Rheum rhaponticum and Rheum rhabarbarum Extracts as Modulators of Endothelial Cell Inflammatory Response
Abstract
1. Introduction
2. Materials and Methods
2.1. Chemicals
2.2. Plant Material
2.2.1. Extraction Procedure
2.2.2. High-Resolution LC-MS Qualitative and Quantitative Analysis
2.3. Cell Culture
2.4. Effects of the Examined Substances on HUVEC Viability (Resazurin-Based Assay)
2.5. Evaluation of the Anti-Inflammatory Properties of the Rhubarb-Derived Substances
2.5.1. Analysis of the Inflammatory-Activated HUVEC Cytokine Profile
2.5.2. Adhesion of Monocytes to the Activated HUVECs
2.6. Evaluation of the Effects of the Examined Substances on COX-2 and 5-LOX Gene Expression
2.6.1. Total RNA Isolation and cDNA Synthesis
2.6.2. Real-Time Quantitative PCR (RT-qPCR)
2.7. COX and LOX Inhibitor Screening
2.8. In Silico Studies: Bioactivity, Drug-Likeness, and Molecular Docking
2.9. Statistical Analysis
3. Results
3.1. Phytochemical Profile of the Examined Rhubarb Extracts
3.2. Effects of the Examined Substances on HUVEC Viability
3.3. Evaluation of the Anti-Inflammatory Properties of the Examined Substances
3.3.1. Effects of the Rhubarb-Derived Compounds and Stilbenes on the Cytokine Secretory Profile of Endothelial Cells
3.3.2. Effects of the Rhubarb-Derived Extracts and Stilbenes on Endothelial Cell–Monocyte Interactions
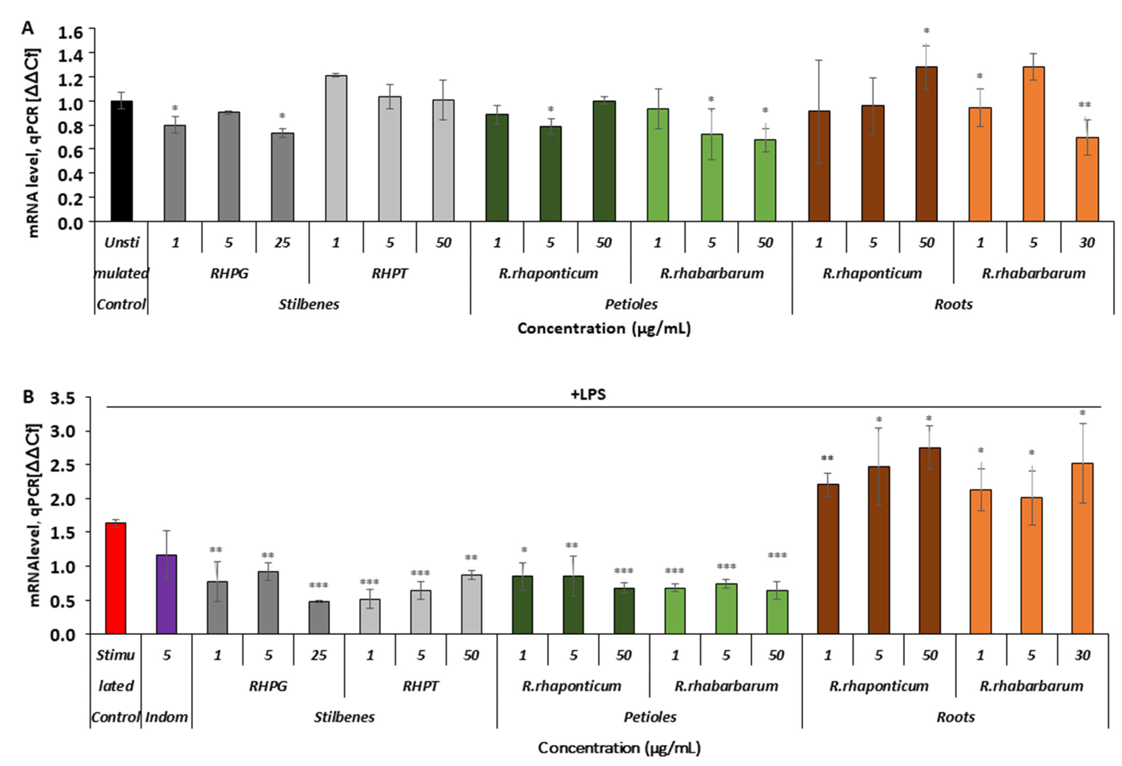
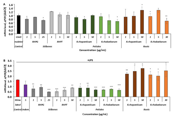
3.3.3. Effects of the Rhubarb-Derived Extracts and Stilbenes on Cyclooxygenase (COX-2) Expression in HUVECs
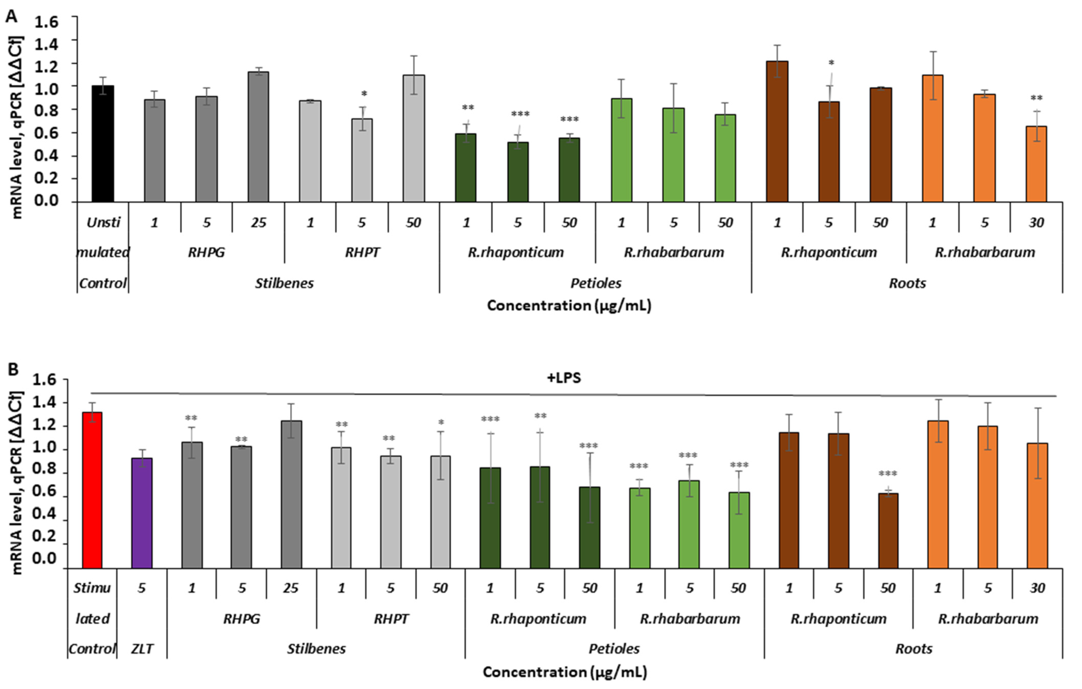
3.3.4. Effects of the Rhubarb-Derived Extracts and Stilbenes on 5-Lipoxygenase (ALOX5) Gene Expression in HUVECs
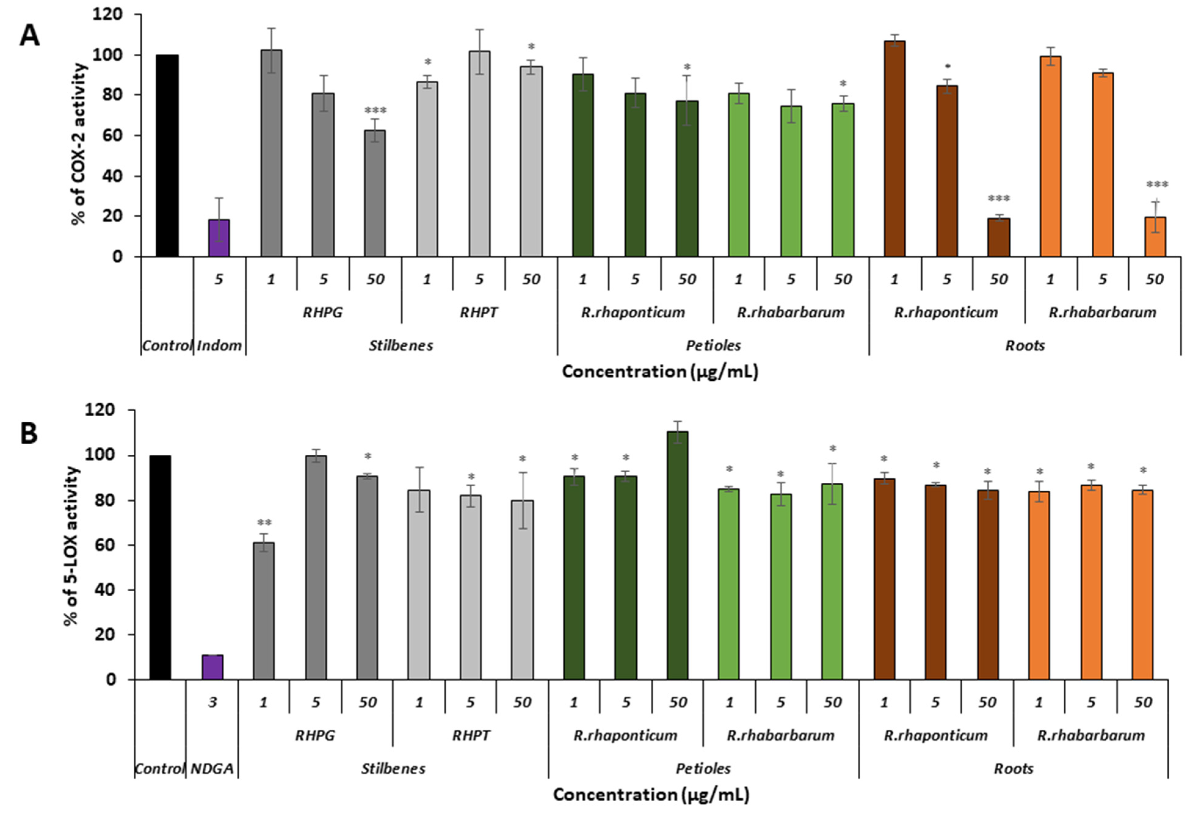
3.4. COX-2 and 5-LOX Inhibitor Screening
3.5. In Silico Studies: Bioactivity, Drug-Likeness, and Molecular Docking
4. Discussion
Supplementary Materials
Author Contributions
Funding
Institutional Review Board Statement
Data Availability Statement
Acknowledgments
Conflicts of Interest
References
- Ciesielski, O.; Biesiekierska, M.; Balcerczyk, A. Epigallocatechin-3-gallate (EGCG) Alters Histone Acetylation and Methylation and Impacts Chromatin Architecture Profile in Human Endothelial Cells. Molecules 2020, 25, 2326. [Google Scholar] [CrossRef]
- Rastogi, S.; Pandey, M.M.; Rawat, A. Traditional herbs: A remedy for cardiovascular disorders. Phytomedicine 2015, 23, 1082–1089. [Google Scholar] [CrossRef]
- Shaito, A.; Thuan, D.T.B.; Phu, H.T.; Nguyen, T.H.D.; Hasan, H.; Halabi, S.; Abdelhady, S.; Nasrallah, G.K.; Eid, A.H.; Pintus, G. Herbal Medicine for Cardiovascular Diseases: Efficacy, Mechanisms, and Safety. Front. Pharmacol. 2020, 11, 422. [Google Scholar] [CrossRef]
- Kolodziejczyk-Czepas, J.; Liudvytska, O. Rheum rhaponticum and Rheum rhabarbarum: A review of phytochemistry, biological activities and therapeutic potential. Phytochem. Rev. 2020, 20, 589–607. [Google Scholar] [CrossRef]
- Lee, H.-H.; Yu, J.-K.; Moon, Y.-S. Antioxidant and anti-inflammatory activities of different parts of rhubarb (Rheum rhabarbarum) compared with da huang root (R. officinale). Korean J. Food Preserv. 2022, 29, 186–195. [Google Scholar] [CrossRef]
- Rehman, H.; Begum, W.; Anjum, F.; Tabasum, H. Rheum emodi (Rhubarb): A fascinating herb. J. Pharmacogn. Phytochem. 2014, 3, 89–94. [Google Scholar]
- Liudvytska, O.; Kolodziejczyk-Czepas, J. A Review on Rhubarb-Derived Substances as Modulators of Cardiovascular Risk Factors—A Special Emphasis on Anti-Obesity Action. Nutrients 2022, 14, 2053. [Google Scholar] [CrossRef]
- Hasper, I.; Ventskovskiy, B.M.; Rettenberger, R.; Heger, P.W.; Riley, D.; Kaszkin-Bettag, M. Long-term efficacy and safety of the special extract ERr 731 of Rheum rhaponticum in perimenopausal women with menopausal symptoms. Menopause 2009, 16, 117–131. [Google Scholar] [CrossRef]
- Chang, J.-L.; Montalto, M.B.; Heger, P.W.; Thiemann, E.; Rettenberger, R.; Wacker, J. Rheum rhaponticum Extract (ERr 731): Postmarketing Data on Safety Surveillance and Consumer Complaints. Integr. Med. (Encinitas, Calif.) 2016, 15, 34–39. [Google Scholar]
- Kaszkin-Bettag, M.; Ventskovskiy, B.M.; Solskyy, S.; Beck, S.; Hasper, I.; Kravchenko, A.; Rettenberger, R.; Richardson, A.; Heger, P.W. Confirmation of the efficacy of ERr 731 in perimenopausal women with menopausal symptoms. Altern. Ther. Health Med. 2009, 15, 24. [Google Scholar]
- Keiler, A.M.; Papke, A.; Kretzschmar, G.; Zierau, O.; Vollmer, G. Long-term effects of the rhapontic rhubarb extract ERr 731® on estrogen-regulated targets in the uterus and on the bone in ovariectomized rats. J. Steroid Biochem. Mol. Biol. 2012, 128, 62–68. [Google Scholar] [CrossRef]
