Graph Theory-Based Electroencephalographic Connectivity via Phase-Locking Value and Its Association with Ketogenic Diet Responsiveness in Patients with Focal Onset Seizures
Abstract
1. Introduction
2. Materials and Methods
2.1. Participants
2.2. Study Design
2.3. Children Behavior Checklist (CBCL)
2.4. Electroencephalography (EEG) Recording
2.5. Electroencephalography (EEG) Preprocessing
2.6. Functional Connectivity
2.7. Graph Theoretical Analysis
2.8. Statistical Analysis
2.9. Study Assessment
2.9.1. Primary Outcome
2.9.2. Secondary Outcome
3. Results
3.1. Patient Enrollment
3.2. Patient Demographics
3.3. Behavioral Assessment
3.4. Functional Connectivity as Compared to Normal Population
3.5. Functional Connectivity after Ketogenic Diet Therapy
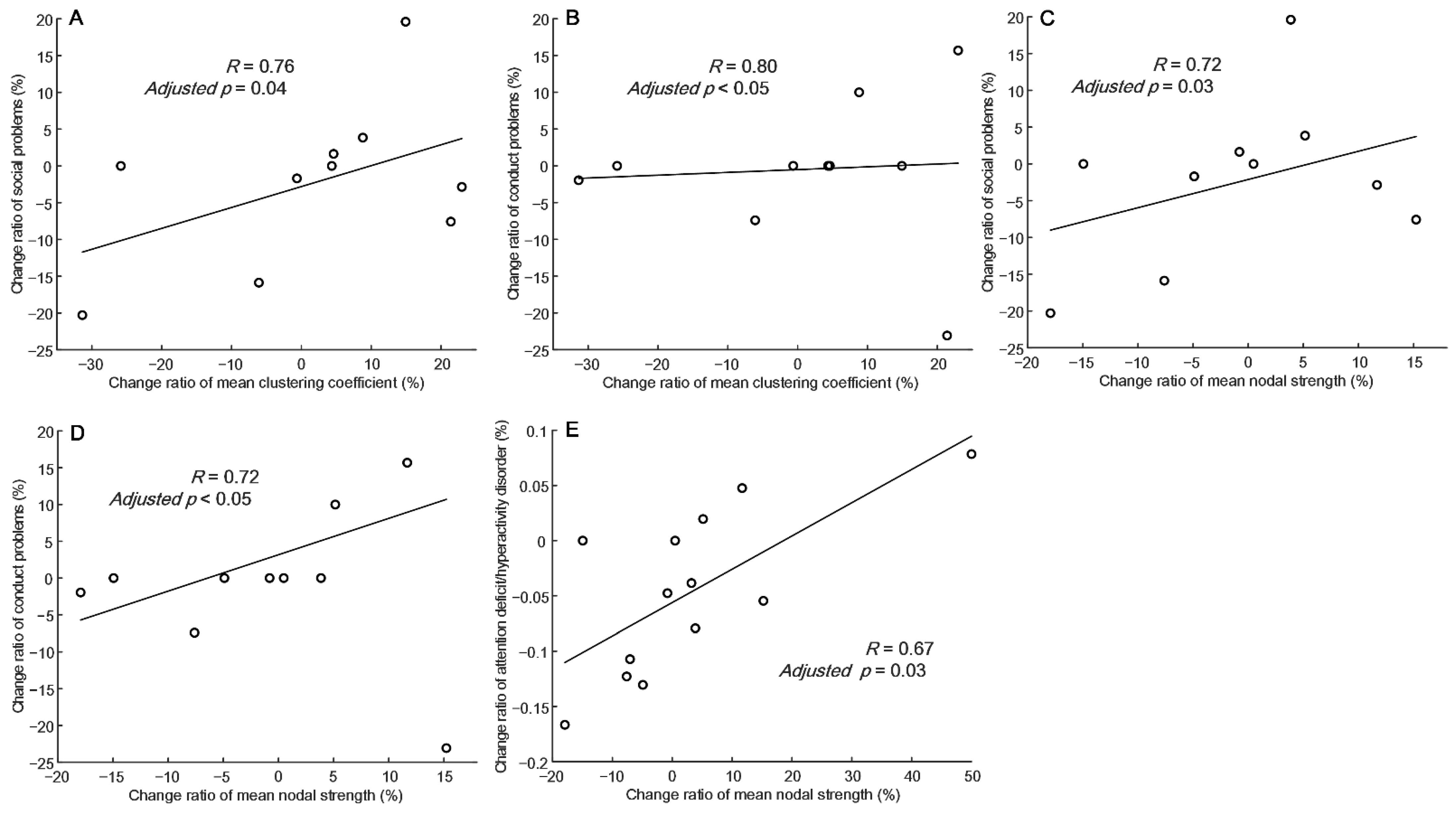
3.6. Correlation with Children Behavior Checklist (CBCL)
4. Discussion
5. Conclusions
Supplementary Materials
Author Contributions
Funding
Institutional Review Board Statement
Informed Consent Statement
Data Availability Statement
Acknowledgments
Conflicts of Interest
References
- Henderson, C.B.; Filloux, F.M.; Alder, S.C.; Lyon, J.L.; Caplin, D.A. Efficacy of the ketogenic diet as a treatment option for epilepsy: Meta-analysis. J. Child Neurol. 2006, 21, 193–198. [Google Scholar] [CrossRef] [PubMed]
- Kossoff, E.H.; Zupec-Kania, B.A.; Amark, P.E.; Ballaban-Gil, K.R.; Christina Bergqvist, A.G.; Blackford, R.; Buchhalter, J.R.; Caraballo, R.H.; Helen Cross, J.; Dahlin, M.G.; et al. Optimal clinical management of children receiving the ketogenic diet: Recommendations of the International Ketogenic Diet Study Group. Epilepsia 2009, 50, 304–317. [Google Scholar] [CrossRef] [PubMed]
- Barzegar, M.; Afghan, M.; Tarmahi, V.; Behtari, M.; Khamaneh, S.R.; Raeisi, S. Ketogenic diet: Overview, types, and possible anti-seizure mechanisms. Nutr. Neurosci. 2021, 24, 307–316. [Google Scholar] [CrossRef]
- Meidenbauer, J.J.; Mukherjee, P.; Seyfried, T.N. The glucose ketone index calculator: A simple tool to monitor therapeutic efficacy for metabolic management of brain cancer. Nutr. Metab. 2015, 12, 12. [Google Scholar] [CrossRef] [PubMed]
- Schoeler, N.E.; Bell, G.; Yuen, A.; Kapelner, A.D.; Heales, S.J.R.; Cross, J.H.; Sisodiya, S. An examination of biochemical parameters and their association with response to ketogenic dietary therapies. Epilepsia 2017, 58, 893–900. [Google Scholar] [CrossRef] [PubMed]
- Schoeler, N.E.; Cross, J.H.; Sander, J.W.; Sisodiya, S.M. Can we predict a favourable response to Ketogenic Diet Therapies for drug-resistant epilepsy? Epilepsy Res. 2013, 106, 1–16. [Google Scholar] [CrossRef]
- Hallböök, T.; Köhler, S.; Rosén, I.; Lundgren, J. Effects of ketogenic diet on epileptiform activity in children with therapy resistant epilepsy. Epilepsy Res. 2007, 77, 134–140. [Google Scholar] [CrossRef]
