Validity and Reproducibility of an Electronic Food Frequency Questionnaire in Argentinian Adults
Abstract
1. Introduction
2. Materials and Methods
2.1. Study Population
2.2. Study Design
2.3. Reference Method: Multiple 24HR
2.4. Development of Electronic Food Frequency Questionnaire
2.5. Nutrient Intake Determination
2.6. Statistical Analysis
2.6.1. Validation of the eFFQ
2.6.2. Reproducibility of the eFFQ
3. Results
3.1. Demographic Profile of Participants
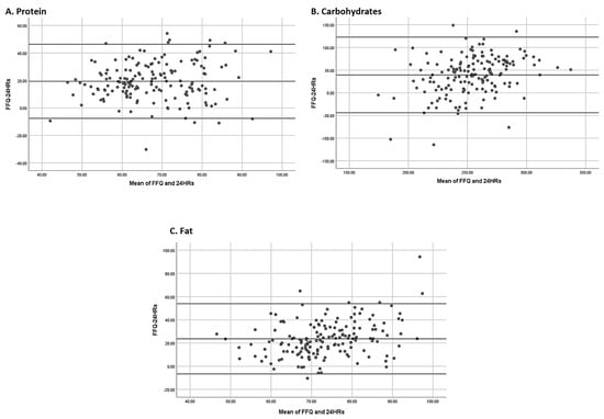
3.2. Validity of the eFFQ Nutrient and Bioactive Compound Estimates
3.3. Reproducibility of the eFFQ
4. Discussion
5. Conclusions
Supplementary Materials
Author Contributions
Funding
Institutional Review Board Statement
Informed Consent Statement
Data Availability Statement
Acknowledgments
Conflicts of Interest
References
- World Health Organization (WHO). Noncommunicable Diseases. Available online: https://www.who.int/health-topics/noncommunicable-diseases#tab=tab_1 (accessed on 19 December 2022).
- Martinez-Lacoba, R.; Pardo-Garcia, I.; Amo-Saus, E.; Escribano-Sotos, F. Mediterranean diet and health outcomes: A systematic meta-review. Eur. J. Public Health 2018, 28, 955–961. [Google Scholar] [CrossRef] [PubMed]
- Segovia-Siapco, G.; Sabate, J. Health and sustainability outcomes of vegetarian dietary patterns: A revisit of the EPIC- Oxford and the Adventist Health Study-2 cohorts. Eur. J. Public Health 2019, 72, 60–70. [Google Scholar] [CrossRef] [PubMed]
- Wang, X.; Ouyang, Y.; Liu, J.; Zhu, M.; Zhao, G.; Bao, W.; Hu, F.B. Fruit and vegetable consumption and mortality from all causes, cardiovascular disease, and cancer: Systematic review and dose-response meta-analysis of prospective cohort studies. BMJ 2014, 349, g4490. [Google Scholar] [CrossRef] [PubMed]
- Mozaffari, H.; Djafarian, K.; Mofrad, M.; Shab-Bidar, S. Dietary fat, saturated fatty acid, and monounsaturated fatty acid intakes and risk of bone fracture: A systematic review and meta-analysis of observational studies. Osteoporos. Int. 2018, 29, 1949–1961. [Google Scholar] [CrossRef] [PubMed]
- Subasinghe, A.K.; Arabshahi, S.; Busingye, D.; Evans, R.G.; Walker, K.Z.; A Riddell, M.; Thrift, A.G. Association between salt and hypertension in rural and urban populations of low to middle income countries: A systematic review and meta-analysis of population based studies. Asia Pac. J. Clin. Nutr. 2016, 25, 402–413. [Google Scholar] [CrossRef] [PubMed]
- Morais, S.; Bezerra, I.; Souza, A.; Vergara, C.; Sichieri, R. Alimentação fora de casa e biomarcadores de doenças crônicas em adolescentes brasileiros [Eating away from home and biomarkers for chronic noncommunicable diseases in Brazilian adolescents]. Cad. Saúde Publica 2021, 37, e00219619. [Google Scholar] [CrossRef] [PubMed]
- Aguiar, L.M.; Bicas, J.L.; Fuentes, E.; Alarcón, M.; Gonzalez, I.P.; Pastore, G.M.; Maróstica, M.R.; Cazarin, C.B.B. Non-nutrients and nutrients from Latin American fruits for the prevention of cardiovascular diseases. Food Res. Int. 2021, 139, 109844. [Google Scholar] [CrossRef] [PubMed]
- Pacheco, S.O.S.; Pacheco, F.J.; Zapata, G.M.J.; Garcia, J.M.E.; Previale, C.A.; Cura, H.E.; Craig, W.J. Food Habits, Lifestyle Factors, and Risk of Prostate Cancer in Central Argentina: A Case Control Study Involving Self-Motivated Health Behavior Modifications after Diagnosis. Nutrients 2016, 8, 419. [Google Scholar] [CrossRef] [PubMed]
- Pou, S.; Díaz, M.; Quintana, A.; Forte, C.; Aballay, L. Identification of dietary patterns in urban population of Argentina: Study on diet-obesity relation in population-based prevalence study. Nutr. Res. Pract. 2016, 10, 616–622. [Google Scholar] [CrossRef]
- Arruda Silveira, L.; Osella, A.; Díaz, M.; Corrente, J. Effect of High Blood Pressure and Other Cardiovascular Risk Factors on All-causes Mortality in Elderly People: A Joined Survival Analysis from Brazil, Argentina and Italy. Univers. J. Public Health 2019, 7, 83–89. [Google Scholar] [CrossRef]
- Olivares, D.; Chambi, F.; Chañi, E.; Craig, W.; Pacheco, S.; Pacheco, F. Risk Factors for Chronic Diseases and Multimorbidity in a Primary Care Context of Central Argentina: A Web-Based Interactive and Cross-Sectional Study. Int. J. Environ. Res. Public Health 2017, 14, 251. [Google Scholar] [CrossRef] [PubMed]
- Beaglehole, R.; Bonita, R.; Horton, R.; Adams, C.; Alleyne, G.; Asaria, P.; Baugh, V.; Bekedam, H.; Billo, N.; Casswell, S.; et al. Priority actions for the non-communicable disease crisis. Lancet 2011, 377, 1438–1447. [Google Scholar] [CrossRef]
- Ferrari, M.; Morazzani, F.; Pinotti, L. Patrón alimentario de una comunidad aborigen de la Patagonia Argentina. Rev. Chil. Nutr. 2004, 31, 110–117. [Google Scholar] [CrossRef]
- Shim, J.; Oh, K.; Kim, H. Dietary assessment methods in epidemiologic studies. Epidemiol. Health 2014, 36, e2014009. [Google Scholar] [CrossRef]
- Kristal, A.; Peters, U.; Potter, J. Is it time to abandon the food frequency questionnaire? Cancer Epidemiol. Biomark. Prev. 2005, 14, 2826–2828. [Google Scholar] [CrossRef]