- Medina-Leyte, D.; Zepeda-García, O.; Domínguez-Pérez, M.; González-Garrido, A.; Villarreal-Molina, T.; Jacobo-Albavera, L. Endothelial Dysfunction, Inflammation and Coronary Artery Disease: Potential Biomarkers and Promising Therapeutical Approaches. Int. J. Mol. Sci. 2021, 22, 3850. [Google Scholar] [CrossRef]
- van Hinsbergh, V.W. Endothelium—Role in regulation of coagulation and inflammation. In Seminars in Immunopathology; Springer: Berlin/Heidelberg, Germany, 2012; Volume 34, pp. 93–106. [Google Scholar]
- Xu, S.; Ilyas, I.; Little, P.J.; Li, H.; Kamato, D.; Zheng, X.; Luo, S.; Li, Z.; Liu, P.; Han, J.; et al. Endothelial Dysfunction in Atherosclerotic Cardiovascular Diseases and Beyond: From Mechanism to Pharmacotherapies. Pharmacol. Rev. 2021, 73, 924–967. [Google Scholar] [CrossRef]
- Hutchinson, J.P.; Li, J.; Farrell, W.; Groeber, E.; Szucs, R.; Dicinoski, G.; Haddad, P.R. Universal response model for a corona charged aerosol detector. J. Chromatogr. A 2010, 1217, 7418–7427. [Google Scholar] [CrossRef]
- Dührkop, K.; Fleischauer, M.; Ludwig, M.; Aksenov, A.A.; Melnik, A.V.; Meusel, M.; Dorrestein, P.C.; Rousu, J.; Böcker, S. SIRIUS 4: A rapid tool for turning tandem mass spectra into metabolite structure information. Nat. Methods 2019, 16, 299–302. [Google Scholar] [CrossRef]
- Ruttkies, C.; Schymanski, E.L.; Wolf, S.; Hollender, J.; Neumann, S. MetFrag relaunched: Incorporating strategies beyond in silico fragmentation. J. Chemin- 2016, 8, 3. [Google Scholar] [CrossRef]
- Schrimpe-Rutledge, A.C.; Codreanu, S.G.; Sherrod, S.D.; McLean, J.A. Untargeted Metabolomics Strategies—Challenges and Emerging Directions. J. Am. Soc. Mass Spectrom. 2016, 27, 1897–1905. [Google Scholar] [CrossRef]
- Jaffe, E.A.; Nachman, R.L.; Becker, C.G.; Minick, C.R. Culture of human endothelial cells derived from umbilical veins. Identification by morphologic and immunologic criteria. J. Clin. Investig. 1973, 52, 2745–2756. [Google Scholar] [CrossRef]
- Balcerczyk, A.; Rybaczek, D.; Wojtala, M.; Pirola, L.; Okabe, J.; El-Osta, A. Pharmacological inhibition of arginine and lysine methyltransferases induces nuclear abnormalities and suppresses angiogenesis in human endothelial cells. Biochem. Pharmacol. 2016, 121, 18–32. [Google Scholar] [CrossRef]
- Wojtala, M.; Rybaczek, D.; Wielgus, E.; Sobalska-Kwapis, M.; Strapagiel, D.; Balcerczyk, A. The Role of Lysine-Specific Demethylase 1 (LSD1) in Shaping the Endothelial Inflammatory Response. Cell. Physiol. Biochem. 2021, 55, 569–589. [Google Scholar]
- Livak, K.J.; Schmittgen, T.D. Analysis of relative gene expression data using real-time quantitative PCR and the 2− ΔΔCT method. Methods 2001, 25, 402–408. [Google Scholar] [CrossRef]
- Trott, O.; Olson, A.J. AutoDock Vina: Improving the speed and accuracy of docking with a new scoring function, efficient optimization, and multithreading. J. Comput. Chem. 2010, 31, 455–461. [Google Scholar] [CrossRef]
- Kurumbail, R.G.; Stevens, A.M.; Gierse, J.K.; McDonald, J.J.; Stegeman, R.A.; Pak, J.Y.; Gildehaus, D.; Iyashiro, J.M.; Penning, T.D.; Seibert, K.; et al. Structural basis for selective inhibition of cyclooxygenase-2 by anti-inflammatory agents. Nature 1996, 384, 644–648. [Google Scholar] [CrossRef]
- Gilbert, N.C.; Gerstmeier, J.; Schexnaydre, E.E.; Börner, F.; Garscha, U.; Neau, D.B.; Werz, O.; Newcomer, M.E. Structural and mechanistic insights into 5-lipoxygenase inhibition by natural products. Nat. Chem. Biol. 2020, 16, 783–790. [Google Scholar] [CrossRef]
- Berman, H.M.; Westbrook, J.; Feng, Z.; Gilliland, G.; Bhat, T.N.; Weissig, H.; Bourne, P.E. The protein data bank. Nucleic Acids Res. 2000, 28, 235–242. [Google Scholar] [CrossRef]
- Hanwell, M.D.; Curtis, D.E.; Lonie, D.C.; Vandermeersch, T.; Zurek, E.; Hutchison, G.R. Avogadro: An advanced semantic chemical editor, visualization, and analysis platform. J. Cheminformatics 2012, 4, 17. [Google Scholar] [CrossRef]
- Halgren, T.A. Merck molecular force field. I. Basis, form, scope, parameterization, and performance of MMFF94. J. Comput. Chem. 1996, 17, 490–519. [Google Scholar] [CrossRef]
- Morris, G.M.; Huey, R.; Lindstrom, W.; Sanner, M.F.; Belew, R.K.; Goodsell, D.S.; Olson, A.J. AutoDock4 and AutoDockTools4: Automated docking with selective receptor flexibility. J. Comput. Chem. 2009, 30, 2785–2791. [Google Scholar] [CrossRef]
- Laskowski, R.A.; Swindells, M.B. LigPlot+: Multiple ligand–protein interaction diagrams for drug discovery. J. Chem. Inf. Model. 2011, 51, 2778–2786. [Google Scholar] [CrossRef]
