Lipoprotein Lipase Activity Does Not Differ in the Serum Environment of Vegans and Omnivores
Abstract
1. Introduction
2. Materials and Methods
2.1. Participants
2.2. Reagents
2.3. Isothermal-Titration Calorimetry (ITC) Measurements for LPL Activity
2.4. Evaluating the Efficacy of Long-Term Lipolysis Using Size Exclusion Chromatography (SEC) after Treatment with LPL
2.5. Data Analysis
3. Results
3.1. Ad Libitum Energy Intake and Macronutrient Composition of Both Diets
3.2. Comparison of Lipoprotein Parameters and LPL Activity
3.3. Fatty Acid Saturation and Measured LPL Activity
3.4. Evaluation of Long-Term Lipolysis Efficacy Using SEC
4. Discussion
Supplementary Materials
Author Contributions
Funding
Institutional Review Board Statement
Informed Consent Statement
Data Availability Statement
Acknowledgments
Conflicts of Interest
Appendix A
References
- Elliott, P.S.; Kharaty, S.S.; Phillips, C.M. Plant-Based Diets and Lipid, Lipoprotein, and Inflammatory Biomarkers of Cardiovascular Disease: A Review of Observational and Interventional Studies. Nutrients 2022, 14, 5371. [Google Scholar] [CrossRef]
- Nordestgaard, B.G. Triglyceride-Rich Lipoproteins and Atherosclerotic Cardiovascular Disease. Circ. Res. 2016, 118, 547–563. [Google Scholar] [CrossRef]
- Borén, J.; Taskinen, M.R.; Björnson, E.; Packard, C.J. Metabolism of Triglyceride-Rich Lipoproteins in Health and Dyslipidaemia. Nat. Rev. Cardiol. 2022, 19, 577–592. [Google Scholar] [CrossRef] [PubMed]
- de Biase, S.G.; Fernandes, S.F.C.; Gianini, R.J.; Duarte, J.L.G. Vegetarian Diet and Cholesterol and Triglycerides Levels. Arq. Bras. Cardiol. 2007, 88, 35–39. [Google Scholar] [CrossRef] [PubMed]
- Gunn, K.H.; Roberts, B.S.; Wang, F.; Strauss, J.D.; Borgnia, M.J.; Egelman, E.H.; Neher, S.B. The Structure of Helical Lipoprotein Lipase Reveals an Unexpected Twist in Lipase Storage. Proc. Natl. Acad. Sci. USA 2020, 117, 10254–10264. [Google Scholar] [CrossRef]
- Lithell, H.; Bruce, Å.; Gustafsson, I.B.; Höglund, N.J.; Karlström, B.; Ljunghall, K.; Sjölin, K.; Werner, I.; Vessby, B. Changes in Lipoprotein Metabolism during a Supplemented Fast and an Ensuing Vegetarian Diet Period. Ups. J. Med. Sci. 1985, 90, 73–83. [Google Scholar] [CrossRef] [PubMed]
- Coiffier, E.; Paris, R.; Lecerf, J. Effects of Dietary Saturated and Polyunsaturated Fat on Lipoprotein Lipase and Hepatic Triglyceride Lipase Activity. Comp. Biochem. Physiol. B 1987, 88, 187–192. [Google Scholar] [CrossRef]
