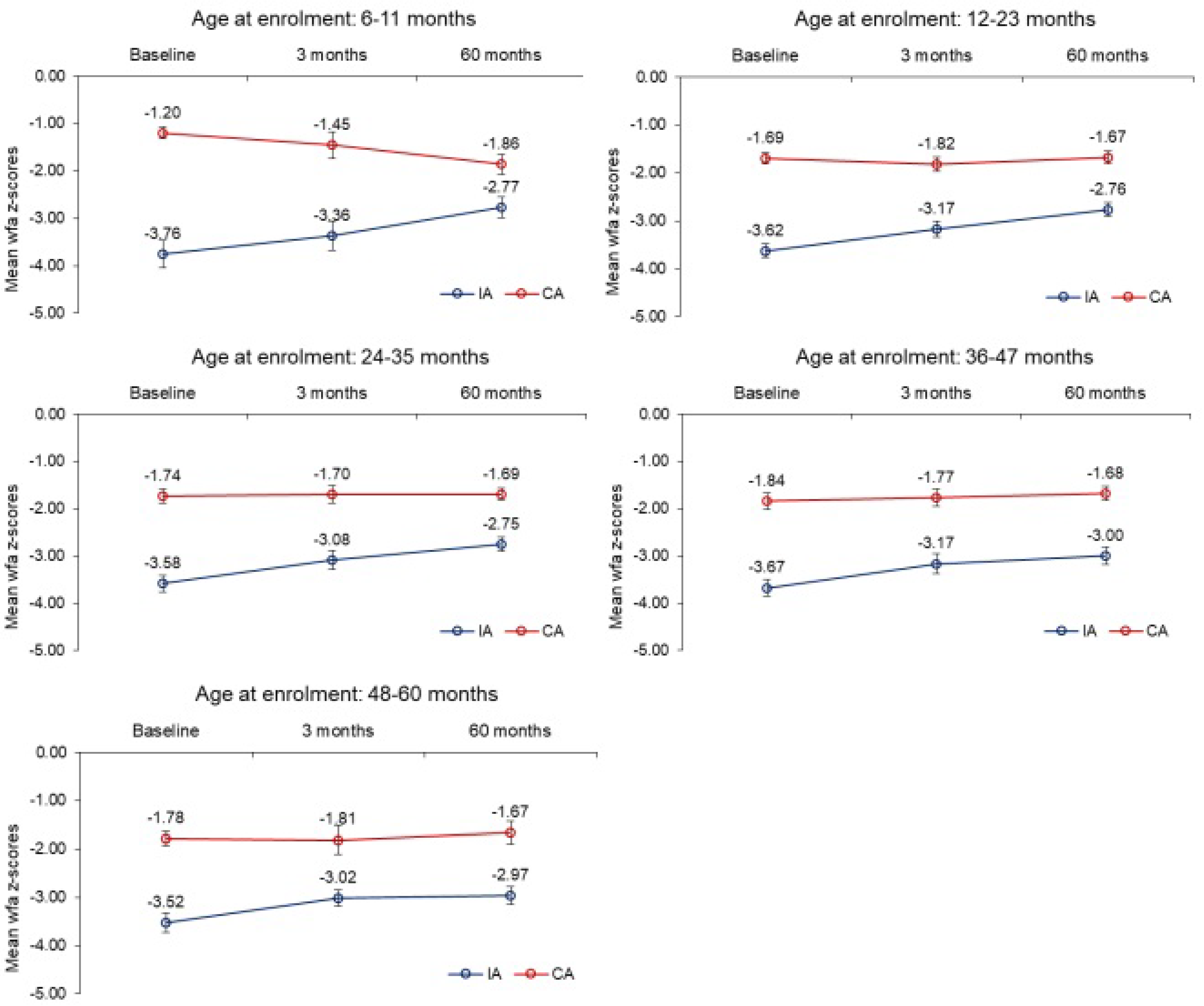
| Age Category (Months) | Change in WAZ-Scores | Mean Difference (95% CI) | ||
|---|---|---|---|---|
| Baseline—3 Months | p-Value 1 | |||
| Intervention | Control | |||
| 06–11 | 0.08 ± 0.22 (−0.34, 0.51) | −0.44 ± 0.29 (−1.02, 0.15) | 0.120 | 0.52 (−0.14, 1.18) |
| 12–23 | 0.35 ± 0.11 (0.13, 0.57) | −0.18 ± 0.14 (−0.45, 0.09) | <0.001 | 0.53 (0.28, 0.78) |
| 24–35 | 0.38 ± 0.15 (0.09, 0.66) | −0.24 ± 0.17 (−0.57, 0.09) | <0.001 | 0.62 (0.27, 0.95) |
| 36–47 | 0.36 ± 0.14 (0.09, 0.63) | −0.13 ± 0.16 (−0.44, 0.18) | <0.001 | 0.49 (0.21, 0.77) |
| 48–60 | 0.32 ± 0.22 (−0.12, 0.76) | −0.04 ± 0.24 (−0.52, 0.42) | 0.031 | 0.37 (0.03, 0.71) |
| Baseline—Last observation | ||||
| 06–11 | 1.06 ± 0.21 (0.64, 1.48) | −0.65 ± 0.29 (−1.23, −0.08) | <0.001 | 1.71 (1.06, 2.36) |
| 12–23 | 0.98 ± 0.12 (0.74, 1.22) | 0.09 ± 0.15 (−0.19, 0.39) | <0.001 | 0.88 (0.61, 1.16) |
| 24–35 | 0.75 ± 0.15 (0.45, 1.05) | −0.03 ± 0.18 (−0.38, 0.32) | <0.001 | 0.78 (0.44, 1.13) |
| 36–47 | 0.71 ± 0.15 (0.41, 1.01) | 0.21 ± 0.17 (−0.13, 0.54) | 0.002 | 0.50 (0.19, 0.82) |
| 48–60 | 0.30 ± 0.21 (−0.10, 0.71) | −0.20 ± 0.21 (−0.63, 0.23) | 0.002 | 0.50 (0.20, 0.80) |
| Factors | Levels | Recovery at 3 Months (N = 335) † | Recovery at 60 Months (N = 315) †† | Recovery with Relapse at 60 Months (N = 265) | |||
|---|---|---|---|---|---|---|---|
| Recovered/Total (%) | OR 1 [95% CI]; p-Value | Recovered/Total (%) | OR [95% CI]; p-Value | Recovery with Relapse/ Total Recovered (%) | OR 2 [95% CI]; p-Value | ||
| Age at enrolment (months) | 1.01 [0.99–1.03]; 0.118 | 1.02 [0.99–1.04]; 0.193 | 0.99 [0.98–1.01]; 0.678 | ||||
| Sex | Female | 62/159 (39.0) | Reference | 119/148 (80.4) | Reference | 55/119 (46.2) | Reference |
| Male | 63/177 (35.6) | 0.86 [0.55–1.36]; 0.522 | 146/167 (87.4) | 1.64 [0.87–3.09]; 0.128 | 72/146 (49.3) | 1.09 [0.66–1.82]; 0.723 | |
| Birth weight (grams) | <2500 | 55/175 (31.4) | Reference | 134/163 (82.2) | Reference | 66/134 (49.3) | Reference |
