Association between Mediterranean Diet and Fatty Liver in Women with Overweight and Obesity
Abstract
1. Introduction
2. Materials and Methods
2.1. Study Design and Protocol
2.2. Outcome Assessment
- Fatty liver index (FLI) [31] = eLP/(1 + eLP) × 100 where LP (linear predictor) = 0.953 × ln(triglycerides (mg/dL)) + 0.139 × BMI (kg/m2) + 0.718 × ln (GGT (U/L)) + 0.053 × WC (cm) − 15.745;
- Non-alcoholic fatty liver disease–fatty liver steatosis (NAFLD-FLS) [32] = −2.89 + 1.18 × Metabolic syndrome (0 = No; 1 = Yes) + 0.45 × type 2 diabetes mellitus (2 = Yes; 0 = No) + 0.15 × insulin (mU/L) + 0.04 × AST (U/L) − 0.94 × AST (U/L)/ALT (U/L);
- Hepatic steatosis index (HSI) [33] = 8 × (ALT (U/L)/AST (U/L)) + BMI (kg/m2) + 2 if woman + 2 if diabetes mellitus.
2.3. Mediterranean Diet Adherence
2.4. Statistical Analysis
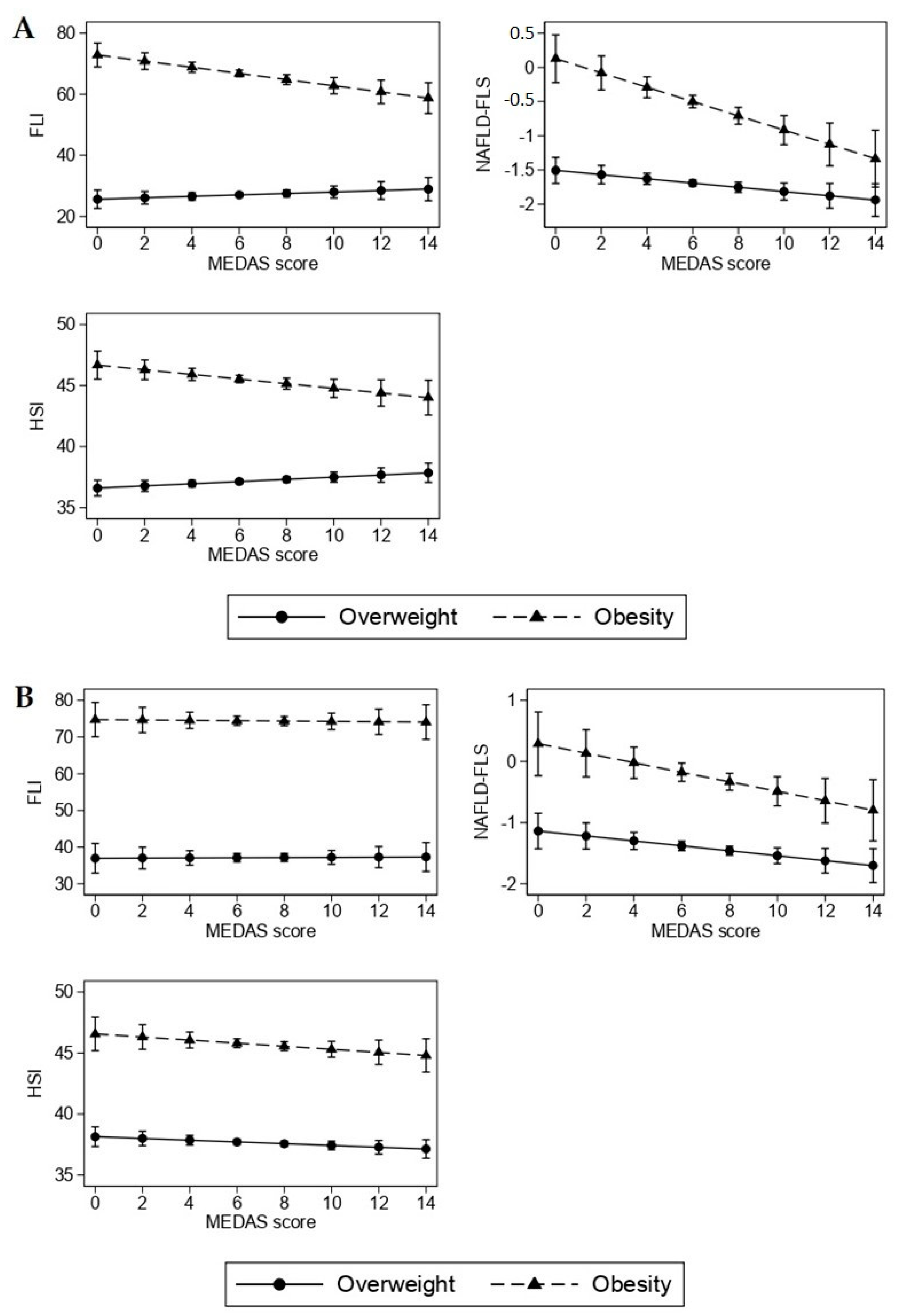
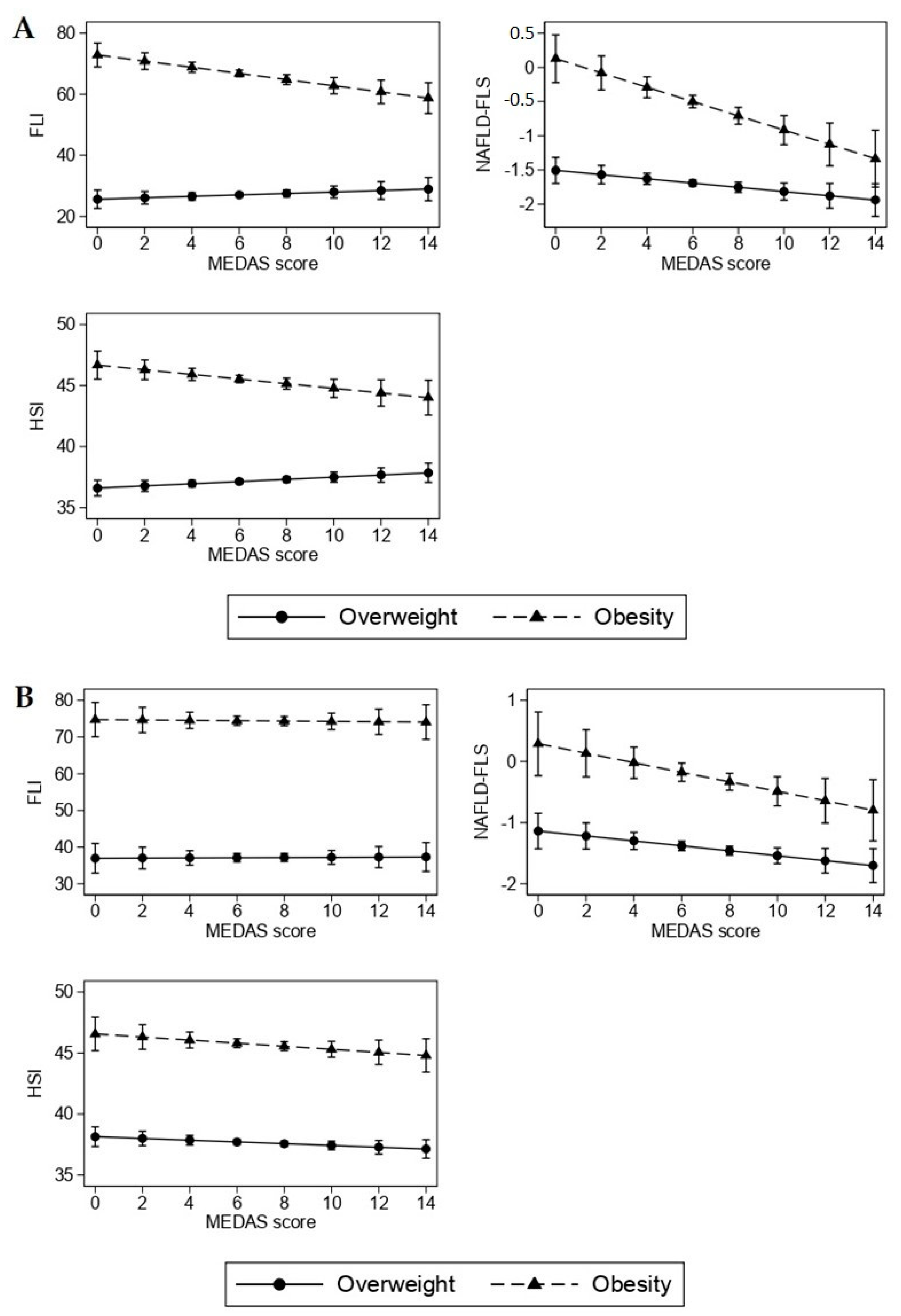
3. Results
4. Discussion
5. Conclusions
Supplementary Materials
Author Contributions
Funding
Institutional Review Board Statement
Informed Consent Statement
Data Availability Statement
Acknowledgments
Conflicts of Interest
References
- Arab, J.P.; Arrese, M.; Trauner, M. Recent Insights into the Pathogenesis of Nonalcoholic Fatty Liver Disease. Annu. Rev. Pathol. 2018, 13, 321–350. [Google Scholar] [CrossRef] [PubMed]
- Carr, R.M.; Oranu, A.; Khungar, V. Nonalcoholic Fatty Liver Disease: Pathophysiology and Management. Gastroenterol. Clin. N. Am. 2016, 45, 639–652. [Google Scholar] [CrossRef] [PubMed]
- Bravo, A.A.; Sheth, S.G.; Chopra, S. Liver biopsy. N. Engl. J. Med. 2001, 344, 495–500. [Google Scholar] [CrossRef] [PubMed]
- EASL; EASD; EASO. EASL–EASD–EASO Clinical Practice Guidelines for the management of non-alcoholic fatty liver disease. J. Hepatol. 2016, 64, 1388–1402. [Google Scholar] [CrossRef]
- Bellentani, S.; Scaglioni, F.; Marino, M.; Bedogni, G. Epidemiology of non-alcoholic fatty liver disease. Dig. Dis. 2010, 28, 155–161. [Google Scholar] [CrossRef]
- Lonardo, A.; Nascimbeni, F.; Ballestri, S.; Fairweather, D.; Win, S.; Than, T.A.; Abdelmalek, M.F.; Suzuki, A. Sex Differences in Nonalcoholic Fatty Liver Disease: State of the Art and Identification of Research Gaps. Hepatology 2019, 70, 1457–1469. [Google Scholar] [CrossRef]