- Campos, H.; Dreon, D.M.; Krauss, R.M. Associations of Hepatic and Lipoprotein Lipase Activities with Changes in Dietary Composition and Low-Density Lipoprotein Subclasses. J. Lipid Res. 1995, 36, 462–472. [Google Scholar] [CrossRef]
- Yost, T.J.; Jensen, D.R.; Haugen, B.R.; Eckel, R.H. Effect of Dietary Macronutrient Composition on Tissue-Specific Lipoprotein Lipase Activity and Insulin Action in Normal-Weight Subjects. Am. J. Clin. Nutr. 1998, 68, 296–302. [Google Scholar] [CrossRef]
- Kaviani, S.; Taylor, C.M.; Stevenson, J.L.; Cooper, J.A.; Paton, C.M. A 7-Day High-PUFA Diet Reduces Angiopoietin-Like Protein 3 and 8 Responses and Postprandial Triglyceride Levels in Healthy Females but Not Males: A Randomized Control Trial. BMC Nutr. 2019, 5, 1–11. [Google Scholar] [CrossRef]
- Kaviani, S.; Polley, K.R.; Dowd, M.K.; Cooper, J.A.; Paton, C.M. Differential Response of Fasting and Postprandial Angiopoietin-like Proteins 3, -4, and -8 to Cottonseed Oil versus Olive Oil. J. Funct. Foods 2021, 87, 104802. [Google Scholar] [CrossRef]
- Jonker, J.T.; Smit, J.W.A.; Hammer, S.; Snel, M.; van Der Meer, R.W.; Lamb, H.J.; Mattijssen, F.; Mudde, K.; Jazet, I.M.; Dekkers, O.M.; et al. Dietary Modulation of Plasma Angiopoietin-like Protein 4 Concentrations in Healthy Volunteers and in Patients with Type 2 Diabetes. Am. J. Clin. Nutr. 2013, 97, 255–260. [Google Scholar] [CrossRef]
- Zhang, R.; Zhang, K. An Updated ANGPTL3-4-8 Model as a Mechanism of Triglyceride Partitioning between Fat and Oxidative Tissues. Prog. Lipid Res. 2022, 85, 101140. [Google Scholar] [CrossRef] [PubMed]
- Kersten, S. New Insights into Angiopoietin-like Proteins in Lipid Metabolism and Cardiovascular Disease Risk. Curr. Opin. Lipidol. 2019, 30, 205–211. [Google Scholar] [CrossRef] [PubMed]
- Wu, S.A.; Kersten, S.; Qi, L. Lipoprotein Lipase and Its Regulators: An Unfolding Story. Trends Endocrinol. Metab. 2021, 32, 48–61. [Google Scholar] [CrossRef]
- Kovrov, O.; Landfors, F.; Saar-Kovrov, V.; Näslund, U.; Olivecrona, G. Lipoprotein Size Is a Main Determinant for the Rate of Hydrolysis by Exogenous LPL in Human Plasma. J. Lipid Res. 2022, 63, 100144. [Google Scholar] [CrossRef]
- Park, Y.; Jones, P.G.; Harris, W.S. Triacylglycerol-Rich Lipoprotein Margination: A Potential Surrogate for Whole-Body Lipoprotein Lipase Activity and Effects of Eicosapentaenoic and Docosahexaenoic Acids. Am. J. Clin. Nutr. 2004, 80, 45–50. [Google Scholar] [CrossRef]
