Abdominal Fat Characteristics and Mortality in Rectal Cancer: A Retrospective Study
Abstract
1. Introduction
2. Materials and Methods
2.1. Study Design, Population and Ethics
2.2. Clinical Data
2.3. Assessment of CT Adipose Tissue Characteristics
2.4. Outcome Measures
2.5. Statistical Analyses
3. Results
3.1. Study Population
3.2. Survival
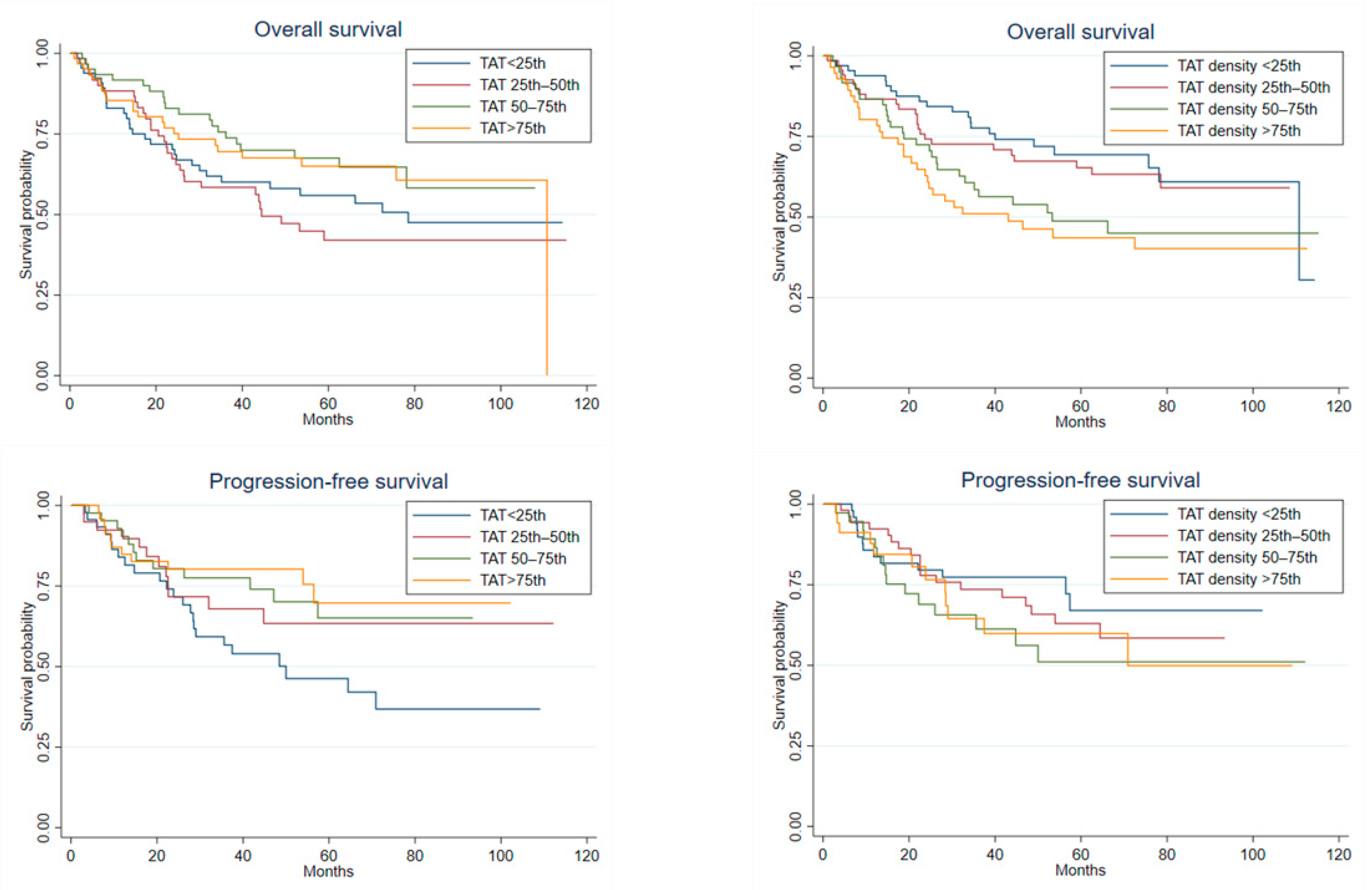
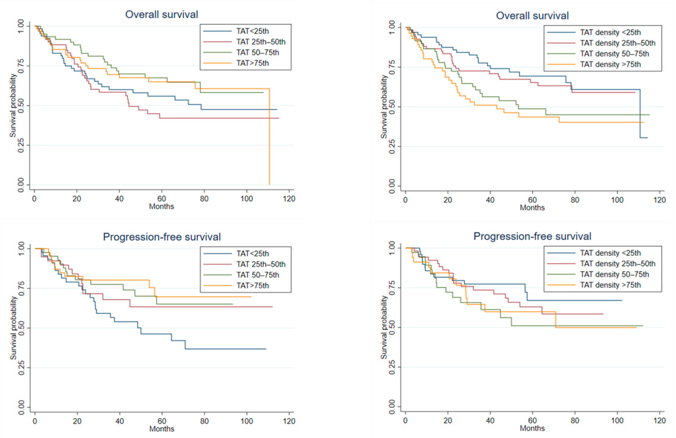
3.3. Impact of Body Fat Characteristics on Survival
3.4. Models including Both Density and Area
4. Discussion
5. Conclusions
Supplementary Materials
Author Contributions
Funding
Institutional Review Board Statement
Informed Consent Statement
Data Availability Statement
Conflicts of Interest
References
- Khazem, S.; Itani, L.; Kreidieh, D.; El Masri, D.; Tannir, H.; Citarella, R.; El Ghoch, M. Reduced Lean Body Mass and Cardiometabolic Diseases in Adult Males with Overweight and Obesity: A Pilot Study. Int. J. Environ. Res. Public Health 2018, 15, 2754. [Google Scholar] [CrossRef] [PubMed]
- El Ghoch, M.; Calugi, S.; Chignola, E.; Bazzani, P.V.; Dalle Grave, R. Body fat and menstrual resumption in adult females with anorexia nervosa: A 1-year longitudinal study. J. Hum. Nutr. Diet. 2016, 29, 662–666. [Google Scholar] [CrossRef] [PubMed]
- Lee, D.H.; Giovannucci, E.L. Body composition and mortality in the general population: A review of epidemiologic studies. Exp. Biol. Med. 2018, 243, 1275–1285. [Google Scholar] [CrossRef] [PubMed]
- Del Grande, M.; Rizzo, S.; Nicolino, G.M.; Colombo, I.; Rossi, L.; Manganaro, L.; Del Grande, F. Computed Tomography-Based Body Composition in Patients with Ovarian Cancer: Association With Chemotoxicity and Prognosis. Front. Oncol. 2021, 11, 718815. [Google Scholar] [CrossRef] [PubMed]
- Brown, J.C.; Cespedes Feliciano, E.M.; Caan, B.J. The evolution of body composition in oncology-epidemiology, clinical trials, and the future of patient care: Facts and numbers. J. Cachexia Sarcopenia Muscle 2018, 9, 1200–1208. [Google Scholar] [CrossRef]
- Renehan, A.G.; Tyson, M.; Egger, M.; Heller, R.F.; Zwahlen, M. Body-mass index and incidence of cancer: A systematic review and meta-analysis of prospective observational studies. Lancet 2008, 371, 569–578. [Google Scholar] [CrossRef]
