Association of the Severity of Hypertensive Disorders in Pregnancy with Birthweight, Childhood Obesity, and Blood Pressure at Age 7
Abstract
1. Introduction
2. Materials and Methods
2.1. Study Design and Population
2.2. Hypertensive Disorders in Pregnancy
2.3. Outcomes
2.4. Placental Pathology
2.5. Covariates
2.6. Statistical Analysis
3. Results
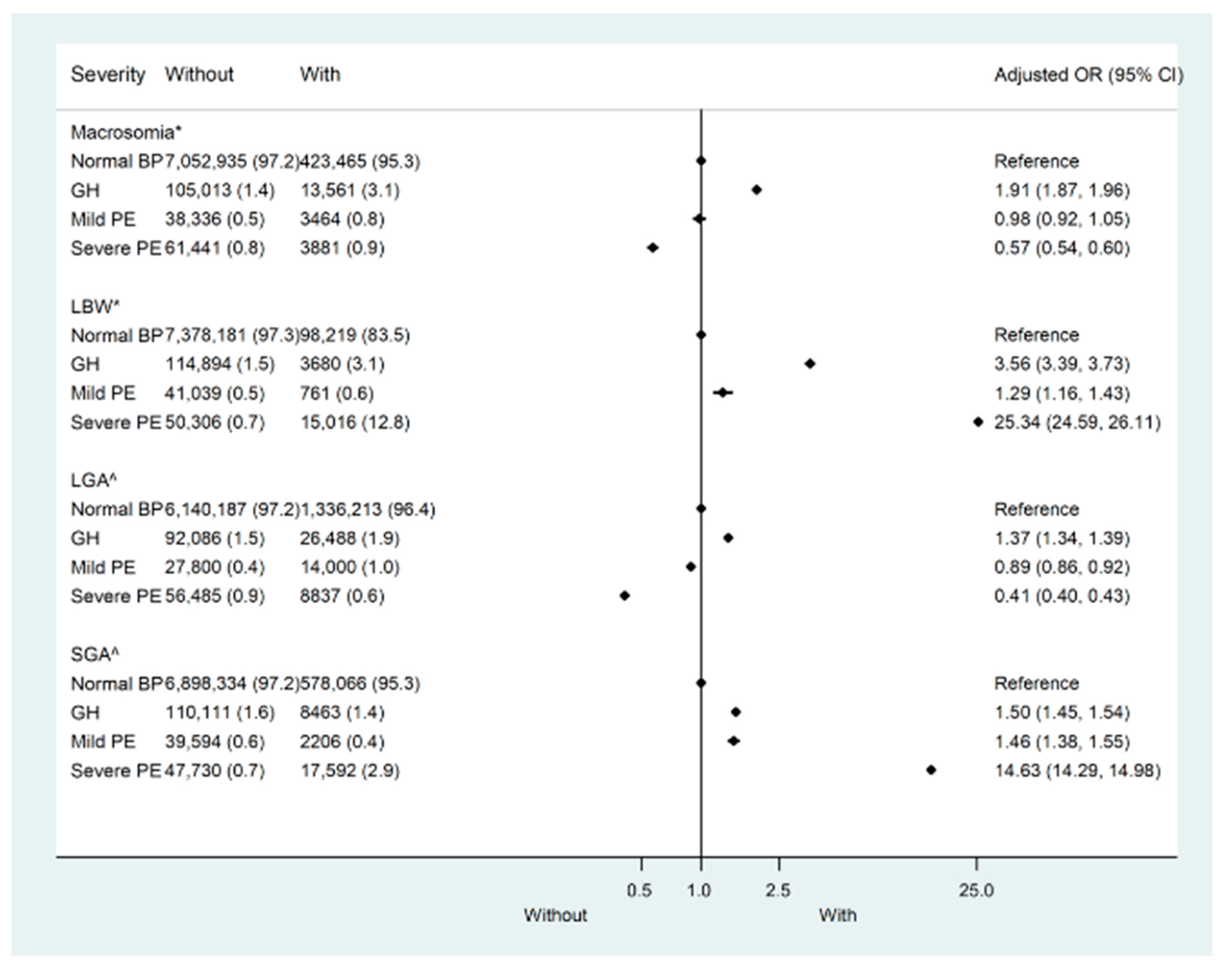
3.1. Association between Hypertensive Disorders in Pregnancy and Birthweight in the CLADS
3.2. Association between Hypertensive Disorders in Pregnancy and Birthweight in the CPP
3.3. Associations between Maternal Hypertensive Disorders in Pregnancy and Childhood Outcomes at 7 Years of Age in the CPP
3.4. Placental Pathological Features among Mothers with Normotension, Mild Gestational Hypertension, and Other Hypertensive Disorders in the CPP
4. Discussion
5. Conclusions
Supplementary Materials
Author Contributions
Funding
Institutional Review Board Statement
Informed Consent Statement
Data Availability Statement
Acknowledgments
Conflicts of Interest
References
- Khan, K.S.; Wojdyla, D.; Say, L.; Gülmezoglu, A.M.; Van Look, P.F. WHO analysis of causes of maternal death: A systematic review. Lancet 2006, 367, 1066–1074. [Google Scholar] [CrossRef]
- Vatten, L.J.; Skjaerven, R. Is preeclampsia more than one disease? BJOG 2004, 111, 298–302. [Google Scholar] [CrossRef]
- Hauth, J.C.; Ewell, M.G.; Levine, R.J.; Esterlitz, J.R.; Sibai, B.; Curet, L.B.; Catalano, P.M.; Morris, C.D. Pregnancy outcomes in healthy nulliparas who developed hypertension: Calcium for Preeclampsia Prevention Study Group. Obstet. Gynecol. 2000, 95, 24–28. [Google Scholar] [PubMed]
- Geelhoed, J.J.; Fraser, A.; Tilling, K.; Benfield, L.; Davey Smith, G.; Sattar, N.; Nelson, S.M.; Lawlor, D.A. Preeclampsia and gestational hypertension are associated with childhood blood pressure independently of family adiposity measures: The Avon Longitudinal Study of Parents and Children. Circulation 2010, 122, 1192–1199. [Google Scholar] [CrossRef] [PubMed]
- Bakker, R.; Steegers, E.A.; Hofman, A.; Jaddoe, V.W. Blood pressure in different gestational trimesters, fetal growth, and the risk of adverse birth outcomes: The generation R study. Am. J. Epidemiol. 2011, 174, 797–806. [Google Scholar] [CrossRef] [PubMed]
