Association between Suboptimal 25-Hydroxyvitamin D Status and Overweight/Obesity in Infants: A Prospective Cohort Study in China
Abstract
1. Introduction
2. Materials and Methods
2.1. Study Design and Population
2.2. Data Collection by the Questionnaire
2.3. Anthropometric Measurements
2.4. 25(OH)D Measurement
2.5. Statistical Analysis
3. Results
3.1. Demographic Characteristics
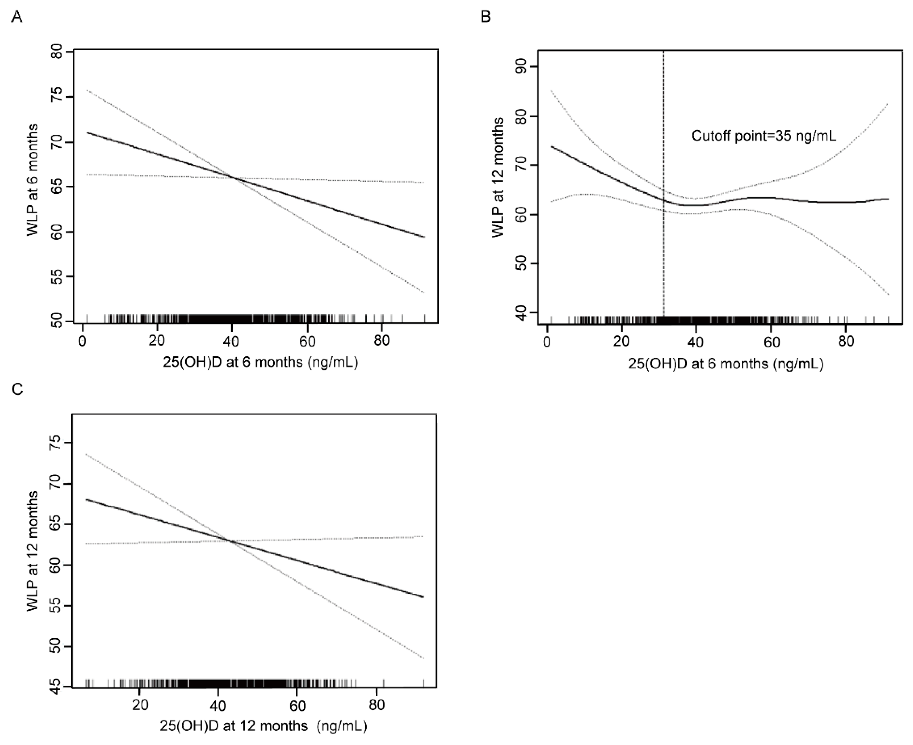
3.2. Association between 25(OH)D Concentrations and Weight-for-Length Percentile
3.3. Association between 25(OH)D Levels and Risk of Overweight/Obesity
4. Discussion
5. Conclusions
Author Contributions
Funding
Institutional Review Board Statement
Informed Consent Statement
Data Availability Statement
Acknowledgments
Conflicts of Interest
References
- Yang, L.; Colditz, G.A. Prevalence of Overweight and Obesity in the United States, 2007-2012. JAMA Intern. Med. 2015, 175, 1412–1413. [Google Scholar] [CrossRef] [PubMed]
- McCormick, D.P.; Sarpong, K.; Jordan, L.; Ray, L.A.; Jain, S. Infant obesity: Are we ready to make this diagnosis? J. Pediatr. 2010, 157, 15–19. [Google Scholar] [CrossRef] [PubMed]
- Haththotuwa, R.N.; Wijeyaratne, C.N.; Senarath, U. Worldwide epidemic of obesity. In Obesity and Obstetrics; Elsevier: Amsterdam, The Netherlands, 2020; Volume -8. [Google Scholar] [CrossRef]
- Cattaneo, A.; Monasta, L.; Stamatakis, E.; Lioret, S.; Castetbon, K.; Frenken, F.; Manios, Y.; Moschonis, G.; Savva, S.; Zaborskis, A.; et al. Overweight and obesity in infants and pre-school children in the European Union: A review of existing data. Obes. Rev. 2010, 11, 389–398. [Google Scholar] [CrossRef] [PubMed]
- Guo, Y.; Yin, X.; Wu, H.; Chai, X.; Yang, X. Trends in Overweight and Obesity Among Children and Adolescents in China from 1991 to 2015: A Meta-Analysis. Int. J. Environ. Res. Public Health 2019, 16, 4656. [Google Scholar] [CrossRef] [PubMed]
- Woo Baidal, J.A.; Locks, L.M.; Cheng, E.R.; Blake-Lamb, T.L.; Perkins, M.E.; Taveras, E.M. Risk Factors for Childhood Obesity in the First 1,000 Days: A Systematic Review. Am. J. Prev. Med. 2016, 50, 761–779. [Google Scholar] [CrossRef]
- Lumeng, J.C.; Taveras, E.M.; Birch, L.; Yanovski, S.Z. Prevention of obesity in infancy and early childhood: A National Institutes of Health workshop. JAMA Pediatr. 2015, 169, 484–490. [Google Scholar] [CrossRef] [PubMed]
- de Oliveira, C.L.; Cureau, F.V.; Cople-Rodrigues, C.D.S.; Giannini, D.T.; Bloch, K.V.; Kuschnir, M.C.C.; de Carvalho, K.M.B.; Schaan, B.D. Prevalence and factors associated with hypovitaminosis D in adolescents from a sunny country: Findings from the ERICA survey. J. Steroid Biochem. Mol. Biol. 2020, 199, 105609. [Google Scholar] [CrossRef]
