Understanding the Role of CalFresh Participation and Food Insecurity on Academic Outcomes among College Students during the COVID-19 Pandemic
Abstract
:1. Introduction
Study Context
2. Materials and Methods
2.1. Sample
2.2. Study Questionnaire and Data Collection
2.3. Data Analysis
2.4. Variables
2.5. Ethical Standards Disclosure
3. Results
3.1. Sample
3.2. Changes in Food Security
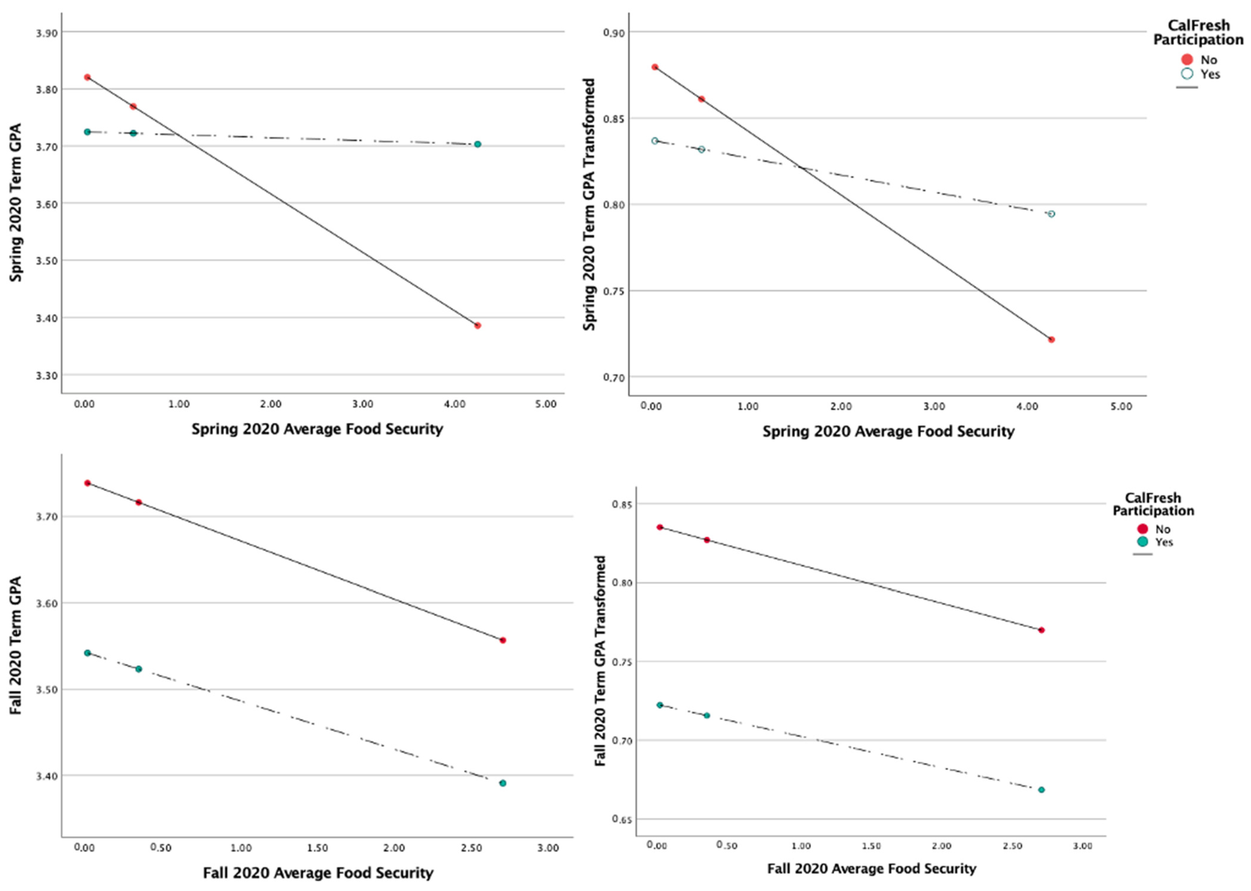
3.3. CalFresh Participation Moderation of Food Insecurity
4. Discussion
5. Conclusions
Author Contributions
Funding
Institutional Review Board Statement
Informed Consent Statement
Data Availability Statement
Acknowledgments
Conflicts of Interest
Appendix A

Appendix B
| Spring 2020 | Spring 2020—Transformed GPA | ||||||
|---|---|---|---|---|---|---|---|
| Coeff | SE | p | Coeff | SE | p | ||
| Average Food Security | −0.1141 | 0.0211 | <0.001 | Average Food Security | −0.0407 | 0.0095 | <0.001 |
| CalFresh Participation | −0.1617 | 0.1022 | 0.116 | CalFresh Participation | −0.0672 | 0.046 | 0.1462 |
| Avg Food Security × CalFresh Participation | 0.1120 | 0.0352 | 0.0018 | Avg Food Security × CalFresh Participation | 0.0323 | 0.0158 | 0.0429 |
| Fall 2020 | Fall 2020—Transformed GPA | ||||||