- Polyzos, S.A.; Kountouras, J.; Mantzoros, C.S. Obesity and nonalcoholic fatty liver disease: From pathophysiology to therapeutics. Metabolism 2019, 92, 82–97. [Google Scholar] [CrossRef]
- DiStefano, J.K.; Gerhard, G.S. NAFLD in normal weight individuals. Diabetol. Metab. Syndr. 2022, 14, 45. [Google Scholar] [CrossRef]
- Leone, A.; Battezzati, A.; De Amicis, R.; De Carlo, G.; Bertoli, S. Trends of Adherence to the Mediterranean Dietary Pattern in Northern Italy from 2010 to 2016. Nutrients 2017, 9, 734. [Google Scholar] [CrossRef]
- Guasch-Ferré, M.; Willett, W.C. The Mediterranean diet and health: A comprehensive overview. J. Intern. Med. 2021, 290, 549–566. [Google Scholar] [CrossRef]
- Khalatbari-Soltani, S.; Marques-Vidal, P.; Imamura, F.; Forouhi, N.G. Prospective association between adherence to the Mediterranean diet and hepatic steatosis: The Swiss CoLaus cohort study. BMJ Open 2020, 10, e040959. [Google Scholar] [CrossRef] [PubMed]
- Ma, J.; Hennein, R.; Liu, C.; Long, M.T.; Hoffmann, U.; Jacques, P.F.; Lichtenstein, A.H.; Hu, F.B.; Levy, D. Improved Diet Quality Associates With Reduction in Liver Fat, Particularly in Individuals With High Genetic Risk Scores for Nonalcoholic Fatty Liver Disease. Gastroenterology 2018, 155, 107–117. [Google Scholar] [CrossRef] [PubMed]
- Giraldi, L.; Miele, L.; Aleksovska, K.; Manca, F.; Leoncini, E.; Biolato, M.; Arzani, D.; Pirro, M.A.; Marrone, G.; Cefalo, C.; et al. Mediterranean diet and the prevention of non-alcoholic fatty liver disease: Results from a case-control study. Eur. Rev. Med. Pharmacol. Sci. 2020, 24, 7391–7398. [Google Scholar] [CrossRef] [PubMed]
- Entezari, M.R.; Talenezhad, N.; Mirzavandi, F.; Rahimpour, S.; Mozaffari-Khosravi, H.; Fallahzadeh, H.; Hosseinzadeh, M. Mediterranean dietary pattern and non-alcoholic fatty liver diseases: A case-control study. J. Nutr. Sci. 2021, 10, e55. [Google Scholar] [CrossRef]
