Association of Dietary α-Carotene and β-Carotene Intake with Low Cognitive Performance in Older Adults: A Cross-Sectional Study from the National Health and Nutrition Examination Survey
Abstract
1. Introduction
2. Materials and Methods
2.1. Study Population
2.2. Measurement of the Dietary α-Carotene and β-Carotene Intake
2.3. Assessments of Cognitive Function
2.4. Other Variables of Interest
2.5. Statistical Analysis
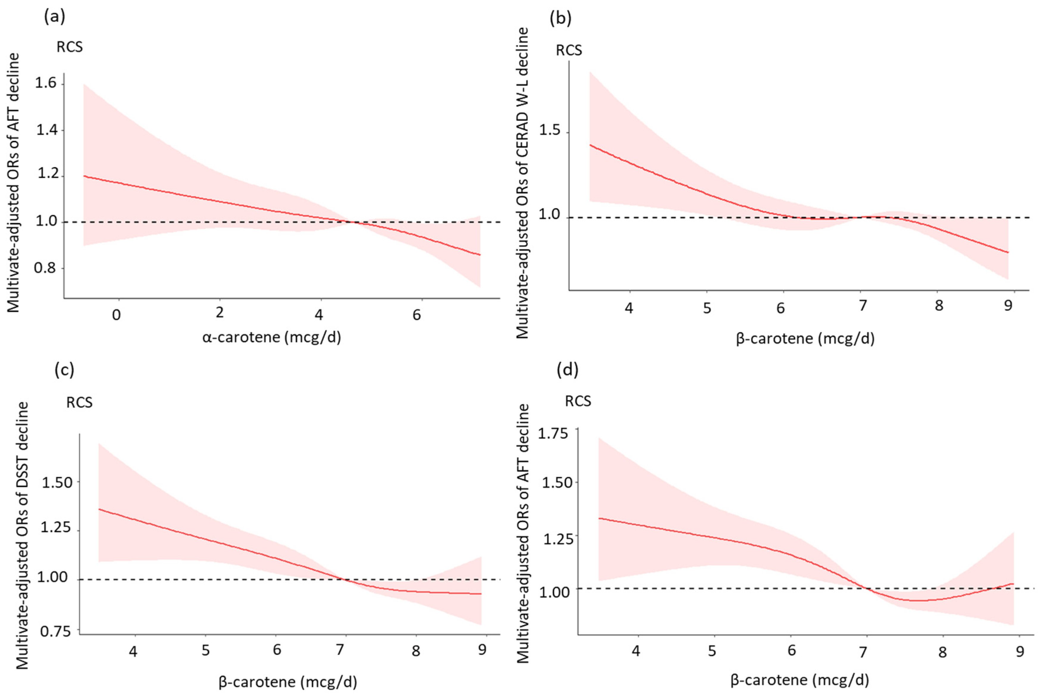
3. Results
4. Discussion
5. Conclusions
Author Contributions
Funding
Institutional Review Board Statement
Informed Consent Statement
Data Availability Statement
Conflicts of Interest
References
- Soldan, A.; Pettigrew, C.; Cai, Q.; Wang, J.; Wang, M.C.; Moghekar, A.; Miller, M.I.; Albert, M.; Team, B.R. Cognitive reserve and long-term change in cognition in aging and preclinical Alzheimer’s disease. Neurobiol. Aging 2017, 60, 164–172. [Google Scholar] [CrossRef]
- Gregory, J.; Vengalasetti, Y.V.; Bredesen, D.E.; Rao, R.V. Neuroprotective herbs for the management of Alzheimer’s disease. Biomolecules 2021, 11, 543. [Google Scholar] [CrossRef] [PubMed]
- Alzheimer’s Association. 2021 Alzheimers disease facts and figures. Alzheimer’s Dement. 2021, 17, 327–406. [Google Scholar] [CrossRef] [PubMed]
- Karssemeijer, E.G.A.; Aaronson, J.A.; Bossers, W.J.; Smits, T.; Olde Rikkert, M.G.M.; Kessels, R.P.C. Positive effects of combined cognitive and physical exercise training on cognitive function in older adults with mild cognitive impairment or dementia: A meta-analysis. Ageing Res. Rev. 2017, 40, 75–83. [Google Scholar] [CrossRef] [PubMed]
- Dye, L.; Boyle, N.B.; Champ, C.; Lawton, C. The relationship between obesity and cognitive health and decline. Proc. Nutr. Soc. 2017, 76, 443–454. [Google Scholar] [CrossRef] [PubMed]
- Lovden, M.; Fratiglioni, L.; Glymour, M.M.; Lindenberger, U.; Tucker-Drob, E.M. Education and cognitive functioning across the life span. Psychol. Sci. Public Interest 2020, 21, 6–41. [Google Scholar] [CrossRef] [PubMed]
- Jin, X.; He, W.; Zhang, Y.; Gong, E.; Niu, Z.; Ji, J.; Li, Y.; Zeng, Y.; Yan, L.L. Association of APOE epsilon4 genotype and lifestyle with cognitive function among Chinese adults aged 80 years and older: A cross-sectional study. PLoS Med. 2021, 18, e1003597. [Google Scholar] [CrossRef] [PubMed]
- McGrattan, A.M.; McGuinness, B.; McKinley, M.C.; Kee, F.; Passmore, P.; Woodside, J.V.; McEvoy, C.T. Diet and inflammation in cognitive ageing and Alzheimer’s disease. Curr. Nutr. Rep. 2019, 8, 53–65. [Google Scholar] [CrossRef]
