Sex Specificity in the Mixed Effects of Blood Heavy Metals and Cognitive Function on Elderly: Evidence from NHANES
Abstract
1. Introduction
2. Materials and Methods
2.1. Study Design and Population
2.2. Measurements of Blood Heavy Metals
2.3. Measurement of Cognitive Performance
2.4. Covariates
2.5. Statistical Analysis
2.5.1. Statistical Model 1: Generalized Linear Regression Model (GLM)
2.5.2. Statistical Model 2: Bayesian Kernel Machine Regression (BKMR) Model
2.5.3. Statistical Model 3: Weighted Quantile Sum (WQS) Regression Model
2.5.4. Statistical Model 4: Quantile g-Computation (Qgcomp) Regression Model
3. Results
3.1. Characteristics of the Study Participants
3.2. Single Metal Exposures and Cognitive Function
3.3. Multi-Metal Exposures and Cognitive Function
3.3.1. Multi-Metal Exposures and Cognitive Function: BKMR Model
3.3.2. Multi-Metal Exposures and Cognitive Function: WQS Model
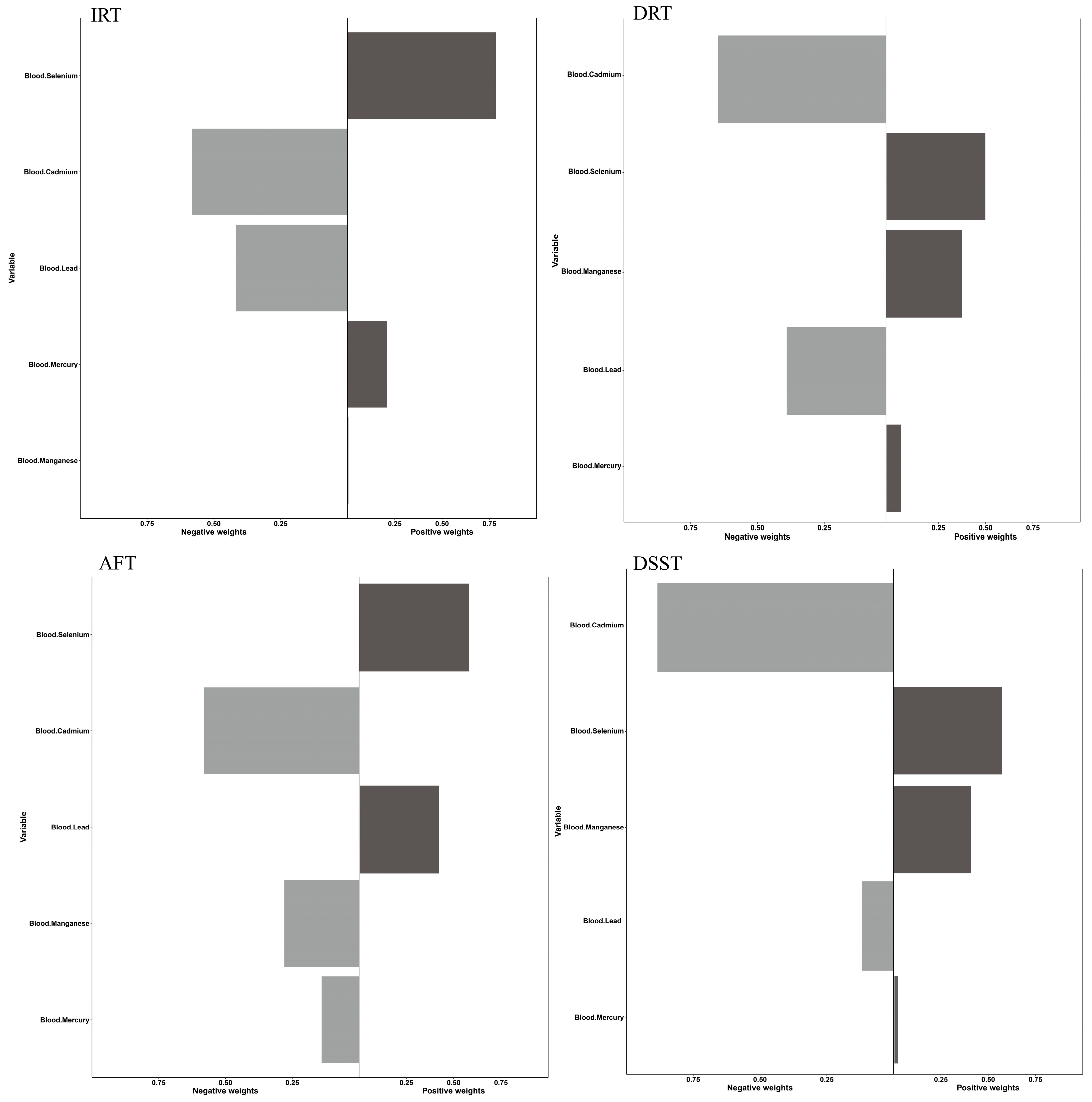
3.3.3. Multi-Metal Exposures and Cognitive Function: Qgcomp Model
4. Discussion
5. Conclusions
Supplementary Materials
Author Contributions
Funding
Institutional Review Board Statement
Informed Consent Statement
Data Availability Statement
Conflicts of Interest
References
- GBD 2017 US Neurological Disorders Collaborators; Feigin, V.L.; Vos, T.; Alahdab, F.; Amit, A.M.L.; Barnighausen, T.W.; Beghi, E.; Beheshti, M.; Chavan, P.P.; Criqui, M.H.; et al. Burden of Neurological Disorders Across the US From 1990–2017: A Global Burden of Disease Study. JAMA Neurol. 2021, 78, 165–176. [Google Scholar] [CrossRef] [PubMed]
- Song, S.; Stern, Y.; Gu, Y. Modifiable lifestyle factors and cognitive reserve: A systematic review of current evidence. Ageing Res. Rev. 2022, 74, 101551. [Google Scholar] [CrossRef] [PubMed]
- Xiao, L.; Zan, G.; Qin, J.; Wei, X.; Lu, G.; Li, X.; Zhang, H.; Zou, Y.; Yang, L.; He, M.; et al. Combined exposure to multiple metals and cognitive function in older adults. Ecotoxicol. Environ. Saf. 2021, 222, 112465. [Google Scholar] [CrossRef] [PubMed]
- Carlin, D.J.; Rider, C.V.; Woychik, R.; Birnbaum, L.S. Unraveling the health effects of environmental mixtures: An NIEHS priority. Environ. Health Perspect. 2013, 121, A6–A8. [Google Scholar] [CrossRef]
- Clemens, S.; Ma, J.F. Toxic Heavy Metal and Metalloid Accumulation in Crop Plants and Foods. Annu. Rev. Plant Biol. 2016, 67, 489–512. [Google Scholar] [CrossRef]