- Ma, Y.; Yang, Y.; Wang, F.; Zhang, P.; Shi, C.; Zou, Y.; Qin, H. Obesity and risk of colorectal cancer: A systematic review of prospective studies. PLoS ONE 2013, 8, e53916. [Google Scholar] [CrossRef]
- Tateishi, R.; Okanoue, T.; Fujiwara, N.; Okita, K.; Kiyosawa, K.; Omata, M.; Kumada, H.; Hayashi, N.; Koike, K. Clinical characteristics, treatment, and prognosis of non-B, non-C hepatocellular carcinoma: A large retrospective multicenter cohort study. J. Gastroenterol. 2015, 50, 350–360. [Google Scholar] [CrossRef] [PubMed]
- Hakimi, A.A.; Furberg, H.; Zabor, E.C.; Jacobsen, A.; Schultz, N.; Ciriello, G.; Mikklineni, N.; Fiegoli, B.; Kim, P.H.; Voss, M.H.; et al. An epidemiologic and genomic investigation into the obesity paradox in renal cell carcinoma. J. Natl. Cancer Inst. 2013, 105, 1862–1870. [Google Scholar] [CrossRef] [PubMed]
- Nitsche, L.J.; Mukherjee, S.; Cheruvu, K.; Krabak, C.; Rachala, R.; Ratnakaram, K.; Sharma, P.; Singh, M.; Yendamuri, S. Exploring the Impact of the Obesity Paradox on Lung Cancer and Other Malignancies. Cancers 2022, 14, 1440. [Google Scholar] [CrossRef]
- Malietzis, G.; Aziz, O.; Bagnall, N.M.; Johns, N.; Fearon, K.C.; Jenkins, J.T. The role of body composition evaluation by computerized tomography in determining colorectal cancer treatment outcomes: A systematic review. Eur. J. Surg. Oncol. 2015, 41, 186–196. [Google Scholar] [CrossRef] [PubMed]
- Anciaux, M.; Van Gossum, A.; Wenglinski, C.; Ameye, L.; Guiot, T.; Flamen, P.; Demetter, P.; Deleporte, A.; Sclafani, F.; Donckier, V.; et al. Fat density is a novel prognostic marker in patients with esophageal cancer. Clin. Nutr. ESPEN 2020, 39, 124–130. [Google Scholar] [CrossRef]
- Lee, J.W.; Lee, S.M.; Chung, Y.A. Prognostic value of CT attenuation and FDG uptake of adipose tissue in patients with pancreatic adenocarcinoma. Clin. Radiol. 2018, 73, 1056.e1–1056.e10. [Google Scholar] [CrossRef] [PubMed]
- Ebadi, M.; Moctezuma-Velazquez, C.; Meza-Junco, J.; Baracos, V.E.; DunichandHoedl, A.R.; Ghosh, S.; Sarlieve, P.; Owen, R.J.; Kneteman, N.; Montano-Loza, A.J. Visceral Adipose Tissue Radiodensity Is Linked to Prognosis in Hepatocellular Carcinoma Patients Treated with Selective Internal Radiation Therapy. Cancers 2020, 12, 356. [Google Scholar] [CrossRef] [PubMed]