- Beniczky, S.; Miranda, M.J.; Alving, J.; Povlsen, J.H.; Wolf, P. Effectiveness of the ketogenic diet in a broad range of seizure types and EEG features for severe childhood epilepsies. Acta Neurol. Scand. 2010, 121, 58–62. [Google Scholar] [CrossRef]
- Kessler, S.K.; Gallagher, P.R.; Shellhaas, R.A.; Clancy, R.R.; Bergqvist, A.C. Early EEG improvement after ketogenic diet initiation. Epilepsy Res. 2011, 94, 94–101. [Google Scholar] [CrossRef]
- Ebus, S.C.; Lambrechts, D.A.; Herraets, I.J.; Majoie, M.J.; de Louw, A.J.; Boon, P.; Aldenkamp, A.P.; Arends, J.B. Can an early 24-hour EEG predict the response to the ketogenic diet? A prospective study in 34 children and adults with refractory epilepsy treated with the ketogenic diet. Seizure 2014, 23, 468–474. [Google Scholar] [CrossRef][Green Version]
- Su, T.-Y.; Hung, P.-L.; Chen, C.; Lin, Y.-J.; Peng, S.-J. Graph Theory-Based Electroencephalographic Connectivity and Its Association with Ketogenic Diet Effectiveness in Epileptic Children. Nutrients 2021, 13, 2186. [Google Scholar] [CrossRef] [PubMed]
- E Jones, J.; Watson, R.; Sheth, R.; Caplan, R.; Koehn, M.; Seidenberg, M.; Hermann, B. Psychiatric comorbidity in children with new onset epilepsy. Dev. Med. Child Neurol. 2007, 49, 493–497. [Google Scholar] [CrossRef] [PubMed]
- van Berkel, A.A.; Jff, D.M.I.; Verkuyl, J. Cognitive benefits of the ketogenic diet in patients with epilepsy: A systematic overview. Epilepsy Behav. 2018, 87, 69–77. [Google Scholar] [CrossRef]
- Pulsifer, M.B.; Gordon, J.M.; Brandt, J.; Vining, E.P.; Freeman, J.M. Effects of ketogenic diet on development and behavior:preliminary report of a prospective study. Dev. Med. Child Neurol. 2001, 43, 301–306. [Google Scholar] [CrossRef]
- Ijff, D.M.; Postulart, D.; Lambrechts, D.A.; Majoie, M.H.; de Kinderen, R.J.; Hendriksen, J.G.; Evers, S.M.; Aldenkamp, A.P. Cognitive and behavioral impact of the ketogenic diet in children and adolescents with refractory epilepsy: A randomized controlled trial. Epilepsy Behav. 2016, 60, 153–157. [Google Scholar] [CrossRef] [PubMed]
- Grigolon, R.B.; Gerchman, F.; Schöffel, A.C.; Hawken, E.R.; Gill, H.; Vazquez, G.H.; Mansur, R.B.; McIntyre, R.S.; Brietzke, E. Mental, emotional, and behavioral effects of ketogenic diet for non-epileptic neuropsychiatric conditions. Prog. Neuropsychopharmacol. Biol. Psychiatry 2020, 102, 109947. [Google Scholar] [CrossRef] [PubMed]
- Adebimpe, A.; Aarabi, A.; Bourel-Ponchel, E.; Mahmoudzadeh, M.; Wallois, F. EEG Resting State Functional Connectivity Analysis in Children with Benign Epilepsy with Centrotemporal Spikes. Front. Neurosci. 2016, 10, 143. [Google Scholar] [CrossRef] [PubMed]
- Rubinov, M.; Sporns, O. Complex network measures of brain connectivity: Uses and interpretations. Neuroimage 2010, 52, 1059–1069. [Google Scholar] [CrossRef]