- Giustina, A.; Adler, R.A.; Binkley, N.; Bollerslev, J.; Bouillon, R.; Dawson-Hughes, B.; Ebeling, P.R.; Feldman, D.; Formenti, A.M.; Lazaretti-Castro, M.; et al. Consensus statement from 2(nd) International Conference on Controversies in Vitamin, D. Rev. Endocr. Metab. Disord 2020, 21, 89–116. [Google Scholar] [CrossRef]
- Pereira-Santos, M.; Costa, P.R.; Assis, A.M.; Santos, C.A.; Santos, D.B. Obesity and vitamin D deficiency: A systematic review and meta-analysis. Obes. Rev. 2015, 16, 341–349. [Google Scholar] [CrossRef]
- Karampela, I.; Sakelliou, A.; Vallianou, N.; Christodoulatos, G.S.; Magkos, F.; Dalamaga, M. Vitamin D and Obesity: Current Evidence and Controversies. Curr. Obes. Rep. 2021, 10, 162–180. [Google Scholar] [CrossRef] [PubMed]
- Savastano, S.; Barrea, L.; Savanelli, M.C.; Nappi, F.; Di Somma, C.; Orio, F.; Colao, A. Low vitamin D status and obesity: Role of nutritionist. Rev. Endocr. Metab. Disord 2017, 18, 215–225. [Google Scholar] [CrossRef]
- Cojic, M.; Kocic, R.; Klisic, A.; Kocic, G. The Effects of Vitamin D Supplementation on Metabolic and Oxidative Stress Markers in Patients With Type 2 Diabetes: A 6-Month Follow Up Randomized Controlled Study. Front. Endocrinol 2021, 12, 610893. [Google Scholar] [CrossRef] [PubMed]
- Nappo, A.; Sparano, S.; Intemann, T.; Kourides, Y.A.; Lissner, L.; Molnar, D.; Moreno, L.A.; Pala, V.; Sioen, I.; Veidebaum, T.; et al. Dietary calcium intake and adiposity in children and adolescents: Cross-sectional and longitudinal results from IDEFICS/I.Family cohort. Nutr. Metab. Cardiovasc. Dis. 2019, 29, 440–449. [Google Scholar] [CrossRef] [PubMed]
- Ruiz-Ojeda, F.J.; Anguita-Ruiz, A.; Leis, R.; Aguilera, C.M. Genetic Factors and Molecular Mechanisms of Vitamin D and Obesity Relationship. Ann. Nutr. Metab. 2018, 73, 89–99. [Google Scholar] [CrossRef] [PubMed]
- Pires, L.V.; Gonzalez-Gil, E.M.; Anguita-Ruiz, A.; Bueno, G.; Gil-Campos, M.; Vazquez-Cobela, R.; Perez-Ferreiros, A.; Moreno, L.A.; Gil, A.; Leis, R.; et al. The Vitamin D Decrease in Children with Obesity Is Associated with the Development of Insulin Resistance during Puberty: The PUBMEP Study. Nutrients 2021, 13, 4488. [Google Scholar] [CrossRef] [PubMed]
- Tang, Z.; Huang, S.; Ma, R.; Zheng, H.; Zhu, Y. Low vitamin D status is associated with obesity but no other cardiovascular risk factors in Chinese children and adolescents. Nutr. Metab. Cardiovasc Dis. 2020, 30, 1573–1581. [Google Scholar] [CrossRef] [PubMed]
- Esmaili, H.; Heshmat, R.; Ejtahed, H.S.; Rastad, H.; Motlagh, M.E.; Asayesh, H.; Jafarnejad, M.; Seif, E.; Qorbani, M.; Kelishadi, R. Association of Serum 25-Hydroxyvitamin D Level With Metabolic Phenotypes of Obesity in Children and Adolescents: The CASPIAN-V Study. Front. Endocrinol. 2020, 11, 310. [Google Scholar] [CrossRef]
- Gilbert-Diamond, D.; Baylin, A.; Mora-Plazas, M.; Marin, C.; Arsenault, J.E.; Hughes, M.D.; Willett, W.C.; Villamor, E. Vitamin D deficiency and anthropometric indicators of adiposity in school-age children: A prospective study. Am. J. Clin. Nutr. 2010, 92, 1446–1451. [Google Scholar] [CrossRef] [PubMed]