- Lee, J.W.; Ban, M.J.; Park, J.H.; Lee, S.M. Visceral adipose tissue volume and CT-attenuation as prognostic factors in patients with head and neck cancer. Head Neck 2019, 41, 1605–1614. [Google Scholar] [CrossRef] [PubMed]
- Veld, J.; Vossen, J.A.; De Amorim Bernstein, K.; Halpern, E.F.; Torriani, M.; Bredella, M.A. Adipose tissue and muscle attenuation as novel biomarkers predicting mortality in patients with extremity sarcomas. Eur. Radiol. 2016, 26, 4649–4655. [Google Scholar] [CrossRef] [PubMed]
- da Cunha, A.D.; Júnior Silveira, M.N.; Takahashi, M.E.S.; de Souza, E.M.; Mosci, C.; Ramos, C.D.; Brambilla, S.R.; Pericole, F.V.; Prado, C.M.; Mendes, M.C.S.; et al. Adipose tissue radiodensity: A new prognostic biomarker in people with multiple myeloma. Nutrition 2021, 86, 111141. [Google Scholar] [CrossRef] [PubMed]
- De Amorim Bernstein, K.; Bos, S.A.; Veld, J.; Lozano-Calderon, S.A.; Torriani, M.; Bredella, M.A. Body composition predictors of therapy response in patients with primary extremity soft tissue sarcomas. Acta Radiol. 2018, 59, 478–484. [Google Scholar] [CrossRef]
- Brown, J.C.; Caan, B.J.; Meyerhardt, J.A.; Weltzien, E.; Xiao, J.; Cespedes Feliciano, E.M.; Kroenke, C.H.; Castillo, A.; Kwan, M.L.; Prado, C.M. The deterioration of muscle mass and radiodensity is prognostic of poor survival in stage I-III colorectal cancer: A population-based cohort study (C-SCANS). J. Cachexia Sarcopenia Muscle 2018, 9, 664–672. [Google Scholar] [CrossRef]
- van Baar, H.; Beijer, S.; Bours, M.J.L.; Weijenberg, M.P.; van Zutphen, M.; van Duijnhoven, F.J.B.; Slooter, G.D.; Pruijt, J.F.M.; Dronkers, J.J.; Haringhuizen, A.; et al. Low radiographic muscle density is associated with lower overall and disease-free survival in early-stage colorectal cancer patients. J. Cancer Res. Clin. Oncol. 2018, 144, 2139–2147. [Google Scholar] [CrossRef]
- Cárcamo, L.; Peñailillo, E.; Bellolio, F.; Miguieles, R.; Urrejola, G.; Zúñiga, A.; Molina, M.E.; Larach, J.T. Computed tomography-measured body composition parameters do not influence survival in non-metastatic colorectal cancer. ANZ J. Surg. 2021, 91, E298–E306. [Google Scholar] [CrossRef] [PubMed]