- Pedersen, M.; Omidvarnia, A.H.; Walz, J.M.; Jackson, G.D. Increased segregation of brain networks in focal epilepsy: An fMRI graph theory finding. Neuroimage Clin. 2015, 8, 536–542. [Google Scholar] [CrossRef]
- Falsaperla, R.; Vitaliti, G.; Marino, S.D.; Praticò, A.D.; Mailo, J.; Spatuzza, M.; Cilio, M.R.; Foti, R.; Ruggieri, M. Graph theory in paediatric epilepsy: A systematic review. Dialogues Clin. Neurosci. 2021, 23, 3–13. [Google Scholar] [CrossRef]
- Lee, C.; Im, C.-H.; Koo, Y.S.; Lim, J.-A.; Kim, T.-J.; Byun, J.-I.; Sunwoo, J.-S.; Moon, J.; Kim, D.W.; Lee, S.-T.; et al. Altered Network Characteristics of Spike-Wave Discharges in Juvenile Myoclonic Epilepsy. Clin. EEG Neurosci. 2017, 48, 111–117. [Google Scholar] [CrossRef] [PubMed]
- Vecchio, F.; Miraglia, F.; Curcio, G.; Della Marca, G.; Vollono, C.; Mazzucchi, E.; Bramanti, P.; Rossini, P.M. Cortical connectivity in fronto-temporal focal epilepsy from EEG analysis: A study via graph theory. Clin. Neurophysiol. 2015, 126, 1108–1116. [Google Scholar] [CrossRef] [PubMed]
- Adebimpe, A.A.; Aarabi, A.; Bourel-Ponchel, E.; Mahmoudzadeh, M.; Wallois, F. Functional Brain Dysfunction in Patients with Benign Childhood Epilepsy as Revealed by Graph Theory. PLoS ONE 2015, 10, e0139228. [Google Scholar] [CrossRef] [PubMed]
- de la Loge, C.; Hunter, S.J.; Schiemann, J.; Yang, H. Assessment of behavioral and emotional functioning using standardized instruments in children and adolescents with partial-onset seizures treated with adjunctive levetiracetam in a randomized, placebo-controlled trial. Epilepsy Behav. 2010, 18, 291–298. [Google Scholar] [CrossRef]
- Jóźwiak, S.; Veggiotti, P.; Moreira, J.; Gama, H.; Rocha, F.; Soares-Da-Silva, P. Effects of adjunctive eslicarbazepine acetate on neurocognitive functioning in children with refractory focal-onset seizures. Epilepsy Behav. 2018, 81, 1–11. [Google Scholar] [CrossRef]
- Arzimanoglou, A.; Ferreira, J.; Satlin, A.; Olhaye, O.; Kumar, D.; Dhadda, S.; Bibbiani, F. Evaluation of long-term safety, tolerability, and behavioral outcomes with adjunctive rufinamide in pediatric patients (>/=1 to < 4 years old) with Lennox-Gastaut syndrome: Final results from randomized study 303. Eur. J. Paediatr. Neurol. 2019, 23, 126–135. [Google Scholar] [CrossRef]
- Shinnar, R.C.; Shinnar, S.; Cnaan, A.; Clark, P.; Dlugos, D.; Hirtz, D.G.; Hu, F.; Liu, C.; Masur, D.; Weiss, E.F.; et al. Pretreatment behavior and subsequent medication effects in childhood absence epilepsy. Neurology 2017, 89, 1698–1706. [Google Scholar] [CrossRef]
- Achenbach, T.M.; Ruffle, T.M. The Child Behavior Checklist and related forms for assessing behavioral/emotional problems and competencies. Pediatr. Rev. 2000, 21, 265–271. [Google Scholar] [CrossRef]
- Delorme, A.; Makeig, S. EEGLAB: An open source toolbox for analysis of single-trial EEG dynamics including independent component analysis. J. Neurosci. Methods 2004, 134, 9–21. [Google Scholar] [CrossRef]