- Wallace, A.C.; Laskowski, R.A.; Thornton, J.M. LIGPLOT: A program to generate schematic diagrams of protein-ligand interactions. Protein Eng. Des. Sel. 1995, 8, 127–134. [Google Scholar] [CrossRef]
- Pettersen, E.F.; Goddard, T.D.; Huang, C.C.; Couch, G.S.; Greenblatt, D.M.; Meng, E.C.; Ferrin, T.E. UCSF Chimera—A visualization system for exploratory research and analysis. J. Comput. Chem. 2004, 25, 1605–1612. [Google Scholar] [CrossRef] [PubMed]
- Pettersen, E.F.; Goddard, T.D.; Huang, C.C.; Meng, E.C.; Couch, G.S.; Croll, T.I.; Ferrin, T.E. UCSF ChimeraX: Structure visualization for researchers, educators, and developers. Protein Sci. 2021, 30, 70–82. [Google Scholar] [CrossRef] [PubMed]
- Goddard, T.D.; Huang, C.C.; Meng, E.C.; Pettersen, E.F.; Couch, G.S.; Morris, J.H.; Ferrin, T.E. UCSF ChimeraX: Meeting modern challenges in visualization and analysis. Protein Sci. 2017, 27, 14–25. [Google Scholar] [CrossRef]
- Püssa, T.; Raudsepp, P.; Kuzina, K.; Raal, A. Polyphenolic composition of roots and petioles of Rheum rhaponticum L. Phytochem. Anal. 2008, 20, 98–103. [Google Scholar] [CrossRef]
- Zhu, T.; Liu, X.; Wang, X.; Cao, G.; Qin, K.; Pei, K.; Zhu, H.; Cai, H.; Niu, M.; Cai, B. Profiling and analysis of multiple compounds in rhubarb decoction after processing by wine steaming using UHPLC-Q-TOF-MS coupled with multiple statistical strategies. J. Sep. Sci. 2016, 39, 3081–3090. [Google Scholar] [CrossRef] [PubMed]
- Dou, Z.; Dai, Y.; Zhou, Y.; Wang, S. Quality evaluation of rhubarb based on qualitative analysis of the HPLC fingerprint and UFLC–Q-TOF–MS/MS combined with quantitative analysis of eight anthraquinone glycosides by QAMS. Biomed. Chromatogr. 2021, 35, e5074. [Google Scholar] [CrossRef]
- Yao, M.; Li, J.; He, M.; Ouyang, H.; Ruan, L.; Huang, X.; Bai, J. Investigation and identification of the multiple components of Rheum officinale Baill. using ultra-high-performance liquid chromatography coupled with quadrupole-time-of-flight tandem mass spectrometry and data mining strategy. J. Sep. Sci. 2021, 44, 681–690. [Google Scholar] [CrossRef]
- Baker, T.R.; Regg, B.T. A multi-detector chromatographic approach for characterization and quantitation of botanical constituents to enable in silico safety assessments. Anal. Bioanal. Chem. 2018, 410, 5143–5154. [Google Scholar] [CrossRef]
- Górecki, T.; Lynen, F.; Szucs, R.; Sandra, P. Universal Response in Liquid Chromatography Using Charged Aerosol Detection. Anal. Chem. 2006, 78, 3186–3192. [Google Scholar] [CrossRef]
- Takeoka, G.R.; Dao, L.; Harden, L.; Pantoja, A.; Kuhl, J.C. Antioxidant activity, phenolic and anthocyanin contents of various rhubarb (R heum spp.) varieties. Int. J. Food Sci. Technol. 2013, 48, 172–178. [Google Scholar] [CrossRef]
- Zhao, C.-N.; Meng, X.; Li, Y.; Li, S.; Liu, Q.; Tang, G.-Y.; Li, H.-B. Fruits for Prevention and Treatment of Cardiovascular Diseases. Nutrients 2017, 9, 598. [Google Scholar] [CrossRef] [PubMed]
- Varadharaj, S.; Kelly, O.J.; Khayat, R.N.; Kumar, P.S.; Ahmed, N.; Zweier, J.L. Role of Dietary Antioxidants in the Preservation of Vascular Function and the Modulation of Health and Disease. Front. Cardiovasc. Med. 2017, 4, 64. [Google Scholar] [CrossRef]
- Tressera-Rimbau, A.; Arranz, S.; Eder, M.; Vallverdu-Queralt, A. Dietary Polyphenols in the Prevention of Stroke. Oxidative Med. Cell. Longev. 2017, 2017, 7467962. [Google Scholar] [CrossRef]
- Adefegha, A. Functional Foods and Nutraceuticals as Dietary Intervention in Chronic Diseases; Novel Perspectives for Health Promotion and Disease Prevention. J. Diet. Suppl. 2018, 15, 977–1009. [Google Scholar] [CrossRef] [PubMed]
- Chouhan, S.; Guleria, S. Anti-inflammatory Activity of Medicinal Plants: Present Status and Future Perspectives. In Botanical Leads for Drug Discovery; Springer: Singapore, 2020; pp. 67–92. [Google Scholar]
- Manach, C.; Williamson, G.; Morand, C.; Scalbert, A.; Rémésy, C. Bioavailability and bioefficacy of polyphenols in humans. I. Review of 97 bioavailability studies. Am. J. Clin. Nutr. 2005, 81, 230S–242S. [Google Scholar] [CrossRef]
- Moon, M.K.; Kang, D.G.; Lee, J.K.; Kim, J.S.; Lee, H.S. Vasodilatory and anti-inflammatory effects of the aqueous extract of rhubarb via a NO-cGMP pathway. Life Sci. 2006, 78, 1550–1557. [Google Scholar] [CrossRef] [PubMed]
- Joo Choi, R.; Cheng, M.S.; Shik Kim, Y. Desoxyrhapontigenin up-regulates Nrf2-mediated heme oxygenase-1 expression in macrophages and inflammatory lung injury. Redox Biol. 2014, 2, 504–512. [Google Scholar] [CrossRef]