- Tholstrup, T.; Sandström, B.; Bysted, A.; Hølmer, G. Effect of 6 Dietary Fatty Acids on the Postprandial Lipid Profile, Plasma Fatty Acids, Lipoprotein Lipase, and Cholesterol Ester Transfer Activities in Healthy Young Men. Am. J. Clin. Nutr. 2001, 73, 198–208. [Google Scholar] [CrossRef]
- Espinosa-Marrón, A.; Laviada-Molina, H.; Moreno-Enríquez, A.; Sosa-Crespo, I.F.; Molina-Segui, F.; Fer-nanda Villaseñor-Espinosa, M.; Antonio Ciau-Mendoza, J.; Alfredo Araujo-León, J. Serum Fatty Acids Chemical Characterization after Prolonged Exposure to a Vegan Diet. J. Food Nutr. Res. 2019, 7, 742–750. [Google Scholar] [CrossRef]
- Vinagre, J.C.; Vinagre, C.G.; Pozzi, F.S.; Slywitch, E.; Maranhão, R.C. Metabolism of Triglyceride-Rich Lipo-Proteins and Transfer of Lipids to High-Density Lipoproteins (HDL) in Vegan and Omnivore Subjects. Nutr. Metab. Cardiovasc. Dis. 2013, 23, 61–67. [Google Scholar] [CrossRef]
- Reimund, M.; Kovrov, O.; Olivecrona, G.; Lookene, A. Lipoprotein Lipase Activity and Interactions Studied in Human Plasma by Isothermal Titration Calorimetry. J. Lipid Res. 2017, 58, 279–288. [Google Scholar] [CrossRef]
- Bengtsson-Olivecrona, G.; Olivecrona, T. Phospholipase Activity of Milk Lipoprotein Lipase. Methods Enzym. 1991, 197, 345–356. [Google Scholar] [CrossRef]
- Reimund, M.; Wolska, A.; Risti, R.; Wilson, S.; Sviridov, D.; Remaley, A.T.; Lookene, A. Apolipoprotein C-II Mimetic Peptide Is an Efficient Activator of Lipoprotein Lipase in Human Plasma as Studied by a Calorimetric Approach. Biochem. Biophys. Res. Commun. 2019, 519, 67–72. [Google Scholar] [CrossRef]
- Risti, R.; Gunn, K.H.; Hiis-Hommuk, K.; Seeba, N.-N.; Karimi, H.; Villo, L.; Vendelin, M.; Neher, S.B.; Lõokene, A. Combined Action of Albumin and Heparin Regulates Lipoprotein Lipase Oligomerization, Stability, and Ligand Interactions. PLoS ONE 2023, 18, e0283358. [Google Scholar] [CrossRef] [PubMed]
- Chapman, M.J.; Goldstein, S.; Lagrange, D.; Laplaud, P.M. A Density Gradient Ultracentrifugal Procedure for the Isolation of the Major Lipoprotein Classes from Human Serum. J. Lipid Res. 1981, 22, 339–358. [Google Scholar] [CrossRef]