- Makeig, S.; Jung, T.; Bell, A.J.; Ghahremani, D.; Sejnowski, T.J. Blind separation of auditory event-related brain responses into independent components. Natl. Acad. Sci. USA 1997, 94, 10979–10984. [Google Scholar] [CrossRef]
- Stam, C.J.; Nolte, G.; Daffertshofer, A. Phase lag index: Assessment of functional connectivity from multi channel EEG and MEG with diminished bias from common sources. Hum. Brain Mapp. 2007, 28, 1178–1193. [Google Scholar] [CrossRef] [PubMed]
- Tung, H.; Lin, W.-H.; Hsieh, P.F.; Lan, T.-H.; Chiang, M.-C.; Lin, Y.-Y.; Peng, S.-J. Left Frontotemporal Region Plays a Key Role in Letter Fluency Task-Evoked Activation and Functional Connectivity in Normal Subjects: A Functional Near-Infrared Spectroscopy Study. Front. Psychiatry 2022, 13, 810685. [Google Scholar] [CrossRef] [PubMed]
- Bullmore, E.; Sporns, O. Complex brain networks: Graph theoretical analysis of structural and functional systems. Nat. Rev. Neurosci. 2009, 10, 186–198. [Google Scholar] [CrossRef] [PubMed]
- Staba, R.J.; Worrell, G.A. What is the importance of abnormal “background” activity in seizure generation? Adv. Exp. Med. Biol. 2014, 813, 43–54. [Google Scholar] [PubMed]
- Genovese, C.R.; Lazar, N.A.; Nichols, T. Thresholding of statistical maps in functional neuroimaging using the false discovery rate. Neuroimage 2002, 15, 870–878. [Google Scholar] [CrossRef]
- Cramer, J.A. Seizure measurement in clinical trials. J. Epilpesy 1998, 11, 256–260. [Google Scholar] [CrossRef]
- Blume, W.T. Drugs effects on EEG. J. Clin. Neurophysiol. 2006, 23, 306–311. [Google Scholar] [CrossRef]
- Operto, F.F.; Matricardi, S.; Pastorino, G.M.G.; Verrotti, A.; Coppola, G. The Ketogenic Diet for the Treatment of Mood Disorders in Comorbidity With Epilepsy in Children and Adolescents. Front. Pharmacol. 2020, 11, 578396. [Google Scholar] [CrossRef]
- Farahani, F.V.; Karwowski, W.; Lighthall, N.R. Application of Graph Theory for Identifying Connectivity Patterns in Human Brain Networks: A Systematic Review. Front. Neurosci. 2019, 13, 585. [Google Scholar] [CrossRef]
- Xia, M.; He, Y. Magnetic resonance imaging and graph theoretical analysis of complex brain networks in neuropsychiatric disorders. Brain Connect. 2011, 1, 349–365. [Google Scholar] [CrossRef]
- Guye, M.; Bettus, G.; Bartolomei, F.; Cozzone, P.J. Graph theoretical analysis of structural and functional connectivity MRI in normal and pathological brain networks. Magn. Reson. Mater. Phys. Biol. Med. 2010, 23, 409–421. [Google Scholar] [CrossRef] [PubMed]




| No. | Age (Year; Months) | Withdrawal (months) | Withdrawn Reason | ASM No. | Baseline Seizure Frequency (fits/m) | Seizure Frequency at 6 m (fits/m) | Seizure Reduction Rate at 6 m (%) | Seizure Frequency at 12 m (fits/m) | Seizure Reduction Rate at 12 m (%) | Responsive (Y/N) | Dominant Hand | EEG Lateralization |