- Scholl, T.O.; Chen, X. Vitamin D intake during pregnancy: Association with maternal characteristics and infant birth weight. Early Hum. Dev. 2009, 85, 231–234. [Google Scholar] [CrossRef]
- Morales, E.; Rodriguez, A.; Valvi, D.; Iniguez, C.; Esplugues, A.; Vioque, J.; Marina, L.S.; Jimenez, A.; Espada, M.; Dehli, C.R.; et al. Deficit of vitamin D in pregnancy and growth and overweight in the offspring. Int. J. Obes. 2015, 39, 61–68. [Google Scholar] [CrossRef] [PubMed]
- Daraki, V.; Roumeliotaki, T.; Chalkiadaki, G.; Katrinaki, M.; Karachaliou, M.; Leventakou, V.; Vafeiadi, M.; Sarri, K.; Vassilaki, M.; Papavasiliou, S.; et al. Low maternal vitamin D status in pregnancy increases the risk of childhood obesity. Pediatr. Obes. 2018, 13, 467–475. [Google Scholar] [CrossRef] [PubMed]
- Sultan, R.; Sultan, R.; Al-Agha, A.; Mahjoub, A. Association between vitamin D deficiency and weight gain in children: A cross-sectional study. Curr. Pediatr. Res. 2018, 22, 207–211. [Google Scholar]
- Association, W.M. World Medical Association Declaration of Helsinki: Ethical Principles for Medical Research Involving Human Subjects. JAMA 2013, 310, 2191–2194. [Google Scholar]
- World Health Organization. WHO Multicentre Growth Reference Study Group. WHO Child Growth Standards: Length/Height-for-Age, Weight-for-Age, Weight-for-Length, Weight-for-Height and Body Mass Index-for-Age: Methods and Development; World Health Organization: Geneva, Switzerland, 2006. [Google Scholar]
- Corby, L.; Secker, D. Growth monitoring of infants and children using the 2006World Health Organization [WHO] Child Growth Standards and 2007 WHO growth references: Practice-based evidence in nutrition. Acta. Paediatr. 2006, 76–85. [Google Scholar]
- Jiao, X.; Yuan, Y.; Wang, X.; Li, J.; Liu, B.; Yuan, T.; Yu, X. Development of a sensitive HPLC-MS/MS method for 25-hydroxyvitamin D2 and D3 measurement in capillary blood. J. Clin. Lab. Anal. 2020, 34, e23451. [Google Scholar] [CrossRef]
- Singh, P.; Kumar, M.; Al Khodor, S. Vitamin D Deficiency in the Gulf Cooperation Council: Exploring the Triad of Genetic Predisposition, the Gut Microbiome and the Immune System. Front. Immunol. 2019, 10, 1042. [Google Scholar] [CrossRef]
- Wei Yang, Y.L. An association study between the age and overweight and obesity in infancy. Chin. Pediatr. Integr. Tradit. West. Med. 2021, 13, 402–404. (In Chinese) [Google Scholar]
- Riedlova, J.; Paulova, M.; Vignerova, J.; Brabec, M.; Sedlak, P.; Schneidrova, D. The Low Prevalence of Overweight and Obesity in Czech Breastfed Infants and Young Children: An Anthropological Survey. Int. J. Environ. Res. Public Health 2019, 16, 4198. [Google Scholar] [CrossRef]