- Rehman, K.; Fatima, F.; Waheed, I.; Akash, M.S.H. Prevalence of exposure of heavy metals and their impact on health consequences. J. Cell. Biochem. 2018, 119, 157–184. [Google Scholar] [CrossRef]
- Farina, M.; Rocha, J.B.; Aschner, M. Mechanisms of methylmercury-induced neurotoxicity: Evidence from experimental studies. Life Sci. 2011, 89, 555–563. [Google Scholar] [CrossRef]
- Jenkitkasemwong, S.; Akinyode, A.; Paulus, E.; Weiskirchen, R.; Hojyo, S.; Fukada, T.; Giraldo, G.; Schrier, J.; Garcia, A.; Janus, C.; et al. SLC39A14 deficiency alters manganese homeostasis and excretion resulting in brain manganese accumulation and motor deficits in mice. Proc. Natl. Acad. Sci. USA 2018, 115, E1769–E1778. [Google Scholar] [CrossRef]
- Lu, K.; Liu, T.; Wu, X.; Zhong, J.; Ou, Z.; Wu, W. Association between Serum Iron, Blood Lead, Cadmium, Mercury, Selenium, Manganese and Low Cognitive Performance in Old Adults from National Health and Nutrition Examination Survey (NHANES): A Cross-Sectional Study. Br. J. Nutr. 2023, 1–11. [Google Scholar] [CrossRef]
- Vlasak, T.; Jordakieva, G.; Gnambs, T.; Augner, C.; Crevenna, R.; Winker, R.; Barth, A. Blood lead levels and cognitive functioning: A meta-analysis. Sci. Total Environ. 2019, 668, 678–684. [Google Scholar] [CrossRef]
- Liu, H.; Su, L.; Chen, X.; Wang, S.; Cheng, Y.; Lin, S.; Ding, L.; Liu, J.; Chen, C.; Unverzagt, F.W.; et al. Higher blood cadmium level is associated with greater cognitive decline in rural Chinese adults aged 65 or older. Sci. Total Environ. 2021, 756, 144072. [Google Scholar] [CrossRef]
- Rita Cardoso, B.; Silva Bandeira, V.; Jacob-Filho, W.; Franciscato Cozzolino, S.M. Selenium status in elderly: Relation to cognitive decline. J. Trace Elem. Med. Biol. 2014, 28, 422–426. [Google Scholar] [CrossRef]
- Shang, N.; Zhang, L.; Wang, S.; Huang, T.; Wang, Y.; Gao, X.; Xu, S.; Zhang, J.; Zhang, L.; Niu, Q.; et al. Increased aluminum and lithium and decreased zinc levels in plasma is related to cognitive impairment in workers at an aluminum factory in China: A cross-sectional study. Ecotoxicol. Environ. Saf. 2021, 214, 112110. [Google Scholar] [CrossRef]
- Karalija, N.; Papenberg, G.; Wahlin, A.; Johansson, J.; Andersson, M.; Axelsson, J.; Riklund, K.; Lindenberger, U.; Nyberg, L.; Backman, L. Sex differences in dopamine integrity and brain structure among healthy older adults: Relationships to episodic memory. Neurobiol. Aging 2021, 105, 272–279. [Google Scholar] [CrossRef]