| ≥2500 | 79/161 (43.5) | 1.69 [1.07–2.68]; 0.025 | 131/152 (86.2) | 1.30 [0.69–2.48]; 0.417 | 61/131 (46.6) | 0.86 [0.52–1.43]; 0.572 | |
| Parent literacy | Both illiterate | 6/34 (25.9) | Reference | 17/28 (60.7) | Reference | 10/17 (58.8) | Reference |
| Either or both literate | 119/302 (39.4) | 2.65 [1.04–6.79]; 0.042 | 248/287 (86.4) | 3.67 [1.52–8.85]; 0.004 | 117/248 (47.2) | 0.85 [0.29–2.43]; 0.760 | |
| Community | Nontribal | 8/20 (40.0) | Reference | 16/19 (84.2) | Reference | 6/16 (37.5) | Reference |
| Tribal | 117/316 (37.0) | 1.08 [0.39–2.99]; 0.877 | 249/296 (84.1) | 1.04 [0.26–4.06]; 0.957 | 121/249 (48.6) | 1.19 [0.39–3.68]; 0.758 | |
| Wealth index from assets (quartiles) * | I | 33/96 (34.4) | Reference | 78/89 (87.6) | Reference | 40/78 (51.3) | Reference |
| II | 33/77 (42.9) | 1.26 [0.66–2.39]; 0.490 | 63/72 (87.5) | 0.89 [0.33–2.39]; 0.817 | 22/63(34.9) | 0.68 [0.33–1.39]; 0.292 | |
| III | 30/84 (35.7) | 1.05 [0.54–2.01]; 0.895 | 66/78 (84.6) | 0.86 [0.33–2.22]; 0.750 | 35/66 (53.1) | 1.42 [0.69–2.88]; 0.334 | |
| IV | 29/79 (36.7) | 1.07 [0.55–2.10]; 0.835 | 58/76 (76.3) | 0.50 [0.20–1.24]; 0.135 | 30/58 (51.7) | 1.54 [0.73–3.27]; 0.256 | |
| Village level facilities (quartiles) * | I | 41/127 (32.3) | Reference | 102/119 (85.7) | Reference | 62/102 (60.8) | Reference |
| II | 27/78 (34.6) | 1.22 [0.64–2.31]; 0.546 | 59/72 (81.9) | 0.95 [0.40–2.28]; 0.918 | 24/59 (40.7) | 0.38 [0.19–0.78]; 0.008 | |
| III | 18/38 (47.4) | 1.70 [0.78–3.69]; 0.179 | 33/38 (86.8) | 1.04 [0.33–3.26]; 0.947 | 10/33 (30.3) | 0.26 [0.11–0.64]; 0.003 | |
| IV | 39/93 (41.9) | 1.61 [0.86–2.99]; 0.136 | 71/86 (82.6) | 0.93 [0.39–2.20]; 0.860 | 31/71 (43.7) | 0.46 [0.23–0.91]; 0.026 | |
Disclaimer/Publisher’s Note: The statements, opinions and data contained in all publications are solely those of the individual author(s) and contributor(s) and not of MDPI and/or the editor(s). MDPI and/or the editor(s) disclaim responsibility for any injury to people or property resulting from any ideas, methods, instructions or products referred to in the content. |