- Li, R.; Chinnathambi, A.; Alharbi, S.A.; Shair, O.H.; Veeraraghavan, V.P.; Surapaneni, K.M.; Rengarajan, T. Anti-inflammatory effects of rhaponticin on LPS-induced human endothelial cells through inhibition of MAPK/NF-κβ signaling pathways. J. Biochem. Mol. Toxicol. 2021, 35, e22733. [Google Scholar] [CrossRef]
- Erasalo, H.; Hamalainen, M.; Leppanen, T.; Maki-Opas, I.; Laavola, M.; Haavikko, R.; Moilanen, E. Natural stilbenoids have anti-inflammatory properties in vivo and down-regulate the production of inflammatory mediators NO, IL6, and MCP1 possibly in a PI3K/Akt-dependent manner. J. Nat. Prod. 2018, 81, 1131–1142. [Google Scholar] [CrossRef]
- Wymann, M.P.; Solinas, G. Inhibition of phosphoinositide 3-kinase γ attenuates inflammation, obesity, and cardiovascular risk factors. Ann. New York Acad. Sci. 2013, 1280, 44–47. [Google Scholar] [CrossRef]
- Hu, B.; Zhang, H.; Meng, X.; Wang, F.; Wang, P. Aloe-emodin from rhubarb (Rheum rhabarbarum) inhibits lipopolysaccharide-induced inflammatory responses in RAW264.7 macrophages. J. Ethnopharmacol. 2014, 153, 846–853. [Google Scholar] [CrossRef] [PubMed]
- Kutil, Z.; Kvasnicova, M.; Temml, V.; Schuster, D.; Marsik, P.; Cusimamani, E.F.; Lou, J.-D.; Vanek, T.; Landa, P. Effect of Dietary Stilbenes on 5-Lipoxygenase and Cyclooxygenases Activities In Vitro. Int. J. Food Prop. 2014, 18, 1471–1477. [Google Scholar] [CrossRef]
- Ngoc, T.; Minh, P.; Hung, T.; Thuong, P.; Lee, I.; Min, B.; Bae, K. Lipoxygenase inhibitory constituents from rhubarb. Arch. Pharm. Res. 2008, 31, 598–605. [Google Scholar]
- Park, D.; Han, J.; Jung, Y.; Kim, J.; Min, B. Lipoxygenase Inhibitory Constituents from Rheum undulatum Linné. Planta Medica 2016, 82, 816. [Google Scholar] [CrossRef]
- Hoffmann, E.; Dittrich-Breiholz, O.; Holtmann, H.; Kracht, M. Multiple control of interleukin-8 gene expression. J. Leukoc. Biol. 2002, 72, 847–855. [Google Scholar] [CrossRef]
- Schink, A.; Neumann, J.; Leifke, A.L.; Ziegler, K.; Fröhlich-Nowoisky, J.; Cremer, C.; Thines, E.; Weber, B.; Pöschl, U.; Schuppan, D.; et al. Screening of herbal extracts for TLR2- and TLR4-dependent anti-inflammatory effects. PLoS ONE 2018, 13, e0203907. [Google Scholar] [CrossRef]
- Netsch, M.I.; Gutmann, H.; Aydogan, C.; Drewe, J. Green Tea Extract Induces Interleukin-8 (IL-8) mRNA and Protein Expression but Specifically Inhibits IL-8 Secretion in Caco-2 Cells. Planta Medica 2006, 72, 697–702. [Google Scholar] [CrossRef] [PubMed]
- Monteiro, J.P.; Bennett, M.; Rodor, J.; Caudrillier, A.; Ulitsky, I.; Baker, A.H. Endothelial function and dysfunction in the cardiovascular system: The long non-coding road. Cardiovasc. Res. 2019, 115, 1692–1704. [Google Scholar] [CrossRef]
- Portran, D.; Schaedel, L.; Xu, Z.; Théry, M.; Nachury, M.V. Tubulin acetylation protects long-lived microtubules against mechanical ageing. Nature 2017, 19, 391–398. [Google Scholar] [CrossRef]









| Gene | Forward Primer 5′ > 3′ | Reverse Primer 5′ > 3′ | Amplicon Size (bp) |
|---|---|---|---|
| HPRT1 | ATGGACAGGACTGAACGTCTT | TCCAGCAGGTCAGCAAAGAA | 113 |
| COX2 | GCACTGTTRGGTGGGT | AGAAAACTGCTCAACACCGGAA | 94 |
| ALOX5 | CGATACTTATGAAAGGCCCAGACC | GGTCTGGGAGACCGTACTGGA | 83 |
| No | Name | RT (min) | Calc. Formula | Err. (ppm) | R. rhabarbarum Petioles (mg/g d.w.) | R. rhaponticum Petioles (mg/g d.w.) | ID Level |
|---|---|---|---|---|---|---|---|
| 2 | Unidentified | 2.07 | C10H12O10 | 0.7 | 5.06 ± 1.06 | 1.71 ± 0.27 | 4 |
| 3 | Unidentified | 2.07 | C10H12O11 | 0.7 | 6.99 ± 1.47 | 1.97 ± 0.30 | 4 |
| 4 | beta-glucogallin | 2.22 | C13H16O10 | 1.4 | 14.67 ± 3.79 | 0.85 ± 0.19 | 1 |
| 5 | homocitrate-1 | 2.86 | C7H10O7 | 2.8 | 2.49 ± 1.33 | 1.07 ± 0.29 | 3 |
| 6 | homocitrate-2 | 3.09 | C7H10O7 | 2.2 | 7.16 ± 2.01 | 5.40 ± 0.90 | 3 |
| 7 | gentisoyl-Hex | 3.70 | C13H16O9 | −0.2 | ND | 1.59 ± 0.12 | 3 |
| 11 | Trp | 6.46 | C11H12N2O2 | −0.9 | 2.63 ± 0.66 | ND | 2 |
| 13 | syringoyl-Hex-2 | 7.57 | C15H20O10 | 0.6 | 1.36 ± 0.39 | 4.21 ± 0.99 | 3 |
| 14 | procyanidin-B1 | 7.76 | C30H26O12 | 0.6 | 1.60 ± 0.44 | 0.05 ± 0.02 | 1 |
| 16 | Unidentified | 8.51 | C12H22O8 | −0.8 | ND | 1.33 ± 0.34 | 4 |
| 17 | catechin | 8.81 | C15H14O6 | 0.7 | 24.71 ± 3.36 | 0.26 ± 0.05 | 1 |
| 23 | eucomic-acid-2 | 9.56 | C11H12O6 | 0.0 | 1.79 ± 0.35 | 0.40 ± 0.07 | 2 |
| 25 | Unidentified | 9.93 | C8H14O5 | −0.8 | 0.43 ± 0.03 | 1.43 ± 0.21 | 4 |
| 31 | sinapoyl-Hex-2 | 11.31 | C17H22O10 | 0.0 | 3.53 ± 0.77 | ND | 3 |
| 35 | methyl-butyl-Hex-Pent | 12.09 | C17H32O12 | −0.1 | 1.30 ± 0.23 | ND | 3 |
| 42 | resveratrol-Hex-1 (resveratroloside) | 13.24 | C20H22O8 | 1.0 | 1.24 ± 0.17 | ND | 2 |
| 43 | tetrahomocitrate | 13.43 | C10H16O7 | 1.6 | 0.33 ± 0.18 | 0.88 ± 0.10 | 3 |