|---|---|---|---|---|---|---|---|---|---|---|---|---|
| 1 | 13; 6 | 6–9 | Parent factor | 1 | 1 | 0 | 100.0 | - | - | Y | R | L |
| 2 | 19; 1 | 2 | 1 | 2 | −100.0 | 1 | 0.0 | N | R | R | ||
| 3 | 14; 4 | 3 | 33 | 14 | 57.6 | 10 | 69.7 | Y | R | R | ||
| 4 | 15; 4 | 4 | 1 | 0 | 100.0 | 0 | 100.0 | Y | R | Bil | ||
| 5 | 6; 10 | 6–9 | Side effect | 2 | 15 | 0 | 100.0 | - | - | Y | R | Bil |
| 6 | 10; 3 | 3 | 224 | 0 | 100.0 | 0 | 100.0 | Y | L | Bil | ||
| 7 | 17; 2 | 1 | 1 | 0 | 100.0 | 0 | 100.0 | Y | R | R | ||
| 8 | 9; 7 | 3 | 1 | 0 | 100.0 | 0 | 100.0 | Y | R | R | ||
| 9 | 10; 4 | 3 | 66 | 47 | 28.8 | 14 | 78.8 | N | L | Bil | ||
| 10 | 0; 10 | 4 | 3 | 0 | 100.0 | 0 | 100.0 | Y | R | Bil | ||
| 11 | 6; 0 | 6–9 | No effect | 1 | 5 | 14 | −180.0 | - | - | N | R | L |
| 12 | 15; 1 | 2 | 1 | 0 | 100.0 | 0 | 100.0 | Y | R | L | ||
| 13 | 13; 10 | 2 | 6 | 0 | 100.0 | 0 | 100.0 | Y | R | L | ||
| 14 | 11; 6 | 1 | 1 | 0 | 100.0 | 0 | 100.0 | Y | R | R | ||
| 15 | 30; 10 | 1 | 2 | 1 | 50.0 | 0 | 100.0 | Y | R | L | ||
| 16 | 1; 10 | 2 | 56 | 0 | 100.0 | 0 | 100.0 | Y | R | Bil | ||
| 17 | 8; 3 | 6–9 | Patientfactor | 3 | 6 | 0 | 100.0 | - | - | Y | R | R |
Publisher’s Note: MDPI stays neutral with regard to jurisdictional claims in published maps and institutional affiliations. |
© 2022 by the authors. Licensee MDPI, Basel, Switzerland. This article is an open access article distributed under the terms and conditions of the Creative Commons Attribution (CC BY) license (https://creativecommons.org/licenses/by/4.0/).
Share and Cite
Hsieh, T.-Y.; Hung, P.-L.; Su, T.-Y.; Peng, S.-J. Graph Theory-Based Electroencephalographic Connectivity via Phase-Locking Value and Its Association with Ketogenic Diet Responsiveness in Patients with Focal Onset Seizures. Nutrients 2022, 14, 4457. https://doi.org/10.3390/nu14214457
Hsieh T-Y, Hung P-L, Su T-Y, Peng S-J. Graph Theory-Based Electroencephalographic Connectivity via Phase-Locking Value and Its Association with Ketogenic Diet Responsiveness in Patients with Focal Onset Seizures. Nutrients. 2022; 14(21):4457. https://doi.org/10.3390/nu14214457
Chicago/Turabian StyleHsieh, Tzu-Yun, Pi-Lien Hung, Ting-Yu Su, and Syu-Jyun Peng. 2022. "Graph Theory-Based Electroencephalographic Connectivity via Phase-Locking Value and Its Association with Ketogenic Diet Responsiveness in Patients with Focal Onset Seizures" Nutrients 14, no. 21: 4457. https://doi.org/10.3390/nu14214457
APA StyleHsieh, T.-Y., Hung, P.-L., Su, T.-Y., & Peng, S.-J. (2022). Graph Theory-Based Electroencephalographic Connectivity via Phase-Locking Value and Its Association with Ketogenic Diet Responsiveness in Patients with Focal Onset Seizures. Nutrients, 14(21), 4457. https://doi.org/10.3390/nu14214457