| Coeff | SE | p | Coeff | SE | p | ||
| Average Food Security | −0.0694 | 0.0221 | 0.0021 | Average Food Security | −0.0273 | 0.0097 | 0.0057 |
| CalFresh Participation | −0.2272 | 0.119 | 0.0586 | CalFresh Participation | −0.1367 | 0.0522 | 0.01 |
| Avg Food Security × CalFresh Participation | 0.0060 | 0.044 | 0.8922 | Avg Food Security × CalFresh Participation | 0.0047 | 0.0193 | 0.809 |
References
- Coleman-Jensen, A.; Rabbitt, M.P.; Gregory, C.A. Definitions of Food Security; United States Department of Agriculture: Washington, DC, USA, 2020. [Google Scholar]
- Martinez, S.M.; Webb, K.; Frongillo, E.A.; Ritchie, L.D. Food Insecurity in California’s Public University System: What Are the Risk Factors? J. Hunger Environ. Nutr. 2018, 13, 1–18. [Google Scholar] [CrossRef]
- Bruening, M.; Argo, K.; Payne-Sturges, D.C.; Laska, M. The Struggle Is Real: A Systematic Review of Food Insecurity on Postsecondary Education Campuses-ClinicalKey for Nursing. Available online: https://www.clinicalkey.com/nursing/#!/content/playContent/1-s2.0-S2212267217305518?returnurl=https:%2F%2Flinkinghub.elsevier.com%2Fretrieve%2Fpii%2FS2212267217305518%3Fshowall%3Dtrue&referrer=https:%2F%2Fpubmed.ncbi.nlm.nih.gov%2F28754200%2F (accessed on 8 October 2020).