- Perovic, N.; Defagó, M.; Aguinaldo, A.; Joekes, S.; Actis, A. Validity and reproducibility of a food frequency questionnaire to assess lipid and phytochemical intake. Rev. Fac. Cienc. Médicas 2015, 2, 69–77. [Google Scholar]
- Elorriaga, N.; E Irazola, V.; Defagó, M.D.; Britz, M.; Martínez-Oakley, S.P.; Witriw, A.M.; Rubinstein, A.L. Validation of a self-administered FFQ in adults in Argentina, Chile and Uruguay. Public Health Nutr. 2015, 18, 59–67. [Google Scholar] [CrossRef]
- Zapata, M.; Buffarini, R.; Lingiardi, N.; Gonçalves-Soares, A. Reproducibility and relative validity of a semi-quantitative food-frequency questionnaire in an adult population of Rosario, Argentina. Rev. Esp. Nutr. Humana Dietética 2015, 19, 227–230. [Google Scholar] [CrossRef]
- Azarias, H.; Marques-Rocha, J.; Miranda, A.; Dos Santos, L.; Gomes Domingos, A.; Hermsdorff, H.; Bressan, J.; de Oliveira, F.L.P.; Leal, A.C.G.; Pimenta, A.M. Online Food Frequency Questionnaire From the Cohort of Universities of Minas Gerais (CUME Project, Brazil): Construction, Validity, and Reproducibility. Front. Nutr. 2021, 8, 709915. [Google Scholar] [CrossRef]
- Hendrie, G.; Baird, D.; Golley, R.; Noakes, M. The CSIRO Healthy Diet Score: An Online Survey to Estimate Compliance with the Australian Dietary Guidelines. Nutrients 2017, 9, 47. [Google Scholar] [CrossRef]
- Illner, A.; Freisling, H.; Boeing, H.; Huybrechts, I.; Crispim, S.; Slimani, N. Review and evaluation of innovative technologies for measuring diet in nutritional epidemiology. Int. J. Epidemiol. 2012, 41, 1187–1203. [Google Scholar] [CrossRef]
- Shriver, B.; Roman-Shriver, C.; Long, J. Technology-based methods of dietary assessment: Recent developments and considerations for clinical practice. Curr. Opin. Clin. Nutr. Metab. Care 2010, 13, 548–551. [Google Scholar] [CrossRef]
- Hercberg, S. Web-based studies: The future in nutritional epidemiology (and overarching epidemiology) for the benefit of public health? Prev. Med. 2012, 55, 544–545. [Google Scholar] [CrossRef]
- Pérez Rodrigo, C.; Aranceta, J.; Salvador, G.; Varela-Mereiras, G. Food frequency questionnaires. Nutr. Hosp. 2015, 31, 49–56. [Google Scholar] [CrossRef]
- Foster, E.; Matthews, J.; Nelson, M.; Harris, J.; Mathers, J.; Adamson, A. Accuracy of estimates of food portion size using food photographs—The importance of using age-appropriate tools. Public Health Nutr. 2006, 9, 509–514. [Google Scholar] [CrossRef]
- Navarro, A. Atlas de Alimentos; Universidad Nacional de Córdoba: Córdoba, Argentina, 2007. [Google Scholar]
- Carlsen, M.; Andersen, L.; Hjartåker, A. Reproducibility and feasibility of an online self-administered food frequency questionnaire for use among adult Norwegians. Food Nutr. Res. 2021, 65, 7561. [Google Scholar] [CrossRef] [PubMed]
- Navarro, A.; Osella, A.; Guerra, V.; Muñoz, S.; Lantieri, M.; Eynard, A. Reproducibility and validity of a food-frequency questionnaire in assessing dietary intakes and food habits in epidemiological cancer studies in Argentina. J. Exp. Clin. Cancer Res. 2001, 20, 365–370. [Google Scholar] [PubMed]
- Kemp, S. Digital 2023: Argentina—DataReportal—Global Digital Insights. Argentina. February 2023. Available online: https://datareportal.com/reports/digital-2023-argentina (accessed on 23 December 2022).
- Jaceldo-Siegl, K.; Fan, J.; Sabaté, J.; Knutsen, S.F.; Haddad, E.; Beeson, W.L.; Herring, R.P.; Butler, T.L.; Bennett, H.; Fraser, G.E. Race-specific validation of food intake obtained from a comprehensive FFQ: The Adventist Health Study-2. Public Health Nutr. 2011, 14, 1988–1997. [Google Scholar] [CrossRef] [PubMed]
- Lachat, C.; Hawwash, D.; Ocké, M.C.; Berg, C.; Forsum, E.; Hörnell, A.; Larsson, C.; Sonestedt, E.; Wirfält, E.; Åkesson, A.; et al. Strengthening the Reporting of Observational Studies in Epidemiology-Nutritional Epidemiology (STROBE-nut): An Extension of the STROBE Statement. PLoS Med. 2016, 13, e1002036. [Google Scholar] [CrossRef]
- Contreras-Guillén, I.A.; Leeson, S.; Gili, R.V.; Carlino, B.; Xutuc, D.; Martins, M.C.T.; Zapata, M.E.; Segovia-Siapco, G.; Sabaté, J.; Pacheco, F.J.; et al. Development and Usability Study of an Open-Access Interviewer-Administered Automated 24-h Dietary Recall Tool in Argentina: MAR24. Front. Nutr. 2021, 8, 642387. [Google Scholar] [CrossRef]
- Moshfegh, A.J.; Rhodes, D.G.; Baer, D.J.; Murayi, T.; Clemens, J.C.; Rumpler, W.V.; Paul, D.R.; Sebastian, R.S.; Kuczynski, K.J.; Ingwersen, L.A.; et al. The US department of agriculture automated multiple-pass method reduces bias in the collection of energy intakes. Am. J. Clin. Nutr. 2008, 88, 324–332. [Google Scholar] [CrossRef] [PubMed]
- Chiara, V.L.; Barros, M.-E.; Costa, L.P.; Martins, P.D. Redução de lista de alimentos para questionário de freqüência alimentar: Questões metodológicas na construção. Rev. Bras. Epidemiol. 2007, 10, 410–420. [Google Scholar] [CrossRef]
- US Department of Agriculture. Food Composition Databases. Available online: https://fdc.nal.usda.gov/ (accessed on 20 December 2023).
- Ministerio de Salud Argentina. SARA: Sistema de Análisis y Registro de Alimentos. Available online: https://sses.msal.gov.ar/sara/ (accessed on 20 December 2023).