- Xiong, X.; Demianczuk, N.N.; Buekens, P.; Saunders, L.D. Association of preeclampsia with high birth weight for gestational age. Am. J. Obstet. Gynecol. 2000, 183, 148–155. [Google Scholar] [CrossRef]
- Owaki, Y.; Watanabe, K.; Iwasaki, A.; Saitou, T.; Matsushita, H.; Wakatsuki, A. Placental hypoplasia and maternal organic vascular disorder in pregnant women with gestational hypertension and preeclampsia. J. Matern. Fetal Neonatal Med. 2021, 34, 353–359. [Google Scholar] [CrossRef]
- Yinon, Y.; Kingdom, J.C.; Odutayo, A.; Moineddin, R.; Drewlo, S.; Lai, V.; Cherney, D.Z. Vascular dysfunction in women with a history of preeclampsia and intrauterine growth restriction: Insights into future vascular risk. Circulation 2010, 122, 1846–1853. [Google Scholar] [CrossRef]
- Chen, C.; Zhang, J.W.; Xia, H.W.; Zhang, H.X.; Betran, A.P.; Zhang, L.; Hua, X.L.; Feng, L.P.; Chen, D.; Sun, K.; et al. Preterm birth in China between 2015 and 2016. Am. J. Public Health 2019, 109, 1597–1604. [Google Scholar] [CrossRef]
- Klebanoff, M.A. The Collaborative Perinatal Project: A 50-year retrospective. Paediatr. Perinat. Epidemiol. 2009, 23, 2–8. [Google Scholar] [CrossRef]
- American College of Obstetricians and Gynecologists. Hypertension in pregnancy. Report of the American College of Obstetricians and Gynecologists’ Task Force on Hypertension in Pregnancy. Obstet. Gynecol. 2013, 122, 1122–1131. [Google Scholar]
- Zhang, J.; Troendle, J.F.; Levine, R.J. Risks of hypertensive disorders in the second pregnancy. Paediatr. Perinat. Epidemiol. 2001, 15, 226–231. [Google Scholar] [CrossRef] [PubMed]
- Kim, K.J.; Kim, N.H.; Choi, J.; Kim, S.G.; Lee, K.J. How Can We Adopt the Glucose Tolerance Test to Facilitate Predicting Pregnancy Outcome in Gestational Diabetes Mellitus? Endocrinol. Metab. 2021, 36, 988–996. [Google Scholar] [CrossRef] [PubMed]
- Lingani, M.; Zango, S.H.; Valéa, I.; Valia, D.; Sanou, M.; Samandoulougou, S.O.; Robert, A.; Tinto, H.; Dramaix, M.; Donnen, P. Magnitude of low birthweight in malaria endemic settings of Nanoro, rural Burkina Faso: A secondary data analysis. Sci. Rep. 2021, 11, 21332. [Google Scholar] [CrossRef]
- Mikolajczyk, R.T.; Zhang, J.; Betran, A.P.; Souza, J.P.; Mori, R.; Gülmezoglu, A.M.; Merialdi, M. A global reference for fetal-weight and birthweight percentiles. Lancet 2011, 377, 1855–1861. [Google Scholar] [CrossRef] [PubMed]
