Nitrogen Balance at the Recommended Dietary Allowance for Protein in Minimally Active Male Vegans
Abstract
1. Introduction
2. Materials and Methods
2.1. Participants and Study Design
2.2. Diet and Urine Analysis
2.3. Statistical Analysis
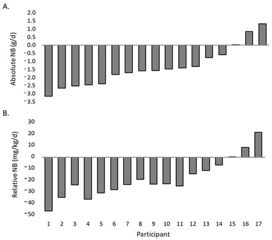
3. Results
3.1. Participant Characteristics
3.2. Nitrogen Balance
4. Discussion
5. Conclusions
Author Contributions
Funding
Institutional Review Board Statement
Informed Consent Statement
Data Availability Statement
Conflicts of Interest
References
- Stahler, C. How Many People Are Vegan? How Many Eat Vegan When Eating Out? Asks the Vegetarian Resource Group. The Vegetarian Resource Group. Available online: https://www.vrg.org/nutshell/Polls/2019_adults_veg.htm (accessed on 23 June 2023).
- Hopwood, C.J.; Bleidorn, W.; Schwaba, T.; Chen, S. Health, environmental, and animal rights motives for vegetarian eating. PLoS ONE 2020, 15, e0230609. [Google Scholar] [CrossRef] [PubMed]
- Dinu, M.; Abbate, R.; Gensini, G.F.; Casini, A.; Sofi, F. Vegetarian, vegan diets and multiple health outcomes: A systematic review with meta-analysis of observational studies. Crit. Rev. Food Sci. Nutr. 2017, 57, 3640–3649. [Google Scholar] [CrossRef] [PubMed]
- Oussalah, A.; Levy, J.; Berthezène, C.; Alpers, D.H.; Guéant, J.L. Health outcomes associated with vegetarian diets: An umbrella review of systematic reviews and meta-analyses. Clin. Nutr. 2020, 39, 3283–3307. [Google Scholar] [CrossRef] [PubMed]
- Jabri, A.; Kumar, A.; Verghese, E.; Alameh, A.; Kumar, A.; Khan, M.S.; Khan, S.U.; Michos, E.D.; Kapadia, S.R.; Reed, G.W.; et al. Meta-analysis of effect of vegetarian diet on ischemic heart disease and all-cause mortality. Am. J. Prev. Cardiol. 2021, 7, 100182. [Google Scholar] [CrossRef]
- Mihrshahi, S.; Ding, D.; Gale, J.; Allman-Farinelli, M.; Banks, E.; Bauman, A.E. Vegetarian diet and all-cause mortality: Evidence from a large population-based Australian cohort—The 45 and Up Study. Prev. Med. 2017, 97, 1–7. [Google Scholar] [CrossRef]
- Melina, V.; Craig, W.; Levin, S. Position of the Academy of Nutrition and Dietetics: Vegetarian diets. J. Acad. Nutr. Diet. 2016, 116, 1970–1980. [Google Scholar] [CrossRef]
- Key, T.J.; Appleby, P.N.; Rosell, M.S. Health effects of vegetarian and vegan diets. Proc. Nutr. Soc. 2006, 65, 35–41. [Google Scholar] [CrossRef]
- Mariotti, F.; Gardner, C.D. Dietary Protein and Amino Acids in Vegetarian Diets-A Review. Nutrients 2019, 11, 2661. [Google Scholar] [CrossRef]
- Kniskern, M.A.; Johnston, C.S. Protein dietary reference intakes may be inadequate for vegetarians if low amounts of animal protein are consumed. Nutrition 2011, 27, 727–730. [Google Scholar] [CrossRef]
- Young, V.R.; Pellett, P.L. Plant proteins in relation to human protein and amino acid nutrition. Am. J. Clin. Nutr. 1994, 59 (Suppl. S5), 1203S–1212S. [Google Scholar] [CrossRef]
- Berrazaga, I.; Micard, V.; Gueugneau, M.; Walrand, S. The Role of the Anabolic Properties of Plant- versus Animal-Based Protein Sources in Supporting Muscle Mass Maintenance: A Critical Review. Nutrients 2019, 1, 1825. [Google Scholar] [CrossRef]
- Gilani, S.G.; Xiao, C.W.; Cockell, K.A. Impact of antinutritional factors in food proteins on the digestibility of protein and the bioavailability of amino acids and on protein quality. Br. J. Nutr. 2012, 108 (Suppl. S2), S315–S332. [Google Scholar] [CrossRef]
- Dietary Protein Quality Evaluation in Human Nutrition. Food and Agriculture Organization of the United Nations. Available online: https://www.fao.org/ag/humannutrition/35978-02317b979a686a57aa4593304ffc17f06.pdf (accessed on 23 June 2023).
