Association between Plasma Trace Element Concentrations in Early Pregnancy and Gestational Diabetes Mellitus in Shanghai, China
Abstract
1. Introduction
2. Materials and Methods
2.1. Study Population
2.2. Data Collection
2.3. Laboratory Measurements
2.4. Diagnosis of GDM
2.5. Statistical Analysis
3. Results
3.1. Characteristics of the Study Population
3.2. Levels of Plasma Trace Elements and Glucose and Lipid Metabolism Indices
3.3. Association between Plasma Trace Elements and Risk of GDM
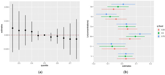
3.4. Dose-Response Association of Plasma Trace Element Exposure with GDM Risk, Glucose, and Insulin Level
3.5. Associations of Metallic Elements Screened by LASSO Regression and Their Coexposure with GDM Risk
3.6. Quantile G-Computation Analyses
3.7. Bayesian Kernel Machine Regression Analyses
4. Discussion
5. Conclusions
Supplementary Materials
Author Contributions
Funding
Institutional Review Board Statement
Informed Consent Statement
Data Availability Statement
Acknowledgments
Conflicts of Interest
References
- Guariguata, L.; Linnenkamp, U.; Beagley, J.; Whiting, D.R.; Cho, N.H. Global estimates of the prevalence of hyperglycaemia in pregnancy. Diabetes Res. Clin. Pract. 2014, 103, 176–185. [Google Scholar] [CrossRef] [PubMed]
- McIntyre, H.D.; Catalano, P.; Zhang, C.; Desoye, G.; Mathiesen, E.R.; Damm, P. Gestational diabetes mellitus. Nat. Rev. Dis. Prim. 2019, 5, 47. [Google Scholar] [CrossRef] [PubMed]
- Gao, C.; Sun, X.; Lu, L.; Liu, F.; Yuan, J. Prevalence of gestational diabetes mellitus in mainland China: A systematic review and meta-analysis. J. Diabetes Investig. 2019, 10, 154–162. [Google Scholar] [CrossRef] [PubMed]
- Zhang, Y.; Chen, T.; Zhang, Y.; Hu, Q.; Wang, X.; Chang, H.; Mao, J.-H.; Snijders, A.M.; Xia, Y. Contribution of trace element exposure to gestational diabetes mellitus through disturbing the gut microbiome. Environ. Int. 2021, 153, 106520. [Google Scholar] [CrossRef]
- Dubey, P.; Thakur, V.; Chattopadhyay, M. Role of Minerals and Trace Elements in Diabetes and Insulin Resistance. Nutrients 2020, 12, 1864. [Google Scholar] [CrossRef]
- Gruzewska, K.; Michno, A.; Pawelczyk, T.; Bielarczyk, H. Essentiality and toxicity of vanadium supplements in health and pathology. J. Physiol. Pharmacol. Off. J. Pol. Physiol. Soc. 2014, 65, 603–611. [Google Scholar]
- Dover, E.N.; Patel, N.; Stýblo, M. Impact of in vitro heavy metal exposure on pancreatic β-cell function. Toxicol. Lett. 2018, 299, 137–144. [Google Scholar] [CrossRef]
- Rodríguez-Pérez, C.; Gómez-Peña, C.; Pérez-Carrascosa, F.M.; Vrhovnik, P.; Echeverría, R.; Salcedo-Bellido, I.; Mustieles, V.; Željka, F.; Arrebola, J.P. Trace elements concentration in adipose tissue and the risk of incident type 2 diabetes in a prospective adult cohort. Environ. Pollut. 2021, 286, 117496. [Google Scholar] [CrossRef]
- Lv, Y.; Xie, L.; Dong, C.; Yang, R.; Long, T.; Yang, H.; Chen, L.; Zhang, L.; Chen, X.; Luo, X.; et al. Co-exposure of serum calcium, selenium and vanadium is nonlinearly associated with increased risk of type 2 diabetes mellitus in a Chinese population. Chemosphere 2021, 263, 128021. [Google Scholar] [CrossRef]