- Langeard, A.; Fakrahnak, Z.; Vrinceanu, T.; Noriega de la Colina, A.; Pothier, K.; Berryman, N.; Vu, T.T.M.; Girouard, H.; Karelis, A.D.; Bherer, L. Sex-moderated association between body composition and cognition in older adults. Exp. Gerontol. 2020, 138, 111002. [Google Scholar] [CrossRef]
- Ferrer-Quintero, M.; Green, M.F.; Horan, W.P.; Penn, D.L.; Kern, R.S.; Lee, J. The effect of sex on social cognition and functioning in schizophrenia. NPJ Schizophr. 2021, 7, 57. [Google Scholar] [CrossRef]
- Subramaniapillai, S.; Almey, A.; Natasha Rajah, M.; Einstein, G. Sex and gender differences in cognitive and brain reserve: Implications for Alzheimer’s disease in women. Front. Neuroendocrinol. 2021, 60, 100879. [Google Scholar] [CrossRef]
- Sasaki, N.; Carpenter, D.O. Associations between Metal Exposures and Cognitive Function in American Older Adults. Int. J. Environ. Res. Public Health 2022, 19, 2327. [Google Scholar] [CrossRef]
- Saxena, R.; Gamble, M.; Wasserman, G.A.; Liu, X.; Parvez, F.; Navas-Acien, A.; Islam, T.; Factor-Litvak, P.; Uddin, M.N.; Kioumourtzoglou, M.A.; et al. Mixed metals exposure and cognitive function in Bangladeshi adolescents. Ecotoxicol. Environ. Saf. 2022, 232, 113229. [Google Scholar] [CrossRef]
- Li, C.; Xia, W.; Jiang, Y.; Liu, W.; Zhang, B.; Xu, S.; Li, Y. Low level prenatal exposure to a mixture of Sr, Se and Mn and neurocognitive development of 2-year-old children. Sci. Total Environ. 2020, 735, 139403. [Google Scholar] [CrossRef]
- Valeri, L.; Mazumdar, M.M.; Bobb, J.F.; Claus Henn, B.; Rodrigues, E.; Sharif, O.I.A.; Kile, M.L.; Quamruzzaman, Q.; Afroz, S.; Golam, M.; et al. The Joint Effect of Prenatal Exposure to Metal Mixtures on Neurodevelopmental Outcomes at 20-40 Months of Age: Evidence from Rural Bangladesh. Environ. Health Perspect. 2017, 125, 067015. [Google Scholar] [CrossRef] [PubMed]
- Bobb, J.F.; Valeri, L.; Claus Henn, B.; Christiani, D.C.; Wright, R.O.; Mazumdar, M.; Godleski, J.J.; Coull, B.A. Bayesian kernel machine regression for estimating the health effects of multi-pollutant mixtures. Biostatistics 2015, 16, 493–508. [Google Scholar] [CrossRef] [PubMed]
- CDC. National Health and Nutrition Examination Survey. Available online: https://www.cdc.gov/nchs/nhanes/ (accessed on 1 February 2023).