- Kouvari, M.; Boutari, C.; Chrysohoou, C.; Fragkopoulou, E.; Antonopoulou, S.; Tousoulis, D.; Pitsavos, C.; Panagiotakos, D.B.; Mantzoros, C.S. Mediterranean diet is inversely associated with steatosis and fibrosis and decreases ten-year diabetes and cardiovascular risk in NAFLD subjects: Results from the ATTICA prospective cohort study. Clin. Nutr. 2021, 40, 3314–3324. [Google Scholar] [CrossRef]
- Baratta, F.; Pastori, D.; Polimeni, L.; Bucci, T.; Ceci, F.; Calabrese, C.; Ernesti, I.; Pannitteri, G.; Violi, F.; Angelico, F.; et al. Adherence to Mediterranean Diet and Non-Alcoholic Fatty Liver Disease: Effect on Insulin Resistance. Am. J. Gastroenterol. 2017, 112, 1832–1839. [Google Scholar] [CrossRef]
- Doustmohammadian, A.; Clark, C.C.T.; Maadi, M.; Motamed, N.; Sobhrakhshankhah, E.; Ajdarkosh, H.; Mansourian, M.R.; Esfandyari, S.; Hanjani, N.A.; Nikkhoo, M.; et al. Favorable association between Mediterranean diet (MeD) and DASH with NAFLD among Iranian adults of the Amol Cohort Study (AmolCS). Sci. Rep. 2022, 12, 2131. [Google Scholar] [CrossRef]
- Cantero, I.; Abete, I.; Babio, N.; Arós, F.; Corella, D.; Estruch, R.; Fitó, M.; Hebert, J.R.; Martínez-González, M.; Pintó, X.; et al. Dietary Inflammatory Index and liver status in subjects with different adiposity levels within the PREDIMED trial. Clin. Nutr. 2018, 37, 1736–1743. [Google Scholar] [CrossRef]
- Gepner, Y.; Shelef, I.; Komy, O.; Cohen, N.; Schwarzfuchs, D.; Bril, N.; Rein, M.; Serfaty, D.; Kenigsbuch, S.; Zelicha, H.; et al. The beneficial effects of Mediterranean diet over low-fat diet may be mediated by decreasing hepatic fat content. J. Hepatol. 2019, 71, 379–388. [Google Scholar] [CrossRef]
- Ristic-Medic, D.; Kovacic, M.; Takic, M.; Arsic, A.; Petrovic, S.; Paunovic, M.; Jovicic, M.; Vucic, V. Calorie-Restricted Mediterranean and Low-Fat Diets Affect Fatty Acid Status in Individuals with Nonalcoholic Fatty Liver Disease. Nutrients 2020, 13, 15. [Google Scholar] [CrossRef]
- Ryan, M.C.; Itsiopoulos, C.; Thodis, T.; Ward, G.; Trost, N.; Hofferberth, S.; O’Dea, K.; Desmond, P.V.; Johnson, N.A.; Wilson, A.M. The Mediterranean diet improves hepatic steatosis and insulin sensitivity in individuals with non-alcoholic fatty liver disease. J. Hepatol. 2013, 59, 138–143. [Google Scholar] [CrossRef] [PubMed]