- Tu, K. Hungry to Learn: An Analysis of the Food Insecurity Problem in the California Community College System and Implications for Public Policy Solutions. Ph.D. Thesis, California State University, Northridge, CA, USA, 2020. [Google Scholar]
- Cuy Castellanos, D.; Holcomb, J. Food Insecurity, Financial Priority, and Nutrition Literacy of University Students at a Mid-Size Private University. J. Am. Coll. Health JACH 2020, 68, 16–20. [Google Scholar] [CrossRef] [PubMed]
- El Zein, A.; Shelnutt, K.P.; Colby, S.; Vilaro, M.J.; Zhou, W.; Greene, G.; Olfert, M.D.; Riggsbee, K.; Morrell, J.S.; Mathews, A.E. Prevalence and Correlates of Food Insecurity among U.S. College Students: A Multi-Institutional Study. BMC Public Health 2019, 19, 660. [Google Scholar] [CrossRef]
- Fortin, K.; Harvey, S.; Swearingen White, S. Hidden Hunger: Understanding the Complexity of Food Insecurity Among College Students. J. Am. Coll. Nutr. 2021, 40, 242–252. [Google Scholar] [CrossRef] [PubMed]
- Martinez, S.M.; Frongillo, E.A.; Leung, C.; Ritchie, L. No Food for Thought: Food Insecurity Is Related to Poor Mental Health and Lower Academic Performance among Students in California’s Public University System. J. Health Psychol. 2018, 25, 1930–1939. [Google Scholar] [CrossRef]
- Martinez, S.M.; Grandner, M.A.; Nazmi, A.; Canedo, E.R.; Ritchie, L.D. Pathways from Food Insecurity to Health Outcomes among California University Students. Nutrients 2019, 11, 1419. [Google Scholar] [CrossRef]
- Nazmi, A.; Martinez, S.; Byrd, A.; Robinson, D.; Bianco, S.; Maguire, J.; Crutchfield, R.M.; Condron, K.; Ritchie, L. A Systematic Review of Food Insecurity among US Students in Higher Education. J. Hunger Environ. Nutr. 2018, 14, 725–740. [Google Scholar] [CrossRef]
- Willis, D.E. Feeding the Student Body: Unequal Food Insecurity Among College Students. Am. J. Health Educ. 2019, 50, 167–175. [Google Scholar] [CrossRef]
- Coleman-Jensen, A.; Rabbitt, M.P.; Gregory, C.A.; Singh, A. Household Food Security in the United States in 2020; Economic Research Service: Washington, DC, USA, 2020; p. 55. Available online: https://www.ers.usda.gov/webdocs/publications/102076/err-298.pdf (accessed on 15 January 2023).
- Meza, A.; Altman, E.; Martinez, S.M.; Leung, C.W. “It’s a Feeling That One Is Not Worth Food”: A Qualitative Study Exploring the Psychosocial Experience and Academic Consequences of Food Insecurity among College Students-ClinicalKey for Nursing. J. Acad. Nutr. Diet. 2019, 119, 1713–1721. [Google Scholar] [CrossRef]
- Becerra, M.B.; Becerra, B.J. Psychological Distress among College Students: Role of Food Insecurity and Other Social Determinants of Mental Health. Int. J. Environ. Res. Public. Health 2020, 17, 4118. [Google Scholar] [CrossRef]
- Diamond, K.K.; Stebleton, M.J.; delMas, R.C. Exploring the Relationship Between Food Insecurity and Mental Health in an Undergraduate Student Population. J. Stud. Aff. Res. Pract. 2020, 57, 546–560. [Google Scholar] [CrossRef]
- Van Woerden, I.; Hruschka, D.; Bruening, M. Food Insecurity Negatively Impacts Academic Performance. J. Public Aff. 2019, 19, e1864. [Google Scholar] [CrossRef]
- Weaver, R.; Vaughn, N.; Hendricks, S.; McPherson-Myers, P.; Jia, Q.; Willis, S.; Rescigno, K. University Student Food Insecurity and Academic Performance. J. Am. Coll. Health 2019, 68, 727–733. [Google Scholar] [CrossRef]
- Phillips, E.; McDaniel, A.; Croft, A. Food Insecurity and Academic Disruption Among College Students. J. Stud. Aff. Res. Pract. 2018, 55, 353–372. [Google Scholar] [CrossRef]
- Maroto, M.E.; Snelling, A.; Linck, H. Food Insecurity Among Community College Students: Prevalence and Association with Grade Point Average. Community Coll. J. Res. Pract. 2015, 39, 515–526. [Google Scholar] [CrossRef]
- Zigmont, V.A.; Linsmeier, A.M.; Gallup, P. Understanding the Why of College Student Food Insecurity. J. Hunger Environ. Nutr. 2019, 16, 595–610. [Google Scholar] [CrossRef]
- Hege, A.; Stephenson, T.; Pennell, M.; Revlett, B.; VanMeter, C.; Stahl, D.; Oo, K.; Bressler, J.; Crosby, C. College Food Insecurity: Implications on Student Success and Applications for Future Practice. J. Stud. Aff. Res. Pract. 2021, 58, 44–61. [Google Scholar] [CrossRef]
- YEC Council Post: Do College Grades Predict Future Success? Available online: https://www.forbes.com/sites/theyec/2020/10/19/do-college-grades-predict-future-success/ (accessed on 3 December 2021).