| 44 | Unidentified | 13.69 | C21H24O12 | 0.7 | 0.77 ± 0.12 | ND | 4 |
| 46 | myrcetin-Hex-dHex | 14.08 | C27H30O17 | 1.7 | 3.15 ± 0.73 | 1.21 ± 0.08 | 3 |
| 47 | myrcetin-HexA | 14.10 | C21H18O14 | 0.2 | ND | 0.74 ± 0.05 | 3 |
| 48 | vicenin-III | 14.14 | C26H28O14 | 1.2 | 1.76 ± 0.41 | 1.74 ± 0.11 | 2 |
| 54 | Unidentified | 14.69 | C21H22O12 | 1.0 | 0.82 ± 0.16 | ND | 4 |
| 55 | galloyl-catechin-1 | 15.02 | C22H18O10 | 0.9 | 0.63 ± 0.18 | 0.21 ± 0.01 | 2 |
| 62 | rutin | 15.83 | C27H30O16 | 1.8 | 17.69 ± 1.85 | 11.60 ± 0.95 | 1 |
| 65 | quercetin-HexA | 16.02 | C21H18O13 | 0.3 | ND | 4.66 ± 0.21 | 3 |
| 66 | quercetin-Hex-2 (isoquercetrin) | 16.20 | C21H20O12 | 1.4 | 4.41 ± 0.65 | 2.74 ± 0.01 | 2 |
| 70 | rhapontin | 16.82 | C21H24O9 | 2.0 | 3.46 ± 0.57 | 0.35 ± 0.11 | 1 |
| 75 | quercetin-Pent-2 (avicularin) | 17.51 | C20H18O11 | 1.5 | 1.12 ± 0.20 | ND | 2 |
| 102 | deoxyrhapontigenin-Hex-1 | 21.85 | C21H24O8 | 0.4 | 1.29 ± 0.25 | ND | 3 |
| 103 | (aloe-)emodin-anthrone-malonyl-Hex-1 | 22.09 | C24H24O12 | 0.6 | 0.69 ± 0.10 | 0.37 ± 0.02 | 3 |
| 107 | torachrysone-Hex-1 | 22.45 | C20H24O9 | 0.2 | 1.42 ± 0.35 | 0.30 ± 0.04 | 3 |
| 109 | (aloe-)emodin-dianthrone-di(malonyl-Hex)-1 | 22.85 | C48H46O24 | 0.7 | 1.16 ± 0.26 | 0.36 ± 0.09 | 3 |
| 112 | apigenin-7-Glu | 23.02 | C21H20O10 | −0.3 | 0.85 ± 0.10 | 0.55 ± 0.11 | 1 |
| 113 | pinocembrine-Hex-5 | 23.07 | C21H22O9 | −0.3 | 1.78 ± 0.22 | 0.41 ± 0.08 | 2 |
| 116 | (aloe-)emodin-anthrone-malonyl-Hex-2 | 24.50 | C24H24O12 | −0.9 | 28.90 ± 2.80 | 4.32 ± 0.36 | 3 |
| 118 | emodin-malonyl-Hex-2 | 24.55 | C24H22O13 | −0.9 | ND | 2.34 ± 0.20 | 3 |
| 121 | torachrysone-Ac-Hex-2 | 24.79 | C22H26O10 | −0.3 | 6.51 ± 0.84 | 1.47 ± 0.15 | 3 |
| 123 | nataloe-emodin-8-Me-Ac-Hex | 25.50 | C24H26O11 | 0.4 | 1.08 ± 0.11 | 0.43 ± 0.07 | 4 |
| 129 | (aloe-)emodin-dianthrone-di(malonyl-Hex)-2 | 27.81 | C48H46O24 | 1.2 | 2.72 ± 0.25 | 0.97 ± 0.11 | 3 |
| 130 | physcion-anthrone-malonyl-Hex | 27.92 | C25H26O12 | 1.4 | 1.78 ± 0.22 | ND | 3 |
| 131 | physcion-Ac-Hex-3 | 28.01 | C24H24O11 | 0.7 | 1.67 ± 0.33 | 0.79 ± 0.11 | 3 |
| 133 | (aloe-)emodin-dianthrone-di(malonyl-Hex)-3 | 28.70 | C48H46O24 | 1.5 | 2.23 ± 0.28 | 0.84 ± 0.09 | 3 |
| 136 | Unidentified | 29.11 | C21H18O10 | 0.4 | 1.36 ± 0.13 | 0.68 ± 0.08 | 4 |
| 137 | emodin-dianthrone-malonyl-Hex-1 | 29.68 | C39H34O16 | 1.1 | 1.91 ± 0.08 | 0.85 ± 0.14 | 3 |
| 140 | emodin-dianthrone-malonyl-Hex-2 | 29.93 | C39H34O16 | 0.3 | 1.60 ± 0.12 | 0.36 ± 0.05 | 3 |
| 143 | emodin-dianthrone-malonyl-Hex-3 | 30.44 | C39H34O16 | −0.2 | 1.30 ± 0.09 | 0.86 ± 0.06 | 3 |
| 147 | emodin-dianthrone-malonyl-Hex-4 | 30.64 | C39H34O16 | 0.0 | 1.64 ± 0.19 | 0.74 ± 0.09 | 3 |
| 149 | (aloe-)emodin-anthrone-2 | 30.85 | C15H12O4 | 0.9 | 10.48 ± 1.80 | 1.98 ± 0.18 | 3 |
| 151 | emodin | 31.11 | C15H10O5 | 0.9 | 4.77 ± 2.22 | 2.60 ± 0.14 | 1 |
| 155 | emodin-dianthrone-1? | 31.78 | C30H22O8 | 0.5 | 1.20 ± 0.13 | 0.58 ± 0.10 | 3 |
| 159 | emodin-dianthrone-2 | 32.03 | C30H22O8 | 0.0 | 1.22 ± 0.06 | 0.43 ± 0.07 | 3 |
| 164 | 18:2-LPC-2 | 32.29 | C27H52NO9P | 0.5 | 1.69 ± 0.22 | 0.80 ± 0.06 | 2 |
| 166 | 18:2-LPE-2 | 32.33 | C23H44NO7P | 0.3 | 1.19 ± 0.15 | 0.67 ± 0.05 | 2 |
| 171 | Unidentified | 32.64 | C49H78O14 | −0.2 | ND | 0.84 ± 0.27 | 4 |
| 173 | 16:0-LPC-2 | 32.71 | C25H52NO9P | 0.4 | 0.92 ± 0.43 | 0.94 ± 0.30 | 2 |
| 174 | 16:0-LPE-2 | 32.71 | C21H44NO7P | 0.3 | 0.64 ± 0.30 | 0.68 ± 0.22 | 2 |
| No | Name | RT (min) | Calc. Formula | Err. (ppm) | R. rhabarbarum Roots (mg/g d.w.) | R. rhaponticum Roots (mg/g d.w.) | ID Level |
| 1 | Hex-Hex | 1.12 | C12H22O11 | −0.4 | 23.7 ± 1.58 | 110.9 ± 6.11 | 3 |
| 2 | malate | 1.28 | C4H6O5 | 1.5 | 4.6 ± 0.44 | ND | 2 |
| 3 | citrate | 1.43 | C6H8O7 | 0.2 | 0.8 ± 0.15 | 1.5 ± 0.11 | 2 |
| 4 | tyrosine | 1.68 | C9H11NO3 | 1.7 | 0.6 ± 0.03 | 0.8 ± 0.12 | 1 |
| 5 | beta-glucogallin | 1.92 | C13H16O10 | 0.7 | 31.2 ± 2.39 | 6.4 ± 0.23 | 1 |
| 6 | beta-glucogallin-2 | 2.21 | C13H16O10 | 1.2 | 1.0 ± 0.14 | 3.0 ± 0.28 | 3 |
| 7 | gallate | 2.41 | C7H6O5 | 4.4 | 1.2 ± 0.24 | ND | 1 |
| 8 | beta-glucogallin-3 | 2.44 | C13H16O10 | 0.9 | 1.4 ± 0.11 | 4.5 ± 0.35 | 3 |
| 17 | Trp | 5.74 | C11H12N2O2 | 0.1 | 0.9 ± 0.11 | 0.8 ± 0.05 | 1 |
| 28 | digalloyl-Hex-5 | 7.60 | C20H20O14 | −0.9 | 6.1 ± 0.43 | 8.5 ± 0.46 | 3 |
| 30 | catechin | 7.83 | C15H14O6 | −0.9 | 10.1 ± 0.84 | 1.8 ± 0.11 | 1 |
| 31 | Unidentified | 7.98 | C21H22O11 | −0.8 | ND | 1.2 ± 0.08 | 4 |
| 32 | Unidentified | 8.05 | C17H30O13 | 1.8 | 1.2 ± 0.29 | ND | 4 |
| 33 | digalloyl-Hex-7 | 8.08 | C20H20O14 | 1.9 | 3.1 ± 0.30 | 1.5 ± 0.07 | 3 |