- Wolfe, R.R.; Rutherfurd, S.M.; Kim, I.Y.; Moughan, P.J. Protein quality as determined by the Digestible Indispensable Amino Acid Score: Evaluation of factors underlying the calculation. Nutr. Rev. 2016, 74, 584–599. [Google Scholar] [CrossRef]
- Mathai, J.K.; Liu, Y.; Stein, H.H. Values for digestible indispensable amino acid scores (DIAAS) for some dairy and plant proteins may better describe protein quality than values calculated using the concept for protein digestibility-corrected amino acid scores (PDCAAS). Br. J. Nutr. 2017, 117, 490–499. [Google Scholar] [CrossRef]
- Tang, J.E.; Moore, D.R.; Kujbida, G.W.; Tarnopolsky, M.A.; Phillips, S.M. Ingestion of whey hydrolysate, casein, or soy protein isolate: Effects on mixed muscle protein synthesis at rest and following resistance exercise in young men. J. Appl. Phys. 2009, 107, 987–992. [Google Scholar] [CrossRef] [PubMed]
- Gorissen, S.H.M.; Horstman, A.M.H.; Franssen, R.; Crombag, J.J.R.; Langer, H.; Bierau, J.; Respondek, F.; van Loon, L.J.C. Ingestion of wheat protein increases in vivo muscle protein synthesis rates in healthy older men in a randomized trial. J. Nutr. 2016, 146, 1651–1659. [Google Scholar] [CrossRef] [PubMed]
- Rand, W.M.; Pellett, P.L.; Young, V.R. Meta-analysis of nitrogen balance studies for estimating protein requirements in healthy adults. Am. J. Clin. Nutr. 2003, 77, 109–127. [Google Scholar] [CrossRef]
- Institute of Medicine. Dietary Reference Intakes: The Essential Guide to Nutrient Requirements; Otten, J.J., Hellwig, P., Meyers, L.D., Eds.; The National Academies Press: Washington, DC, USA, 2006. [Google Scholar] [CrossRef]
- Calloway, D.H.; Kurzer, M.S. Menstrual cycle and protein requirements of women. J. Nutr. 1982, 112, 356–366. [Google Scholar] [CrossRef]
- Draper, C.F.; Duisters, K.; Weger, B.; Chakrabarti, A.; Harms, A.C.; Brennan, L.; Hankemeier, T.; Goulet, L.; Konz Martin, F.P.; Moco, S.; et al. Menstrual cycle rhythmicity: Metabolic patterns in healthy women. Sci. Rep. 2018, 8, 14568. [Google Scholar] [CrossRef] [PubMed]
- Walter-Kroker, A.; Kroker, A.; Mattiucci-Guehlke, M.; Glaab, T. A practical guide to bioelectrical impedance analysis using the example of chronic obstructive pulmonary disease. Nutr. J. 2011, 10, 35. [Google Scholar] [CrossRef] [PubMed]
- Godin, G. The Godin-Shephard leisure-time physical activity questionnaire. Health Fitness J. BC 2011, 4, 18–22. [Google Scholar]
- Richter, M.; Baerlocher, K.; Bauer, J.M.; Elmadfa, I.; Heseker, H.; Leschik-Bonnet, E.; Stangl, G.; Volkert, D.; Stehle, P. Revised reference values for the intake of protein. Ann. Nutr. Metab. 2019, 74, 242–250. [Google Scholar] [CrossRef] [PubMed]
- Dickerson, R.N. Using nitrogen balance in clinical practice. Hosp. Pharm. 2005, 40, 1081–1087. [Google Scholar] [CrossRef]
- Food and Nutrition Board; Institute of Medicine. Dietary Reference Intakes for Energy, Carbohydrate, Fiber, Fat, Fatty Acids, Cholesterol, Protein, and Amino Acids; The National Academies Press: Washington, DC, USA, 2005; p. 635. [Google Scholar]
- Rojas Conzuelo, Z.; Bez, N.S.; Theobald, S.; Kopf-Bolanz, K.A. Protein Quality Changes of Vegan Day Menus with Different Plant Protein Source Compositions. Nutrients 2022, 14, 1088. [Google Scholar] [CrossRef] [PubMed]