- Hardy, J.B. The Collaborative Perinatal Project: Lessons and legacy. Ann. Epidemiol. 2003, 13, 303–311. [Google Scholar] [CrossRef]
- Urbina, E.M.; Mendizábal, B.; Becker, R.C.; Daniels, S.R.; Falkner, B.E.; Hamdani, G.; Hanevold, C.; Hooper, S.R.; Ingelfinger, J.R.; Lanade, M.; et al. Association of blood pressure level with left ventricular mass in adolescents. Hypertension 2019, 74, 590–596. [Google Scholar] [CrossRef]
- National Bureau of Statistics of China. China Statistical Yearbook. Available online: www.stats.gov.cn/tjsj/ndsj/2016/indexch.htm (accessed on 25 October 2019).
- Staff, A. The two-stage placental model of preeclampsia: An update. J. Reprod. Immunol. 2019, 134–135, 1–10. [Google Scholar] [CrossRef]
- Salavati, N.; Gordijn, S.J.; Sovio, U.; Zill-E-Huma, R.; Gebril, A.; Charnock-Jones, D.S.; Scherjon, S.A.; Smith, G.C.S. Birth weight to placenta weight ratio and its relationship to ultrasonic measurements, maternal and neonatal morbidity: A prospective cohort study of nulliparous women. Placenta 2018, 63, 45–52. [Google Scholar] [CrossRef]
- Marques, M.R.; Grandi, C.; Nascente, L.M.P.; Cavalli, R.C.; Cardoso, V.C. Placental morphometry in hypertensive disorders of pregnancy and its relationship with birth weight in a Latin American population. Pregnancy Hypertens. 2018, 13, 235–241. [Google Scholar] [CrossRef]
- Loukeris, K.; Sela, R.; Baergen, R.N. Syncytial knots as a reflection of placental maturity: Reference values for 20 to 40 weeks’ gestational age. Pediatr. Dev. Pathol. 2010, 13, 305–309. [Google Scholar] [CrossRef] [PubMed]
- Strandberg, T.E.; Pitkala, K. What is the most important component of blood pressure systolic, diastolic or pulse pressure. Curr. Opin. Nephrol. Hypertens. 2003, 12, 293–297. [Google Scholar] [CrossRef] [PubMed]
- Hozawa, A.; Ohkubo, T.; Nagai, K.; Kikuya, M.; Matsubara, M.; Tsuji, I.; Ito, S.; Satoh, H.; Hisamichi, S.; Imai, Y. Prognosis of isolated systolic and isolated diastolic hypertension as assessed by self-measurement of blood pressure at home: The Ohasama study. Arch. Intern. Med. 2000, 160, 3301–3306. [Google Scholar] [CrossRef] [PubMed]
- Vatten, L.J.; Romundstad, P.R.; Holmen, T.L.; Hsieh, C.C.; Trichopoulos, D.; Stuver, S.O. Intrauterine exposure to preeclampsia and adolescent blood pressure, body size, and age at menarche in female offspring. Obstet. Gynecol. 2003, 101, 529–533. [Google Scholar] [PubMed]