| 34 | coumaroyl-Hex-3 | 8.15 | C15H18O8 | −2.1 | 2.1 ± 0.28 | ND | 3 |
| 36 | resveratrol-diHex-1 | 8.61 | C26H32O13 | 1.2 | 0.6 ± 0.17 | 0.7 ± 0.03 | 3 |
| 39 | digalloyl-Hex-8 | 8.86 | C20H20O14 | −0.8 | ND | 0.7 ± 0.06 | 3 |
| 40 | benzoyl-Hex-Pent | 8.93 | C18H24O11 | 2,0 | 1.5 ± 0.05 | ND | 3 |
| 42 | procyanidin-B2 | 9.25 | C30H26O12 | −0.8 | ND | 1.3 ± 0.18 | 1 |
| 43 | hydroxybenozyl-galloyl-Hex-1 | 9.27 | C20H20O12 | −1.8 | ND | 0.7 ± 0.08 | 3 |
| 46 | Unidentified | 9.44 | C17H24O9 | 2.3 | 1.1 ± 0.24 | ND | 4 |
| 51 | piceatannol/oxyresveratrol-diHex-2 | 10.02 | C26H32O14 | 2.0 | 0.9 ± 0.09 | 1.3 ± 0.02 | 3 |
| 61 | (epi-)catechin-(epi-)catechin-gallate-1 | 10.71 | C37H30O16 | −1.4 | 1.1 ± 0.17 | ND | 3 |
| 62 | Unidentified | 10.83 | C35H34O15 | −0.5 | ND | 1.2 ± 0.10 | 4 |
| 64 | piceatannol-Hex-1 | 11.12 | C20H22O9 | 1.0 | 6.7 ± 0.55 | 4.2 ± 0.27 | 3 |
| 66 | piceatannol-Hex-2 | 11.30 | C20H22O9 | −0.4 | 1.8 ± 0.26 | 2.7 ± 0.24 | 3 |
| 69 | resveratrol-Hex-1 (resveratroloside) | 11.62 | C20H22O8 | 0.1 | 24.5 ± 1.98 | 21.1 ± 1.14 | 2 |
| 74 | hydroxybenozyl-galloyl-Hex-4 | 11.87 | C20H20O12 | −1.4 | ND | 0.7 ± 0.06 | 3 |
| 75 | resveratrol-diHex-2 | 11.91 | C26H32O13 | −0.1 | 0.5 ± 0.06 | 1.6 ± 0.27 | 3 |
| 78 | Unidentified | 12.04 | C29H34O17 | 0.1 | ND | 1.3 ± 0.14 | 4 |
| 79 | trihydroxyresveratrol | 12.07 | C14H12O6 | −0.6 | ND | 1.1 ± 0.18 | 3 |
| 84 | astringin | 12.68 | C20H22O9 | 0.4 | 65.3 ± 4.38 | 99.3 ± 4.20 | 1 |
| 88 | Unidentified | 13.06 | C21H28O13 | −1.2 | 5.1 ± 0.79 | 4.9 ± 0.44 | 4 |
| 89 | polyflavanostilbene-A | 13.10 | C42H38O19 | −0.4 | 4.7 ± 0.45 | ND | 3 |
| 90 | digalloyl-procyanidin-B2-1 | 13.12 | C44H34O20 | 0.4 | ND | 3.8 ± 0.69 | 3 |
| 91 | polydatin | 13.20 | C20H22O8 | −0.1 | 14.0 ± 0.72 | 11.3 ± 0.56 | 1 |
| 96 | piceatannol-galloyl-Hex-1 | 13.35 | C27H26O13 | −0.1 | 1.7 ± 0.25 | ND | 3 |
| 99 | galloyl-catechin-2 | 13.47 | C22H18O10 | −0.2 | 6.7 ± 0.52 | 8.0 ± 0.36 | 3 |
| 108 | Unidentified | 13.91 | C43H40O19 | −0.5 | 1.7 ± 0.08 | ND | 4 |
| 110 | piceatannol-Pent | 14.01 | C19H20O8 | −0.4 | 3.4 ± 0.44 | 4.7 ± 0.50 | 3 |
| 112 | piceatannol-galloyl-Hex-2 | 14.10 | C27H26O13 | −0.4 | 4.4 ± 1.09 | 11.3 ± 0.78 | 3 |
| 113 | (iso-)rhapontigenin-Hex-1 | 14.20 | C21H24O9 | −0.4 | 18.5 ± 0.55 | 17.7 ± 0.73 | 3 |
| 115 | pinocembrine-Hex-2 | 14.34 | C21H22O9 | −1.2 | ND | 1.6 ± 0.11 | 3 |
| 116 | trans-piceatannol | 14.43 | C14H12O4 | −0.5 | 2.5 ± 0.50 | 4.0 ± 1.17 | 1 |
| 121 | rhapontin | 14.84 | C21H24O9 | −0.3 | 184.0 ± 10.93 | 151.3 ± 7.77 | 1 |
| 129 | (iso-)rhapontigenin-galloyl-Hex-1 | 15.32 | C28H28O13 | 0.1 | 3.8 ± 0.70 | 5.0 ± 1.77 | 3 |
| 134 | eriodictyol-Hex | 15.79 | C21H22O11 | 0.1 | 1.0 ± 0.18 | 2.6 ± 0.28 | 3 |
| 140 | (iso-)rhapontigenin-galloyl-Hex-2 | 16.21 | C28H28O13 | 1.1 | 13.3 ± 0.58 | 9.4 ± 0.74 | 3 |
| 142 | (iso-)rhapontigenin-malonyl-Hex-1 | 16.40 | C24H26O12 | −0.1 | 11.2 ± 1.09 | 5.7 ± 0.41 | 3 |
| 145 | piceatannol-hydroxybenzoyl-Hex | 16.66 | C27H26O11 | 0.7 | 0.6 ± 0.11 | ND | 3 |
| 147 | emodin-Hex-3 | 16.71 | C21H20O10 | 1.1 | 1.2 ± 0.20 | 12.8 ± 0.68 | 3 |
| 158 | Unidentified | 17.31 | C42H34O9 | 1.2 | 6.7 ± 0.59 | 5.6 ± 0.49 | 4 |
| 161 | Unidentified | 17.49 | C42H34O9 | 1.1 | 3.5 ± 0.13 | 2.3 ± 0.13 | 4 |
| 163 | piceatannol-dimer (cararosinol-D) | 17.55 | C28H22O8 | 1.5 | ND | 1.5 ± 0.40 | 2 |
| 167 | piceatannol-coumaroyl-Hex-2 | 17.68 | C29H28O11 | 1.0 | 3.9 ± 0.36 | 5.1 ± 0.24 | 3 |
| 168 | Unidentified | 17.77 | C24H28O11 | 1.5 | 1.2 ± 0.32 | ND | 4 |
| 169 | piceatannol-feruloyl-Hex | 17.83 | C30H30O12 | 1.0 | 0.6 ± 0.08 | 3.8 ± 0.24 | 3 |
| 172 | (aloe-)emodin-galloyl-Hex | 18.07 | C28H24O14 | 0.9 | ND | 2.0 ± 0.30 | 3 |
| 180 | (iso-)rhapontigenin | 18.56 | C15H14O4 | 2.3 | 12.6 ± 0.79 | 10.7 ± 0.85 | 3 |
| 193 | deoxyrhapontigenin-Hex-1 | 19.18 | C21H24O8 | 1.7 | 138.6 ± 8.55 | 31.7 ± 2.08 | 3 |
| 199 | chrysophanol-Hex-1 | 19.39 | C21H20O9 | 1.2 | 4.2 ± 0.82 | 17.4 ± 0.91 | 3 |
| 201 | apigenin-7-Glu | 19.51 | C21H20O10 | 1.0 | 1.1 ± 0.17 | 3.5 ± 0.19 | 1 |
| 203 | (iso-)rhapontigenin-coumaroyl-Hex-2 | 19.67 | C30H30O11 | 0.9 | 3.9 ± 0.60 | 3.0 ± 0.29 | 3 |
| 205 | chrysophanol-Hex-2 | 19.81 | C21H20O9 | 1.3 | 2.5 ± 0.26 | 12.5 ± 0.73 | 3 |
| 208 | (iso-)rhapontigenin-feruloyl-Hex-2 | 19.93 | C31H32O12 | 1.0 | ND | 2.0 ± 0.40 | 3 |
| 209 | deoxyrhapontigenin-galloyl-Hex-1 | 20,00 | C28H28O12 | 1.4 | 6.8 ± 0.74 | 1.8 ± 0.22 | 3 |
| 210 | flavanol-piceatannol-dimer | 20.01 | C29H24O8 | 1.6 | ND | 3.4 ± 0.43 | 3 |
| 212 | rhapontigenin-coumaroyl-Hex-2 | 20.42 | C30H30O11 | 1.7 | ND | 2.1 ± 0.13 | 3 |