- Li, S.; Sun, W.; Zhang, D. Association of zinc, iron, copper, and selenium intakes with low cognitive performance in older adults: A cross-sectional study from National Health and Nutrition Examination Survey (NHANES). J. Alzheimers Dis. 2019, 72, 1145–1157. [Google Scholar] [CrossRef]
- Wang, L.; Liu, K.; Zhang, X.; Wang, Y.; Liu, W.; Wang, T.; Hao, L.; Ju, M.; Xiao, R. The effect and mechanism of cholesterol and vitamin B12 on multi-domain cognitive function: A prospective study on Chinese middle-aged and older adults. Front. Aging Neurosci. 2021, 13, 707958. [Google Scholar] [CrossRef]
- Ono, K.; Yamada, M. Vitamin A and Alzheimer’s disease. Geriatr. Gerontol. Int. 2012, 12, 180–188. [Google Scholar] [CrossRef]
- Woloszynowska-Fraser, M.U.; Kouchmeshky, A.; McCaffery, P. Vitamin A and retinoic acid in cognition and cognitive disease. Annu. Rev. Nutr. 2020, 40, 247–272. [Google Scholar] [CrossRef] [PubMed]
- Polcz, M.E.; Barbul, A. The role of vitamin A in wound healing. Nutr. Clin. Pract. 2019, 34, 695–700. [Google Scholar] [CrossRef] [PubMed]
- Harrison, E.H. Mechanisms involved in the intestinal absorption of dietary vitamin A and provitamin A carotenoids. Biochim. Biophys. Acta 2012, 1821, 70–77. [Google Scholar] [CrossRef]
- Liu, X.; Dhana, K.; Furtado, J.D.; Agarwal, P.; Aggarwal, N.T.; Tangney, C.; Laranjo, N.; Carey, V.; Barnes, L.L.; Sacks, F.M. Higher circulating alpha-carotene was associated with better cognitive function: An evaluation among the MIND trial participants. J. Nutr. Sci. 2021, 10, e64. [Google Scholar] [CrossRef]
- Lai, J.S.; Cai, S.; Lee, B.L.; Godfrey, K.M.; Gluckman, P.D.; Shek, L.P.; Yap, F.; Tan, K.H.; Chong, Y.S.; Ong, C.N.; et al. Higher maternal plasma beta-cryptoxanthin concentration is associated with better cognitive and motor development in offspring at 2 years of age. Eur. J. Nutr. 2021, 60, 703–714. [Google Scholar] [CrossRef] [PubMed]
- National Health and Nutrition Examination Survey. Questionnaires, Datasets, and Related Documentation. Available online: https://wwwn.cdc.gov/nchs/nhanes/default.aspx (accessed on 8 December 2022).
- Wang, A.; Zhao, M.; Luo, J.; Zhang, T.; Zhang, D. Association of dietary vitamin K intake with cognition in the elderly. Front. Nutr. 2022, 9, 900887. [Google Scholar] [CrossRef]
- National Health and Nutrition Examination Survey. 2013–2014 Data Documentation, Codebook, and Frequencies. Available online: https://wwwn.cdc.gov/Nchs/Nhanes/2013-2014/DR1IFF_H.htm (accessed on 22 October 2022).