- Shi, Y.; Wang, H.; Zhu, Z.; Ye, Q.; Lin, F.; Cai, G. Association between exposure to phenols and parabens and cognitive function in older adults in the United States: A cross-sectional study. Sci. Total Environ. 2023, 858, 160129. [Google Scholar] [CrossRef]
- Bobb, J.F.; Claus Henn, B.; Valeri, L.; Coull, B.A. Statistical software for analyzing the health effects of multiple concurrent exposures via Bayesian kernel machine regression. Environ. Health 2018, 17, 67. [Google Scholar] [CrossRef] [PubMed]
- Carrico, C.; Gennings, C.; Wheeler, D.C.; Factor-Litvak, P. Characterization of Weighted Quantile Sum Regression for Highly Correlated Data in a Risk Analysis Setting. J. Agric. Biol. Environ. Stat. 2015, 20, 100–120. [Google Scholar] [CrossRef]
- Snowden, J.M.; Rose, S.; Mortimer, K.M. Implementation of G-computation on a simulated data set: Demonstration of a causal inference technique. Am. J. Epidemiol. 2011, 173, 731–738. [Google Scholar] [CrossRef]
- Rempelos, L.; Wang, J.; Baranski, M.; Watson, A.; Volakakis, N.; Hadall, C.; Hasanaliyeva, G.; Chatzidimitriou, E.; Magistrali, A.; Davis, H.; et al. Diet, but not food type, significantly affects micronutrient and toxic metal profiles in urine and/or plasma; a randomized, controlled intervention trial. Am. J. Clin. Nutr. 2022, 116, 1278–1290. [Google Scholar] [CrossRef]
- Jan, A.T.; Azam, M.; Siddiqui, K.; Ali, A.; Choi, I.; Haq, Q.M. Heavy Metals and Human Health: Mechanistic Insight into Toxicity and Counter Defense System of Antioxidants. Int. J. Mol. Sci. 2015, 16, 29592–29630. [Google Scholar] [CrossRef]
- Seale, L.A.; Ogawa-Wong, A.N.; Berry, M.J. Sexual Dimorphism in Selenium Metabolism and Selenoproteins. Free Radic. Biol. Med. 2018, 127, 198–205. [Google Scholar] [CrossRef]
- Birla, H.; Minocha, T.; Kumar, G.; Misra, A.; Singh, S.K. Role of Oxidative Stress and Metal Toxicity in the Progression of Alzheimer’s Disease. Curr. Neuropharmacol. 2020, 18, 552–562. [Google Scholar] [CrossRef]
- Tamtaji, O.R.; Heidari-Soureshjani, R.; Mirhosseini, N.; Kouchaki, E.; Bahmani, F.; Aghadavod, E.; Tajabadi-Ebrahimi, M.; Asemi, Z. Probiotic and selenium co-supplementation, and the effects on clinical, metabolic and genetic status in Alzheimer’s disease: A randomized, double-blind, controlled trial. Clin. Nutr. 2019, 38, 2569–2575. [Google Scholar] [CrossRef]
- Akahoshi, N.; Anan, Y.; Hashimoto, Y.; Tokoro, N.; Mizuno, R.; Hayashi, S.; Yamamoto, S.; Shimada, K.I.; Kamata, S.; Ishii, I. Dietary selenium deficiency or selenomethionine excess drastically alters organ selenium contents without altering the expression of most selenoproteins in mice. J. Nutr. Biochem. 2019, 69, 120–129. [Google Scholar] [CrossRef]