| 214 | deoxyrhapontigenin-malonyl-Hex | 20.44 | C24H26O11 | 1.4 | 3.0 ± 0.31 | 1.2 ± 0.13 | 3 |
| 218 | rhapontigenin-feruloyl-Hex-3 | 20.72 | C31H32O12 | 1.6 | ND | 0.7 ± 0.13 | 3 |
| 221 | (aloe-)emodin-anthrone-malonyl-Hex(-CO2)-2 | 20.94 | C23H24O10 | 1.3 | 2.2 ± 0.16 | ND | 3 |
| 222 | resveratrol-dimer-1 | 20.95 | C28H22O6 | 1.4 | 3.3 ± 0.29 | 3.4 ± 0.16 | 3 |
| 223 | torachrysone-malonyl-Hex(-CO2)-3 | 21.08 | C22H26O10 | 1.4 | 5.1 ± 0.46 | 5.0 ± 0.29 | 3 |
| 227 | physcion-Hex-1 (rheochrysin) | 21.24 | C21H20O8 | 0.1 | ND | 2.2 ± 0.38 | 3 |
| 229 | resveratrol-piceatannol-mixed-tetramer | 21.33 | C38H52O25 | −2.0 | 0.8 ± 0.07 | 2.9 ± 0.59 | 3 |
| 231 | chrysophanol-Ac-Hex-3 | 21.45 | C23H22O10 | 2.7 | 6.0 ± 0.52 | ND | 3 |
| 232 | chrysophanol-physcion-dianthr.-di(malonyl-Hex)-1 | 21.45 | C48H44O24 | 1.0 | ND | 16.0 ± 0.72 | 3 |
| 240 | chrysophanol-malonyl-Hex(-CO2)-4 | 21.82 | C23H22O10 | 0.2 | 5.8 ± 0.36 | ND | 3 |
| 241 | Unidentified | 21.82 | C46H44O22 | 0.8 | ND | 4.7 ± 1.40 | 4 |
| 242 | chrysophanol-physcion-dianthr.-di(malonyl-Hex)-2 | 21.82 | C48H44O24 | 1.7 | ND | 11.5 ± 1.15 | 3 |
| 252 | chrysophanol-dianthrone-di(malonyl-Hex)-2 | 22.49 | C48H46O22 | 1.5 | 1.0 ± 0.13 | ND | 3 |
| 258 | resveratrol-dimer-2 | 23.10 | C28H22O6 | 2.7 | 8.4 ± 0.61 | 9.4 ± 0.57 | 3 |
| 267 | chrysophanol-anthrone-malonyl-Hex-4 | 23.45 | C24H24O11 | −0.6 | ND | 4.4 ± 0.33 | 3 |
| 272 | chrysophanol-dianthrone-malonyl-diHex-8 | 23.56 | C45H44O19 | 1.9 | 0.7 ± 0.08 | ND | 3 |
| 278 | deoxyrhapontigenin | 23.89 | C15H14O3 | 3.6 | 13.4 ± 1.16 | 2.2 ± 0.21 | 1 |
| 286 | chrysophanol-dianthrone-di(malonyl-Hex)-6 | 24.25 | C48H46O22 | 1.2 | 0.8 ± 0.11 | ND | 3 |
| 291 | chrysophanol-dianthrone-di(malonyl-Hex)-7 | 24.47 | C48H46O22 | 1.8 | 1.5 ± 0.25 | ND | 3 |
| 309 | chrysophanol-dianthrone-di(malonyl-Hex)-9 | 26.55 | C48H46O22 | 1.7 | 0.9 ± 0.03 | ND | 3 |
| 322 | emodin | 29.75 | C15H10O5 | 0.9 | 0.8 ± 0.12 | 2.8 ± 0.11 | 1 |
| 324 | chrysophanol-dianthr.-malonyl-Hex-2 | 29.91 | C39H34O14 | −0.9 | 3.2 ± 0.26 | ND | 3 |
| 327 | chrysophanol-physcion-dianthr.-malonyl-Hex-2 | 30.11 | C40H36O15 | −0.7 | 1.2 ± 0.14 | ND | 3 |
| Extract/Compounds | Concentration (µg/mL) | % of Cell Viability ± SD |
|---|---|---|
| R. rhaponticum petiole extract | 1 | 102.94 ± 4.62 |
| 5 | 96.24 ± 4.55 | |
| 50 | 88.81 ± 2.83 | |
| R. rhabarbarum petiole extract | 1 | 101.94 ± 5.61 |
| 5 | 97.38 ± 6.54 | |
| 50 | 98.52 ± 7.58 | |
| R. rhaponticum root extract | 1 | 104.99 ± 4.97 |
| 5 | 105.43 ± 4.49 | |
| 50 | 89.54 ± 5.47 | |
| R. rhabarbarum root extract | 1 | 97.34 ± 4.43 |
| 5 | 97.86 ± 6.95 | |
| 30 | 83.45 ± 7.06 | |
| Rhapontigenin | 1 | 98.59 ± 14.9 |
| 5 | 103.12 ± 12.10 | |
| 25 | 88.32 ± 7.75 | |
| Rhaponticin | 1 | 103.38 ± 18.84 |
| 5 | 106.72 ± 12.70 | |
| 50 | 109.32 ± 17.01 | |
| Indomethacin | 5 | 95.83 ± 5.63 |
| Zileuton | 5 | 105.28 ± 3.56 |
| (No.) | Compound Names, Chemical Structure and SMILES | MW (Da) PSA | HA | milogP | MBS PI | MBS EI | ΔG°bind (kcal·mol−1) COX-2 5-LOX | LELELP |
|---|---|---|---|---|---|---|---|---|
| (1) | digalloyl glucoside![]() c1c(C(=O)OC[C@H]([C@H]([C@H]([C@H](OC(=O)c2cc(c(c(O)c2)O)O)C=O)O)O)O)cc(c(c1O)O)O | 484.37 251.73 | 34 | −0.31 | 0.01 | 0.13 | −8.5 ± 0.2 −1.5 ± 1.6 | 0.25 −1.24 0.04 −7.75 |
| (2) | glucogallin![]() c1(cc(cc(c1O)O)C(=O)O[C@H]1[C@@H]([C@H]([C@@H]([C@H](O1)CO)O)O)O)O | 332.26 177.13 | 23 | −1.48 | 0.07 | 0.42 | −7.7 ± 0.1 −5.9 ± 1.0 | 0.33 −4.48 0.26 −5.69 |
| (3) | syringoyl 1-O-glucopyranoside ![]() [C@@H]1([C@@H]([C@H]([C@@H](O[C@@H]1CO)Oc1c(cc(cc1OC)C(=O)O)OC)O)O)O | 360.31 155.15 | 25 | −0.84 | −0.02 | 0.30 | −7.0 ± 0.2 −2.8 ± 0.6 | 0.28 −3.00 0.11 −7.64 |
| (4) | astringin![]() c1c(O)cc(cc1/C=C/c1cc(c(cc1)O)O)O[C@H]1[C@@H]([C@H]([C@H]([C@H](O1)CO)O)O)O | 406.39 160.06 | 29 | 0.71 | 0.04 | 0.34 | −8.1 ± 0.1 0.4 ± 1.4 | 0.28 2.54 −0.01 −71.00 |
| (5) | piceatannol-galloylglucoside![]() c1c(c(cc(c1)/C=C/c1cc(cc(c1)O)O[C@H]1[C@@H]([C@H]([C@@H]([C@H](O1)COC(=O)c1cc(c(c(c1)O)O)O)O)O)O)O)O | 558.49 226.82 | 40 | 1.88 | −0.06 | 0.12 | −9.3 ± 0.2 3.5 ± 2.7 | 0.23 8.17 −0.09 −20.89 |
| (6) | piceid (polydatin; resveratrol 3-O-beta-glucopyranoside)![]() C1=CC(=CC=C1/C=C/C2=CC(=CC(=C2)O[C@H]3[C@@H]([C@H]([C@@H]([C@H](O3)CO)O)O)O)O)O | 390.39 139.84 | 28 | 1.20 | 0.05 | 0.34 | −8.5 ± 0.2 0.5 ± 1.6 | 0.30 4.00 −0.018 −66.67 |
| (7) | viniferin (resveratrol-dehydrodimer)![]() c1cc(ccc1/C=C/c1cc(cc2c1[C@H]([C@@H](O2)c1ccc(cc1)O)c1cc(cc(c1)O)O)O)O | 454.48 110.37 | 34 | 4.77 | −0.4 | 0.20 | −8.8 ± 0.1 7.0 ± 0.1 | 0.26 18.35 −0.21 −22.71 |