- Yaskolka Meir, A.; Rinott, E.; Tsaban, G.; Zelicha, H.; Kaplan, A.; Rosen, P.; Shelef, I.; Youngster, I.; Shalev, A.; Blüher, M.; et al. Effect of green-Mediterranean diet on intrahepatic fat: The DIRECT PLUS randomised controlled trial. Gut 2021, 70, 2085. [Google Scholar] [CrossRef] [PubMed]
- Bertoli, S.; Leone, A.; Vignati, L.; Bedogni, G.; Martínez-González, M.A.; Bes-Rastrollo, M.; Spadafranca, A.; Vanzulli, A.; Battezzati, A. Adherence to the Mediterranean diet is inversely associated with visceral abdominal tissue in Caucasian subjects. Clin. Nutr. 2015, 34, 1266–1272. [Google Scholar] [CrossRef] [PubMed]
- Tzima, N.; Pitsavos, C.; Panagiotakos, D.B.; Skoumas, J.; Zampelas, A.; Chrysohoou, C.; Stefanadis, C. Mediterranean diet and insulin sensitivity, lipid profile and blood pressure levels, in overweight and obese people; the Attica study. Lipids Heal. Dis. 2007, 6, 22. [Google Scholar] [CrossRef]
- Leone, A.; De Amicis, R.; Battezzati, A.; Bertoli, S. Adherence to the Mediterranean Diet and Risk of Metabolically Unhealthy Obesity in Women: A Cross-Sectional Study. Front. Nutr. 2022, 9, 858206. [Google Scholar] [CrossRef]
- Armellini, F.; Zamboni, M.; Rigo, L.; Todesco, T.; Bergamo-Andreis, I.A.; Procacci, C.; Bosello, O. The contribution of sonography to the measurement of intra-abdominal fat. J. Clin. Ultrasound 1990, 18, 563–567. [Google Scholar] [CrossRef] [PubMed]
- Bertoli, S.; Leone, A.; Vignati, L.; Spadafranca, A.; Bedogni, G.; Vanzulli, A.; Rodeschini, E.; Battezzati, A. Metabolic correlates of subcutaneous and visceral abdominal fat measured by ultrasonography: A comparison with waist circumference. Nutr. J. 2016, 15, 2. [Google Scholar] [CrossRef]
- Lohman, T.G.; Roche, A.F.; Martorell, R. Anthropometric Standardization Reference Manual; Human Kinetics Books: Champaign, IL, USA, 1988. [Google Scholar]
- Durnin, J.V.; Womersley, J. Body fat assessed from total body density and its estimation from skinfold thickness: Measurements on 481 men and women aged from 16 to 72 years. Br. J. Nutr. 1974, 32, 77–97. [Google Scholar] [CrossRef]