- Instituto de Nutrición de Centro América y Panamá. Tabla de Composición de Alimentos de Centroamérica, 2nd ed.; Menchú, M.T., Méndez, H., Eds.; INCAP/OPS: Guatemala City, Guatemala, 2007. [Google Scholar]
- Willett, W.C.; Howe, G.R.; Kushi, L.H. Adjustment for total energy intake in epidemiologic studies. Am. J. Clin. Nutr. 1997, 65, 1220S–1228S. [Google Scholar] [CrossRef] [PubMed]
- Nusser, S.M.; Fuller, W.A.; Guenther, P.M. Estimating usual dietary intake distributions: Adjusting for measurement error and no normality in 24-hour food intake data. In Survey Measurement and Process Quality; Lyberg, L., Biemer, P., Collins, M., De Leeuw, E., Dippo, C., Schwarz, N., Trewin, D., Eds.; Wiley and Sons: New York, NY, USA, 1997; pp. 689–709. [Google Scholar] [CrossRef]
- Lombard, M.J.; Steyn, N.P.; Charlton, K.E.; Senekal, M. Application and interpretation of multiple statistical tests to evaluate validity of dietary intake assessment methods. Nutr. J. 2015, 14, 40. [Google Scholar] [CrossRef]
- Bland, J.M.; Altman, D. Statistical methods for assessing agreement between two methods of clinical measurement. Lancet 1986, 327, 307–310. [Google Scholar] [CrossRef]
- Dehghan, M.; del Cerro, S.; Zhang, X.; Cuneo, J.M.; Linetzky, B.; Diaz, R.; Merchant, A.T. Validation of a semi-quantitative Food Frequency Questionnaire for Argentinean adults. PLoS ONE 2012, 7, e37958. [Google Scholar] [CrossRef] [PubMed]
- Olmedo, L.; Henning, M.; García, S.; Pellon-Maison, M. Validación de un cuestionario de frecuencia alimentaria para estimar la ingesta de azúcares libres y alimentos ultraprocesados en población argentina. Rev. Esp. Nutr. Hum. 2022, 26, 137–146. [Google Scholar] [CrossRef]
- Segovia-Siapco, G.; Oda, K.; Sabaté, J. Evaluation of the relative validity of a Web-based food frequency questionnaire used to assess Soy Isoflavones and nutrient intake in adolescents. BMC Nutr. 2016, 2, 39. [Google Scholar] [CrossRef]
- Mohammadifard, N.; Haghighatdust, F.; Kelishadi, R.; Bahonar, A.; Dianatkhah, M.; Heidari, H.; Maghroun, M.; Dehghan, M. Validity and reproducibility of a semi-quantitative food frequency questionnaire for Iranian adults. Nutr. Diet. 2021, 78, 305–314. [Google Scholar] [CrossRef]
- Sam, C.; Skidmore, P.; Skeaff, S.; Wall, C.; Bradbury, K.; Parackal, S. Relative Validity and Reproducibility of a Short FoodFrequency Questionnaire to Assess Nutrient Intakes of New Zealand Adults. Nutrients 2020, 12, 619. [Google Scholar] [CrossRef]
- Godois, A.; Coelho-Ravagnani, C.; Raizel, R.; Verly-Junior, E. Development of a Food Frequency Questionnaire for Brazilian athletes. Nutr. Diet. 2020, 77, 260–267. [Google Scholar] [CrossRef] [PubMed]
- El Kinany, K.; Garcia-Larsen, V.; Khalis, M.; Deoula, M.M.S.; Benslimane, A.; Ibrahim, A.; Benjelloun, M.C.; El Rhazi, K. Adaptation and validation of a food frequency questionnaire (FFQ) to assess dietary intake in Moroccan adults. Nutr. J. 2018, 17, 61. [Google Scholar] [CrossRef] [PubMed]
- Cade, J.; Thompson, R.; Burley, V.; Warm, D. Development, validation and utilisation of food-frequency questionnaires—A review. Public Health Nutr. 2002, 5, 567–587. [Google Scholar] [CrossRef] [PubMed]
- Willett, W. Nutritional Epidemiology; Oxford University Press: New York, NY, USA, 1998. [Google Scholar] [CrossRef]
- Pietinen, P.; Hartman, A.M.; Haapa, E.; Räsänen, L.; Haapakoski, J.; Palmgren, J.; Albanes, D.; Virtamo, J.; Huttunen, J.K. Reproducibility validity of dietary assessment instruments, I.I. A qualitative food frequency questionnaire. Am. J. Epidemiol. 1988, 128, 667–676. [Google Scholar] [CrossRef]
- Pietinen, P.; Hartman, A.; Haapa, E.; Rasanen, L.; Haapakoski, J.; Palmgren, J.; Albanes, D.; Virtamo, J.; Huttunen, J.K. Reproducibility validity of dietary assessment instruments, I. A self-administered food use questionnaire with a portion size picture booklet. Am. J. Epidemiol. 1998, 128, 655–666. [Google Scholar] [CrossRef] [PubMed]
- Da Silva, N.F.; Sichieri, R.; Pereira, R.A.; da Silva, R.M.; Ferreira, M.G. Reproducibility, relative validity and calibration of a food frequency questionnaire for adults. Cad. Saude Publica 2013, 29, 1783–1794. [Google Scholar] [CrossRef]
- Vereecken, C.; Maes, L. Belgian study on the reliability and relative validity of the health behaviour in school-aged children food-frequency questionnaire. Public Health Nutr. 2003, 6, 581–588. [Google Scholar] [CrossRef] [PubMed]
- Mumme, K.D.; Conlon, C.A.; von Hurst, P.R.; Jones, B.; de Seymour, J.; Heath, A.-L.M.; Stonehouse, W.; Coad, J.; Haskell-Ramsay, C.F.; Beck, K.L. Relative Validity and Reproducibility of a Food Frequency Questionnaire for Assessing Dietary Patterns and Food Group Intake in Older New Zealand Adults: The Researching Eating, Activity, and Cognitive Health Study. J. Acad. Nutr. Diet. 2021, 121, 2389–2400. [Google Scholar] [CrossRef]
- Xue, Y.; Yang, K.; Wang, B.; Liu, C.; Mao, Z.; Yu, S.; Li, X.; Wang, Y.; Sun, H.; Wang, C.; et al. Reproducibility and validity of an FFQ in the Henan Rural Cohort Study. Public Health Nutr. 2020, 23, 34–40. [Google Scholar] [CrossRef]
- De la Fuente-Arrillaga, C.; Vázquez Ruiz, Z.; Bes-Rastrollo, M.; Sampson, L.; Martinez-González, M. Reproducibility of an food frequency questionnaire validated in Spain. Public Health Nutr. 2010, 13, 1364–1372. [Google Scholar] [CrossRef]
- Arija, V.; Abellana, R.; Ribot, B.; Ramón, J. Biases and adjustments in nutritional assessments from dietary questionnaires. Nutr. Hosp. 2015, 31, 113–118. [Google Scholar] [CrossRef] [PubMed]
- Zhuang, M.; Yuan, Z.; Lin, L.; Hu, B.; Wang, X.; Yang, Y.; Chen, X.; Jin, L.; Lu, M.; Ye, W. Reproducibility and relative validity of a food frequency questionnaire developed for adults in Taizhou, China. PLoS ONE 2012, 7, e48341. [Google Scholar] [CrossRef] [PubMed]
- Willett, W.; Lenart, E. Reprodutibility and Validity of Food Frequency Questionnaires. In Nutritional Epidemiology, 3rd ed.; Oxford University Press: New York, NY, USA, 2013; Chapter 6; pp. 96–141. [Google Scholar] [CrossRef]
- Xia, W.; Sun, C.; Zhang, L.; Zhang, X.; Wang, J.; Wang, H.; Wu, L. Reproducibility and relative validity of a food frequency questionnaire developed for female adolescents in Suihua, North China. PLoS ONE 2011, 6, e19656. [Google Scholar] [CrossRef] [PubMed]
- Doustmohammadian, A.; Amini, M.; Esmaillzadeh, A.; Omidvar, N.; Abtahi, M.; Dadkhah-Piraghaj, M.; Nikooyeh, B.; Neyestani, T.R. Validity and reliability of a dish-based semi-quantitative food frequency questionnaire for assessment of energy and nutrient intake among Iranian adults. BCM Res. Notes 2020, 13, 95. [Google Scholar] [CrossRef]
- Ye, Q.; Hong, X.; Wang, Z.; Yang, H.; Chen, X.; Zhou, H.; Wang, C.; Lai, Y.; Sun, L.; Xu, F. Reproducibility and validity of an FFQ developed for adults in Nanjing, China. Br. J. Nutr. 2016, 115, 887–894. [Google Scholar] [CrossRef]
- Nurul-Fadhilah, A.; Teo, P.; Foo, L. Validity and reproducibility of a food frequency questionnaire (FFQ) for dietary assessment in Malay adolescents in Malaysia. Asia Pac. J. Clin. Nutr. 2012, 21, 97–103. [Google Scholar] [PubMed]
- Syauqy, A.; Afifah, D.; Purwanti, R.; Nissa, C.; Fitranti, D.; Chao, J. Reproducibility and Validity of a Food Frequency Questionnaire (FFQ) Developed for Middle-Aged and Older Adults in Semarang, Indonesia. Nutrients 2021, 13, 4163. [Google Scholar] [CrossRef] [PubMed]
- Ministerio de Salud y Desarrollo Social de la Nación. Encuesta Nacional de Nutrición y Salud (ENNyS). Argentina. 2019. Available online: http://datos.salud.gob.ar/dataset/ennys2 (accessed on 15 November 2022).