- Wachsmuth, N.B.; Aberer, F.; Haupt, S.; Schierbauer, J.R.; Zimmer, R.T.; Eckstein, M.L.; Zunner, B.; Schmidt, W.; Niedrist, T.; Sourij, H.; et al. The Impact of a High-Carbohydrate/Low Fat vs. Low-Carbohydrate Diet on Performance and Body Composition in Physically Active Adults: A Cross-Over Controlled Trial. Nutrients 2022, 14, 423. [Google Scholar] [CrossRef] [PubMed]
- Krisanits, B.; Randise, J.F.; Burton, C.E.; Findlay, V.J.; Turner, D.P. Pubertal Mammary Development as a “Susceptibility Window” for Breast Cancer Disparity. Adv. Cancer Res. 2020, 146, 57–82. [Google Scholar] [CrossRef] [PubMed]
- Morita, S. Metabolism and Modification of Apolipoprotein B-Containing Lipoproteins Involved in Dyslipidemia and Atherosclerosis. Biol. Pharm. Bull. 2016, 39, 1–24. [Google Scholar] [CrossRef]
- Ratner, B. The Correlation Coefficient: Its Values Range between +1/−1, or Do They? J. Target. Meas. Anal. Mark. 2009, 17, 139–142. [Google Scholar] [CrossRef]
- Su, X.; Kong, Y.; Peng, D.Q. New Insights into Apolipoprotein A5 in Controlling Lipoprotein Metabolism in Obesity and the Metabolic Syndrome Patients. Lipids Health Dis. 2018, 17, 174. [Google Scholar] [CrossRef]
- Tajima, S.; Yokoyama, S.; Yamamoto, A. Mechanism of Action of Lipoprotein Lipase on Triolein Particles: Effect of Apolipoprotein C-II. J. Biochem. 1984, 96, 1753–1767. [Google Scholar] [CrossRef] [PubMed]
- Mitsche, M.A.; Small, D.M. Surface Pressure-Dependent Conformation Change of Apolipoprotein-Derived Amphipathic α-Helices. J. Lipid Res. 2013, 54, 1578–1588. [Google Scholar] [CrossRef] [PubMed]
- Meyers, N.L.; Wang, L.; Small, D.M. Apolipoprotein C-I Binds More Strongly to Phospholipid/Triolein/Water than Triolein/Water Interfaces: A Possible Model for Inhibiting Cholesterol Ester Transfer Protein Activity and Triacylglycerol-Rich Lipoprotein Uptake. Biochemistry 2012, 51, 1238–1248. [Google Scholar] [CrossRef] [PubMed]
- Mehta, A.; Shapiro, M.D. Apolipoproteins in Vascular Biology and Atherosclerotic Disease. Nat. Rev. Cardiol. 2022, 19, 168–179. [Google Scholar] [CrossRef]
- Fielding, C.J.; Fielding, P.E. Mechanism of Salt-Mediated Inhibition of Lipoprotein Lipase. J. Lipid Res. 1976, 17, 248–256. [Google Scholar] [CrossRef]
- Kumari, A.; Kristensen, K.K.; Ploug, M.; Lund Winther, A.M. The Importance of Lipoprotein Lipase Regulation in Atherosclerosis. Biomedicines 2021, 9, 782. [Google Scholar] [CrossRef]