- Wang, X.; Gao, D.; Zhang, G.; Zhang, X.; Li, Q.; Gao, Q.; Chen, R.; Xu, S.; Huang, L.; Zhang, Y.; et al. Exposure to multiple metals in early pregnancy and gestational diabetes mellitus: A prospective cohort study. Environ. Int. 2020, 135, 105370. [Google Scholar] [CrossRef]
- Li, X.; Zhu, Y.; Yin, J.; Li, B.; Li, P.; Cao, B.; Wang, Q.; Xu, J.; Liu, L. Inverse Association of Plasma Vanadium Concentrations with Gestational Diabetes Mellitus. Nutrients 2022, 14, 1415. [Google Scholar] [CrossRef] [PubMed]
- Wu, Y.; Zhang, J.; Peng, S.; Wang, X.; Luo, L.; Liu, L.; Huang, Q.; Tian, M.; Zhang, X.; Shen, H. Multiple elements related to metabolic markers in the context of gestational diabetes mellitus in meconium. Environ. Int. 2018, 121 Pt 2, 1227–1234. [Google Scholar] [CrossRef]
- Wang, Y.; Zhang, P.; Chen, X.; Wu, W.; Feng, Y.; Yang, H.; Li, M.; Xie, B.; Guo, P.; Warren, J.L.; et al. Multiple metal concentrations and gestational diabetes mellitus in Taiyuan, China. Chemosphere 2019, 237, 124412. [Google Scholar] [CrossRef] [PubMed]
- Peng, S.; Liu, L.; Zhang, X.; Heinrich, J.; Zhang, J.; Schramm, K.-W.; Huang, Q.; Tian, M.; Eqani, S.; Shen, H. A nested case-control study indicating heavy metal residues in meconium associate with maternal gestational diabetes mellitus risk. Environ. Health A Glob. Access Sci. Source 2015, 14, 19. [Google Scholar] [CrossRef] [PubMed]
- Zhu, G.; Zheng, T.; Xia, C.; Qi, L.; Papandonatos, G.D.; Ming, Y.; Zeng, Z.; Zhang, X.; Zhang, H.; Li, Y. Plasma levels of trace element status in early pregnancy and the risk of gestational diabetes mellitus: A nested case-control study. J. Trace Elem. Med. Biol. Organ Soc. Miner. Trace Elem. 2021, 68, 126829. [Google Scholar] [CrossRef] [PubMed]
- Zhou, Z.; Chen, G.; Li, P.; Rao, J.; Wang, L.; Yu, D.; Lin, D.; Fan, D.; Ye, S.; Wu, S.; et al. Prospective association of metal levels with gestational diabetes mellitus and glucose: A retrospective cohort study from South China. Ecotoxicol. Environ. Saf. 2021, 210, 111854. [Google Scholar] [CrossRef]
- Soomro, M.H.; Baiz, N.; Huel, G.; Yazbeck, C.; Botton, J.; Heude, B.; Bornehag, C.-G.; Annesi-Maesano, I. Exposure to heavy metals during pregnancy related to gestational diabetes mellitus in diabetes-free mothers. Sci. Total Environ. 2019, 656, 870–876. [Google Scholar] [CrossRef]
- Ranganathan, P.; Pramesh, C.S.; Aggarwal, R. Common pitfalls in statistical analysis: Logistic regression. Perspect. Clin. Res. 2017, 8, 148–151. [Google Scholar]
- Yu, L.; Liu, W.; Wang, X.; Ye, Z.; Tan, Q.; Qiu, W.; Nie, X.; Li, M.; Wang, B.; Chen, W. A review of practical statistical methods used in epidemiological studies to estimate the health effects of multi-pollutant mixture. Environ. Pollut. 2022, 306, 119356. [Google Scholar] [CrossRef]
- Yang, H.S.; LaFrance, D.; Hao, Y. Elemental Testing Using Inductively Coupled Plasma Mass Spectrometry in Clinical Laboratories. Am. J. Clin. Pathol. 2021, 156, 167–175. [Google Scholar] [CrossRef]
