Inverse Relationship between Serum 25-Hydroxyvitamin D and Elevated Intraocular Pressure
Abstract
1. Introduction
2. Materials and Methods
2.1. Study Population
2.2. Intraocular Pressure Measurement
2.3. Serum 25(OH)D Measurement
2.4. Data Collection
2.5. Statistical Analysis
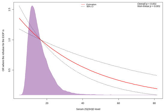
3. Results
4. Discussion
5. Conclusions
Supplementary Materials
Author Contributions
Funding
Institutional Review Board Statement
Informed Consent Statement
Data Availability Statement
Acknowledgments
Conflicts of Interest
References
- Flaxman, S.R.; Bourne, R.R.A.; Resnikoff, S.; Ackland, P.; Braithwaite, T.; Cicinelli, M.V.; Das, A.; Jonas, J.B.; Keeffe, J.; Kempen, J.H.; et al. Global causes of blindness and distance vision impairment 1990–2020: A systematic review and meta-analysis. Lancet Glob. Health 2017, 5, e1221–e1234. [Google Scholar] [CrossRef] [PubMed]
- Allison, K.; Patel, D.; Alabi, O. Epidemiology of Glaucoma: The Past, Present, and Predictions for the Future. Cureus 2020, 12, e11686. [Google Scholar] [CrossRef] [PubMed]
- Ahn, Y.; Jee, D. Socioeconomic Costs of Glaucoma in Korea. J. Korean Ophthalmol. Society 2018, 59, 665–671. [Google Scholar] [CrossRef]
- Izzotti, A.; Bagnis, A.; Saccà, S.C. The role of oxidative stress in glaucoma. Mutat. Res. 2006, 612, 105–114. [Google Scholar] [CrossRef]
- Baudouin, C.; Kolko, M.; Melik-Parsadaniantz, S.; Messmer, E.M. Inflammation in Glaucoma: From the back to the front of the eye, and beyond. Prog. Retin. Eye Res. 2021, 83, 100916. [Google Scholar] [CrossRef] [PubMed]
- Sigal, I.A.; Ethier, C.R. Biomechanics of the optic nerve head. Exp. Eye Res. 2009, 88, 799–807. [Google Scholar] [CrossRef]
- Strouthidis, N.G.; Girard, M.J. Altering the way the optic nerve head responds to intraocular pressure-a potential approach to glaucoma therapy. Curr. Opin. Pharm. 2013, 13, 83–89. [Google Scholar] [CrossRef]
- Park, S.A.; Komáromy, A.M. Biomechanics of the optic nerve head and sclera in canine glaucoma: A brief review. Vet. Ophthalmol. 2021, 24, 316–325. [Google Scholar] [CrossRef]
- Gordon, M.O.; Beiser, J.A.; Brandt, J.D.; Heuer, D.K.; Higginbotham, E.J.; Johnson, C.A.; Keltner, J.L.; Keltner, J.L.; Miller, J.P.; Parrish II, R.K.; et al. The Ocular Hypertension Treatment Study: Baseline factors that predict the onset of primary open-angle glaucoma. Arch. Ophthalmol. 2002, 120, 714–720. [Google Scholar] [CrossRef] [PubMed]
- Gordon, M.O.; Kass, M.A. What We Have Learned From the Ocular Hypertension Treatment Study. Am. J. Ophthalmol. 2018, 189, xxiv–xxvii. [Google Scholar] [CrossRef]
- Thomas, R.; George, R.; Parikh, R.; Muliyil, J.; Jacob, A. Five year risk of progression of primary angle closure suspects to primary angle closure: A population based study. Br. J. Ophthalmol. 2003, 87, 450–454. [Google Scholar] [CrossRef]
- Kim, C.S.; Seong, G.J.; Lee, N.H.; Song, K.C. Prevalence of primary open-angle glaucoma in central South Korea the Namil study. Ophthalmology 2011, 118, 1024–1030. [Google Scholar] [CrossRef] [PubMed]
- McMonnies, C.W. Glaucoma history and risk factors. J. Optom. 2017, 10, 71–78. [Google Scholar] [CrossRef]
- Calton, E.K.; Keane, K.N.; Newsholme, P.; Soares, M.J. The Impact of Vitamin D Levels on Inflammatory Status: A Systematic Review of Immune Cell Studies. PLoS ONE 2015, 10, e0141770. [Google Scholar] [CrossRef] [PubMed]
- Morris, H.; Anderson, P. Autocrine and Paracrine Actions of Vitamin D. Clin. Biochem. Rev./Aust. Assoc. Clin. Biochem. 2010, 31, 129–138. [Google Scholar]
- Amrein, K.; Scherkl, M.; Hoffmann, M.; Neuwersch-Sommeregger, S.; Köstenberger, M.; Tmava Berisha, A.; Martucci, G.; Pilz, S.; Malle, O. Vitamin D deficiency 2.0: An update on the current status worldwide. Eur. J. Clin. Nutr. 2020, 74, 1498–1513. [Google Scholar] [CrossRef]