- López-Soldado, I.; Avella, M.; Botham, K.M. Differential Influence of Different Dietary Fatty Acids on Very Low-Density Lipoprotein Secretion When Delivered to Hepatocytes in Chylomicron Remnants. Metabolism 2009, 58, 186–195. [Google Scholar] [CrossRef]
- Heath, R.B.; Karpe, F.; Milne, R.W.; Burdge, G.C.; Wootton, S.A.; Frayn, K.N. Selective Partitioning of Dietary Fatty Acids into the VLDL TG Pool in the Early Postprandial Period. J. Lipid Res. 2003, 44, 2065–2072. [Google Scholar] [CrossRef]
- Skulas-Ray, A.C.; Wilson, P.W.F.; Harris, W.S.; Brinton, E.A.; Kris-Etherton, P.M.; Richter, C.K.; Jacobson, T.A.; Engler, M.B.; Miller, M.; Robinson, J.G.; et al. On Behalf of the American Heart Association Council on Arte-Riosclerosis, Thrombosis and Vascular Biology; Council on Lifestyle and Cardiometabolic Health; Council on Cardiovas-Cular Disease in the Young; Council on Cardiovascular and Stroke Nursing; and Council on Clinical Cardiology Omega-3 Fatty Acids for the Management of Hypertriglyceridemia Circulation. Circulation 2019, 140, 673–691. [Google Scholar] [CrossRef]
- Plourde, M.; Cunnane, S.C. Extremely Limited Synthesis of Long Chain Polyunsaturates in Adults: Implications for Their Dietary Essentiality and Use as Supplements. Appl. Physiol. Nutr. Metab. 2007, 32, 619–634. [Google Scholar] [CrossRef]
- Lund-Katz, S.; Phillips, M.C. High Density Lipoprotein Structure-Function and Role in Reverse Cholesterol Transport. Subcell. Biochem. 2010, 51, 183–227. [Google Scholar] [CrossRef] [PubMed]
- Song, W.; Yang, Y.; Heizer, P.; Tu, Y.; Weston, T.A.; Kim, J.R.; Munguia, P.; Jung, H.; Fong, J.L.-C.; Tran, C.; et al. Intracapillary LPL Levels in Brown Adipose Tissue, Visualized with an Antibody-Based Approach, Are Regulated by ANGPTL4 at Thermoneutral Temperatures. Proc. Natl. Acad. Sci. USA 2023, 120, e2219833120. [Google Scholar] [CrossRef] [PubMed]
- Rees, K.; Al-Khudairy, L.; Takeda, A.; Stranges, S. Vegan Dietary Pattern for the Primary and Secondary Prevention of Cardiovascular Diseases. Cochrane Database Syst. Rev. 2021, 2, CD013501. [Google Scholar] [CrossRef] [PubMed]

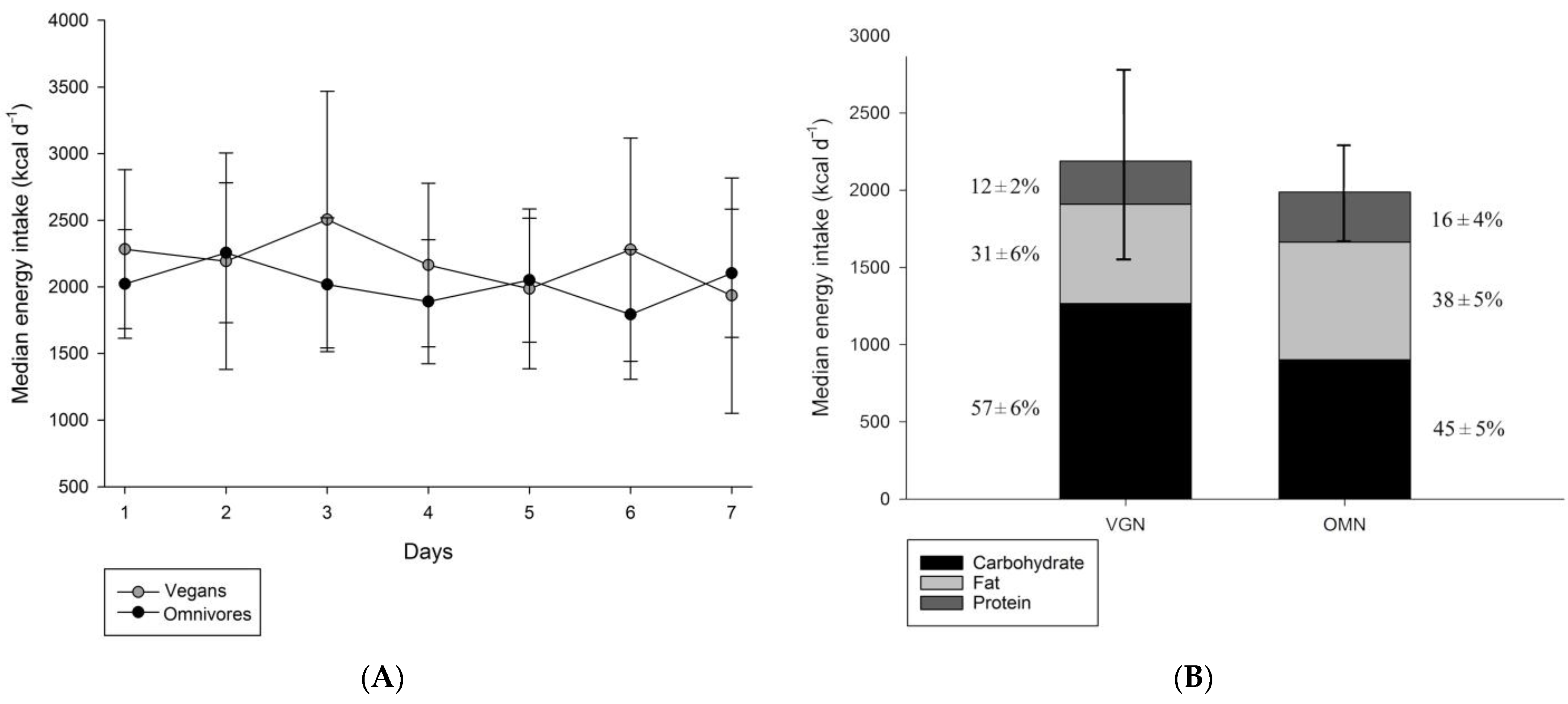
) and omnivore (
) participants; (B) Median macronutrient composition of both diets illustrating the carbohydrate rich diet of the vegan group > 45% of energy from carbohydrates and the fat-rich diet of the omnivore group > 35% of energy from fats. On average, vegan participants consumed more carbohydrates and less protein and fat than their omnivore counterparts.