- Yu, L.; Liu, W.; Wang, X.; Ye, Z.; Tan, Q.; Qiu, W.; Nie, X.; Li, M.; Wang, B.; Chen, W. A review of practical statistical methods used in epidemiological studies to estimate the health effects of multi-pollutant mixture. Environ. Pollut. 2022, 306, 119356. [Google Scholar] [CrossRef]
- Schmidt, C.W. Environmental Factors in Successful Aging: The Potential Impact of Air Pollution. Environ. Health Perspect. 2019, 127, 102001. [Google Scholar] [CrossRef]
- Tan, Y.; Fu, Y.; Huang, F.; Wen, L.; Weng, X.; Yao, H.; Liang, H.; Kuang, M.; Jing, C. Association between blood metal exposures and hyperuricemia in the U.S. general adult: A subgroup analysis from NHANES. Chemosphere 2023, 318, 137873. [Google Scholar] [CrossRef]
- Pitts, M.W.; Kremer, P.M.; Hashimoto, A.C.; Torres, D.J.; Byrns, C.N.; Williams, C.S.; Berry, M.J. Competition between the Brain and Testes under Selenium-Compromised Conditions: Insight into Sex Differences in Selenium Metabolism and Risk of Neurodevelopmental Disease. J. Neurosci. 2015, 35, 15326–15338. [Google Scholar] [CrossRef]
- Wang, L.; Yin, Y.L.; Liu, X.Z.; Shen, P.; Zheng, Y.G.; Lan, X.R.; Lu, C.B.; Wang, J.Z. Current understanding of metal ions in the pathogenesis of Alzheimer’s disease. Transl. Neurodegener. 2020, 9, 10. [Google Scholar] [CrossRef]
- Wan, H.; Jiang, Y.; Yang, J.; Ma, Q.; Liu, L.; Peng, L.; Liu, H.; Xiong, N.; Guan, Z.; Yang, A.; et al. Sex-specific associations of the urinary fourteen-metal mixture with NAFLD and liver fibrosis among US adults: A nationally representative study. Ecotoxicol. Environ. Saf. 2022, 248, 114306. [Google Scholar] [CrossRef]
- Gade, M.; Comfort, N.; Re, D.B. Sex-specific neurotoxic effects of heavy metal pollutants: Epidemiological, experimental evidence and candidate mechanisms. Environ. Res. 2021, 201, 111558. [Google Scholar] [CrossRef]
- Jarup, L. Hazards of heavy metal contamination. Br. Med. Bull. 2003, 68, 167–182. [Google Scholar] [CrossRef]
- Nguyen, T.V. Developmental effects of androgens in the human brain. J. Neuroendocrinol. 2018, 30, e12486. [Google Scholar] [CrossRef] [PubMed]
- Zhao, D.; Huang, Y.; Wang, B.; Chen, H.; Pan, W.; Yang, M.; Xia, Z.; Zhang, R.; Yuan, C. Dietary Intake Levels of Iron, Copper, Zinc, and Manganese in Relation to Cognitive Function: A Cross-Sectional Study. Nutrients 2023, 15, 704. [Google Scholar] [CrossRef]
- Keil, A.P.; Buckley, J.P.; O’Brien, K.M.; Ferguson, K.K.; Zhao, S.; White, A.J. A Quantile-Based g-Computation Approach to Addressing the Effects of Exposure Mixtures. Environ. Health Perspect. 2020, 128, 47004. [Google Scholar] [CrossRef] [PubMed]