- Dong, X.; Li, S.; Sun, J.; Li, Y.; Zhang, D. Association of coffee, decaffeinated coffee and caffeine intake from coffee with cognitive performance in older adults: National Health and Nutrition Examination Survey (NHANES) 2011–2014. Nutrients 2020, 12, 840. [Google Scholar] [CrossRef] [PubMed]
- Fillenbaum, G.G.; van Belle, G.; Morris, J.C.; Mohs, R.C.; Mirra, S.S.; Davis, P.C.; Tariot, P.N.; Silverman, J.M.; Clark, C.M.; Welsh-Bohmer, K.A.; et al. Consortium to Establish a Registry for Alzheimer’s Disease (CERAD): The first twenty years. Alzheimers Dement. 2008, 4, 96–109. [Google Scholar] [CrossRef] [PubMed]
- Clark, L.J.; Gatz, M.; Zheng, L.; Chen, Y.L.; McCleary, C.; Mack, W.J. Longitudinal verbal fluency in normal aging, preclinical and prevalent Alzheimer’s disease. Am. J. Alzheimers Dis. Other Dement. 2009, 24, 461–468. [Google Scholar] [CrossRef] [PubMed]
- Plassman, B.L.; Langa, K.M.; Fisher, G.G.; Heeringa, S.G.; Weir, D.R.; Ofstedal, M.B.; Burke, J.R.; Hurd, M.D.; Potter, G.G.; Rodgers, W.L.; et al. Prevalence of dementia in the United States, the aging, demographics, and memory study. Neuroepidemiology 2007, 29, 125–132. [Google Scholar] [CrossRef]
- Sotaniemi, M.; Pulliainen, V.; Hokkanen, L.; Pirttila, T.; Hallikainen, I.; Soininen, H.; Hanninen, T. CERAD-neuropsychological battery in screening mild Alzheimer’s disease. Acta Neurol. Scand. 2012, 125, 16–23. [Google Scholar] [CrossRef] [PubMed]
- Rosano, C.; Perera, S.; Inzitari, M.; Newman, A.B.; Longstreth, W.T.; Studenski, S. Digit Symbol Substitution test and future clinical and subclinical disorders of cognition, mobility and mood in older adults. Age Ageing 2016, 45, 688–695. [Google Scholar] [CrossRef] [PubMed]
- Long, L.S.; Wolpaw, J.T.; Leung, J.M. Sensitivity and specificity of the animal fluency test for predicting postoperative delirium. Can. J. Anaesth. 2015, 62, 603–608. [Google Scholar] [CrossRef] [PubMed]
- Fu, X.; Li, H.; Chen, X.; Cai, J.; Yao, T.; Song, L.; Cen, M.; Wu, J. Associations between urinary caffeine and caffeine metabolites and cognitive function in older adults. Nutr. Neurosci. 2022. [Google Scholar] [CrossRef]
- Chen, S.P.; Bhattacharya, J.; Pershing, S. Association of vision loss with cognition in older adults. JAMA Ophthalmol. 2017, 135, 963–970. [Google Scholar] [CrossRef]
- Zhou, J.; Ma, L.; Zhao, L.; Sheng, J.; Xu, Y.; Chen, J.; Yu, L.; Sun, Q.; Zhou, H.; Zhu, S.; et al. Association between the prognostic nutritional index and cognitive function among older adults in the United States: A population-based study. J. Alzheimers Dis. 2021, 83, 819–831. [Google Scholar] [CrossRef]
- Peeri, N.C.; Egan, K.M.; Chai, W.; Tao, M.H. Association of magnesium intake and vitamin D status with cognitive function in older adults: An analysis of US national health and nutrition examination survey (NHANES) 2011 to 2014. Eur. J. Nutr. 2021, 60, 465–474. [Google Scholar] [CrossRef]
- Poulose, S.M.; Miller, M.G.; Scott, T.; Shukitt-Hale, B. Nutritional factors affecting adult neurogenesis and cognitive function. Adv. Nutr. 2017, 8, 804–811. [Google Scholar] [CrossRef]