- Feliciano, E.M.C.; Winkels, R.M.; Meyerhardt, J.A.; Prado, C.M.; Afman, L.A.; Caan, B.J. Abdominal adipose tissue radiodensity is associated with survival after colorectal cancer. Am. J. Clin. Nutr. 2021, 114, 1917–1924. [Google Scholar] [CrossRef] [PubMed]
- Wong, M.C.S.; Huang, J.; Lok, V.; Wang, J.; Fung, F.; Ding, H.; Zheng, Z.J. Differences in Incidence and Mortality Trends of Colorectal Cancer Worldwide Based on Sex, Age, and Anatomic Location. Clin. Gastroenterol. Hepatol. 2021, 19, 955–966.e61. [Google Scholar] [CrossRef] [PubMed]
- Shah, R.V.; Allison, M.A.; Lima, J.A.; Abbasi, S.A.; Eisman, A.; Lai, C.; Jerosch-Herold, M.; Budoff, M.; Murthy, V.L. Abdominal fat radiodensity, quantity and cardiometabolic risk: The Multi-Ethnic Study of Atherosclerosis. Nutr. Metab. Cardiovasc. Dis. 2016, 26, 114–122. [Google Scholar] [CrossRef]
- Besutti, G.; Massaro, F.; Bonelli, E.; Braglia, L.; Casali, M.; Versari, A.; Ligabue, G.; Pattacini, P.; Cavuto, S.; Merlo, D.F.; et al. Prognostic Impact of Muscle Quantity and Quality and Fat Distribution in Diffuse Large B-Cell Lymphoma Patients. Front. Nutr. 2021, 8, 620696. [Google Scholar] [CrossRef]
- Fine, J.P.; Gray, R.J. A proportional hazards model for the subdistribution of a competing risk. J. Am. Stat. Assoc. 1999, 94, 496–509. [Google Scholar] [CrossRef]
- Rosenquist, K.J.; Pedley, A.; Massaro, J.M.; Therkelsen, K.E.; Murabito, J.M.; Hoffmann, U.; Fox, C.S. Visceral and subcutaneous fat quality and cardiometabolic risk. JACC Cardiovasc. Imaging 2013, 6, 762–771. [Google Scholar] [CrossRef]
- Ruan, G.T.; Yang, M.; Zhang, X.W.; Song, M.M.; Hu, C.L.; Ge, Y.Z.; Xie, H.L.; Liu, T.; Tang, M.; Zhang, Q.; et al. Association of Systemic Inflammation and Overall Survival in Elderly Patients with Cancer Cachexia—Results from a Multicenter Study. J. Inflamm. Res. 2021, 14, 5527–5540. [Google Scholar] [CrossRef]
- van Vugt, J.L.; Levolger, S.; Gharbharan, A.; Koek, M.; Niessen, W.J.; Burger, J.W.; Willemsen, S.P.; de Bruin, R.W.; IJzermans, J.N. A comparative study of software programmes for cross-sectional skeletal muscle and adipose tissue measurements on abdominal computed tomography scans of rectal cancer patients. J. Cachexia Sarcopenia Muscle 2017, 8, 285–297. [Google Scholar] [CrossRef]
- Gao, B.; Liu, Y.; Ding, C.; Liu, S.; Chen, X.; Bian, X. Comparison of visceral fat area measured by CT and bioelectrical impedance analysis in Chinese patients with gastric cancer: A cross-sectional study. BMJ Open 2020, 10, e036335. [Google Scholar] [CrossRef]