- American Diabetes Association. Classification and Diagnosis of Diabetes. Diabetes Care 2018, 41 (Suppl. 1), S22–S24. [Google Scholar]
- Austin, P.C. An Introduction to Propensity Score Methods for Reducing the Effects of Confounding in Observational Studies. Multivar. Behav. Res. 2011, 46, 399–424. [Google Scholar] [CrossRef] [PubMed]
- Keil, A.P.; Buckley, J.P.; O’Brien, K.M.; Ferguson, K.K.; Zhao, S.; White, A.J. A Quantile-Based g-Computation Approach to Addressing the Effects of Exposure Mixtures. Environ. Health Perspect. 2020, 128, 47004. [Google Scholar] [CrossRef]
- Bobb, J.F.; Claus Henn, B.; Valeri, L.; Coull, B.A. Statistical software for analyzing the health effects of multiple concurrent exposures via Bayesian kernel machine regression. Environ. Health A Glob. Access Sci. Source 2018, 17, 67. [Google Scholar] [CrossRef] [PubMed]
- Li, X.T.; Yu, P.F.; Gao, Y.; Guo, W.H.; Wang, J.; Liu, X.; Gu, A.H.; Ji, G.X.; Dong, Q.; Wang, B.S.; et al. Association between Plasma Metal Levels and Diabetes Risk: A Case-control Study in China. Biomed. Environ. Sci. BES 2017, 30, 482–491. [Google Scholar] [PubMed]
- Ścibior, A.; Pietrzyk, Ł.; Plewa, Z.; Skiba, A. Vanadium: Risks and possible benefits in the light of a comprehensive overview of its pharmacotoxicological mechanisms and multi-applications with a summary of further research trends. J. Trace Elem. Med. Biol. Organ Soc. Miner. Trace Elem. 2020, 61, 126508. [Google Scholar] [CrossRef]
- Kubrak, O.I.; Rovenko, B.M.; Husak, V.V.; Storey, J.M.; Storey, K.B.; Lushchak, V.I. Nickel induces hyperglycemia and glycogenolysis and affects the antioxidant system in liver and white muscle of goldfish Carassius auratus L. Ecotoxicol. Environ. Saf. 2012, 80, 231–237. [Google Scholar] [CrossRef]
- Liu, G.; Sun, L.; Pan, A.; Zhu, M.; Li, Z.; ZhenzhenWang, Z.; Liu, X.; Ye, X.; Li, H.; Zheng, H.; et al. Nickel exposure is associated with the prevalence of type 2 diabetes in Chinese adults. Int. J. Epidemiol. 2015, 44, 240–248. [Google Scholar] [CrossRef]
- Titcomb, T.J.; Liu, B.; Lehmler, H.-J.; Snetselaar, L.G.; Bao, W. Environmental Nickel Exposure and Diabetes in a Nationally Representative Sample of US Adults. Expo. Health 2021, 13, 697–704. [Google Scholar] [CrossRef]
- Wang, X.; Karvonen-Gutierrez, C.A.; Herman, W.H.; Mukherjee, B.; Harlow, S.D.; Park, S.K. Urinary metals and incident diabetes in midlife women: Study of Women’s Health Across the Nation (SWAN). BMJ Open Diabetes Res. Care 2020, 8. [Google Scholar]
- Yuan, Y.; Xiao, Y.; Yu, Y.; Liu, Y.; Feng, W.; Qiu, G.; Wang, H.; Liu, B.; Wang, J.; Zhou, L.; et al. Associations of multiple plasma metals with incident type 2 diabetes in Chinese adults: The Dongfeng-Tongji Cohort. Environ. Pollut. 2018, 237, 917–925. [Google Scholar] [CrossRef] [PubMed]
- Li, Z.; Long, T.; Wang, R.; Feng, Y.; Hu, H.; Xu, Y.; Wei, Y.; Wang, F.; Guo, H.; Zhang, X.; et al. Plasma metals and cancer incidence in patients with type 2 diabetes. Sci. Total Environ. 2021, 758, 143616. [Google Scholar] [CrossRef] [PubMed]