- Molteni, R.; Barnard, R.J.; Ying, Z.; Roberts, C.K.; Gomez-Pinilla, F. A high fat, refined sugar diet reduces hippocampal brain-derived neurotrophic factor, neuronal plasticity, and learning. Neuroscience 2002, 112, 803–814. [Google Scholar] [CrossRef]
- Park, H.R.; Park, M.; Choi, J.; Park, K.Y.; Chung, H.Y.; Lee, J. A high-fat diet impairs neurogenesis: Involvement of lipid peroxidation and brain derived neurotrophic factor. Neurosci. Lett. 2010, 482, 235. [Google Scholar] [CrossRef]
- Simon, M.; Czeh, B.; Fuchs, E. Age-dependent susceptibility of adult hip pocampal cell proliferation to chronic psychosocial stress. Brain Res. 2005, 1049, 244–248. [Google Scholar] [CrossRef] [PubMed]
- Durga, J.; van Boxtel, M.P.; Schouten, E.G.; Kok, F.J.; Jolles, J.; Katan, M.B.; Verhoef, P. Effect of 3-year folic acid supplementation on cognitive function in older adults in the FACIT trial: A randomised, double blind, controlled trial. Lancet 2007, 369, 208–216. [Google Scholar] [CrossRef] [PubMed]
- Kronenberg, G.; Harms, C.; Sobol, R.W.; Cardozo-Pelaez, F.; Linhart, H.; Winter, B.; Balkaya, M.; Gertz, K.; Gay, S.B.; Cox, D.; et al. Folate deficiency induces neurodegeneration and brain dysfunction in mice lacking uracil DNA glycosylase. J. Neurosci. 2008, 28, 7219–7230. [Google Scholar] [CrossRef] [PubMed]
- Kim, C.S.; Cha, L.; Sim, M.; Jung, S.; Chun, W.Y.; Baik, H.W.; Shin, D.M. Probiotic supplementation improves cognitive function and mood with changes in gut microbiota in community-dwelling older adults: A randomized, double-blind, placebo-controlled, multicenter trial. J. Gerontol. A Biol. Sci. Med. Sci. 2021, 76, 32–40. [Google Scholar] [CrossRef] [PubMed]
- Kesse-Guyot, E.; Andreeva, V.A.; Ducros, V.; Jeandel, C.; Julia, C.; Hercberg, S.; Galan, P. Carotenoid-rich dietary patterns during midlife and subsequent cognitive function. Br. J. Nutr. 2014, 111, 915–923. [Google Scholar] [CrossRef]
- Li, Y.; Liu, S.; Man, Y.; Li, N.; Zhou, Y.U. Effects of vitamins E and C combined with beta-carotene on cognitive function in the elderly. Exp. Ther. Med. 2015, 9, 1489–1493. [Google Scholar] [CrossRef]
- Grodstein, F.; Kang, J.H.; Glynn, R.J.; Cook, N.R.; Gaziano, J.M. A randomized trial of beta carotene supplementation and cognitive function in men: The Physicians’ Health Study II. Arch. Intern. Med. 2007, 167, 2184–2190. [Google Scholar] [CrossRef]
- Perrig, W.J.; Perrig, P.; Stahelin, H.B. The relation between antioxidants and memory performance in the old and very old. J. Am. Geriatr. Soc. 1997, 45, 718–724. [Google Scholar] [CrossRef]
- Bjelakovic, G.; Nikolova, D.; Gluud, L.L.; Simonetti, R.G.; Gluud, C. Antioxidant supplements for prevention of mortality in healthy participants and patients with various diseases. Cochrane Database Syst. Rev. 2012, 3, Cd007176. [Google Scholar] [CrossRef]
- Jama, J.W.; Launer, L.J.; Witteman, J.C.M.; Den Breeijen, J.H.; Breteler, M.M.B.; Grobbee, D.E.; Hofman, A. Dietary antioxidants and cognitive function in a population-based sample of older persons: The Rotterdam Study. Am. J. Epidemiol. 1996, 144, 275–280. [Google Scholar] [CrossRef]