- Park, J.-H.; Hong, I.Y.; Chung, J.W.; Choi, H.S. Vitamin D status in South Korean population: Seven-year trend from the KNHANES. Medicine 2018, 97, e11032. [Google Scholar] [CrossRef]
- Song, H.-R.; Kweon, S.-S.; Choi, J.-S.; Rhee, J.-A.; Lee, Y.-H.; Nam, H.-S.; Jeong, S.-K.; Park, K.-S.; Ryu, S.-Y.; Choi, S.-W.; et al. High Prevalence of Vitamin D Deficiency in Adults Aged 50 Years and Older in Gwangju, Korea: The Dong-gu Study. J Korean Med. Sci. 2014, 29, 149–152. [Google Scholar] [CrossRef]
- Baek, S.U.; Kee, C.; Suh, W. Longitudinal analysis of age-related changes in intraocular pressure in South Korea. Eye 2015, 29, 625–629. [Google Scholar] [CrossRef] [PubMed]
- Kim, H.T.; Kim, J.M.; Kim, J.H.; Lee, M.Y.; Won, Y.S.; Lee, J.Y.; Park, K.H. The Relationship between Vitamin D and Glaucoma: A Kangbuk Samsung Health Study. Korean J. Ophthalmol. 2016, 30, 426–433. [Google Scholar] [CrossRef]
- Holick, M.F.; Binkley, N.C.; Bischoff-Ferrari, H.A.; Gordon, C.M.; Hanley, D.A.; Heaney, R.P.; Murad, M.H.; Weaver, C.M. Evaluation, treatment, and prevention of vitamin D deficiency: An Endocrine Society clinical practice guideline. J. Clin. Endocrinol. Metab. 2011, 96, 1911–1930. [Google Scholar] [CrossRef] [PubMed]
- Caban, M.; Lewandowska, U. Vitamin D, the Vitamin D Receptor, Calcitriol Analogues and Their Link with Ocular Diseases. Nutrients 2022, 14, 2353. [Google Scholar] [CrossRef]
- Lv, Y.; Han, X.; Yao, Q.; Zhang, K.; Zheng, L.; Hong, W.; Xing, X. 1α,25-dihydroxyvitamin D3 attenuates oxidative stress-induced damage in human trabecular meshwork cells by inhibiting TGFβ-SMAD3-VDR pathway. Biochem. Biophys. Res. Commun. 2019, 516, 75–81. [Google Scholar] [CrossRef] [PubMed]
- Krefting, E.A.; Jorde, R.; Christoffersen, T.; Grimnes, G. Vitamin D and intraocular pressure--results from a case-control and an intervention study. Acta Ophthalmol. 2014, 92, 345–349. [Google Scholar] [CrossRef]
- Dewundara, S.S.; Wiggs, J.L.; Sullivan, D.A.; Pasquale, L.R. Is Estrogen a Therapeutic Target for Glaucoma? Semin. Ophthalmol. 2016, 31, 140–146. [Google Scholar] [CrossRef] [PubMed]
- Feola, A.J.; Sherwood, J.M.; Pardue, M.T.; Overby, D.R.; Ethier, C.R. Age and Menopause Effects on Ocular Compliance and Aqueous Outflow. Investig. Ophthalmol. Vis. Sci. 2020, 61, 16. [Google Scholar] [CrossRef] [PubMed]
- Ulhaq, Z.S. The association of estrogen-signaling pathways and susceptibility to open-angle glaucoma. Beni-Suef Univ. J. Basic Appl. Sci. 2020, 9, 7. [Google Scholar] [CrossRef]
- Fang, D.; Li, Q.; Yan, K.; Xu, S.; Jiang, J.; Che, X.; Zhang, Y.; Qian, Y.; Wang, Z. Retinal and Choroidal Thickness in relation to C-Reactive Protein on Swept-Source Optical Coherence Tomography. J. Immunol. Res. 2021, 2021, 6628224. [Google Scholar] [CrossRef]
- Lee, I.T.; Wang, J.-S.; Fu, C.-P.; Chang, C.-J.; Lee, W.-J.; Lin, S.-Y.; Sheu, W.H.-H. The synergistic effect of inflammation and metabolic syndrome on intraocular pressure: A cross-sectional study. Medicine 2017, 96, e7851. [Google Scholar] [CrossRef]
- Berridge, M.J. Vitamin D, reactive oxygen species and calcium signalling in ageing and disease. Philos. Trans. R. Soc. B Biol. Sci. 2016, 371, 20150434. [Google Scholar] [CrossRef]
- Boaventura, B.C.B.; Cembranel, F. Chapter 35—Protective effect of vitamin D on oxidative stress in elderly people. In Aging, 2nd ed.; Preedy, V.R., Patel, V.B., Eds.; Academic Press: Cambridge, MA, USA, 2020; pp. 337–343. Available online: https://doi.org/10.1016/B978-0-12-818698-5.00036-5 (accessed on 28 November 2022).