) and omnivore (
) participants; (B) Median macronutrient composition of both diets illustrating the carbohydrate rich diet of the vegan group > 45% of energy from carbohydrates and the fat-rich diet of the omnivore group > 35% of energy from fats. On average, vegan participants consumed more carbohydrates and less protein and fat than their omnivore counterparts.







| LPL Activity 1 (µW/µg) | ApoA-I (g/L) | ApoB(g/L) | HDL-C (mmol/L) | TC 2 (mmol/L) | LDL-C 3 (mmol/L) | TG (mmol/L) | |
|---|---|---|---|---|---|---|---|
| Vegan group N = 17 | 56.53 ± 17.97 | 1.61 ± 0.19 | 0.70 ± 0.22 | 1.53 ± 0.26 | 4.12 ± 0.82 | 2.33 ± 0.87 | 0.69 ± 0.35 |
| Omnivore group N = 14 | 57.26 ± 18.03 | 1.61 ± 0.23 | 0.84 ± 0.21 | 1.52 ± 0.29 | 4.81 ± 0.85 | 3.02 ± 0.97 | 0.67 ± 0.31 |
| Participant * | TG (mmol/L) | LPL Activity (µW/µg) | Difference p < 0.05 |
|---|---|---|---|
| OMF231 | 0.33 | 22.57 ± 2.31 | 2.2-fold |
| OMF401 | 0.33 | 49.96 ± 3.72 | |
| OMF222 | 0.39 | 36.10 ± 5.82 | 1.8-fold |
| VGNM211 | 0.39 | 65.83 ± 5.70 | |
| OMF321 | 0.53 | 29.91 ± 3.85 | 2.8-fold |
| OMF351 | 0.53 | 84.77 ± 8.76 | |
| OMF251 | 0.59 | 49.88 ± 6.70 | 1.7-fold |
| VGNF311 | 0.60 | 88.19 ± 8.37 | |
| VGNF331 | 1.02 | 35.93 ± 0.39 | 2.5-fold |
| VGNM251 | 1.05 | 90.77 ± 5.17 |
Disclaimer/Publisher’s Note: The statements, opinions and data contained in all publications are solely those of the individual author(s) and contributor(s) and not of MDPI and/or the editor(s). MDPI and/or the editor(s) disclaim responsibility for any injury to people or property resulting from any ideas, methods, instructions or products referred to in the content. |
© 2023 by the authors. Licensee MDPI, Basel, Switzerland. This article is an open access article distributed under the terms and conditions of the Creative Commons Attribution (CC BY) license (https://creativecommons.org/licenses/by/4.0/).
Share and Cite
Seeba, N.-N.; Risti, R.; Lõokene, A. Lipoprotein Lipase Activity Does Not Differ in the Serum Environment of Vegans and Omnivores. Nutrients 2023, 15, 2755. https://doi.org/10.3390/nu15122755
Seeba N-N, Risti R, Lõokene A. Lipoprotein Lipase Activity Does Not Differ in the Serum Environment of Vegans and Omnivores. Nutrients. 2023; 15(12):2755. https://doi.org/10.3390/nu15122755
Chicago/Turabian StyleSeeba, Natjan-Naatan, Robert Risti, and Aivar Lõokene. 2023. "Lipoprotein Lipase Activity Does Not Differ in the Serum Environment of Vegans and Omnivores" Nutrients 15, no. 12: 2755. https://doi.org/10.3390/nu15122755
APA StyleSeeba, N.-N., Risti, R., & Lõokene, A. (2023). Lipoprotein Lipase Activity Does Not Differ in the Serum Environment of Vegans and Omnivores. Nutrients, 15(12), 2755. https://doi.org/10.3390/nu15122755