- Key Attributes Employers Want to See on Students’ Resumes. Available online: https://www.naceweb.org/talent-acquisition/candidate-selection/key-attributes-employers-want-to-see-on-students-resumes/ (accessed on 3 December 2021).
- Martinez, S.M.; Esaryk, E.E.; Moffat, L.; Ritchie, L. Redefining Basic Needs for Higher Education: It’s More Than Minimal Food and Housing According to California University Students. Am. J. Health Promot. AJHP 2021, 35, 818–834. [Google Scholar] [CrossRef]
- Leung, C.W.; Farooqui, S.; Wolfson, J.A.; Cohen, A.J. Understanding the Cumulative Burden of Basic Needs Insecurities: Associations with Health and Academic Achievement Among College Students. Am. J. Health Promot. 2021, 35, 275–278. [Google Scholar] [CrossRef]
- Regents of the University of California. Special Committee on Basic Needs the University of California’s Next Phase of Improving Student Basic Needs; Regents of the University of California: Oakland, CA, USA, 2020; pp. 1–59. [Google Scholar]
- Martinez, S.M.; Maynard, K.; Ritchie, L. UC Global Food Initiative: Food and Housing Security at the University of California. p. 66. Available online: https://regents.universityofcalifornia.edu/regmeet/july16/e1attach.pdf (accessed on 4 December 2019).
- Kim, H.S.-R. CalFresh. Available online: https://aggiecompass.ucdavis.edu/get-calfresh (accessed on 1 January 2022).
- Chart Book: SNAP Helps Struggling Families Put Food on the Table. Available online: https://www.cbpp.org/research/food-assistance/chart-book-snap-helps-struggling-families-put-food-on-the-table (accessed on 30 June 2021).
- Goldrick-Rab, S.; Richardson, J.; Schneider, J.; Hernandez, A.; Cady, C. Still Hungry and Homeless in College. p. 52. Available online: https://www.bhcc.edu/media/03-documents/voicesofhunger/Wisconsin-HOPE-Lab-Still-Hungry-and-Homeless-April-2018.pdf (accessed on 9 January 2022).
- College & University Food Bank Alliance|Character Clearinghouse. Available online: https://characterclearinghouse.fsu.edu/article/college-university-food-bank-alliance (accessed on 1 January 2022).
- Freudenberg, N.; Goldrick-Rab, S.; Poppendieck, J. College Students and SNAP: The New Face of Food Insecurity in the United States. Am. J. Public Health 2019, 109, 1652–1658. [Google Scholar] [CrossRef]
- Loofbourrow, B.M.; Jones, A.M.; Chodur, G.M.; Martinez, S.M.; Kemp, L.C.; Scherr, R.E. Evaluating Knowledge, Attitudes, and Practices Regarding CalFresh Participation in University Students. Nutrients 2023, 15, 192. [Google Scholar] [CrossRef] [PubMed]
- Bruening, M.; van Woerden, I.; Todd, M.; Laska, M.N. Hungry to Learn: The Prevalence and Effects of Food Insecurity on Health Behaviors and Outcomes over Time among a Diverse Sample of University Freshmen. Int. J. Behav. Nutr. Phys. Act. 2018, 15, 9. [Google Scholar] [CrossRef] [PubMed]
- Cucinotta, D.; Vanelli, M. WHO Declares COVID-19 a Pandemic. Acta Bio-Med. Atenei Parm. 2020, 91, 157–160. [Google Scholar] [CrossRef]
- Niles, M.T.; Beavers, A.W.; Clay, L.A.; Dougan, M.M.; Pignotti, G.A.; Rogus, S.; Savoie-Roskos, M.R.; Schattman, R.E.; Zack, R.M.; Acciai, F.; et al. A Multi-Site Analysis of the Prevalence of Food Insecurity in the United States, before and during the COVID-19 Pandemic. Curr. Dev. Nutr. 2021, 5, nzab135. [Google Scholar] [CrossRef]
- Mialki, K.; House, L.A.; Mathews, A.E.; Shelnutt, K.P. COVID-19 and College Students: Food Security Status before and after the Onset of a Pandemic. Nutrients 2021, 13, 628. [Google Scholar] [CrossRef]
- Adapting to COVID-19—The Pantry. Available online: https://thepantry.ucdavis.edu/hours/ (accessed on 1 January 2022).