- Câmara, A.B.; Brandão, I.A. The relationship between vitamin D deficiency and oxidative stress can be independent of age and gender. Int. J. Vitam. Nutr. Res. 2021, 91, 108–123. [Google Scholar] [CrossRef] [PubMed]
- Ferrucci, L.; Fabbri, E. Inflammageing: Chronic inflammation in ageing, cardiovascular disease, and frailty. Nat. Rev. Cardiol. 2018, 15, 505–522. Available online: https://doi.org/10.1038/s41569-018-0064-2 (accessed on 28 November 2022).




| Variables | 25(OH)D Deficiency | 25(OH)D Insufficiency | 25(OH)D Sufficiency | p |
|---|---|---|---|---|
| (n = 9800) | (n = 3685) | (n = 1853) | ||
| Men, n (%) | 5409 (55.2%) | 2216 (60.1%) | 830 (44.8%) | <0.001 |
| Age, years | 46.3 ± 12.2 | 46.1 ± 12.3 | 46.2 ± 12.7 | 0.492 |
| BMI, kg/m2 | 24.1 ± 3.7 | 24.1 ± 3.3 | 23.1 ± 3.2 | <0.001 |
| SBP, mmHg | 120.4 ± 14.2 | 121.3 ± 13.8 | 120.5 ± 14.7 | 0.144 |
| DBP, mmHg | 73.2 ± 10.4 | 73.6 ± 10.2 | 73.0 ± 10.1 | 0.684 |
| Smoking status, n (%) | <0.001 | |||
| Non-smoker | 7060 (72.2%) | 2668 (72.5%) | 1404 (76.2%) | |
| Ex-smoker | 884 (9.0%) | 404 (11.0%) | 207 (11.2%) | |
| Current smoker | 1830 (18.7%) | 606 (16.5%) | 231 (12.5%) | |
| Current drinker, n (%) | 5349 (54.7%) | 2004 (54.5%) | 940 (51.0%) | 0.013 |
| Regular exerciser, n (%) | 1650 (16.9%) | 797 (21.7%) | 473 (25.7%) | <0.001 |
| Hematocrit, % | 43.1 ± 4.2 | 43.3 ± 3.9 | 42.8 ± 3.8 | 0.263 |
| Glucose, mg/dL | 91.6 ± 22.4 | 91.8 ± 18.9 | 92.0 ± 17.9 | 0.348 |
| LDL cholesterol, mg/dL | 120.9 ± 34.8 | 121.5 ± 35.6 | 118.1 ± 36.0 | 0.021 |
| hsCRP, mg/dL | 0.13 ± 0.28 | 0.13 ± 0.30 | 0.11 ± 0.21 | 0.046 |
| 25(OH)D Deficiency | 25(OH)D Insufficiency | 25(OH)D Sufficiency | |||
|---|---|---|---|---|---|
| EIOP | OR | OR (95% CI) | p-Value | OR (95% CI) | p |
| Unadjusted | 1 (reference) | 0.72 (0.57–0.92) | 0.008 | 0.47 (0.32–0.70) | <0.001 |
| Model 1 | 1 (reference) | 0.71 (0.56–0.91) | 0.006 | 0.56 (0.38–0.83) | 0.003 |
| Model 2 | 1 (reference) | 0.71 (0.56–0.90) | 0.005 | 0.55 (0.37–0.82) | 0.003 |
| Model 3 | 1 (reference) | 0.72 (0.56–0.92) | 0.009 | 0.51 (0.34–0.78) | 0.002 |
Disclaimer/Publisher’s Note: The statements, opinions and data contained in all publications are solely those of the individual author(s) and contributor(s) and not of MDPI and/or the editor(s). MDPI and/or the editor(s) disclaim responsibility for any injury to people or property resulting from any ideas, methods, instructions or products referred to in the content. |
© 2023 by the authors. Licensee MDPI, Basel, Switzerland. This article is an open access article distributed under the terms and conditions of the Creative Commons Attribution (CC BY) license (https://creativecommons.org/licenses/by/4.0/).
Share and Cite
Lee, J.-H.; Kwon, Y.-J.; Lee, H.S.; Han, J.H.; Joung, B.; Kim, S.J. Inverse Relationship between Serum 25-Hydroxyvitamin D and Elevated Intraocular Pressure. Nutrients 2023, 15, 423. https://doi.org/10.3390/nu15020423
Lee J-H, Kwon Y-J, Lee HS, Han JH, Joung B, Kim SJ. Inverse Relationship between Serum 25-Hydroxyvitamin D and Elevated Intraocular Pressure. Nutrients. 2023; 15(2):423. https://doi.org/10.3390/nu15020423
Chicago/Turabian StyleLee, Jun-Hyuk, Yu-Jin Kwon, Hye Sun Lee, Jee Hye Han, Boyoung Joung, and Sung Jin Kim. 2023. "Inverse Relationship between Serum 25-Hydroxyvitamin D and Elevated Intraocular Pressure" Nutrients 15, no. 2: 423. https://doi.org/10.3390/nu15020423
APA StyleLee, J.-H., Kwon, Y.-J., Lee, H. S., Han, J. H., Joung, B., & Kim, S. J. (2023). Inverse Relationship between Serum 25-Hydroxyvitamin D and Elevated Intraocular Pressure. Nutrients, 15(2), 423. https://doi.org/10.3390/nu15020423