- Hamdani, G.; Mitsnefes, M.M.; Flynn, J.T.; Becker, R.C.; Daniels, S.; Falkner, B.E.; Ferguson, M.; Hooper, S.R.; Hanevold, C.D.; Ingelfinger, J.R.; et al. Pediatric and Adult Ambulatory Blood Pressure Thresholds and Blood Pressure Load as Predictors of Left Ventricular Hypertrophy in Adolescents. Hypertension 2021, 78, 30–37. [Google Scholar] [CrossRef]
- ACOG Practice Bulletin No. 202: Gestational hypertension and preeclampsia. Obstet. Gynecol. 2019, 133, e1–e25.
- Naeye, R.L. Effects of maternal cigarette smoking on the fetus and placenta. Br. J. Obstet. Gynaecol. 1978, 85, 732–737. [Google Scholar] [CrossRef]
- Ghidini, A.; Salafia, C.M.; Pezzullo, J.C. Placental vascular lesions and likelihood of diagnosis of preeclampsia. Obstet. Gynecol. 1997, 90 Pt 1, 542–545. [Google Scholar] [CrossRef]
- Redline, R.W.; Heller, D.; Keating, S.; Kingdom, J. Placental diagnostic criteria and clinical correlation–a workshop report. Placenta 2005, 26 (Suppl. A), S114–S117. [Google Scholar] [CrossRef]
- WHO Expert Consultation. Appropriate body-mass indexfor Asian populations and its implicationsfor policy and intervention strategies. Lancet 2004, 363, 157–163. [Google Scholar] [CrossRef]
- Alexander, G.R.; Himes, J.H.; Kaufman, R.B.; Mor, J.; Kogan, M. A United States national reference for fetal growth. Obstet. Gynecol. 1996, 87, 163–168. [Google Scholar] [CrossRef] [PubMed]
- Myrianthopoulos, N.C.; French, K.S. An application of the U.S. Bureau of the Census socioeconomic index to a large, diversified patient population. Soc. Sci. Med. 1968, 2, 283–299. [Google Scholar] [CrossRef] [PubMed]



| Crude β | P | Adjusted β a | P | Adjusted β b | P | |||
|---|---|---|---|---|---|---|---|---|
| Mean (SD) | (95% CI) | (95% CI) | (95% CI) | |||||
| Birth weight (g) | Normal BP | 3243 (464) | Ref | Ref | Ref | Ref | ||
| Mild GH | 3287 (487) | 43.9 (26.7, 61.0) | <0.0001 | 45.8 (29.4, 62.2) | <0.0001 | |||
| Severe GH | 3195 (534) | −48.1 (−94.0, −2.1) | 0.040 | −16.8 (−60.8, 27.3) | 0.456 | / | / | |
| Mild PE | 3243 (512) | −0.40 (−28.4, 27.7) | 0.980 | −5.2 (−32.0, 21.6) | 0.703 | |||
| Severe PE | 3084 (592) | −159.1 (−206.9, −111.2) | <0.0001 | −89.2 (−135.1, −43.3) | <0.0001 | |||