- Treboux, J.; Terré, E. Consumo de Carne en Argentina: Dinámica y Tendencia. Informativo Semanal de la Bolsa de Comercio de Rosario. Argentina. 2021. Available online: https://www.bcr.com.ar/es/print/pdf/node/86173 (accessed on 28 November 2023).
- Pretorius, B.; Muka, J.M.; Hulshof, P.J.M.; Schönfeldt, H.C. Current practices, challenges and new advances in the collection and use of food composition data for Africa. Front. Sustain. Food Syst. 2023, 7, 1240734. [Google Scholar] [CrossRef]
- Sierra-Ruelas, É.; Bernal-Orozco, M.F.; Macedo-Ojeda, G.; Márquez-Sandoval, Y.F.; Altamirano-Martínez, M.B.; Vizmanos, B. Validation of semiquantitative FFQ administered to adults: A systematic review. Public Health Nutr. 2021, 24, 3399–3418. [Google Scholar] [CrossRef]
- Bowman, G.; Shannon, J.; Ho, E.; Traber, M.G.; Frei, B.; Oken, B.S.; Kaye, J.A.; Quinn, J.F. Reliability and validity of food frequency questionnaire and nutrient biomarkers in elders with and without mild cognitive impairment. Alzheimer Dis. Assoc. Disord. 2011, 25, 49–57. [Google Scholar] [CrossRef]
- Beaton, G. Approaches to analysis of dietary data: Relationship between planned analyses and choice of methodology. Am. J. Clin. Nutr. 1994, 59 (Suppl. S1), 253S–261S. [Google Scholar] [CrossRef] [PubMed]


| Characteristics | Distribution | |||
|---|---|---|---|---|
| n | Mean | % | SD | |
| Gender | ||||
| Male | 25 | 15.3 | ||
| Female | 138 | 84.7 | ||
| Age | 41.8 | 10.4 | ||
| Marital status | ||||
| Currently married | 124 | 76.1 | ||
| Married in the past | 12 | 7.4 | ||
| Never married | 27 | 16.6 | ||
| Region of Argentina | ||||
| Buenos Aires | 45 | 27.6 | ||
| Central | 32 | 19.6 | ||
| Cuyo | 26 | 16.0 | ||
| Northeast | 21 | 12.9 | ||
| Northwest | 17 | 10.4 | ||
| South | 22 | 13.5 | ||
| Education level | ||||
| Secondary school or less | 35 | 21.5 | ||
| Tertiary | 62 | 38.0 | ||
| University | 61 | 37.4 | ||
| Graduate school | 5 | 3.1 | ||
| Occupational status | ||||
| Unemployed | 1 | 0.6 | ||
| Employed | 143 | 87.7 | ||
| Retired | 2 | 1.2 | ||
| Unpaid domestic work | 11 | 6.7 | ||
| Independent worker | 6 | 3.7 | ||
| BMI (kg/m2) | 26.7 | 4.9 | ||
| <18.5 | 2 | 1.2 | ||
| 18.5–24.9 | 64 | 39.3 | ||
| 25–29.9 | 58 | 35.6 | ||
| ≥30 | 39 | 23.9 | ||
| Nutrient | 24HR | eFFQ a | Correlations | % Agreement (24HR vs. eFFQ) by Quintile | Weighted Kappa | |||||||||||
|---|---|---|---|---|---|---|---|---|---|---|---|---|---|---|---|---|
| Crude | Energy-Adjusted | Crude | Energy-Adjusted | |||||||||||||
| Median | IQR | Median | IQR | Median | IQR | Median | IQR | Crude | Energy-Adjusted | De-Attenuated | Within Same Quintile | ±1 Quintile | ±2 Quintiles | Grossly Misclassified | ||
| Energy (kcal) | 1680.2 | 540.0 | 2069.7 | 965.3 | 0.20 ** | 28.2 | 57.7 | 83.4 | 4.3 | 0.15 * | ||||||
| Water (g) | 2270.6 | 958.9 | 2252.3 | 936.0 | 2346.5 | 1116.7 | 2439.6 | 992.9 | 0.09 | 0.40 ** | 0.39 ** | 30.1 | 66.3 | 85.3 | 3.1 | 0.24 ** |
| Total protein (g) | 57.6 | 20.2 | 56.8 | 16.2 | 75.6 | 37.9 | 76.7 | 17.0 | 0.18 * | 0.44 ** | 0.37 ** | 28.8 | 69.9 | 90.2 | 3.1 | 0.28 ** |
| Animal protein (g) | 32.9 | 24.2 | 31.4 | 21.7 | 38.8 | 30.4 | 37.3 | 26.3 | 0.46 ** | 0.54 ** | 0.57 ** | 34.4 | 72.4 | 93.3 | 0.6 | 0.37 ** |
| Vegetable protein (g) | 24.8 | 11.4 | 24.5 | 8.7 | 37.4 | 19.4 | 36.8 | 13.5 | 0.30 ** | 0.45 ** | 0.45 ** | 31.9 | 66.3 | 90.8 | 1.8 | 0.29 ** |
| Carbohydrate (g) | 232.3 | 84.3 | 235.5 | 36.6 | 270.7 | 128.3 | 275.2 | 53.2 | 0.22 ** | 0.27 ** | 0.28 ** | 26.4 | 63.8 | 85.3 | 5.5 | 0.18 * |
| Dietary fiber (g) | 28.0 | 17.5 | 28.3 | 14.6 | 33.2 | 18.5 | 32.3 | 13.6 | 0.34 ** | 0.43 ** | 0.50 ** | 29.5 | 68.7 | 89.0 | 3.7 | 0.27 ** |
| Total sugar (g) | 102.7 | 41.6 | 101.8 | 31.3 | 96.8 | 50.0 | 93.3 | 27.4 | 0.40 ** | 0.35 ** | 0.40 ** | 31.9 | 62.6 | 83.4 | 1.8 | 0.22 ** |