- Burlet, E.; Jain, S. Manganese supplementation reduces high glucose-induced monocyte adhesion to endothelial cells and endothelial dysfunction in Zucker diabetic fatty rats. J. Biol. Chem. 2013, 288, 6409–6416. [Google Scholar] [CrossRef] [PubMed]
- Liu, B.; Feng, W.; Wang, J.; Li, Y.; Han, X.; Hu, H.; Guo, H.; Zhang, X.; He, M. Association of urinary metals levels with type 2 diabetes risk in coke oven workers. Environ. Pollut. 2016, 210, 1–8. [Google Scholar] [CrossRef] [PubMed]
- Shan, Z.; Chen, S.; Sun, T.; Luo, C.; Guo, Y.; Yu, X.; Yang, W.; Hu, F.B.; Liu, L. U-Shaped Association between Plasma Manganese Levels and Type 2 Diabetes. Environ. Health Perspect. 2016, 124, 1876–1881. [Google Scholar] [CrossRef]
- Tatsuta, N.; Iwai-Shimada, M.; Nakayama, S.F.; Iwama, N.; Metoki, H.; Arima, T.; Sakurai, K.; Anai, A.; Asato, K.; Kuriyama, S.; et al. Association between whole blood metallic elements concentrations and gestational diabetes mellitus in Japanese women: The Japan environment and Children’s study. Environ. Res. 2022, 212 (Pt B), 113231. [Google Scholar] [CrossRef]
- White, P.E.; Król, E.; Szwengiel, A.; Tubacka, M.; Szczepankiewicz, D.; Staniek, H.; Vincent, J.B.; Krejpcio, Z. Effects of Bitter Melon and a Chromium Propionate Complex on Symptoms of Insulin Resistance and Type 2 Diabetes in Rat Models. Biol. Trace Elem. Res. 2021, 199, 1013–1026. [Google Scholar] [CrossRef]
- Menke, A.; Guallar, E.; Cowie, C. Metals in Urine and Diabetes in U.S. Adults. Diabetes 2016, 65, 164–171. [Google Scholar] [CrossRef]
- Chen, S.; Jin, X.; Shan, Z.; Li, S.; Yin, J.; Sun, T.; Luo, C.; Yang, W.; Yao, P.; Yu, K.; et al. Inverse Association of Plasma Chromium Levels with Newly Diagnosed Type 2 Diabetes: A Case-Control Study. Nutrients 2017, 9, 294. [Google Scholar] [CrossRef]
- Yang, A.; Liu, S.; Cheng, Z.; Pu, H.; Cheng, N.; Ding, J.; Li, J.; Li, H.; Hu, X.; Ren, X.; et al. Dose-response analysis of environmental exposure to multiple metals and their joint effects with fasting plasma glucose among occupational workers. Chemosphere 2017, 186, 314–321. [Google Scholar] [CrossRef]
- Cao, B.; Fang, C.; Peng, X.; Li, X.; Hu, X.; Xiang, P.; Zhou, L.; Liu, H.; Huang, Y.; Zhang, Q.; et al. U-shaped association between plasma cobalt levels and type 2 diabetes. Chemosphere 2021, 267, 129224. [Google Scholar] [CrossRef]
- Onat, T.; Demir Caltekin, M.; Turksoy, V.A.; Baser, E.; Aydogan Kirmizi, D.; Kara, M.; Yalvac, E.S. The Relationship Between Heavy Metal Exposure, Trace Element Level, and Monocyte to HDL Cholesterol Ratio with Gestational Diabetes Mellitus. Biol. Trace Elem. Res. 2021, 199, 1306–1315. [Google Scholar] [CrossRef]
- Xu, W.; Tang, Y.; Ji, Y.; Yu, H.; Li, Y.; Piao, C.; Xie, L. The association between serum selenium level and gestational diabetes mellitus: A systematic review and meta-analysis. Diabetes/Metab. Res. Rev. 2022, 38, e3522. [Google Scholar] [CrossRef] [PubMed]
- Lin, C.-C.; Tsweng, G.-J.; Lee, C.-F.; Chen, B.-H.; Huang, Y.-L. Magnesium, zinc, and chromium levels in children, adolescents, and young adults with type 1 diabetes. Clin. Nutr. 2016, 35, 880–884. [Google Scholar] [CrossRef] [PubMed]