- Guo, X.; Wu, B.; Hu, W.; Wang, X.; Su, W.; Meng, J.; Lowe, S.; Zhao, D.; Huang, C.; Liang, M.; et al. Associations of perchlorate, nitrate, and thiocyanate with metabolic syndrome and its components among US adults: A cross-sectional study from NHANES. Sci. Total Environ. 2023, 879, 163083. [Google Scholar] [CrossRef] [PubMed]






| Percentile | ||||||||
|---|---|---|---|---|---|---|---|---|
| Mean | 25th | 50th | 75th | Skew.2SE a | Kurt.2SE b | Normtest.W c | Normtest.p | |
| Blood lead | 1.90 | 1.03 | 1.49 | 2.24 | 50.96 | 265.31 | 0.60 | <0.001 |
| Blood cadmium | 0.55 | 0.27 | 0.40 | 0.65 | 23.98 | 43.02 | 0.72 | <0.001 |
| Blood mercury | 1.87 | 0.56 | 1.04 | 2.11 | 42.98 | 176.52 | 0.57 | <0.001 |
| Blood selenium | 195.25 | 177.90 | 193.50 | 208.30 | 52.00 | 364.67 | 0.72 | <0.001 |
| Blood manganese | 9.48 | 7.04 | 8.79 | 11.18 | 37.83 | 177.17 | 0.75 | <0.001 |
| Characteristic | Overall, N = 1833 (100%) 1 | Male, N = 883 (45%) 1 | Female, N = 950 (55%) 1 | p-Value 2 |
|---|---|---|---|---|
| Age | 0.031 | |||
| 60–69 years | 921 (51%) | 460 (55%) | 461 (48%) | |
| 70–79 years | 516 (29%) | 247 (28%) | 269 (29%) | |
| 80+ years | 396 (20%) | 176 (17%) | 220 (23%) | |
| Race/ethnicity | 0.200 | |||
| Non-Hispanic White | 862 (80%) | 389 (80%) | 473 (81%) | |
| Non-Hispanic Black | 436 (7.8%) | 220 (7.2%) | 216 (8.4%) | |
| Other Hispanic | 203 (3.9%) | 100 (4.0%) | 103 (3.9%) | |
| Other/Multi-Racial | 166 (3.5%) | 82 (3.4%) | 84 (3.5%) | |
| Mexican American | 138 (2.9%) | 74 (3.2%) | 64 (2.6%) | |
| Other Race, Including Multi-Racial | 28 (1.7%) | 18 (2.2%) | 10 (0.6%) | |
| Education | <0.001 | |||
| Less Than 9th Grade | 219 (6.0%) | 124 (7.0%) | 95 (5.1%) | |
| 9–11th Grade | 246 (9.4%) | 116 (9.4%) | 130 (9.3%) | |
| High School Grad/GED | 421 (22%) | 188 (18%) | 233 (25%) | |
| Some College or AA degree | 514 (31%) | 222 (27%) | 292 (34%) | |
| College Graduate or above | 433 (32%) | 233 (39%) | 200 (27%) | |
| Smoking status | <0.001 | |||
| Never smoker | 894 (48%) | 297 (34%) | 597 (60%) | |
| Current smoker | 234 (11%) | 147 (13%) | 87 (8.3%) | |
| Former smoker | 705 (41%) | 439 (53%) | 266 (31%) | |
| Alcohol intake | <0.001 | |||
| 1–5 drinks/month | 864 (44%) | 497 (49%) | 367 (40%) | |
| 5–10 drinks/month | 89 (6.5%) | 51 (6.9%) | 38 (6.1%) | |
| 10+ drinks/month | 307 (23%) | 198 (31%) | 109 (16%) | |
| Non-drinker | 573 (27%) | 137 (13%) | 436 (38%) | |
| IRT | 20.0 (17.0, 23.0) | 19.0 (16.0, 22.0) | 21.0 (17.0, 23.0) | <0.001 |
| DRT | 6.00 (5.00, 8.00) | 6.00 (4.00, 7.00) | 7.00 (5.00, 8.00) | <0.001 |
| AFT | 18.0 (14.0, 22.0) | 19.0 (14.0, 22.0) | 18.0 (14.0, 22.0) | 0.100 |
| DSST | 54 (42, 65) | 50 (40, 62) | 56 (43, 67) | <0.001 |
| Variable | BKMR PIP | Qgcomp | ||||||
|---|---|---|---|---|---|---|---|---|