| Fat (g) | 62.7 | 29.8 | 61.7 | 12.2 | 83.1 | 47.0 | 84.7 | 18.3 | 0.24 ** | 0.25 ** | 0.26 ** | 30.1 | 59.5 | 84.1 | 4.9 | 0.17 * |
| SFA (g) | 20.4 | 12.3 | 20.7 | 6.1 | 26.2 | 15.2 | 25.1 | 8.5 | 0.36 ** | 0.35 ** | 0.39 ** | 25.2 | 59.5 | 87.7 | 0.0 | 0.20 ** |
| MUFA (g) | 19.5 | 10.3 | 19.2 | 4.9 | 26.4 | 16.0 | 27.2 | 6.9 | 0.20 ** | 0.27 ** | 0.23 ** | 25.2 | 57.1 | 83.4 | 4.3 | 0.13 * |
| PUFA (g) | 15.3 | 9.3 | 15.3 | 6.5 | 23.3 | 13.6 | 23.6 | 8.0 | 0.10 | 0.07 | 0.07 | 20.3 | 54.0 | 79.8 | 4.9 | 0.05 |
| LA 18:2n-6 (g) | 13.8 | 8.9 | 13.8 | 6.4 | 20.6 | 12.9 | 21.0 | 7.5 | 0.10 | 0.23 ** | 0.22 ** | 21.5 | 52.2 | 79.1 | 4.9 | 0.04 |
| ALA 18:3n-3 (g) | 0.8 | 0.6 | 0.8 | 0.4 | 1.8 | 1.1 | 1.7 | 0.9 | 0.17 * | 0.23 ** | 0.22 ** | 23.3 | 61.4 | 82.2 | 3.1 | 0.14 * |
| EPA 20:5n-3 (g) | 0.00 | 0.01 | 0.00 | 0.01 | 0.02 | 0.02 | 0.02 | 0.02 | 0.28 ** | 0.29 ** | 0.31 ** | 27.0 | 60.1 | 87.7 | 3.7 | 0.19 ** |
| DPA 22:5n-3 (g) | 0.01 | 0.02 | 0.01 | 0.02 | 0.02 | 0.02 | 0.02 | 0.02 | 0.46 ** | 0.52 ** | 0.52 ** | 33.7 | 72.4 | 92.0 | 1.2 | 0.35 ** |
| DHA 22:6n-3 (g) | 0.03 | 0.04 | 0.03 | 0.04 | 0.06 | 0.06 | 0.06 | 0.06 | 0.32 ** | 0.33 ** | 0.33 ** | 29.5 | 65.0 | 85.3 | 3.7 | 0.22 ** |
| Cholesterol (mg) | 210.2 | 126.3 | 220.6 | 127.8 | 220.8 | 142.5 | 214.3 | 110.7 | 0.28 ** | 0.26 ** | 0.34 ** | 25.8 | 60.1 | 85.3 | 4.9 | 0.16 * |
| Thiamine (mg) | 1.3 | 0.5 | 1.3 | 0.3 | 1.7 | 0.9 | 1.7 | 0.5 | 0.21 ** | 0.35 ** | 0.34 ** | 23.3 | 62.0 | 87.7 | 1.8 | 0.19 ** |
| Riboflavin (mg) | 1.6 | 0.6 | 1.6 | 0.4 | 2.0 | 1.0 | 2.0 | 0.6 | 0.28 ** | 0.41 ** | 0.42 ** | 27.0 | 69.3 | 89.6 | 3.7 | 0.26 ** |
| Niacin (mg) | 14.3 | 5.6 | 14.8 | 4.3 | 17.8 | 8.6 | 17.7 | 3.8 | 0.15 * | 0.18 * | 0.16 * | 23.9 | 61.4 | 85.3 | 4.3 | 0.16 * |
| Pantothenic acid (mg) | 1.9 | 0.9 | 2.0 | 0.8 | 2.3 | 1.1 | 2.3 | 0.6 | 0.08 | 0.13 | 0.19 * | 20.3 | 55.2 | 79.8 | 6.1 | 0.05 |
| Pyridoxine (mg) | 1.4 | 0.7 | 1.4 | 0.5 | 2.0 | 1.0 | 2.0 | 0.7 | 0.29 ** | 0.38 ** | 0.38 ** | 26.4 | 67.5 | 88.3 | 1.2 | 0.25 ** |
| Folic acid (µg) | 284.3 | 153.1 | 289.7 | 108.3 | 413.9 | 181.7 | 403.0 | 137.0 | 0.27 ** | 0.48 ** | 0.53 ** | 32.5 | 67.5 | 89.6 | 0.0 | 0.31 ** |
| Choline (mg) | 213.5 | 105.3 | 212.2 | 85.9 | 245.5 | 115.3 | 248.5 | 65.6 | 0.20 ** | 0.30 ** | 0.34 ** | 28.2 | 60.7 | 85.9 | 3.7 | 0.19 ** |
| Vitamin B12 (µg) | 2.5 | 2.0 | 2.4 | 1.8 | 3.3 | 2.2 | 3.2 | 1.8 | 0.30 ** | 0.34 ** | 0.37 ** | 28.2 | 65.0 | 87.1 | 3.1 | 0.23 ** |
| Vitamin C (mg) | 82.2 | 79.5 | 81.6 | 82.2 | 108.4 | 90.9 | 103.1 | 80.0 | 0.39 ** | 0.39 ** | 0.39 ** | 33.7 | 66.3 | 87.7 | 3.1 | 0.28 ** |
| Vitamin A (µg RAE) | 532.5 | 370.9 | 547.7 | 352.6 | 803.2 | 427.8 | 784.6 | 378.5 | 0.15 | 0.20 ** | 0.18 * | 26.4 | 62.0 | 81.0 | 5.5 | 0.14 * |
| Retinol (µg) | 229.9 | 154.1 | 225.1 | 119.2 | 298.6 | 204.2 | 292.9 | 150.2 | 0.26 ** | 0.28 ** | 0.28 ** | 27.0 | 62.6 | 81.0 | 4.3 | 0.16 * |
| Vitamin E (mg) | 9.0 | 4.8 | 8.8 | 4.0 | 12.4 | 6.9 | 12.9 | 4.4 | 0.14 | 0.15 * | 0.17 * | 28.8 | 58.3 | 81.0 | 6.8 | 0.13 * |
| Vitamin D (IU) | 77.3 | 75.6 | 77.3 | 75.6 | 116.4 | 119.6 | 116.7 | 93.3 | 0.32 ** | 0.31 ** | 0.35 ** | 24.5 | 61.4 | 86.5 | 2.5 | 0.18 * |
| Vitamin K (µg) | 81.6 | 135.3 | 73.3 | 125.3 | 162.5 | 115.2 | 153.1 | 105.5 | 0.23 ** | 0.27 ** | 0.40 ** | 22.1 | 64.4 | 85.9 | 3.7 | 0.17 * |
| Ca (mg) | 770.4 | 391.8 | 760.7 | 306.5 | 1031.9 | 538.0 | 975.1 | 329.7 | 0.24 ** | 0.27 ** | 0.26 ** | 22.7 | 63.2 | 84.7 | 3.1 | 0.17 * |
| Fe (mg) | 12.0 | 4.5 | 12.0 | 2.8 | 15.7 | 7.4 | 15.6 | 3.9 | 0.17 * | 0.24 ** | 0.25 ** | 30.7 | 59.5 | 81.6 | 3.1 | 0.17 * |
| Mg (mg) | 256.0 | 115.5 | 254.4 | 87.8 | 353.9 | 171.1 | 345.3 | 136.7 | 0.39 ** | 0.55 ** | 0.53 ** | 34.4 | 71.8 | 93.3 | 2.5 | 0.35 ** |