- Alimonti, A.; Bocca, B.; Mannella, E.; Petrucci, F.; Zennaro, F.; Cotichini, R.; D’Ippolito, C.; Agresti, A.; Caimi, S.; Forte, G. Assessment of reference values for selected elements in a healthy urban population. Ann. Dell’Istituto Super. Sanita 2005, 41, 181–187. [Google Scholar]
- Liu, P.J.; Yao, A.; Ma, L.; Chen, X.Y.; Yu, S.L.; Liu, Y.; Hou, Y.X. Associations of Serum Selenium Levels in the First Trimester of Pregnancy with the Risk of Gestational Diabetes Mellitus and Preterm Birth: A Preliminary Cohort Study. Biol. Trace Elem. Res. 2021, 199, 527–534. [Google Scholar] [CrossRef]
- Zhuang, W.; Zhou, F. Distribution, source and pollution assessment of heavy metals in the surface sediments of the Yangtze River Estuary and its adjacent East China Sea. Mar. Pollut. Bull. 2021, 164, 112002. [Google Scholar] [CrossRef]
- Vincent, J.B. Effects of chromium supplementation on body composition, human and animal health, and insulin and glucose metabolism. Curr. Opin. Clin. Nutr. Metab. Care 2019, 22, 483–489. [Google Scholar] [CrossRef]
- Rayman, M.P. Selenium and human health. Lancet 2012, 379, 1256–1268. [Google Scholar] [CrossRef]



| Characteristic | Total (n = 1166) | Non-GDM (n = 763) | GDM (n = 403) | p |
|---|---|---|---|---|
| Maternal age (years) | 32.00 (30.00–34.00) | 32.00 (30.00–34.00) | 32.00 (30.00–34.00) | 0.820 |
| Pre-pregnancy BMI (kg/m2) | ||||
| Underweight (<18.5) | 106 (9.10%) | 67 (8.80%) | 39 (9.70%) | 0.056 |
| Normal weight (18.5–23.9) | 838 (71.90%) | 565 (74.00%) | 273 (67.70%) | |
| Overweight (≥24.0) | 222 (19.00%) | 131 (17.20%) | 91 (22.60%) | |
| Education level (years) | ||||
| High school and lower | 89 (7.63%) | 55 (7.21%) | 34 (8.40%) | 0.037 * |
| Junior or college | 240 (20.58%) | 141 (18.48%) | 99 (24.60%) | |
| University and higher | 837 (71.78%) | 567 (74.31%) | 270 (67.00%) | |
| Household income (million Yuan) | ||||
| <0.1 | 88 (7.50%) | 64 (8.40%) | 24 (5.96%) | 0.438 |
| 0.2–0.3 | 739 (63.38%) | 483 (63.30%) | 256 (63.52%) | |
| >0.3 | 339 (29.10%) | 216 (28.30%) | 123 (30.52%) | |
| Ethnic groups | ||||
| Ethnic Han | 1150 (98.60%) | 756 (99.10%) | 394 (97.80%) | 0.060 |
| Others | 16 (1.40%) | 7 (0.90%) | 9 (2.20%) | |
| Family history of diabetes (Yes) | 146 (12.50%) | 85 (11.10%) | 61 (15.10%) | 0.133 |
| Smoking (Yes) | 3 (0.30%) | 3 (0.40%) | 0 (0.00%) | 0.277 |
| Drinking (Yes) | 6 (0.50%) | 4 (0.50%) | 2 (0.50%) | 0.987 |
| Parity | ||||
| Nulliparous | 834 (71.53%) | 550 (72.08%) | 284 (70.47%) | 0.728 |
| Multiparous | 332 (28.47%) | 213 (27.92%) | 119 (29.53%) | |
| Cesarean section (Yes) | 554 (51.30%) | 358 (50.90%) | 196 (52.10%) | 0.690 |
| Infant sex | ||||
| Male | 574 (49.20%) | 377 (49.41%) | 197 (48.88%) | 0.716 |
| Female | 506 (43.40%) | 327 (42.86%) | 179 (44.42%) | |
| Missing | 86 (7.40%) | 59 (7.73%) | 27 (6.70%) |
| Element | Total (n = 1166) | Non-GDM (n = 763) | GDM (n = 403) | p |
|---|---|---|---|---|
| V (μg/L) | 6.25 (3.71–9.06) | 6.02 (3.32–8.91) | 6.60 (4.23–9.18) | 0.007 ** |