- Mangone, L.; Marinelli, F.; Bisceglia, I.; Braghiroli, M.B.; Damato, A.; Pinto, C. Five-year relative survival by stage of breast and colon cancers in northern Italy. Front. Oncol. 2022, 12, 982461. [Google Scholar] [CrossRef] [PubMed]



| Clinical Characteristics | All Patients (n = 274) | Cancer-Specific Deaths (n = 116, 42.3%) | Progression or Death from Any Cause * (n = 63, 32.0%) |
|---|---|---|---|
| Age at diagnosis (years) | 70 (59–79) | 74 (61–81) | 65 (52–76) |
| Female sex (%) | 113 (41.2%) | 48 (41.4%) | 28 (44.4%) |
| Stage | |||
| II | 41 (15.0%) | 11 (9.5%) | 9 (14.3%) |
| III | 161 (58.7%) | 49 (42.2%) | 54 (85.7%) |
| IV | 72 (26.3%) | 56 (48.3%) | |
| BMI (kg/m2) | 21.2 (19.0–23.8) | 20.3 (19.0–22.0) | 20 (16.8–21.9) |
| <20 | 63 (23.0%) | 25 (21.6%) | 16 (25.4%) |
| 20–24.9 | 75 (27.4%) | 27 (23.3%) | 18 (28.6%) |
| ≥25 | 31 (11.3%) | 5 (4.3%) | 1 (1.6%) |
| Missing | 105 (38.3%) | 59 (50.9%) | 28 (44.4%) |
| Adipose tissue parameters | |||
| TAT area (cm2) | 326 (219–445) | 288 (205–432) | 262 (167–417) |
| TAT density (HU) | −92 (−98–−85) | −91 (−96–−84) | −92 (−96–−85) |
| VAT area (cm2) | 142 (84–221) | 137 (77–216) | 120 (55–177) |
| VAT density (HU) | −89 (−95–−80) | −87 (−94–−79) | −88 (−94–−78) |
| SAT area (cm2) | 148 (103–204) | 142 (99–189) | 140 (78–186) |
| SAT density (HU) | −97 (−102–−91) | −95 (−102–−89) | −97 (−102–−91) |
| Therapy | |||
| Neoadjuvant therapy (CT and/or RT) | 135 (49.3%) | 33 (28.5%) | 43 (68.3%) |
| Surgery | 181 (66.1%) | 48 (41.4%) | 57 (90.5%) |
| Adjuvant therapy (CT and/or RT) | 117 (42.7%) | 31 (26.7%) | 37 (58.7%) |
| Palliative therapy (CT and/or RT) | 60 (21.9%) | 41 (35.3%) | 3 (4.8%) |
| None | 28 (10.2%) | 23 (19.8%) | 2 (3.2%) |
| Unknown | 4 (1.5%) | 2 (1.7%) | 0 |
| CSS | CSS (without Stage IV) | PFS | |||||||||||||
|---|---|---|---|---|---|---|---|---|---|---|---|---|---|---|---|
| Pts | Events | SHR | 95% CI | p | Pts | Events | SHR | 95% CI | p | Pts | Events | SHR | 95% CI | p | |
| TAT I quartile (<219 cm2) | 65 | 30 | 2.08 | 1.13–3.82 | 0.02 | 48 | 19 | 2.03 | 0.94–4.38 | 0.07 | |||||