| P (mg) | 862.0 | 327.5 | 862.3 | 155.6 | 1317.1 | 658.6 | 1290.6 | 302.0 | 0.15 * | 0.25 ** | 0.24 ** | 23.9 | 60.1 | 82.8 | 4.3 | 0.14 * |
| K (mg) | 2571.6 | 922.7 | 2571.0 | 725.1 | 3213.2 | 1612.8 | 3229.6 | 1294.0 | 0.38 ** | 0.45 ** | 0.46 ** | 31.3 | 70.6 | 87.1 | 0.6 | 0.30 ** |
| Na (mg) | 1824.7 | 870.4 | 1839.9 | 607.7 | 2517.1 | 1251.2 | 2536.4 | 809.0 | 0.23 ** | 0.32 ** | 0.35 ** | 27.0 | 68.7 | 83.4 | 4.3 | 0.21 ** |
| Zn (mg) | 7.5 | 3.7 | 7.3 | 2.8 | 10.4 | 5.3 | 10.6 | 2.6 | 0.13 | 0.19 * | 0.19 * | 22.1 | 59.5 | 84.7 | 6.1 | 0.12 * |
| Cu (mg) | 1.2 | 0.5 | 1.2 | 0.4 | 1.6 | 0.8 | 1.6 | 0.6 | 0.36 ** | 0.51 ** | 0.52 ** | 35.0 | 68.7 | 92.0 | 1.2 | 0.34 ** |
| Mn (mg) | 1.4 | 0.9 | 1.4 | 1.0 | 2.4 | 1.7 | 2.4 | 1.6 | 0.30 ** | 0.36 ** | 0.37 ** | 34.4 | 65.6 | 89.6 | 2.5 | 0.29 ** |
| Se (mg) | 66.6 | 28.5 | 66.0 | 25.5 | 97.6 | 51.0 | 98.2 | 28.3 | 0.19 * | 0.29 ** | 0.36 ** | 27.0 | 62.6 | 85.9 | 6.8 | 0.17 * |
| β carotene (µg) | 2806.7 | 3349.2 | 2829.8 | 3347.2 | 4475.2 | 4025.0 | 4448.8 | 4082.4 | 0.23 ** | 0.25 ** | 0.28 ** | 32.5 | 59.5 | 82.2 | 5.5 | 0.17 * |
| α carotene (µg) | 664.6 | 1212.6 | 666.4 | 1188.6 | 1457.6 | 1719.1 | 1425.1 | 1572.7 | 0.20 * | 0.21 ** | 0.20 ** | 26.4 | 62.6 | 84.1 | 6.8 | 0.16 * |
| β cryptoxanthin (µg) | 197.3 | 280.6 | 193.8 | 302.6 | 229.5 | 223.6 | 223.9 | 190.3 | 0.43 ** | 0.43 ** | 0.49 ** | 30.7 | 68.1 | 90.2 | 1.8 | 0.29 ** |
| Lycopene (µg) | 2264.1 | 2422.7 | 2270.9 | 2274.5 | 1673.6 | 1046.2 | 1661.8 | 975.6 | 0.19 * | 0.24 ** | 0.24 ** | 25.8 | 63.2 | 81.6 | 4.3 | 0.16 * |
| Lutein + zeaxanthin (µg) | 1457.7 | 3302.1 | 1354.9 | 3651.5 | 2742.8 | 2306.6 | 2656.1 | 2229.8 | 0.21 ** | 0.23 ** | 0.34 ** | 22.7 | 57.1 | 85.3 | 3.7 | 0.13 * |
| Ethanol (g) | 0.0 | 0.0 | 0.0 | 0.0 | 0.0 | 0.0 | 0.0 | 0.0 | 0.12 | 0.23 | 0.07 | 27.0 | 60.1 | 77.9 | 14.7 | 0.09 |
| Caffeine (mg) | 16.3 | 37.0 | 16.3 | 37.0 | 12.0 | 20.3 | 11.1 | 18.9 | 0.57 ** | 0.58 ** | 0.52 ** | 36.2 | 73.6 | 92.6 | 0.6 | 0.38 ** |
| Theobromine (mg) | 14.7 | 45.0 | 14.7 | 45.0 | 18.0 | 21.7 | 18.0 | 21.7 | 0.30 ** | 0.31 ** | 0.17 | 24.5 | 58.3 | 82.8 | 3.7 | 0.17 * |
| Nutrient | eFFQ1 | eFFQ2 | ICC | % Agreement by Quintile | Weighted Kappa | ||||||||||
|---|---|---|---|---|---|---|---|---|---|---|---|---|---|---|---|
| Crude | Energy-Adjusted | Crude | Energy-Adjusted | ||||||||||||
| Median | IQR | Median | IQR | Median | IQR | Median | IQR | Unadjusted | Energy-Adjusted | Within Same Quintile | ±1 Quintile | ±2 Quintiles | Grossly Misclassified | ||
| Energy (kcal) | 2127.3 | 922.2 | 2069.7 | 965.3 | 0.62 ** | 36.8 | 76.7 | 91.4 | 4.3 | 0.38 *** | |||||
| Water (g) | 2390.7 | 1075.6 | 2353.6 | 1080.7 | 2346.5 | 1116.7 | 2439.6 | 992.9 | 0.63 ** | 0.63 ** | 39.9 | 70.6 | 90.2 | 3.7 | 0.35 *** |
| Total protein (g) | 76.7 | 37.0 | 78.7 | 20.7 | 75.6 | 37.9 | 76.7 | 17.0 | 0.64 ** | 0.71 ** | 44.2 | 79.1 | 92.6 | 0.6 | 0.47 *** |
| Animal protein (g) | 41.3 | 30.3 | 41.8 | 32.1 | 38.8 | 30.4 | 37.3 | 26.3 | 0.74 ** | 0.82 ** | 42.9 | 83.4 | 96.9 | 0.6 | 0.51 *** |
| Vegetable protein (g) | 35.7 | 23.9 | 35.5 | 15.0 | 37.4 | 19.4 | 36.8 | 13.5 | 0.72 ** | 0.85 ** | 44.8 | 80.4 | 96.9 | 0.6 | 0.51 *** |
| Carbohydrate (g) | 267.7 | 132.6 | 280.7 | 46.6 | 270.7 | 128.3 | 275.2 | 53.2 | 0.62 ** | 0.68 ** | 36.2 | 75.5 | 90.8 | 1.8 | 0.38 *** |
| Fiber (g) | 30.7 | 20.1 | 30.9 | 14.8 | 33.2 | 18.5 | 32.3 | 13.6 | 0.70 ** | 0.84 ** | 41.7 | 81.6 | 94.5 | 0.0 | 0.48 *** |
| Total sugar (g) | 97.4 | 56.5 | 97.6 | 32.8 | 96.8 | 50.0 | 93.3 | 27.4 | 0.61 ** | 0.64 ** | 33.7 | 74.9 | 92.0 | 2.5 | 0.36 *** |
| Fat (g) | 87.2 | 43.0 | 88.8 | 17.8 | 83.1 | 47.0 | 84.7 | 18.3 | 0.60 ** | 0.66 ** | 35.6 | 76.1 | 92.0 | 0.6 | 0.39 *** |