- Davitt, E.D.; Heer, M.M.; Winham, D.M.; Knoblauch, S.T.; Shelley, M.C. Effects of COVID-19 on University Student Food Security. Nutrients 2021, 13, 1932. [Google Scholar] [CrossRef]
- Economic Impact Payment. Available online: https://www.cdss.ca.gov/inforesources/cdss-programs/economic-impact-payment (accessed on 30 January 2022).
- Werdmuller, D. Higher Education Emergency Relief Funds. Available online: https://financialaid.ucdavis.edu/heerf (accessed on 29 December 2021).
- Beatty, P.; Willis, G. Research Synthesis: The Practice of Cognitive Interviewing|Public Opinion Quarterly|Oxford Academic. Available online: https://academic.oup.com/poq/article/71/2/287/1928986 (accessed on 9 February 2022).
- USDA ERS—Survey Tools. Available online: https://www.ers.usda.gov/topics/food-nutrition-assistance/food-security-in-the-us/survey-tools/#household (accessed on 25 May 2020).
- Dillman, D.; Smyth, J.; Christian, L. Internet, Mail, and Mixed-Mode Surveys the Tailored Design Method; John Wiley & Sons, Ltd.: Hoboken, NJ, USA, 2009. [Google Scholar]
- Coronavirus Updates. Available online: https://www.universityofcalifornia.edu/coronavirus (accessed on 1 January 2022).
- Checking In with Chancellor May: Here for You|UC Davis Leadership. Available online: https://leadership.ucdavis.edu/news/checking-in-with-chancellor-may-here-for-you (accessed on 5 February 2022).
- Bill Text—SB-173 CalFresh: Postsecondary Student Eligibility: Workstudy. Available online: https://leginfo.legislature.ca.gov/faces/billTextClient.xhtml?bill_id=201920200SB173&search_keywords=snap (accessed on 10 October 2020).



| Spring 2020 | Fall 2020 | Winter 2021 | Longitudinal Sample | |
|---|---|---|---|---|
| n (%) | n (%) | n (%) | n (%) | |
| Total Sample | 171 | 140 | 179 | 58 |
| Food Insecure †§ | 41 (24) | 26 (18.6) | 33 (18.4) | - |
| CalFresh Participation †§ | 41 (24.0) | 28 (20.0) | - | - |
| Median Quarter GPA | 3.88 | 3.76 | 3.9 | - |
| Demographic Characteristics | ||||
| Median Age | 21.0 | 21.0 | 21.0 | - |
| Female | 125 (73.1) | 105 (75.0) | 129 (72.1) | 40 (69.0) |
| Race/Ethnicity | ||||
| American Indian/Alaska Native | 3 (1.8) | 2 (1.4) | 3 (1.7) | 2 (3.4) |
| Black/African American | 3 (1.8) | 2 (1.4) | 4 (2.2) | 1 (1.7) |
| East Asian | 43 (25.1) | 42 (30.0) | 48 (26.8) | 17 (29.3) |
| Latino(a)/Chicano(a)/Hispanic | 37 (21.6) | 32 (22.9) | 34 (19.0) | 9 (15.5) |
| Middle Eastern/South Asian | 10 (5.8) | 9 (6.4) | 11 (6.1) | 6 (10.3) |
| Native Hawaiian/Pacific Islander | 3 (1.8) | 2 (1.4) | 2 (1.1) * | 2 (3.4) |
| Other Asian | 5 (2.9) | 3 (2.1) | 5 (2.8) | 1 (1.7) |