- Alberti, K.G.; Eckel, R.H.; Grundy, S.M.; Zimmet, P.Z.; Cleeman, J.I.; Donato, K.A.; Fruchart, J.C.; James, W.P.; Loria, C.M.; Smith, S.C., Jr. Harmonizing the metabolic syndrome: A joint interim statement of the International Diabetes Federation Task Force on Epidemiology and Prevention; National Heart, Lung, and Blood Institute; American Heart Association; World Heart Federation; International Atherosclerosis Society; and International Association for the Study of Obesity. Circulation 2009, 120, 1640–1645. [Google Scholar] [CrossRef]
- Bedogni, G.; Bellentani, S.; Miglioli, L.; Masutti, F.; Passalacqua, M.; Castiglione, A.; Tiribelli, C. The Fatty Liver Index: A simple and accurate predictor of hepatic steatosis in the general population. BMC Gastroenterol. 2006, 6, 33. [Google Scholar] [CrossRef]
- Kotronen, A.; Peltonen, M.; Hakkarainen, A.; Sevastianova, K.; Bergholm, R.; Johansson, L.M.; Lundbom, N.; Rissanen, A.; Ridderstråle, M.; Groop, L.; et al. Prediction of non-alcoholic fatty liver disease and liver fat using metabolic and genetic factors. Gastroenterology 2009, 137, 865–872. [Google Scholar] [CrossRef]
- Lee, J.H.; Kim, D.; Kim, H.J.; Lee, C.H.; Yang, J.I.; Kim, W.; Kim, Y.J.; Yoon, J.H.; Cho, S.H.; Sung, M.W.; et al. Hepatic steatosis index: A simple screening tool reflecting nonalcoholic fatty liver disease. Dig. Liver Dis. 2010, 42, 503–508. [Google Scholar] [CrossRef] [PubMed]
- Schröder, H.; Fitó, M.; Estruch, R.; Martínez-González, M.A.; Corella, D.; Salas-Salvadó, J.; Lamuela-Raventós, R.; Ros, E.; Salaverría, I.; Fiol, M.; et al. A short screener is valid for assessing Mediterranean diet adherence among older Spanish men and women. J. Nutr. 2011, 141, 1140–1145. [Google Scholar] [CrossRef] [PubMed]
- Soldati, L.; Bertoli, S.; Terranegra, A.; Brasacchio, C.; Mingione, A.; Dogliotti, E.; Raspini, B.; Leone, A.; Frau, F.; Vignati, L.; et al. Relevance of Mediterranean diet and glucose metabolism for nephrolithiasis in obese subjects. J. Transl. Med. 2014, 12, 34. [Google Scholar] [CrossRef][Green Version]