- Johnson, E.J.; Vishwanathan, R.; Johnson, M.A.; Hausman, D.B.; Davey, A.; Scott, T.M.; Green, R.C.; Miller, L.S.; Gearing, M.; Woodard, J.; et al. Relationship between serum and brain carotenoids, alpha-tocopherol, and retinol concentrations and cognitive performance in the oldest old from the Georgia Centenarian Study. J. Aging Res. 2013, 2013, 951786. [Google Scholar] [CrossRef] [PubMed]
- Eggersdorfer, M.; Wyss, A. Carotenoids in human nutrition and health. Arch. Biochem. Biophys. 2018, 652, 18–26. [Google Scholar] [CrossRef] [PubMed]
- Biyong, E.F.; Alfos, S.; Dumetz, F.; Helbling, J.C.; Aubert, A.; Brossaud, J.; Foury, A.; Moisan, M.P.; Laye, S.; Richard, E.; et al. Dietary vitamin A supplementation prevents early obesogenic diet-induced microbiota, neuronal and cognitive alterations. Int. J. Obes. 2021, 45, 588–598. [Google Scholar] [CrossRef]
- González, R.P.; De la Cruz-Góngora, V.; Rodríguez, A.S. Serum retinol levels are associated with cognitive function among community-dwelling older Mexican adults. Nutr. Neurosci. 2022, 25, 1881–1888. [Google Scholar] [CrossRef] [PubMed]
- Johnson, E.J. Role of lutein and zeaxanthin in visual and cognitive function throughout the lifespan. Nutr. Rev. 2014, 72, 605–612. [Google Scholar] [CrossRef]
- Johnson, E.J. A possible role for lutein and zeaxanthin in cognitive function in the elderly. Am. J. Clin. Nutr. 2012, 96, 1161S–1165S. [Google Scholar] [CrossRef]
- Renzi-Hammond, L.M.; Bovier, E.R.; Fletcher, L.M.; Miller, L.S.; Mewborn, C.M.; Lindbergh, C.A.; Baxter, J.H.; Hammond, B.R. Effects of a lutein and zeaxanthin intervention on cognitive function: A randomized, double-masked, placebo-controlled trial of younger healthy adults. Nutrients 2017, 9, 1246. [Google Scholar] [CrossRef]
- Ceravolo, S.A.; Hammond, B.R.; Oliver, W.; Clementz, B.; Miller, L.S.; Renzi-Hammond, L.M. Dietary carotenoids lutein and zeaxanthin change brain activation in older adult participants: A randomized, double-masked, placebo-controlled trial. Mol. Nutr. Food Res. 2019, 63, e1801051. [Google Scholar] [CrossRef]
- Semba, R.D.; Chang, S.S.; Sun, K.; Talegawkar, S.; Ferrucci, L.; Fried, L.P. Serum carotenoids and pulmonary function in older community-dwelling women. J. Nutr. Health Aging 2012, 16, 291–296. [Google Scholar] [CrossRef]
- Farina, N.; Llewellyn, D.; Isaac, M.G.E.K.N.; Tabet, N. Vitamin E for Alzheimer’s dementia and mild cognitive impairment. Cochrane Database Syst. Rev. 2017, 4, CD002854. [Google Scholar] [PubMed]
- Kawada, T. Selenium intake and cognitive function. Clin. Nutr. ESPEN 2022, 50, 338–339. [Google Scholar] [CrossRef]
- Yeh, T.S.; Yuan, C.; Ascherio, A.; Rosner, B.A.; Willett, W.C.; Blacker, D. Long-term dietary flavonoid intake and subjective cognitive decline in US men and women. Neurology 2021, 97, e1041–e1056. [Google Scholar] [CrossRef] [PubMed]
- Bacchetti, T.; Turco, I.; Urbano, A.; Morresi, C.; Ferretti, G. Relationship of fruit and vegetable intake to dietary antioxidant capacity and markers of oxidative stress: A sex-related study. Nutrition 2019, 61, 164–172. [Google Scholar] [CrossRef] [PubMed]
- Borel, P.; Troadec, R.; Damiani, M.; Halimi, C.; Nowicki, M.; Guichard, P.; Margier, M.; Astier, J.; Grino, M.; Reboul, E.; et al. β-carotene bioavailability and conversion efficiency are significantly affected by sex in rats: First observation suggesting a possible hormetic regulation of vitamin A metabolism in female rats. Mol. Nutr. Food Res. 2021, 65, e2100650. [Google Scholar] [CrossRef] [PubMed]