- Forbes, J.D.; Azad, M.B.; Vehling, L.; Tun, H.M.; Konya, T.B.; Guttman, D.S.; Field, C.J.; Lefebvre, D.; Sears, M.R.; Becker, A.B.; et al. Association of Exposure to Formula in the Hospital and Subsequent Infant Feeding Practices With Gut Microbiota and Risk of Overweight in the First Year of Life. JAMA Pediatr. 2018, 172, e181161. [Google Scholar] [CrossRef]
- Larque, E.; Labayen, I.; Flodmark, C.E.; Lissau, I.; Czernin, S.; Moreno, L.A.; Pietrobelli, A.; Widhalm, K. From conception to infancy-early risk factors for childhood obesity. Nat. Rev. Endocrinol. 2019, 15, 456–478. [Google Scholar] [CrossRef]
- Wang, S.; Shen, G.; Jiang, S.; Xu, H.; Li, M.; Wang, Z.; Zhang, S.; Yu, Y. Nutrient Status of Vitamin D among Chinese Children. Nutrients 2017, 9, 319. [Google Scholar] [CrossRef] [PubMed]
- Tung, K.T.S.; Wong, R.S.; Tsang, H.W.; Chan, B.N.K.; Wong, S.Y.; So, H.K.; Tung, J.Y.L.; Ho, M.H.K.; Wong, W.H.S.; Ip, P. An Assessment of Risk Factors for Insufficient Levels of Vitamin D during Early Infancy. Nutrients 2021, 13, 1068. [Google Scholar] [CrossRef] [PubMed]
- Celep, G.; Durmaz, Z.H.; Dörtok Demir, H.; Erdoğan, Y. Vitamin D status in infancy: What is the solution? J. Surg. Med. 2019, 3, 579–582. [Google Scholar] [CrossRef]
- Haugen, J.; Ulak, M.; Chandyo, R.K.; Henjum, S.; Thorne-Lyman, A.L.; Ueland, P.M.; Midtun, O.; Shrestha, P.S.; Strand, T.A. Low Prevalence of Vitamin D Insufficiency among Nepalese Infants Despite High Prevalence of Vitamin D Insufficiency among Their Mothers. Nutrients 2016, 8, 825. [Google Scholar] [CrossRef]
- Holick, M.F. Vitamin D deficiency. N. Engl. J. Med. 2007, 357, 266–281. [Google Scholar] [CrossRef]
- Litonjua, A.A. Vitamin D deficiency as a risk factor for childhood allergic disease and asthma. Curr. Opin. Allergy Clin. Immunol. 2012, 12, 179–185. [Google Scholar] [CrossRef]
- Eyles, D.W.; Burne, T.H.; McGrath, J.J. Vitamin D, effects on brain development, adult brain function and the links between low levels of vitamin D and neuropsychiatric disease. Front. Neuroendocr. 2013, 34, 47–64. [Google Scholar] [CrossRef]
- Aris, I.M.; Rifas-Shiman, S.L.; Li, L.J.; Yang, S.; Belfort, M.B.; Thompson, J.; Hivert, M.F.; Patel, R.; Martin, R.M.; Kramer, M.S.; et al. Association of Weight for Length vs Body Mass Index During the First 2 Years of Life With Cardiometabolic Risk in Early Adolescence. JAMA Netw. Open 2018, 1, e182460. [Google Scholar] [CrossRef]
- Guo, B.; Zhang, Y.; Lu, J.; Guo, S.; Jiang, Y.; Pei, J.; Wang, R.; Zhang, C.; Teng, H.; Chen, Q.; et al. Association between serum 25-hydroxyvitamin D concentrations and obesity in one-year-old Chinese infants. Food Sci. Nutr. 2021, 9, 3191–3199. [Google Scholar] [CrossRef]
- Holick, M.F.; Binkley, N.C.; Bischoff-Ferrari, H.A.; Gordon, C.M.; Hanley, D.A.; Heaney, R.P.; Murad, M.H.; Weaver, C.M.; Endocrine, S. Evaluation, treatment, and prevention of vitamin D deficiency: An Endocrine Society clinical practice guideline. J. Clin. Endocrinol. Metab. 2011, 96, 1911–1930. [Google Scholar] [CrossRef]