| BMI (kg/m2) | Normal BP | 16.0 (1.9) | Ref | Ref | Ref | Ref | Ref | Ref |
| Mild GH | 16.2 (2.1) | 0.26 (0.17, 0.34) | <.0001 | 0.22 (0.13, 0.30) | <0.0001 | 0.03 (0.01, 0.05) | 0.001 * | |
| Severe GH | 15.9 (2.0) | −0.07 (−0.29, 0.14) | 0.498 | −0.07 (−0.29, 0.15) | 0.550 | 0.01 (−0.04, 0.05) | 0.786 * | |
| Mild PE | 16.1 (2.1) | 0.15 (0.02, 0.28) | 0.029 | 0.11 (−0.02, 0.25) | 0.097 | 0.02 (−0.01, 0.05) | 0.108 * | |
| Severe PE | 16.1 (2.1) | 0.10 (−0.12, 0.32) | 0.359 | 0.10 (−0.13, 0.32) | 0.393 | 0.02 (−0.02, 0.07) | 0.343 * | |
| SBP (mmHg) | Normal BP | 101.8 (10.1) | Ref | Ref | Ref | Ref | Ref | Ref |
| Mild GH | 102.9 (10.3) | 1.16 (0.74, 1.59) | <0.0001 | 1.22 (0.78, 1.66) | <0.0001 | 1.02 (0.59, 1.45) | <0.0001 | |
| Severe GH | 102.9 (10.5) | 1.11 (0.01, 2.22) | 0.049 | 1.25 (0.11, 2.40) | 0.032 | 1.26 (0.15, 2.38) | 0.026 | |
| Mild PE | 103.2 (10.6) | 1.42 (0.74, 2.11) | <0.0001 | 1.49 (0.79, 2.19) | <0.0001 | 1.41 (0.72, 2.09) | <0.0001 | |
| Severe PE | 103.3 (10.9) | 1.53 (0.40, 2.66) | 0.008 | 1.32 (0.15, 2.49) | 0.027 | 1.33 (0.19, 2.47) | 0.022 | |
| DBP (mmHg) | Normal BP | 61.4 (9.6) | Ref | Ref | Ref | Ref | Ref | Ref |
| Mild GH | 62.2 (9.7) | 0.86 (0.45, 1.26) | <0.0001 | 0.85 (0.43, 1.27) | <0.0001 | 0.70 (0.29, 1.12) | 0.001 | |
| Severe GH | 61.3 (10.4) | −0.09 (−1.14, 0.97) | 0.873 | −0.02 (−1.12, 1.07) | 0.959 | −0.06 (−1.15, 1.02) | 0.901 | |
| Mild PE | 61.2 (10.2) | −0.10 (−0.75, 0.54) | 0.751 | −0.20 (−0.87, 0.47) | 0.531 | −0.20 (−0.87, 0.46) | 0.526 | |
| Severe PE | 61.3 (10.0) | −0.08 (−1.15, 1.00) | 0.891 | −0.12 (−1.23, 0.99) | 0.820 | −0.15 (−1.26, 0.95) | 0.769 |
| Control Group | Mild Group | Severe Group | Mild Group vs. Control Group | Mild Group vs. Control Group | Severe Group vs. Control Group | Severe Group vs. Control Group | Mild Group vs. Severe Group | Mild Group vs. Severe Group | |
|---|---|---|---|---|---|---|---|---|---|
| N (%) | N (%) | N (%) | Crude OR | Adjusted OR a | Crude OR | Adjusted OR a | Crude OR | Adjusted OR a | |
| N(%) | 30286 (85.6) | 3177 (9.0) | 1904 (5.4) | / | / | / | / | / | / |
| PBW ratio ≥90th percentile * | 2486 (9.7) | 238 (8.5) | 185 (11.7) | 0.86 (0.75, 0.98) | 0.90 (0.78, 1.00) | 1.23 (1.05, 1.45) | 1.28 (1.08, 1.51) | 0.70 (0.57, 0.85) | 0.70 (0.56, 0.87) |