| Southeast Asian | 8 (4.7) ab | 11 (7.9) a | 19 (10.6) ab | 3 (5.2) |
| White/Caucasian | 57 (33.3) b | 34 (24.3) a | 49 (27.4) a | 16 (27.6) |
| First-Generation Student § | 86 (50.3) | 67 (47.9) | 75 (41.9) | 27 (45.8) |
| Transfer Student | 27 (15.8) | 17 (12.1) | 20 (11.2) | 7 (12.1) |
| Low-Income | 65 (38.0) | 53 (37.9) | 62 (34.6) * | 26 (44.8) |
| International | 11 (6.4) | 9 (6.4) | 9 (5.0) | 2 (3.4) |
| Out-of-State Resident | 16 (9.4) * | 10 (7.1) | 14 (7.8) | 2 (3.4) |
| Class Level (Fall 2019) | ||||
| Undergraduate Student | 135 (80.1) a | 120 (87.1) b | 140 (79.3) a | 49 (84.5) |
| Freshman | 22 (12.9) * | 24 (17.1) | 34 (19.0) | 13 (22.4) |
| Sophomore | 27 (15.8) | 26 (18.6) | 35 (19.6) | 9 (15.5) |
| Junior | 51 (29.8) a | 54 (38.6) b | 54 (30.2) a | 20 (34.5) |
| Senior | 37 (21.6) b* | 16 (11.4) a | 17 (9.5) a | 7 (12.1) |
| Graduate or Professional Student | 33 (19.3) a | 18 (12.9) b | 37 (20.7) a | 9 (15.5) |
| Spring 2020 | Spring 2020—Transformed GPA | ||||||
|---|---|---|---|---|---|---|---|
| Coeff | SE | p | Coeff | SE | p | ||
| Average Food Security Score | −0.1021 | 0.0223 | <0.001 | Average Food Security Score | −0.0371 | 0.01 | 0.0003 |
| CalFresh Participation | −0.0957 | 0.1135 | 0.4006 | CalFresh Participation | −0.0428 | 0.0511 | 0.4041 |
| Avg Food Security × CalFresh Participation | 0.0971 | 0.0365 | 0.0088 | Avg Food Security × CalFresh Participation | 0.0272 | 0.0164 | 0.1008 |
| Ethnicity | 0.0136 | 0.0136 | 0.3205 | Ethnicity | 0.0044 | 0.006 | 0.4724 |
| Female | −0.0547 | 0.0809 | 0.5008 | Female | −0.0286 | 0.0364 | 0.434 |
| Age | −0.0027 | 0.0229 | 0.9049 | Age | 0.0033 | 0.0103 | 0.7528 |
| Transfer Student | −0.0334 | 0.0963 | 0.7291 | Transfer Student | −0.0429 | 0.0434 | 0.3248 |
| First Generation Student | −0.0398 | 0.0797 | 0.6187 | First Generation Student | −0.0203 | 0.0359 | 0.572 |
| Low Income | −0.0215 | 0.0819 | 0.7935 | Low Income | 0.0011 | 0.0369 | 0.9762 |
| US Citizen | 0.0284 | 0.1985 | 0.8863 | US Citizen | 0.0016 | 0.0894 | 0.9861 |
| CA Resident | 0.3200 | 0.1582 | 0.0453 | CA Resident | 0.0992 | 0.0712 | 0.1665 |
| Academic Class Level | 0.0857 | 0.044 | 0.0538 | Academic Class Level | 0.0399 | 0.0198 | 0.0465 |
| Fall 2020 | Fall 2020—Transformed GPA | ||||||
| Coeff | SE | p | Coeff | SE | p | ||
| Average Food Security | −0.0672 | 0.0239 | 0.0059 | Average Food Security | −0.0241 | 0.0104 | 0.0229 |
| CalFresh Participation | −0.1966 | 0.1378 | 0.1564 | CalFresh Participation | −0.1128 | 0.06 | 0.0629 |
| Avg Food Security × CalFresh Participation | 0.0114 | 0.0464 | 0.8062 | Avg Food Security × CalFresh Participation | 0.0042 | 0.0202 | 0.8374 |