| TAT II quartile (221–326 cm2) | 60 | 31 | 1.85 | 1.07–3.21 | 0.03 | 41 | 13 | 1.35 | 0.59–3.09 | 0.48 | |||||
| TAT III quartile (327–445 cm2) | 62 | 20 | 1 (ref) | 47 | 11 | 1 (ref) | |||||||||
| TAT IV quartile (>445 cm2) | 62 | 22 | 1.35 | 0.72–2.55 | 0.35 | 51 | 13 | 1.03 | 0.46–2.3 | 0.95 | |||||
| TAT (one cm2 increase) | 182 | 58 | 0.998 | 0.996–1.000 | 0.07 | ||||||||||
| TAT density (one HU increase) | 249 | 103 | 1.03 | 1.01–1.05 | 0.002 | 187 | 56 | 1.04 | 1.02–1.07 | 0.002 | 182 | 58 | 1.023 | 1.00–1.05 | 0.05 |
| VAT (one cm2 increase) | 255 | 108 | 0.998 | 0.996–1.001 | 0.160 | 191 | 59 | 0.998 | 0.995–1.000 | 0.072 | 186 | 60 | 0.997 | 0.994–1.000 | 0.07 |
| VAT density (one HU increase) | 252 | 108 | 1.02 | 1.002–1.038 | 0.027 | 188 | 59 | 1.025 | 1.003–1.047 | 0.023 | 183 | 60 | 1.014 | 0.993–1.035 | 0.20 |
| SAT (one cm2 increase) | 250 | 104 | 0.997 | 0.994–1.000 | 0.057 | 187 | 56 | 0.997 | 0.993–1.000 | 0.066 | 182 | 58 | 0.997 | 0.994–1.001 | 0.12 |
| SAT density (one HU increase) | 250 | 104 | 1.03 | 1.011–1.050 | 0.002 | 187 | 56 | 1.032 | 1.010–1.055 | 0.004 | 182 | 58 | 1.015 | 0.993–1.038 | 0.18 |
| VAT/SAT ratio (one unit increase) | 250 | 104 | 0.91 | 0.697–1.199 | 0.518 | 187 | 56 | 0.802 | 0.566–1.137 | 0.216 | 182 | 58 | 0.953 | 0.54–1.68 | 0.87 |
| CSS | CSS (without Stage IV) | PFS | |||||||||||||
|---|---|---|---|---|---|---|---|---|---|---|---|---|---|---|---|
| Pts | Events | SHR | 95% CI | p | Pts | Events | SHR | 95% CI | p | Pts | Events | SHR | 95% CI | p | |
| Model TAT | 249 | 103 | 187 | 56 | 182 | 58 | |||||||||
| TAT I quartile (<219 cm2) | 1.29 | 0.61–2.74 | 0.51 | 1.27 | 0.50–3.22 | 0.61 | |||||||||
| TAT II quartile (221–326 cm2) | 1.54 | 0.87–2.75 | 0.14 | 1.12 | 0.47–2.67 | 0.80 | |||||||||
| TAT III quartile (327–445 cm2) | 1 (ref) | 1 (ref) | |||||||||||||
| TAT IV quartile (>445 cm2) | 1.63 | 0.84–3.16 | 0.15 | 1.29 | 0.56–2.99 | 0.56 | |||||||||
| TAT (one cm2 increase) | 0.999 | 0.996–1.001 | 0.27 | ||||||||||||
| TAT density (one HU increase) | 1.03 | 1.00–1.07 | 0.03 | 1.04 | 1.00–1.07 | 0.03 | 1.007 | 0.973–1.043 | 0.69 | ||||||
| Model VAT | 252 | 108 | 188 | 59 | 183 | 60 | |||||||||
| VAT (one cm2 increase) | 1.00 | 0.997–1.003 | 0.82 | 0.999 | 0.996–1.003 | 0.66 | 0.997 | 0.992–1.001 | 0.17 | ||||||