| Placental maturity ≥37 weeks | 23793 (92.8) | 2668 (94.6) | 1479 (93.3) | 1.38 (1.16, 1.63) | 1.33 (1.11, 1.60) | 1.08 (0.88, 1.32) | 1.01 (0.82, 1.25) | 1.28 (1.00, 1.65) | 1.36 (1.04, 1.79) |
| Abruptio placenta | 369 (1.2) | 40 (1.3) | 24 (1.3) | 1.02 (0.74, 1.42) | 1.10 (0.78, 1.55) | 1.02 (0.68, 1.55) | 1.27 (0.81, 1.97) | 1.00 (0.60, 1.66) | 0.92 (0.53, 1.58) |
| Calcification | 3207 (12.5) | 348 (12.4) | 227 (14.3) | 0.99 (0.88, 1.11) | 0.91 (0.80, 1.04) | 1.17 (1.01, 1.35) | 0.99 (0.85, 1.17) | 0.84 (0.70, 1.01) | 0.91 (0.74, 1.10) |
| Vascular lesions | |||||||||
| Old vascular infarct | 2202 (8.6) | 317 (11.3) | 234 (14.7) | 1.35 (1.19, 1.53) | 1.24 (1.09, 1.41) | 1.84 (1.59, 2.13) | 1.81 (1.55, 2.11) | 0.73 (0.61, 0.88) | 0.68 (0.56, 0.82) |
| Large size of infarct | 798 (3.1) | 119 (4.2) | 72 (4.6) | 1.37 (1.13, 1.67) | 1.39 (1.13, 1.70) | 1.48 (1.16, 1.90) | 1.66 (1.28, 2.17) | 0.93 (0.69, 1.25) | 0.82 (0.60, 1.13) |
| Number of infarcts | 2154 (8.4) | 382 (13.6) | 236 (14.9) | 1.71 (1.52, 1.92) | 1.57 (1.38, 1.77) | 1.91 (1.66, 2.21) | 1.98 (1.69, 2.32) | 0.89 (0.75, 1.07) | 0.78 (0.65, 0.94) |
| Vessel thrombosis | 181 (0.7) | 27 (1.0) | 8 (0.5) | 1.36 (0.91, 2.04) | 1.33 (1.14, 1.54) | 0.71 (0.35, 1.45) | 1.43 (1.17, 1.74) | 1.91 (0.86, 4.21) | 0.90 (0.71, 1.15) |
| Vessel atheroma | 101 (0.4) | 9 (0.3) | 4 (0.3) | 0.81 (0.41, 1.60) | 0.73 (0.36, 1.45) | 0.64 (0.24, 1.75) | 0.53 (0.19, 1.46) | 1.26 (0.39, 4.08) | 1.34 (0.40, 4.53) |
| Villous lesions | |||||||||
| Less syncytium-nuclear clumping for term placenta | 2196 (8.7) | 170 (6.2) | 150 (9.7) | 0.69 (0.59, 0.81) | 0.73 (0.61, 0.86) | 1.12 (0.94, 1.34) | 1.15 (0.96, 1.39) | 0.61 (0.49, 0.77) | 0.63 (0.49, 0.80) |
| Much syncytium-nuclear clumping for term placenta | 465 (2.0) | 67 (2.5) | 41 (2.9) | 1.28 (0.99, 1.66) | 1.28 (0.98, 1.67) | 1.45 (1.05, 2.01) | 1.65 (1.18, 2.30) | 0.89 (0.60, 1.31) | 0.82 (0.55, 1.23) |
| Villous infarction | 3528 (13.8) | 396 (14.1) | 331 (20.9) | 1.03 (0.92, 1.15) | 1.03 (0.91, 1.15) | 1.65 (1.46, 1.88) | 1.61 (1.40, 1.84) | 0.62 (0.53, 0.73) | 0.63 (0.53, 0.74) |
| Stromal fibrosis | 193 (0.8) | 31 (1.1) | 16 (1.0) | 1.47 (1.01, 2.15) | 1.51 (1.01, 2.25) | 1.34 (0.80, 2.24) | 1.47 (0.85, 2.53) | 1.09 (0.60, 2.01) | 1.04 (0.55, 1.96) |
| Villous cytotrophoblast layer | 120 (0.5) | 11 (0.4) | 8 (0.5) | 0.83 (0.45, 1.55) | 0.86 (0.45, 1.66) | 1.08 (0.53, 2.21) | 1.19 (0.57, 2.48) | 0.77 (0.31, 1.93) | 0.77 (0.30, 2.00) |