| (8) | deoxyrhaponticin![]() c1c(ccc(c1)/C=C/c1cc(cc(c1)O[C@H]1[C@H]([C@H]([C@@H]([C@H](O1)CO)O)O)O)O)OC | 404.42 128.84 | 26 | 1.74 | 0.01 | 0.30 | −8.8 ± 0.1 1.2 ± 1.5 | 0.34 5.12 −0.05 −34.8 |
| (9) | deoxyrhapontigenin![]() | 243.27 49.69 | 18 | 3.52 | −0.40 | −0.01 | −7.6 ± 0.1 −5.2 ± 0.1 | 0.42 8.38 0.29 12.14 |
| (10) | rhaponticin![]() c1c(cc(cc1O[C@H]1[C@H]([C@H]([C@@H]([C@@H](O1)CO)O)O)O)/C=C/c1ccc(c(c1)O)OC)O | 420.41 149.07 | 30 | 1.02 | −0.02 | 0.30 | −8.5 ± 0.2 0.4 ± 3.5 | 0.29 42.57 −0.01 −102.0 |
| (11) | rhapontigenin![]() c1c(c(cc(c1)/C=C/c1cc(cc(c1)O)O)O)O | 244.25 80.91 | 18 | 2.50 | −0.34 | 0.07 | −7.7 ± 0.1 −5.6 ± 0.2 | 0.43 5.81 0.31 8.06 |
| (12) | rhapontigenin-galloyl-glucopyranoside![]() c1c(c(cc(c1)/C=C/c1cc(cc(c1)O)O)O[C@H]1[C@@H]([C@H]([C@@H]([C@H](O1)COC(=O)c1cc(c(c(c1)O)O)O)O)O)O)OC | 572.52 215.83 | 41 | 1.96 | −0.10 | 0.05 | −7.8 ± 0.2 5.60 ± 3.1 | 0.19 10.32 −0.14 −14 |
| (13) | (epi)catechin![]() c1(cc(c2c(c1)O[C@@H]([C@@H](C2)O)c1cc(c(cc1)O)O)O)O | 290.27 110.37 | 21 | 1.37 | 0.26 | 0.47 | −8.1 ± 0.1 −4.3 ± 0.1 | 0.39 3.51 0.21 6.2 |
| (14) | isoquercitrin![]() c1(cc(c2c(c1)[OH+]C(=C(C2=O)O[C@@H]1[C@@H]([C@@H]([C@@H]([C@H](O1)CO)O)O)O)c1ccc(c(c1)O)O)O)O | 465.39 211.69 | 33 | −3.57 | −0.04 | 0.29 | −7.0 ± 0.2 4.5 ± 2.0 | 0.21 −17.0 −0.14 25.5 |
| (15) | rutin![]() C[C@H]1[C@@H]([C@H]([C@H]([C@@H](O1)OC[C@@H]2[C@H]([C@@H]([C@H]([C@@H](O2)OC3=C(OC4=CC(=CC(=C4C3=O)O)O)C5=CC(=C(C=C5)O)O)O)O)O)O)O)O | 610.52 269.43 | 43 | −1.06 | −0.07 | 0.12 | −7.9 ± 0.1 11.3 ± 1.5 | 0.18 −5.09 −0.26 4.08 |
| (16) | emodin![]() c1c(cc2c(c1O)C(=O)c1c(C2=O)cc(cc1O)C)O | 270.24 94.83 | 20 | 3.01 | −0.21 | 0.21 | −8.9 ± 0.1 −6.4 ± 0.1 | 0.45 6.67 0.32 9.41 |
| (17) | emodin 8-O-glucoside![]() [C@@H]1([C@H](Oc2c3c(C(=O)c4c(C3=O)c(cc(c4)C)O)cc(c2)O)O[C@@H]([C@H]([C@@H]1O)O)CO)O | 432.38 173.98 | 31 | 0.96 | 0.05 | 0.41 | −6.9 ± 0.3 0.7 ± 0.8 | 0.22 4.36 −0.02 −48.00 |
| (18) | emodin anthrone![]() c1c(cc2c(c1O)C(=O)c1c(C2)cc(cc1O)C)O | 256.26 77.75 | 19 | 3.25 | −0.29 | 0.30 | −8.8 ± 0.0 −7.2 ± 0.2 | 0.46 7.06 0.38 8.55 |
| (19) | chrysophanol-8-glucoside![]() c1ccc2c(c1O[C@H]1[C@@H]([C@H]([C@@H]([C@H](O1)CO)O)O)O)C(=O)c1c(C2=O)cc(cc1O)C | 416.38 153.75 | 30 | 1.49 | 0.06 | 0.39 | −8.4 ± 0.0 0.7 ± 3.2 | 0.28 5.32 −0.02 −74.50 |
| (20) | arachidonic acid![]() OC(=O)CCC/C=C\C/C=C\C/C=C\C/C=C\CCCCC | 304.47 37.30 | 22 | 6.42 | 0.19 | 0.35 | −7.4 ± 0.2 −5.1 ± 0.3 | 0.34 18.88 0.23 27.91 |
| (21) | NDGA![]() CC(CC1=CC(=C(C=C1)O)O)C(C)CC2=CC(=C(C=C2)O)O | 302.37 80.91 | 22 | 3.48 | 0.01 | 0.13 | −8.0 ± 0.2 −5.2 ± 0.5 | 0.34 10.24 0.035 99.43 |
| (22) | indomethacin![]() C(=O)(n1c(C)c(c2cc(ccc12)OC)CC(=O)O)c1ccc(Cl)cc1 | 357.79 68.64 | 25 | 3.99 | −0.11 | 0.30 | −9.4 ± 1.3 0.8 ± 1.3 | 0.38 10.50 −0.03 −133.00 |
Disclaimer/Publisher’s Note: The statements, opinions and data contained in all publications are solely those of the individual author(s) and contributor(s) and not of MDPI and/or the editor(s). MDPI and/or the editor(s) disclaim responsibility for any injury to people or property resulting from any ideas, methods, instructions or products referred to in the content. |
© 2023 by the authors. Licensee MDPI, Basel, Switzerland. This article is an open access article distributed under the terms and conditions of the Creative Commons Attribution (CC BY) license (https://creativecommons.org/licenses/by/4.0/).
Share and Cite
Liudvytska, O.; Ponczek, M.B.; Ciesielski, O.; Krzyżanowska-Kowalczyk, J.; Kowalczyk, M.; Balcerczyk, A.; Kolodziejczyk-Czepas, J. Rheum rhaponticum and Rheum rhabarbarum Extracts as Modulators of Endothelial Cell Inflammatory Response. Nutrients 2023, 15, 949. https://doi.org/10.3390/nu15040949
Liudvytska O, Ponczek MB, Ciesielski O, Krzyżanowska-Kowalczyk J, Kowalczyk M, Balcerczyk A, Kolodziejczyk-Czepas J. Rheum rhaponticum and Rheum rhabarbarum Extracts as Modulators of Endothelial Cell Inflammatory Response. Nutrients. 2023; 15(4):949. https://doi.org/10.3390/nu15040949
Chicago/Turabian StyleLiudvytska, Oleksandra, Michał B. Ponczek, Oskar Ciesielski, Justyna Krzyżanowska-Kowalczyk, Mariusz Kowalczyk, Aneta Balcerczyk, and Joanna Kolodziejczyk-Czepas. 2023. "Rheum rhaponticum and Rheum rhabarbarum Extracts as Modulators of Endothelial Cell Inflammatory Response" Nutrients 15, no. 4: 949. https://doi.org/10.3390/nu15040949
APA StyleLiudvytska, O., Ponczek, M. B., Ciesielski, O., Krzyżanowska-Kowalczyk, J., Kowalczyk, M., Balcerczyk, A., & Kolodziejczyk-Czepas, J. (2023). Rheum rhaponticum and Rheum rhabarbarum Extracts as Modulators of Endothelial Cell Inflammatory Response. Nutrients, 15(4), 949. https://doi.org/10.3390/nu15040949