- Plesner, J.L.; Dahl, M.; Fonvig, C.E.; Nielsen, T.R.H.; Kloppenborg, J.T.; Pedersen, O.; Hansen, T.; Holm, J.C. Obesity is associated with vitamin D deficiency in Danish children and adolescents. J. Pediatr. Endocrinol. Metab. 2018, 31, 53–61. [Google Scholar] [CrossRef] [PubMed]
- Celik, N.; Dogan, H.O.; Zararsiz, G. Different threshold levels of circulating total and free 25-hydroxyvitamin D for the diagnosis of vitamin D deficiency in obese adolescents. Eur. J. Pediatr. 2021, 180, 2619–2627. [Google Scholar] [CrossRef]
- Asghari, G.; Yuzbashian, E.; Wagner, C.L.; Mahdavi, M.; Shamsi, R.; Hosseinpanah, F.; Mirmiran, P. The relation between circulating levels of vitamin D and parathyroid hormone in children and adolescents with overweight or obesity: Quest for a threshold. PLoS ONE 2019, 14, e0225717. [Google Scholar] [CrossRef] [PubMed]
- Cediel, G.; Pacheco-Acosta, J.; CastiUo-Durdn, C. Vitamin D deficiency in pediatric clinical practice. Arch. Argent. Pediatr. 2018, 116, e75–e81. [Google Scholar] [CrossRef] [PubMed]
- Li, H.; Huang, T.; Xiao, P.; Zhao, X.; Liu, J.; Cheng, H.; Dong, H.; Morris, H.A.; Mi, J.; China, C.; et al. Widespread vitamin D deficiency and its sex-specific association with adiposity in Chinese children and adolescents. Nutrition 2020, 71, 110646. [Google Scholar] [CrossRef]
- Ryan, K.J.; Daniel, Z.C.; Craggs, L.J.; Parr, T.; Brameld, J.M. Dose-dependent effects of vitamin D on transdifferentiation of skeletal muscle cells to adipose cells. J. Endocrinol. 2013, 217, 45–58. [Google Scholar] [CrossRef]

| Variables | 6 Months (n = 1205) | 12 Months (n = 925) |
|---|---|---|
| n (%) | n (%) | |
| Weight-for-length percentile | ||
| <3 | 9 (0.77) | 4 (0.45) |
| ≥3, <50 | 282 (24.25) | 261 (29.19) |
| ≥50, <97 | 792 (68.10) | 582 (65.10) |
| ≥97 | 80 (6.88) | 47 (5.26) |
| 25(OH)D median (ng/mL) | 40.6 | 42.3 |
| 25(OH)D categories (ng/mL) | ||
| Deficiency (<20) | 79 (6.56) | 19 (2.05) |
| Insufficiency (≥20, <30) | 137 (11.37) | 83 (8.97) |
| Sufficiency (≥30) | 989 (82.07) | 823 (88.97) |
| Variables | % | WLP at 6 Months | WLP at 12 Months | ||
|---|---|---|---|---|---|
| (n = 1205) | (n = 925) | ||||
| Mean ± SD | p | Mean ± SD | p | ||
| 25(OH)D at 6 months quartile (ng/mL) | |||||
| Q1 (<32.9) | 24.81 | 69.29 ± 25.36 | 0.04 * | 66.34 ± 25.55 | 0.04 * |
| Q2 (32.9–40.6) | 24.98 | 64.52 ± 26.64 | 59.65 ± 26.00 | ||
| Q3 (40.6–48.6) | 25.06 | 63.35 ± 26.67 | 61.89 ± 26.93 | ||
| Q4 (≥48.6) | 25.15 | 65.96 ± 24.73 | 64.29 ± 25.07 | ||
| 25(OH)D at 6 months categories (ng/mL) | |||||
| Deficiency and insufficiency (<30) | 17.93 | 69.79 ± 25.58 | 0.02 * | 67.98 ± 25.67 | 0.01 * |
| Sufficiency (≥30) | 82.07 | 64.91 ± 25.93 | 62.03 ± 25.92 | ||