| Cr (μg/L) | 372.40 (250.75–531.44) | 391.38 (253.32–535.58) | 342.77 (239.58–517.50) | 0.021 * |
| Mn (μg/L) | 5.79 (3.51–8.90) | 5.61 (3.28–8.88) | 5.91 (3.81–9.04) | 0.076 |
| Co (μg/L) | 56.82 (40.24–81.94) | 56.76 (39.66–81.81) | 57.02 (41.23–82.13) | 0.289 |
| Ni (μg/L) | 30.67 (17.34–48.57) | 30.84 (18.69–48.89) | 30.23 (15.10–48.40) | 0.110 |
| Se (μg/L) | 87.80 (60.33–120.72) | 89.76 (62.16–122.95) | 84.30 (58.89–112.91) | 0.044 * |
| Ln-Elements | Single-Element Model OR (95% CI) | Multi-Element Model OR (95% CI) | ||||
|---|---|---|---|---|---|---|
| Modle 1 | Modle 2 | Modle 3 | Modle 4 | Crude Model | Adjusted Model | |
| V (μg/L) | 1.39 (1.14, 1.69) *** | 1.47 (1.20, 1.82) *** | 1.48 (1.20, 1.82) *** | 1.47(1.20, 1.80) *** | 1.27 (1.01, 1.60) * | 1.37 (1.07, 1.76) * |
| Cr (μg/L) | 0.81 (0.63, 1.03) | 0.79 (0.6, 1.02) | 0.77 (0.59, 1.00) | 0.78 (0.60, 1.02) | 0.82 (0.53, 1.27) | 0.75 (0.47, 1.20) |
| Mn (μg/L) | 1.22 (0.99, 1.51) | 1.20 (0.96, 1.49) | 1.21 (0.97, 1.51) | 1.20 (0.96, 1.49) | 1.70 (1.22, 2.36) ** | 1.83 (1.30, 2.59) *** |
| Co (μg/L) | 1.14 (0.91, 1.43) | 1.13 (0.89, 1.44) | 1.14 (0.89, 1.46) | 1.13 (0.89, 1.45) | 1.32 (0.95, 1.85) | 1.35 (0.94, 1.93) |
| Ni (μg/L) | 0.86 (0.77, 0.97) * | 0.82 (0.73, 0.93) ** | 0.82 (0.72, 0.93) ** | 0.82 (0.72, 0.93) ** | 0.72 (0.60, 0.86) *** | 0.66 (0.54, 0.80) *** |
| Se (μg/L) | 0.85 (0.67, 1.07) | 0.86 (0.67, 1.10) | 0.84 (0.66, 1.07) | 0.86 (0.67, 1.10) | 0.82 (0.57, 1.20) | 0.87 (0.59, 1.27) |
Disclaimer/Publisher’s Note: The statements, opinions and data contained in all publications are solely those of the individual author(s) and contributor(s) and not of MDPI and/or the editor(s). MDPI and/or the editor(s) disclaim responsibility for any injury to people or property resulting from any ideas, methods, instructions or products referred to in the content. |
© 2022 by the authors. Licensee MDPI, Basel, Switzerland. This article is an open access article distributed under the terms and conditions of the Creative Commons Attribution (CC BY) license (https://creativecommons.org/licenses/by/4.0/).
Share and Cite
Wu, T.; Li, T.; Zhang, C.; Huang, H.; Wu, Y. Association between Plasma Trace Element Concentrations in Early Pregnancy and Gestational Diabetes Mellitus in Shanghai, China. Nutrients 2023, 15, 115. https://doi.org/10.3390/nu15010115
Wu T, Li T, Zhang C, Huang H, Wu Y. Association between Plasma Trace Element Concentrations in Early Pregnancy and Gestational Diabetes Mellitus in Shanghai, China. Nutrients. 2023; 15(1):115. https://doi.org/10.3390/nu15010115
Chicago/Turabian StyleWu, Ting, Tao Li, Chen Zhang, Hefeng Huang, and Yanting Wu. 2023. "Association between Plasma Trace Element Concentrations in Early Pregnancy and Gestational Diabetes Mellitus in Shanghai, China" Nutrients 15, no. 1: 115. https://doi.org/10.3390/nu15010115
APA StyleWu, T., Li, T., Zhang, C., Huang, H., & Wu, Y. (2023). Association between Plasma Trace Element Concentrations in Early Pregnancy and Gestational Diabetes Mellitus in Shanghai, China. Nutrients, 15(1), 115. https://doi.org/10.3390/nu15010115