| SFA (g) | 26.5 | 16.2 | 27.1 | 10.0 | 26.2 | 15.2 | 25.1 | 8.5 | 0.61 ** | 0.73 ** | 42.3 | 79.8 | 94.5 | 0.0 | 0.36 *** |
| MUFA (g) | 28.2 | 14.3 | 28.1 | 7.1 | 26.4 | 16.0 | 27.2 | 6.9 | 0.62 ** | 0.65 ** | 33.1 | 74.2 | 92.0 | 1.2 | 0.30 *** |
| PUFA (g) | 24.8 | 13.4 | 23.9 | 7.9 | 23.3 | 13.6 | 23.6 | 8.0 | 0.52 ** | 0.58 ** | 29.5 | 72.4 | 89.6 | 3.1 | 0.42 *** |
| LA 18:2n-6 (g) | 22.3 | 11.9 | 21.1 | 7.4 | 20.6 | 12.9 | 21.0 | 7.5 | 0.64 ** | 0.70 ** | 38.0 | 76.1 | 94.5 | 0.6 | 0.58 *** |
| ALA 18:3n-3 (g) | 1.84 | 1.48 | 1.82 | 0.94 | 1.77 | 1.11 | 1.72 | 0.90 | 0.81 ** | 0.82 ** | 48.5 | 85.9 | 98.2 | 0.0 | 0.58 *** |
| EPA 20:5n-3 (g) | 0.02 | 0.02 | 0.02 | 0.02 | 0.02 | 0.02 | 0.02 | 0.02 | 0.81 ** | 0.83 ** | 49.1 | 86.5 | 96.9 | 0.0 | 0.62 *** |
| DPA 22:5n-3 (g) | 0.02 | 0.02 | 0.02 | 0.02 | 0.02 | 0.02 | 0.02 | 0.02 | 0.82 ** | 0.84 ** | 56.4 | 85.9 | 97.6 | 0.0 | 0.29 *** |
| DHA 22:6n-3 (g) | 0.07 | 0.06 | 0.06 | 0.06 | 0.06 | 0.06 | 0.06 | 0.06 | 0.50 ** | 0.56 ** | 28.8 | 73.6 | 88.3 | 3.7 | 0.46 *** |
| Cholesterol (mg) | 228.8 | 138.5 | 230.2 | 117.4 | 220.8 | 142.5 | 214.3 | 110.7 | 0.75 ** | 0.82 ** | 42.3 | 77.3 | 94.5 | 0.0 | 0.31 *** |
| Thiamine (mg) | 1.7 | 1.0 | 1.7 | 0.5 | 1.7 | 0.9 | 1.7 | 0.5 | 0.64 ** | 0.64 ** | 37.4 | 75.5 | 91.4 | 3.7 | 0.41 *** |
| Riboflavin (mg) | 2.0 | 1.0 | 2.0 | 0.7 | 2.0 | 1.0 | 2.0 | 0.6 | 0.56 ** | 0.59 ** | 39.9 | 75.5 | 93.3 | 1.8 | 0.43 *** |
| Niacin (mg) | 17.9 | 8.5 | 18.0 | 5.1 | 17.8 | 8.6 | 17.7 | 3.8 | 0.69 ** | 0.67 ** | 38.7 | 78.5 | 94.5 | 2.5 | 0.37 *** |
| Pantothenic acid (mg) | 2.3 | 0.9 | 2.3 | 0.6 | 2.3 | 1.1 | 2.3 | 0.6 | 0.62 ** | 0.70 ** | 36.2 | 74.2 | 90.2 | 1.2 | 0.44 *** |
| Pyridoxine (mg) | 1.9 | 0.9 | 2.0 | 0.8 | 2.0 | 1.0 | 2.0 | 0.7 | 0.56 ** | 0.67 ** | 42.9 | 77.3 | 92.0 | 1.8 | 0.45 *** |
| Folic acid (µg) | 408.9 | 208.6 | 410.7 | 158.6 | 413.9 | 181.7 | 403.0 | 137.0 | 0.68 ** | 0.77 ** | 42.9 | 77.9 | 93.3 | 1.2 | 0.37 *** |
| Choline (mg) | 249.0 | 94.8 | 241.4 | 60.6 | 245.5 | 115.3 | 248.5 | 65.6 | 0.61 ** | 0.72 ** | 38.0 | 70.6 | 92.0 | 1.2 | 0.46 *** |
| Vitamin B12 (µg) | 3.3 | 2.2 | 3.2 | 2.3 | 3.3 | 2.2 | 3.2 | 1.8 | 0.71 ** | 0.77 ** | 45.4 | 74.2 | 95.1 | 0.6 | 0.21 *** |
| Vitamin C (mg) | 105.3 | 92.0 | 108.4 | 82.8 | 108.4 | 90.9 | 103.1 | 80.0 | 0.41 ** | 0.60 ** | 39.3 | 71.2 | 90.2 | 3.7 | 0.38 *** |
| Vitamin A (µg RAE) | 840.2 | 483.3 | 797.7 | 321.8 | 803.2 | 427.8 | 784.6 | 378.5 | 0.37 ** | 0.47 ** | 28.8 | 65.6 | 85.3 | 4.9 | 0.34 *** |
| Retinol (µg) | 311.3 | 223.0 | 313.9 | 180.2 | 298.6 | 204.2 | 292.9 | 150.2 | 0.60 ** | 0.71 ** | 31.9 | 74.2 | 92.0 | 2.5 | 0.34 *** |
| Vitamin E (mg) | 13.4 | 6.5 | 13.0 | 4.3 | 12.4 | 6.9 | 12.9 | 4.4 | 0.45 ** | 0.56 ** | 28.2 | 70.6 | 92.0 | 1.2 | 0.51 *** |
| Vitamin D (IU) | 119.1 | 125.8 | 118.2 | 101.8 | 116.4 | 119.6 | 116.7 | 93.3 | 0.62 ** | 0.75 ** | 43.6 | 85.3 | 95.1 | 1.2 | 0.35 *** |
| Vitamin K (µg) | 156.9 | 134.2 | 161.1 | 124.3 | 162.5 | 115.2 | 153.1 | 105.5 | 0.51 ** | 0.51 ** | 39.9 | 76.7 | 90.8 | 3.1 | 0.48 *** |
| Ca (mg) | 1047.3 | 542.7 | 1046.0 | 396.3 | 1031.9 | 538.0 | 975.1 | 329.7 | 0.52 ** | 0.61 ** | 34.4 | 68.7 | 87.7 | 2.5 | 0.36 *** |
| Fe (mg) | 15.6 | 6.1 | 15.6 | 4.1 | 15.7 | 7.4 | 15.6 | 3.9 | 0.63 ** | 0.58 ** | 33.1 | 74.9 | 93.3 | 3.1 | 0.60 *** |
| Mg (mg) | 347.1 | 190.9 | 348.8 | 125.3 | 353.9 | 171.1 | 345.3 | 136.7 | 0.74 ** | 0.89 ** | 52.2 | 86.5 | 97.6 | 0.0 | 0.40 *** |
| P (mg) | 1329.7 | 595.0 | 1318.1 | 282.2 | 1317.1 | 658.6 | 1290.6 | 302.0 | 0.60 ** | 0.67 ** | 38.7 | 74.9 | 92.6 | 1.8 | 0.41 *** |
| K (mg) | 3315.0 | 1529.2 | 3312.8 | 1209.0 | 3213.2 | 1612.8 | 3229.6 | 1294.0 | 0.50 ** | 0.60 ** | 38.7 | 76.7 | 91.4 | 1.2 | 0.34 *** |