| 25(OH)D at 12 months quartile (ng/mL) | |||||
| Q1 (<35.2) | 24.54 | 65.15 ± 26.36 | 0.28 | 62.99 ± 25.24 | 0.06 |
| Q2 (35.2–42.3) | 25.3 | 68.14 ± 25.52 | 66.51 ± 24.96 | ||
| Q3 (42.3–51.1) | 25.08 | 67.90 ± 25.23 | 62.48 ± 26.60 | ||
| Q4 (≥51.1) | 25.08 | 64.25 ± 26.31 | 59.49 ± 26.40 | ||
| 25(OH)D at 12 months categories (ng/mL) | |||||
| Deficiency and insufficiency (<30) | 11.03 | 66.99 ± 25.61 | 0.80 | 64.54 ± 24.43 | 0.52 |
| Sufficiency (≥30) | 88.97 | 66.28 ± 25.92 | 62.71 ± 26.06 | ||
| Sex | |||||
| Boys | 54.74 | 65.89 ± 26.25 | 0.95 | 62.53 ± 26.07 | 0.37 |
| Girls | 45.26 | 65.98 ± 25.38 | 64.08 ± 25.48 | ||
| Feeding modality | |||||
| Exclusively breastfeeding | 53.02 | 66.80 ± 25.94 | 0.34 | 62.04 ± 26.02 | 0.18 |
| Nonexclusively breastfeeding | 46.98 | 65.27 ± 25.65 | 64.42 ± 25.64 | ||
| Dose of VitD supplementation (IU) | |||||
| ≤400 | 55.85 | 66.58 ± 24.87 | 0.97 | 61.87 ± 25.78 | 0.11 |
| >400 | 44.15 | 66.65 ± 25.60 | 64.97 ± 25.45 | ||
| Mode of delivery | |||||
| Natural delivery | 58.42 | 65.43 ± 26.60 | 0.39 | 62.99 ± 26.01 | 0.55 |
| Caesarean delivery | 41.58 | 66.82 ± 25.03 | 64.08 ± 25.62 | ||
| Gestational age(weeks) | |||||
| <37 | 4.29 | 72.22 ± 21.82 | 0.11 | 61.08 ± 28.87 | 0.61 |
| ≥37 | 95.71 | 65.89 ± 25.96 | 63.44 ± 25.68 | ||
| Birthweight (kg) | |||||
| <2.5 | 2.57 | 65.34 ± 24.50 | 0.89 | 61.37 ± 23.52 | 0.84 |
| ≥2.5, <4 | 90.82 | 65.81 ± 25.92 | 62.91 ± 26.03 | ||
| ≥4 | 6.61 | 67.29 ± 24.42 | 64.78 ± 24.06 | ||
| Allergy disease | |||||
| No | 73.83 | 66.69 ± 25.75 | 0.13 | 63.48 ± 25.61 | 0.79 |
| Yes | 26.17 | 64.01 ± 25.93 | 62.96 ± 26.44 | ||
| Passive smoking | |||||
| No | 89.58 | 65.90 ± 25.68 | 0.67 | 63.37 ± 25.75 | 0.63 |
| Yes | 10.42 | 67.00 ± 26.07 | 61.93 ± 25.87 | ||
| Outdoor time (h/d) | |||||
| <0.5 | 20.53 | 68.52 ± 24.36 | 0.35 | 62.65 ± 25.86 | 0.82 |
| ≥0.5, <1.0 | 36.68 | 65.61 ± 26.72 | 62.69 ± 25.75 | ||
| ≥1.0, <2.0 | 32.48 | 65.64 ± 25.03 | 64.19 ± 25.32 | ||
| ≥2.0 | 10.31 | 63.57 ± 26.65 | 61.70 ± 27.30 | ||
| Paternal education | |||||
| High school or below | 9.39 | 64.12 ± 27.58 | 0.42 | 61.33 ± 25.41 | 0.52 |
| College or above | 90.61 | 66.26 ± 25.49 | 63.36 ± 25.83 | ||
| Maternal education | |||||
| High school or below | 9.54 | 64.80 ± 27.33 | 0.62 | 63.11 ± 26.03 | 0.98 |
| College or above | 90.46 | 66.11 ± 25.61 | 63.18 ± 25.80 | ||
| Monthly income (CNY) | |||||
| <10,000 | 21.72 | 63.42 ± 26.45 | 0.21 | 60.37 ± 25.99 | 0.23 |
| ≥10,000, <20,000 | 45.62 | 66.36 ± 25.65 | 64.30 ± 25.78 | ||
| ≥20,000 | 32.66 | 67.12 ± 25.38 | 63.30 ± 25.69 | ||
| Weight-for-Length Percentile | 25(OH)D (ng/mL) | |
|---|---|---|
| β (95% CI) | p | |
| 6 months (n = 1205) | 25(OH)D at 6 months (ng/mL) | |
| Unadjusted | −0.15 (−0.26, −0.03) | 0.01 * |
| Adjusted † | −0.14 (−0.27, −0.02) | 0.02 * |