| IRT | DRT | AFT | DSST | IRT | DRT | AFT | DSST | |
| Blood Lead | 0.15 | 0.29 | 0.26 | 0.49 | −0.42 | −0.37 | 0.42 | −0.12 |
| Blood Cadmium | 0.36 | 0.37 | 0.33 | 0.83 | −0.58 | −0.63 | −0.58 | −0.88 |
| Blood Mercury | 0.05 | 0.17 | 0.06 | 0.21 | 0.21 | 0.08 | −0.14 | 0.02 |
| Blood Selenium | 0.99 | 0.94 | 0.47 | 1.00 | 0.78 | 0.52 | 0.58 | 0.57 |
| Blood Manganese | 0.21 | 0.75 | 0.25 | 0.93 | 0.054 | 0.40 | −0.28 | 0.41 |
| Variable | IRT Positive | IRT Negative | DRT Positive | DRT Negative | AFT Positive | AFT Negative | DSST Positive | DSST Negative |
|---|---|---|---|---|---|---|---|---|
| Blood Selenium | 0.94 | 0.00 | 0.68 | 0.02 | 0.80 | 0.00 | 0.82 | 0.00 |
| Blood Manganese | 0.01 | 0.34 | 0.25 | 0.02 | 0.04 | 0.17 | 0.14 | 0.01 |
| Blood Mercury | 0.04 | 0.02 | 0.04 | 0.07 | 0.08 | 0.04 | 0.03 | 0.07 |
| Blood Lead | 0.00 | 0.38 | 0.01 | 0.41 | 0.06 | 0.12 | 0.00 | 0.40 |
| Blood Cadmium | 0.00 | 0.25 | 0.02 | 0.48 | 0.02 | 0.66 | 0.00 | 0.52 |
Disclaimer/Publisher’s Note: The statements, opinions and data contained in all publications are solely those of the individual author(s) and contributor(s) and not of MDPI and/or the editor(s). MDPI and/or the editor(s) disclaim responsibility for any injury to people or property resulting from any ideas, methods, instructions or products referred to in the content. |
© 2023 by the authors. Licensee MDPI, Basel, Switzerland. This article is an open access article distributed under the terms and conditions of the Creative Commons Attribution (CC BY) license (https://creativecommons.org/licenses/by/4.0/).
Share and Cite
Song, S.; Liu, N.; Wang, G.; Wang, Y.; Zhang, X.; Zhao, X.; Chang, H.; Yu, Z.; Liu, X. Sex Specificity in the Mixed Effects of Blood Heavy Metals and Cognitive Function on Elderly: Evidence from NHANES. Nutrients 2023, 15, 2874. https://doi.org/10.3390/nu15132874
Song S, Liu N, Wang G, Wang Y, Zhang X, Zhao X, Chang H, Yu Z, Liu X. Sex Specificity in the Mixed Effects of Blood Heavy Metals and Cognitive Function on Elderly: Evidence from NHANES. Nutrients. 2023; 15(13):2874. https://doi.org/10.3390/nu15132874
Chicago/Turabian StyleSong, Shuaixing, Nan Liu, Guoxu Wang, Yulin Wang, Xiaoan Zhang, Xin Zhao, Hui Chang, Zengli Yu, and Xiaozhuan Liu. 2023. "Sex Specificity in the Mixed Effects of Blood Heavy Metals and Cognitive Function on Elderly: Evidence from NHANES" Nutrients 15, no. 13: 2874. https://doi.org/10.3390/nu15132874
APA StyleSong, S., Liu, N., Wang, G., Wang, Y., Zhang, X., Zhao, X., Chang, H., Yu, Z., & Liu, X. (2023). Sex Specificity in the Mixed Effects of Blood Heavy Metals and Cognitive Function on Elderly: Evidence from NHANES. Nutrients, 15(13), 2874. https://doi.org/10.3390/nu15132874