| Na (mg) | 2672.2 | 1426.9 | 2641.6 | 773.3 | 2517.1 | 1251.2 | 2536.4 | 809.0 | 0.53 ** | 0.51 ** | 38.0 | 71.2 | 89.0 | 3.7 | 0.40 *** |
| Zn (mg) | 10.7 | 4.7 | 10.9 | 2.4 | 10.4 | 5.3 | 10.6 | 2.6 | 0.64 ** | 0.61 ** | 37.4 | 78.5 | 90.2 | 1.8 | 0.49 *** |
| Cu (mg) | 1.6 | 0.9 | 1.6 | 0.6 | 1.6 | 0.8 | 1.6 | 0.6 | 0.71 ** | 0.88 ** | 40.5 | 81.0 | 97.6 | 0.0 | 0.52 *** |
| Mn (mg) | 2.1 | 1.5 | 2.1 | 1.3 | 2.4 | 1.7 | 2.4 | 1.6 | 0.73 ** | 0.83 ** | 42.9 | 85.3 | 96.3 | 0.6 | 0.36 *** |
| Se (mg) | 99.1 | 43.4 | 99.4 | 27.3 | 97.6 | 51.0 | 98.2 | 28.3 | 0.70 ** | 0.69 ** | 35.0 | 73.0 | 91.4 | 1.2 | 0.35 *** |
| β carotene (µg) | 4514.6 | 4245.8 | 4234.7 | 3329.7 | 4475.2 | 4025.0 | 4448.8 | 4082.4 | 0.41 ** | 0.45 ** | 38.7 | 68.7 | 89.0 | 1.8 | 0.27 *** |
| α carotene (µg) | 1377.1 | 1588.2 | 1334.4 | 1210.9 | 1457.6 | 1719.1 | 1425.1 | 1572.7 | 0.37 ** | 0.39 ** | 31.9 | 69.9 | 85.9 | 4.3 | 0.34 *** |
| β cryptoxanthin (µg) | 212.0 | 241.1 | 212.5 | 220.8 | 229.5 | 223.6 | 223.9 | 190.3 | 0.51 ** | 0.61 ** | 35.0 | 72.4 | 90.2 | 1.8 | 0.29 *** |
| Lycopene (µg) | 1822.0 | 1324.8 | 1726.3 | 1047.1 | 1673.6 | 1046.2 | 1661.8 | 975.6 | 0.29 * | 0.23 * | 33.1 | 69.9 | 88.3 | 4.3 | 0.38 |
| Lutein + zeaxanthin (µg) | 2663.9 | 2292.1 | 2644.3 | 2059.8 | 2742.8 | 2306.6 | 2656.1 | 2229.8 | 0.44 ** | 0.51 ** | 37.4 | 74.9 | 90.2 | 1.8 | 0.31 *** |
| Ethyl alcohol (g)~ | 0.0 | 0.0 | 0.0 | 0.0 | 0.0 | 0.0 | 0.0 | 0.0 | 0.85 ** | 0.85 ** | 39.3 | 79.8 | 93.3 | 1.8 | 0.43 *** |
| Caffeine (mg) | 12.1 | 23.0 | 12.4 | 23.0 | 12.0 | 20.3 | 11.1 | 18.9 | 0.83 ** | 0.81 ** | 51.5 | 87.7 | 95.7 | 1.2 | 0.54 *** |
| Theobromine (mg)~ | 19.6 | 32.9 | 19.6 | 32.9 | 18.0 | 21.7 | 18.0 | 21.7 | 0.80 ** | 0.80 ** | 42.9 | 80.4 | 96.3 | 0.6 | 0.49 *** |
Disclaimer/Publisher’s Note: The statements, opinions and data contained in all publications are solely those of the individual author(s) and contributor(s) and not of MDPI and/or the editor(s). MDPI and/or the editor(s) disclaim responsibility for any injury to people or property resulting from any ideas, methods, instructions or products referred to in the content. |
© 2024 by the authors. Licensee MDPI, Basel, Switzerland. This article is an open access article distributed under the terms and conditions of the Creative Commons Attribution (CC BY) license (https://creativecommons.org/licenses/by/4.0/).
Share and Cite
Gili, R.V.; Leeson, S.; Carlino, B.; Contreras-Guillén, I.A.; Xutuc, D.; Martins, M.C.T.; Díaz, M.d.P.; Segovia-Siapco, G.; Oliveira da Silva Pacheco, S.; Pacheco, F.J. Validity and Reproducibility of an Electronic Food Frequency Questionnaire in Argentinian Adults. Nutrients 2024, 16, 1564. https://doi.org/10.3390/nu16111564
Gili RV, Leeson S, Carlino B, Contreras-Guillén IA, Xutuc D, Martins MCT, Díaz MdP, Segovia-Siapco G, Oliveira da Silva Pacheco S, Pacheco FJ. Validity and Reproducibility of an Electronic Food Frequency Questionnaire in Argentinian Adults. Nutrients. 2024; 16(11):1564. https://doi.org/10.3390/nu16111564
Chicago/Turabian StyleGili, Rocio Victoria, Sara Leeson, Belén Carlino, Ismael Alejandro Contreras-Guillén, Daniel Xutuc, Marcia Cristina Teixeira Martins, María del Pilar Díaz, Gina Segovia-Siapco, Sandaly Oliveira da Silva Pacheco, and Fabio Juliano Pacheco. 2024. "Validity and Reproducibility of an Electronic Food Frequency Questionnaire in Argentinian Adults" Nutrients 16, no. 11: 1564. https://doi.org/10.3390/nu16111564
APA StyleGili, R. V., Leeson, S., Carlino, B., Contreras-Guillén, I. A., Xutuc, D., Martins, M. C. T., Díaz, M. d. P., Segovia-Siapco, G., Oliveira da Silva Pacheco, S., & Pacheco, F. J. (2024). Validity and Reproducibility of an Electronic Food Frequency Questionnaire in Argentinian Adults. Nutrients, 16(11), 1564. https://doi.org/10.3390/nu16111564