| Cord membranous insertion | 387 (1.5) | 38 (1.4) | 39 (2.5) | 0.89 (0.64, 1.25) | 0.95 (0.77, 1.16) | 1.64 (1.18, 2.29) | 1.13 (0.86, 1.49) | 0.54 (0.35, 0.85) | 0.88 (0.64, 1.21) |
| Inflammatory cell infiltration | |||||||||
| Neutrophilic infiltration | 2231 (8.7) | 278 (9.9) | 157 (9.9) | 1.15 (1.01, 1.31) | 1.11 (0.97, 1.28) | 1.15 (0.97, 1.37) | 1.04 (0.86, 1.25) | 1.00 (0.81, 1.23) | 1.13 (0.90, 1.40) |
| Lymphocytic infiltration | 254 (1.0) | 32 (1.1) | 20 (1.3) | 1.15 (0.79, 1.66) | 1.21 (0.82, 1.78) | 1.28 (0.81, 2.02) | 1.28 (0.79, 2.07) | 0.90 (0.51, 1.58) | 1.03 (0.57, 1.87) |
Disclaimer/Publisher’s Note: The statements, opinions and data contained in all publications are solely those of the individual author(s) and contributor(s) and not of MDPI and/or the editor(s). MDPI and/or the editor(s) disclaim responsibility for any injury to people or property resulting from any ideas, methods, instructions or products referred to in the content. |
© 2023 by the authors. Licensee MDPI, Basel, Switzerland. This article is an open access article distributed under the terms and conditions of the Creative Commons Attribution (CC BY) license (https://creativecommons.org/licenses/by/4.0/).
Share and Cite
Chen, Y.; Wang, Y.; Li, Y.; Ding, G.; Zhang, Y. Association of the Severity of Hypertensive Disorders in Pregnancy with Birthweight, Childhood Obesity, and Blood Pressure at Age 7. Nutrients 2023, 15, 3104. https://doi.org/10.3390/nu15143104
Chen Y, Wang Y, Li Y, Ding G, Zhang Y. Association of the Severity of Hypertensive Disorders in Pregnancy with Birthweight, Childhood Obesity, and Blood Pressure at Age 7. Nutrients. 2023; 15(14):3104. https://doi.org/10.3390/nu15143104
Chicago/Turabian StyleChen, Yan, Yiwen Wang, Yanjun Li, Guodong Ding, and Yongjun Zhang. 2023. "Association of the Severity of Hypertensive Disorders in Pregnancy with Birthweight, Childhood Obesity, and Blood Pressure at Age 7" Nutrients 15, no. 14: 3104. https://doi.org/10.3390/nu15143104
APA StyleChen, Y., Wang, Y., Li, Y., Ding, G., & Zhang, Y. (2023). Association of the Severity of Hypertensive Disorders in Pregnancy with Birthweight, Childhood Obesity, and Blood Pressure at Age 7. Nutrients, 15(14), 3104. https://doi.org/10.3390/nu15143104