| CERAD W-L | AFT | DSST | |||||||
|---|---|---|---|---|---|---|---|---|---|
| Low Cognitive Function | Normal Cognitive Function | p-Value | Low Cognitive Function | Normal Cognitive Function | p-Value | Low Cognitive Function | Normal Cognitive Function | p-Value | |
| Age a | 72.22 (6.84) | 68.56 (6.44) | <0.001 | 71.17 (6.82) | 68.95 (6.61) | <0.001 | 71.61 (6.81) | 68.79 (6.56) | <0.001 |
| Poverty-income ratio a | 2.23 (1.51) | 2.76 (1.59) | <0.001 | 2.16 (1.46) | 2.77 (1.59) | <0.001 | 1.78 (1.26) | 2.89 (1.58) | <0.001 |
| BMI a | 28.73 (6.40) | 29.70 (6.53) | 0.005 | 29.25 (6.39) | 29.53 (6.54) | 0.424 | 29.46 (6.52) | 29.47 (6.51) | 0.974 |
| Ln α-carotene a | 4.49 (1.67) | 4.60 (1.62) | 0.218 | 4.40 (1.59) | 4.62 (1.64) | 0.013 | 4.48 (1.63) | 4.60 (1.63) | 0.155 |
| Ln β-carotene a | 6.62 (1.23) | 6.92 (1.08) | <0.001 | 6.61 (1.22) | 6.91 (1.09) | <0.001 | 6.54 (1.23) | 6.94 (1.07) | <0.001 |
| Gender b | |||||||||
| male | 291 (60.4%) | 694 (45.4%) | <0.001 | 219 (49.8%) | 766 (48.8%) | 0.724 | 254 (55.0%) | 731 (47.3%) | 0.004 |
| female | 191 (39.6%) | 833 (54.6%) | 221 (50.2%) | 803 (51.2%) | 208 (45.0%) | 816 (52.7%) | |||
| Race/ethnicity b | |||||||||
| Mexican American | 52 (10.8%) | 113 (7.4%) | 0.035 | 34 (7.7%) | 131 (8.3%) | <0.001 | 61 (13.2%) | 104 (6.7%) | <0.001 |
| Other Hispanic | 55 (11.4%) | 134 (8.8%) | 48 (10.9%) | 141 (9.0%) | 81 (17.5%) | 108 (7.0%) | |||
| Non-Hispanic White | 239 (49.6%) | 804 (52.7%) | 162 (36.8%) | 881 (56.2%) | 152 (32.9%) | 891 (57.6%) | |||
| Non-Hispanic Black | 107 (22.2%) | 356 (23.3%) | 157 (35.7%) | 306 (19.5%) | 155 (33.5%) | 308 (19.9%) | |||
| Other Race | 29 (6.0%) | 120 (7.9%) | 39 (8.9%) | 110 (7.0%) | 13 (2.8%) | 136 (8.8%) | |||
| Marital status b | |||||||||
| Married | 256 (53.1%) | 869 (56.9%) | 0.004 | 224 (50.9%) | 901 (57.4%) | <0.001 | 214 (46.3%) | 911 (58.9%) | <0.001 |
| Widowed | 114 (23.7%) | 262 (17.2%) | 115 (26.1%) | 261 (16.6%) | 127 (27.5%) | 249 (16.1%) | |||
| Divorced | 53 (11.0%) | 234 (15.3%) | 58 (13.2%) | 229 (14.6%) | 55 (11.9%) | 232 (15.0%) | |||
| Separated | 16 (3.3%) | 44 (2.9%) | 17 (3.9%) | 43 (2.7%) | 29 (6.3%) | 31 (2.0%) | |||
| Never married | 25 (5.2%) | 84 (5.5%) | 19 (4.3%) | 90 (5.7%) | 25 (5.4%) | 84 (5.4%) | |||
| Living with a partner | 18 (3.7%) | 34 (2.2%) | 7 (1.6%) | 45 (2.9%) | 12 (2.6%) | 40 (2.6%) | |||
| Education b | |||||||||
| <High school | 187 (38.8%) | 275 (18.0%) | <0.001 | 158 (35.9%) | 304 (19.4%) | <0.001 | 240 (51.9%) | 222 (14.4%) | <0.001 |
| High school | 115(23.9%) | 368 (24.1%) | 128 (29.1%) | 355 (22.6%) | 114 (24.7%) | 369 (23.9%) | |||
| >High school | 180 (37.3%) | 884 (57.9%) | 154 (35.0%) | 910 (58.0%) | 108 (23.4%) | 956 (61.8%) | |||
| Smoking status b | |||||||||
| Yes | 243 (50.4%) | 803 (52.6%) | 0.405 | 232 (52.7%) | 814 (51.9%) | 0.753 | 238 (51.5%) | 808 (52.2%) | 0.787 |
| No | 239 (49.6%) | 724 (47.4%) | 208 (47.3%) | 755 (41.8%) | 224 (48.5%) | 739 (47.8%) | |||
| Alcohol intake b | |||||||||
| Yes | 334 (69.3%) | 1074 (70.3%) | 0.664 | 287 (65.2%) | 1121 (71.4%) | 0.012 | 293 (63.4%) | 1115 (72.1%) | <0.001 |