| VAT density (one HU increase) | 1.022 | 0.996–1.050 | 0.10 | 1.020 | 0.990–1.052 | 0.20 | 0.998 | 0.969–1.028 | 0.89 | ||||||
| Model SAT | 250 | 104 | 187 | 56 | 182 | 58 | |||||||||
| SAT (one cm2 increase) | 1.000 | 0.997–1.003 | 0.95 | 0.999 | 0.996–1.003 | 0.67 | 0.997 | 0.993–1.001 | 0.21 | ||||||
| SAT density (one HU increase) | 1.029 | 1.003–1.056 | 0.03 | 1.029 | 1.000–1.058 | 0.05 | 1.002 | 0.974–1.031 | 0.89 | ||||||
Disclaimer/Publisher’s Note: The statements, opinions and data contained in all publications are solely those of the individual author(s) and contributor(s) and not of MDPI and/or the editor(s). MDPI and/or the editor(s) disclaim responsibility for any injury to people or property resulting from any ideas, methods, instructions or products referred to in the content. |
© 2023 by the authors. Licensee MDPI, Basel, Switzerland. This article is an open access article distributed under the terms and conditions of the Creative Commons Attribution (CC BY) license (https://creativecommons.org/licenses/by/4.0/).
Share and Cite
Pellegrini, M.; Besutti, G.; Ottone, M.; Canovi, S.; Bonelli, E.; Venturelli, F.; Farì, R.; Damato, A.; Bonelli, C.; Pinto, C.; et al. Abdominal Fat Characteristics and Mortality in Rectal Cancer: A Retrospective Study. Nutrients 2023, 15, 374. https://doi.org/10.3390/nu15020374
Pellegrini M, Besutti G, Ottone M, Canovi S, Bonelli E, Venturelli F, Farì R, Damato A, Bonelli C, Pinto C, et al. Abdominal Fat Characteristics and Mortality in Rectal Cancer: A Retrospective Study. Nutrients. 2023; 15(2):374. https://doi.org/10.3390/nu15020374
Chicago/Turabian StylePellegrini, Massimo, Giulia Besutti, Marta Ottone, Simone Canovi, Efrem Bonelli, Francesco Venturelli, Roberto Farì, Angela Damato, Candida Bonelli, Carmine Pinto, and et al. 2023. "Abdominal Fat Characteristics and Mortality in Rectal Cancer: A Retrospective Study" Nutrients 15, no. 2: 374. https://doi.org/10.3390/nu15020374
APA StylePellegrini, M., Besutti, G., Ottone, M., Canovi, S., Bonelli, E., Venturelli, F., Farì, R., Damato, A., Bonelli, C., Pinto, C., Ligabue, G., Pattacini, P., Giorgi Rossi, P., & El Ghoch, M. (2023). Abdominal Fat Characteristics and Mortality in Rectal Cancer: A Retrospective Study. Nutrients, 15(2), 374. https://doi.org/10.3390/nu15020374