- Yáñez, E.; Uauy, R.; Zacarías, I.; Barrera, G. Long-term validation of 1 g of protein per kilogram body weight from a predominantly vegetable mixed diet to meet the requirements of young adult males. J. Nutr. 1986, 116, 865–872. [Google Scholar] [CrossRef]
- Register, U.D.; Inano, M.; Thurston, C.E.; Vyhmeister, I.B.; Dysinger, P.W.; Blankenship, J.W.; Horning, M.C. Nitrogen-balance studies in human subjects on various diets. Am. J. Clin. Nutr. 1967, 20, 753–759. [Google Scholar] [CrossRef]
- Kondrup, J. Basic concepts in nutrition: Energy and protein balance. Clin. Nutr. ESPEN 2008, 3, E117–E120. [Google Scholar] [CrossRef]
- Wu, G. Dietary protein intake and human health. Food Funct. 2016, 7, 1251–1265. [Google Scholar] [CrossRef]
- Nishimura, Y.; Højfeldt, G.; Breen, L.; Tetens, I.; Holm, L. Dietary protein requirements and recommendations for healthy older adults: A critical narrative review of the scientific evidence. Nutr. Res. Rev. 2023, 36, 69–85. [Google Scholar] [CrossRef]
- Mathewson, S.L.; Azevedo, P.S.; Gordon, A.L.; Phillips, B.E.; Greig, C.A. Overcoming protein-energy malnutrition in older adults in the residential care setting: A narrative review of causes and interventions. Ageing Res. Rev. 2021, 70, 101401. [Google Scholar] [CrossRef]
- Mitchell, W.K.; Williams, J.; Atherton, P.; Larvin, M.; Lund, J.; Narici, M. Sarcopenia, dynapenia, and the impact of advancing age on human skeletal muscle size and strength; a quantitative review. Front. Phys. 2012, 3, 260. [Google Scholar] [CrossRef] [PubMed]
- Walston, J.D. Sarcopenia in older adults. Curr. Opin. Rheumatol. 2012, 24, 623–627. [Google Scholar] [CrossRef] [PubMed]
- Huang, R.Y.; Yang, K.C.; Chang, H.H.; Lee, L.T.; Lu, C.W.; Huang, K.C. The Association between Total Protein and Vegetable Protein Intake and Low Muscle Mass among the Community-Dwelling Elderly Population in Northern Taiwan. Nutrients 2016, 8, 373. [Google Scholar] [CrossRef] [PubMed]
- Bauer, J.; Biolo, G.; Cederholm, T.; Cesari, M.; Cruz-Jentoft, A.J.; Morley, J.E.; Phillips, S.; Sieber, C.; Stehle, P.; Teta, D.; et al. Evidence-based recommendations for optimal dietary protein intake in older people: A position paper from the PROT-AGE Study Group. J. Am. Med. Dir. Assoc. 2013, 14, 542–559. [Google Scholar] [CrossRef]
- Morley, J.E.; Argiles, J.M.; Evans, W.J.; Bhasin, S.; Cella, D.; Deutz, N.E.; Doehner, W.; Fearon, K.C.; Ferrucci, L.; Hellerstein, M.K.; et al. Nutritional recommendations for the management of sarcopenia. J. Am. Med. Dir. Assoc. 2010, 11, 391–396. [Google Scholar] [CrossRef]
- Vanacore, D.; Messina, G.; Lama, S.; Bitti, G.; Ambrosio, P.; Tenore, G.; Messina, A.; Monda, V.; Zappavigna, S.; Boccellino, M.; et al. Effect of restriction vegan diet’s on muscle mass, oxidative status, and myocytes differentiation: A pilot study. J. Cell Physiol. 2018, 233, 9345–9353. [Google Scholar] [CrossRef]
- Aubertin-Leheudre, M.; Adlercreutz, H. Relationship between animal protein intake and muscle mass index in healthy women. Br. J. Nutr. 2009, 102, 1803–1810. [Google Scholar] [CrossRef]
- Caso, G.; Scalfi, L.; Marra, M.; Covino, A.; Muscaritoli, M.; McNurlan, M.A.; Garlick, P.J.; Contaldo, F. Albumin synthesis is diminished in men consuming a predominantly vegetarian diet. J. Nutr. 2000, 130, 528–533. [Google Scholar] [CrossRef]