| No | 148 (30.7%) | 453 (29.7%) | 153 (34.8%) | 448 (28.6%) | 169 (36.6%) | 432 (27.9%) | |||
| Diabetes b,c | |||||||||
| Yes | 132 (27.4%) | 353 (23.1%) | 0.161 | 136 (30.9%) | 349 (22.2%) | 0.001 | 153 (33.1%) | 332 (21.5%) | <0.001 |
| No | 328 (68.0%) | 1101 (72.1%) | 286 (65.0%) | 1143 (72.8%) | 288 (62.3%) | 1141 (73.8%) | |||
| Borderline | 22 (6.4%) | 73 (4.8%) | 18 (4.1%) | 77 (4.9%) | 21 (4.5%) | 74 (4.8%) | |||
| CERAD W-L | AFT | DSST | |||||||
|---|---|---|---|---|---|---|---|---|---|
| Crude | Model I a | Model II b | Crude | Model I a | Model II b | Crude | Model I a | Model II b | |
| α-carotene (mcg/d) | |||||||||
| Q1 (≤17.5) | Reference | Reference | Reference | Reference | Reference | Reference | Reference | Reference | Reference |
| Q2 (17.5 to ≤62.5) | 0.85 (0.62, 1.16) | 0.79 (0.56, 1.09) | 0.89 (0.63, 1.25) | 0.85 (0.62, 1.17) | 0.83 (0.60, 1.14) | 0.95 (0.68, 1.33) | 1.00 (0.72, 1.37) | 0.93 (0.67, 1.29) | 1.26 (0.87, 1.83) |
| Q3 (62.5 to ≤358) | 0.74 (0.55, 1.00) | 0.69 (0.50, 0.94) * | 0.82 (0.59, 1.14) | 0.86 (0.63, 1.16) | 0.81 (0.59, 1.10) | 0.98 (0.71, 1.35) | 0.84 (0.62, 1.13) | 0.77 (0.56, 1.06) | 1.16 (0.81, 1.65) |
| Q4 (>358) | 0.79 (0.58, 1.09) | 0.70 (0.50, 0.97) * | 0.84 (0.60, 1.19) | 0.57 (0.41, 0.80) * | 0.53 (0.38, 0.74) ** | 0.66 (0.46, 0.94) * | 0.80 (0.58, 1.11) | 0.73 (0.52, 1.02) | 1.15 (0.79, 1.69) |
| β-carotene (mcg/d) | |||||||||
| Q1 (≤338) | Reference | Reference | Reference | Reference | Reference | Reference | Reference | Reference | Reference |
| Q2 (338 to ≤819) | 0.72 (0.53, 0.98) * | 0.67 (0.49, 0.93) * | 0.84 (0.60, 1.18) | 0.65 (0.47, 0.88) * | 0.65 (0.47, 0.89) * | 0.80 (0.57, 1.10) | 0.64 (0.47, 0.87) * | 0.60 (0.44, 0.81) * | 0.89 (0.63, 1.26) |
| Q3 (819 to ≤2222.5) | 0.66 (0.50, 0.88) ** | 0.61 (0.46, 0.83) * | 0.81 (0.59, 1.11) | 0.51 (0.38, 0.69) ** | 0.49 (0.36, 0.66) ** | 0.65 (0.48, 0.89) * | 0.45 (0.34, 0.60) ** | 0.42 (0.31, 0.56) ** | 0.67 (0.48, 0.83) * |
| Q4 (>2222.5) | 0.60 (0.37, 0.69) ** | 0.46 (0.33, 0.64) ** | 0.63 (0.44, 0.90) * | 0.52 (0.38, 0.71) ** | 0.48 (0.35, 0.66) ** | 0.66 (0.47, 0.94) * | 0.42 (0.30, 0.57) ** | 0.39 (0.28, 0.54) ** | 0.73 (0.50, 1.06) |
| CERAD W-L | AFT | DSST | ||||
|---|---|---|---|---|---|---|
| Crude | Model II a | Crude | Model II a | Crude | Model II a | |
| Male | ||||||
| α-carotene (mcg/d) | ||||||
| Q1 (≤17.5) | Reference | Reference | Reference | Reference | Reference | Reference |
| Q2 (17.5 to ≤62.5) | 0.97 (0.64, 1.47) | 1.02 (0.66, 1.60) | 0.87 (0.57, 1.33) | 0.96 (0.61, 1.51) | 1.04 (0.69, 1.57) | 1.31 (0.81, 2.12) |
| Q3 (62.5 to ≤358) | 0.95 (0.64, 1.42) | 1.10 (0.71, 1.69) | 0.84 (0.55, 1.27) | 1.00 (0.64, 1.56) | 0.69 (0.46, 1.04) | 0.98 (0.61, 1.59) |
| Q4 (>358) | 0.89 (0.59, 1.34) | 0.98 (0.62, 1.53) | 0.37 (0.23, 0.60) ** | 0.42 (0.25, 0.71) ** | 0.62 (0.40, 0.96) * | 0.89 (0.54, 1.47) |
| β-carotene (mcg/d) | ||||||
| Q1 (≤338) | Reference | Reference | Reference | Reference | Reference | Reference |
| Q2 (338 to ≤819) | 0.84 (0.55, 1.26) | 1.05 (0.67, 1.63) | 0.72 (0.47, 1.10) | 0.95 (0.60, 1.50) | 0.61 (0.40, 0.92) * | 0.94 (0.58, 1.51) |