| 12 months (n = 925) | 25(OH)D at 12 months (ng/mL) | |
| Unadjusted | −0.14 (−0.29, 0.01) | 0.07 |
| Adjusted † | −0.22 (−0.41, −0.02) | 0.03 * |
| Inflection of 25(OH)D (ng/mL) | Unadjusted | Adjusted † | ||
|---|---|---|---|---|
| β (95% CI) | p | β (95% CI) | p | |
| <35 | −0.41 (−0.70, −0.11) | 0.007 * | −0.39 (−0.70, −0.07) | 0.02 * |
| ≥35 | 0.10 (−0.10, 0.29) | 0.33 | 0.10 (−0.11, 0.31) | 0.35 |
| Overweight/Obesity | 25(OH)D Categories | ||
|---|---|---|---|
| Reference | OR (95% CI) | p | |
| 25(OH)D range at 6 months (ng/mL) | |||
| 6 months | ≥35 (n = 821) | <35 (n = 384) | |
| Unadjusted | 1.00 | 1.32 (1.01, 1.72) | 0.04 * |
| Adjusted † | 1.00 | 1.42 (1.06, 1.91) | 0.02 * |
| 12 months | |||
| Unadjusted | 1.00 | 1.16 (0.84, 1.61) | 0.35 |
| Adjusted † | 1.00 | 1.05 (0.74, 1.48) | 0.80 |
| 25(OH)D range at 12 months (ng/mL) | |||
| 12 months | ≥35 (n = 701) | <35 (n = 224) | |
| Unadjusted | 1.00 | 1.44 (0.64, 3.24) | 0.38 |
| Adjusted † | 1.00 | 1.44 (0.47, 4.39) | 0.52 |
| Model | T1 ‡ ≥ 35 and T2 ‡ ≥ 35 | T1 ‡ ≥ 35 or T2 ‡ ≥ 35 | T1 ‡ < 35 and T2 ‡ < 35 | ||
|---|---|---|---|---|---|
| (n = 523) | (n = 256) | (n = 259) | |||
| Reference | OR (95% CI) | p | OR (95% CI) | p | |
| Unadjusted | 1.00 | 0.53 (0.17, 1.62) | 0.26 | 2.31 (0.95, 5.60) | 0.06 |
| Adjusted † | 1.00 | 0.44 (0.12, 1.56) | 0.20 | 2.91 (1.13, 7.46) | 0.03 * |
Publisher’s Note: MDPI stays neutral with regard to jurisdictional claims in published maps and institutional affiliations. |
© 2022 by the authors. Licensee MDPI, Basel, Switzerland. This article is an open access article distributed under the terms and conditions of the Creative Commons Attribution (CC BY) license (https://creativecommons.org/licenses/by/4.0/).
Share and Cite
Chen, C.; Zhou, C.; Liu, S.; Jiao, X.; Wang, X.; Zhang, Y.; Yu, X. Association between Suboptimal 25-Hydroxyvitamin D Status and Overweight/Obesity in Infants: A Prospective Cohort Study in China. Nutrients 2022, 14, 4897. https://doi.org/10.3390/nu14224897
Chen C, Zhou C, Liu S, Jiao X, Wang X, Zhang Y, Yu X. Association between Suboptimal 25-Hydroxyvitamin D Status and Overweight/Obesity in Infants: A Prospective Cohort Study in China. Nutrients. 2022; 14(22):4897. https://doi.org/10.3390/nu14224897
Chicago/Turabian StyleChen, Chen, Chunyan Zhou, Shijian Liu, Xianting Jiao, Xirui Wang, Yue Zhang, and Xiaodan Yu. 2022. "Association between Suboptimal 25-Hydroxyvitamin D Status and Overweight/Obesity in Infants: A Prospective Cohort Study in China" Nutrients 14, no. 22: 4897. https://doi.org/10.3390/nu14224897
APA StyleChen, C., Zhou, C., Liu, S., Jiao, X., Wang, X., Zhang, Y., & Yu, X. (2022). Association between Suboptimal 25-Hydroxyvitamin D Status and Overweight/Obesity in Infants: A Prospective Cohort Study in China. Nutrients, 14(22), 4897. https://doi.org/10.3390/nu14224897