- Monteyne, A.J.; Dunlop, M.V.; Machin, D.J.; Coelho, M.O.C.; Pavis, G.F.; Porter, C.; Murton, A.J.; Abdelrahman, D.R.; Dirks, M.L.; Stephens, F.B.; et al. A mycoprotein-based high-protein vegan diet supports equivalent daily myofibrillar protein synthesis rates compared with an isonitrogenous omnivorous diet in older adults: A randomised controlled trial. Br. J. Nutr. 2021, 126, 674–684. [Google Scholar] [CrossRef]


| Vegan Example Menu | |||
|---|---|---|---|
| Protein (g) | Energy (kcal) | ||
| Breakfast | Orgain Protein Shake | 20 | 150 |
| Cinnamon Raisin Bagel | 9 | 280 | |
| Peanut Butter (2 T) | 8 | 180 | |
| Apple | 0 | 65 | |
| Lunch | Amy’s Indian Vegetable Korma | 9 | 330 |
| Dried Pineapple (2 servings) | 0 | 280 | |
| Dinner | Sweet Earth General Tso’s Tofu | 10 | 330 |
| Trader Joes Dried Mango (1/2 package) | 0 | 280 | |
| Peanut Butter (2 T) | 8 | 180 | |
| Fruit Snacks (2 packages) | 0 | 160 | |
| Total | 64 | 2235 | |
| 2 large celery stalks |
| 2 cups shredded romaine lettuce |
| ½ cucumber |
| 1 medium tomato |
| ½ cup sugar snap peas |
| 1 carrot |
| 1 cup jicama sticks |
| 1 peach |
| ½ grapefruit |
| 1 cup winter mix vegetables |
| 1 cup Tuscan-style vegetables |
| 1 cup mixed broccoli, cauliflower, and carrots |
| ¾ cup whole green beans |
| N = 17 | |
|---|---|
| Age (years) | 31.6 ± 6.2 |
| Years vegan (years) | 7.1 ± 6.5 |
| Height (cm) | 176.6 ± 8.1 |
| Weight (kg) | 75.5 ± 13.7 |
| Waist circumference (cm) | 85.9 ± 10.5 |
| Hip circumference (cm) | 101.3 ± 8.3 |
| Fat-free mass (kg) | 60.0 ± 7.5 |
| Fat mass (kg) | 15.1 ± 8.2 |
| Body fat (%) | 19.2 ± 7.2 |
| Body mass index (kg/m2) | 24.2 ± 3.8 |
| Physical activity (METs × hours/week) | 18.1 ± 28.2 |
| Maintenance energy (kcal/d) | 2377 ± 362 |
| Protein requirement (g/d) | 60.9 ± 10.5 |
| Nitrogen balance (g/d) | −1.38 ± 1.22 * |
| Nitrogen balance (mg/kg/d) | −18.60 ± 16.96 * |
Disclaimer/Publisher’s Note: The statements, opinions and data contained in all publications are solely those of the individual author(s) and contributor(s) and not of MDPI and/or the editor(s). MDPI and/or the editor(s) disclaim responsibility for any injury to people or property resulting from any ideas, methods, instructions or products referred to in the content. |
© 2023 by the authors. Licensee MDPI, Basel, Switzerland. This article is an open access article distributed under the terms and conditions of the Creative Commons Attribution (CC BY) license (https://creativecommons.org/licenses/by/4.0/).
Share and Cite
Bartholomae, E.; Johnston, C.S. Nitrogen Balance at the Recommended Dietary Allowance for Protein in Minimally Active Male Vegans. Nutrients 2023, 15, 3159. https://doi.org/10.3390/nu15143159
Bartholomae E, Johnston CS. Nitrogen Balance at the Recommended Dietary Allowance for Protein in Minimally Active Male Vegans. Nutrients. 2023; 15(14):3159. https://doi.org/10.3390/nu15143159
Chicago/Turabian StyleBartholomae, Eric, and Carol S. Johnston. 2023. "Nitrogen Balance at the Recommended Dietary Allowance for Protein in Minimally Active Male Vegans" Nutrients 15, no. 14: 3159. https://doi.org/10.3390/nu15143159
APA StyleBartholomae, E., & Johnston, C. S. (2023). Nitrogen Balance at the Recommended Dietary Allowance for Protein in Minimally Active Male Vegans. Nutrients, 15(14), 3159. https://doi.org/10.3390/nu15143159