| Q3 (819 to ≤2222.5) | 0.79 (0.54, 1.17) | 0.99 (0.65, 1.51) | 0.57 (0.38, 0.85) ** | 0.73 (0.47, 1.13) | 0.46 (0.31, 0.68) ** | 0.68 (0.43, 1.07) |
| Q4 (>2222.5) | 0.71 (0.46, 1.08) | 0.94 (0.59, 1.51) | 0.41 (0.25, 0.65) ** | 0.51 (0.30, 0.85) ** | 0.35 (0.22, 0.55) ** | 0.64 (0.38, 1.09) |
| Female | ||||||
| α-carotene (mcg/d) | ||||||
| Q1 (≤17.5) | Reference | Reference | Reference | Reference | Reference | Reference |
| Q2 (17.5 to ≤62.5) | 0.74 (0.45, 1.21) | 0.70 (0.41, 1.20) | 0.85 (0.52, 1.39) | 0.94 (0.56, 1.57) | 1.01 (0.60, 1.71) | 1.22 (0.68, 2.23) |
| Q3 (62.5 to ≤358) | 0.61 (0.38, 0.97) * | 0.55 (0.33, 0.91) * | 0.91 (0.58, 1.43) | 0.98 (0.60, 1.58) | 1.15 (0.71, 1.86) | 1.39 (0.83, 2.41) |
| Q4 (>358) | 0.72 (0.44, 1.17) | 0.66 (0.39, 1.13) | 0.86 (0.53, 1.40) | 0.99 (0.59, 1.65) | 1.17 (0.71, 1.95) | 1.57 (0.87, 2.83) |
| β-carotene (mcg/d) | ||||||
| Q1 (≤338) | Reference | Reference | Reference | Reference | Reference | Reference |
| Q2 (338 to ≤819) | 0.59 (0.37, 0.94) * | 0.64 (0.39, 1.06) | 0.58 (0.37, 0.91) * | 0.65 (0.40, 1.04) | 0.67 (0.43, 1.06) | 0.83 (0.50, 1.40) |
| Q3 (819 to ≤2222.5) | 0.55 (0.36, 0.83) ** | 0.63 (0.40, 1.00) | 0.46 (0.31, 0.70) ** | 0.58 (0.37, 0.91) * | 0.45 (0.30, 0.69) ** | 0.66 (0.41, 1.08) |
| Q4 (>2222.5) | 0.33 (0.20, 0.54) ** | 0.37 (0.21, 0.64) ** | 0.63 (0.41, 0.97) * | 0.81 (0.50, 1.30) | 0.50 (0.32, 0.79) ** | 0.83 (0.49, 1.41) |
Disclaimer/Publisher’s Note: The statements, opinions and data contained in all publications are solely those of the individual author(s) and contributor(s) and not of MDPI and/or the editor(s). MDPI and/or the editor(s) disclaim responsibility for any injury to people or property resulting from any ideas, methods, instructions or products referred to in the content. |
© 2023 by the authors. Licensee MDPI, Basel, Switzerland. This article is an open access article distributed under the terms and conditions of the Creative Commons Attribution (CC BY) license (https://creativecommons.org/licenses/by/4.0/).
Share and Cite
Zhong, Q.; Sun, W.; Qin, Y.; Xu, H. Association of Dietary α-Carotene and β-Carotene Intake with Low Cognitive Performance in Older Adults: A Cross-Sectional Study from the National Health and Nutrition Examination Survey. Nutrients 2023, 15, 239. https://doi.org/10.3390/nu15010239
Zhong Q, Sun W, Qin Y, Xu H. Association of Dietary α-Carotene and β-Carotene Intake with Low Cognitive Performance in Older Adults: A Cross-Sectional Study from the National Health and Nutrition Examination Survey. Nutrients. 2023; 15(1):239. https://doi.org/10.3390/nu15010239
Chicago/Turabian StyleZhong, Qiya, Wen Sun, Yao Qin, and Huadong Xu. 2023. "Association of Dietary α-Carotene and β-Carotene Intake with Low Cognitive Performance in Older Adults: A Cross-Sectional Study from the National Health and Nutrition Examination Survey" Nutrients 15, no. 1: 239. https://doi.org/10.3390/nu15010239
APA StyleZhong, Q., Sun, W., Qin, Y., & Xu, H. (2023). Association of Dietary α-Carotene and β-Carotene Intake with Low Cognitive Performance in Older Adults: A Cross-Sectional Study from the National Health and Nutrition Examination Survey. Nutrients, 15(1), 239. https://doi.org/10.3390/nu15010239