© 2024 by the authors. Licensee MDPI, Basel, Switzerland. This article is an open access article distributed under the terms and conditions of the Creative Commons Attribution (CC BY) license (https://creativecommons.org/licenses/by/4.0/).
Share and Cite
Satav, A.R.; Dani, V.S.; Pendharkar, J.S.; Satav, K.A.; Raje, D.; Jain, D.; Khirwadkar, S.S.; Simões, E.A.F. Locally Prepared Therapeutic Food for Treatment of Severely Underweight Children in Rural India: An Interventional Prospective Controlled Community-Based Study with Long Follow-Up:—‘SAMMAN’ Trial. Nutrients 2024, 16, 2872. https://doi.org/10.3390/nu16172872
Satav AR, Dani VS, Pendharkar JS, Satav KA, Raje D, Jain D, Khirwadkar SS, Simões EAF. Locally Prepared Therapeutic Food for Treatment of Severely Underweight Children in Rural India: An Interventional Prospective Controlled Community-Based Study with Long Follow-Up:—‘SAMMAN’ Trial. Nutrients. 2024; 16(17):2872. https://doi.org/10.3390/nu16172872
Chicago/Turabian StyleSatav, Ashish Rambhau, Vibhawari S. Dani, Jayashri S. Pendharkar, Kavita Ashish Satav, Dhananjay Raje, Dipty Jain, Shubhada S. Khirwadkar, and Eric A. F. Simões. 2024. "Locally Prepared Therapeutic Food for Treatment of Severely Underweight Children in Rural India: An Interventional Prospective Controlled Community-Based Study with Long Follow-Up:—‘SAMMAN’ Trial" Nutrients 16, no. 17: 2872. https://doi.org/10.3390/nu16172872
APA StyleSatav, A. R., Dani, V. S., Pendharkar, J. S., Satav, K. A., Raje, D., Jain, D., Khirwadkar, S. S., & Simões, E. A. F. (2024). Locally Prepared Therapeutic Food for Treatment of Severely Underweight Children in Rural India: An Interventional Prospective Controlled Community-Based Study with Long Follow-Up:—‘SAMMAN’ Trial. Nutrients, 16(17), 2872. https://doi.org/10.3390/nu16172872