| Ethnicity | −0.0197 | 0.0164 | 0.2312 | Ethnicity | −0.0061 | 0.0071 | 0.3914 |
| Female | −0.1187 | 0.0981 | 0.229 | Female | −0.0898 | 0.0427 | 0.0381 |
| Age | 0.0118 | 0.0206 | 0.5683 | Age | 0.0052 | 0.009 | 0.5599 |
| Transfer Student | −0.0413 | 0.1343 | 0.759 | Transfer Student | −0.0410 | 0.0585 | 0.485 |
| First Generation Student | −0.1481 | 0.0963 | 0.1272 | First Generation Student | −0.0478 | 0.0419 | 0.2566 |
| Low Income | 0.0401 | 0.0977 | 0.6821 | Low Income | 0.0023 | 0.0426 | 0.9576 |
| US Citizen | 0.0669 | 0.2667 | 0.8024 | US Citizen | 0.0419 | 0.1162 | 0.7191 |
| CA Resident | −0.0513 | 0.2821 | 0.8561 | CA Resident | −0.0103 | 0.1229 | 0.9333 |
| Academic Class Level | −0.0133 | 0.0475 | 0.7795 | Academic Class Level | 0.0103 | 0.0207 | 0.6207 |
Disclaimer/Publisher’s Note: The statements, opinions and data contained in all publications are solely those of the individual author(s) and contributor(s) and not of MDPI and/or the editor(s). MDPI and/or the editor(s) disclaim responsibility for any injury to people or property resulting from any ideas, methods, instructions or products referred to in the content. |
© 2023 by the authors. Licensee MDPI, Basel, Switzerland. This article is an open access article distributed under the terms and conditions of the Creative Commons Attribution (CC BY) license (https://creativecommons.org/licenses/by/4.0/).
Share and Cite
Loofbourrow, B.M.; Jones, A.M.; Martinez, S.M.; Kemp, L.C.; George, G.L.; Scherr, R.E. Understanding the Role of CalFresh Participation and Food Insecurity on Academic Outcomes among College Students during the COVID-19 Pandemic. Nutrients 2023, 15, 898. https://doi.org/10.3390/nu15040898
Loofbourrow BM, Jones AM, Martinez SM, Kemp LC, George GL, Scherr RE. Understanding the Role of CalFresh Participation and Food Insecurity on Academic Outcomes among College Students during the COVID-19 Pandemic. Nutrients. 2023; 15(4):898. https://doi.org/10.3390/nu15040898
Chicago/Turabian StyleLoofbourrow, Brittany M., Anna M. Jones, Suzanna M. Martinez, Leslie C. Kemp, Gretchen L. George, and Rachel E. Scherr. 2023. "Understanding the Role of CalFresh Participation and Food Insecurity on Academic Outcomes among College Students during the COVID-19 Pandemic" Nutrients 15, no. 4: 898. https://doi.org/10.3390/nu15040898
APA StyleLoofbourrow, B. M., Jones, A. M., Martinez, S. M., Kemp, L. C., George, G. L., & Scherr, R. E. (2023). Understanding the Role of CalFresh Participation and Food Insecurity on Academic Outcomes among College Students during the COVID-19 Pandemic. Nutrients, 15(4), 898. https://doi.org/10.3390/nu15040898