- Bertoli, S.; Spadafranca, A.; Bes-Rastrollo, M.; Martinez-Gonzalez, M.A.; Ponissi, V.; Beggio, V.; Leone, A.; Battezzati, A. Adherence to the Mediterranean diet is inversely related to binge eating disorder in patients seeking a weight loss program. Clin. Nutr. 2015, 34, 107–114. [Google Scholar] [CrossRef]
- Amicis, R.D.; Leone, A.; Foppiani, A.; Osio, D.; Lewandowski, L.; Giustizieri, V.; Cornelio, P.; Cornelio, F.; Imperatori, S.F.; Cappa, S.F.; et al. Mediterranean Diet and Cognitive Status in Free-Living Elderly: A Cross-Sectional Study in Northern Italy. J. Am. Coll. Nutr. 2018, 37, 494–500. [Google Scholar] [CrossRef]
- Foschi, F.G.; Conti, F.; Domenicali, M.; Giacomoni, P.; Borghi, A.; Bevilacqua, V.; Napoli, L.; Berardinelli, D.; Altini, M.; Cucchetti, A.; et al. External Validation of Surrogate Indices of Fatty Liver in the General Population: The Bagnacavallo Study. J. Clin. Med. 2021, 10, 520. [Google Scholar] [CrossRef]
- Cohen, J.C.; Horton, J.D.; Hobbs, H.H. Human fatty liver disease: Old questions and new insights. Science 2011, 332, 1519–1523. [Google Scholar] [CrossRef]
- Arguello, G.; Balboa, E.; Arrese, M.; Zanlungo, S. Recent insights on the role of cholesterol in non-alcoholic fatty liver disease. Biochim. Et Biophys. Acta (BBA) Mol. Basis Dis. 2015, 1852, 1765–1778. [Google Scholar] [CrossRef]
- Donnelly, K.L.; Smith, C.I.; Schwarzenberg, S.J.; Jessurun, J.; Boldt, M.D.; Parks, E.J. Sources of fatty acids stored in liver and secreted via lipoproteins in patients with nonalcoholic fatty liver disease. J. Clin. Investig. 2005, 115, 1343–1351. [Google Scholar] [CrossRef]
- Speliotes, E.K.; Massaro, J.M.; Hoffmann, U.; Vasan, R.S.; Meigs, J.B.; Sahani, D.V.; Hirschhorn, J.N.; O’Donnell, C.J.; Fox, C.S. Fatty liver is associated with dyslipidemia and dysglycemia independent of visceral fat: The Framingham Heart Study. Hepatology 2010, 51, 1979–1987. [Google Scholar] [CrossRef] [PubMed]
- Duwaerts, C.C.; Maher, J.J. Mechanisms of Liver Injury in Non-Alcoholic Steatohepatitis. Curr. Hepatol. Rep. 2014, 13, 119–129. [Google Scholar] [CrossRef] [PubMed]
- Nielsen, S.; Guo, Z.; Johnson, C.M.; Hensrud, D.D.; Jensen, M.D. Splanchnic lipolysis in human obesity. J. Clin. Investig. 2004, 113, 1582–1588. [Google Scholar] [CrossRef]
- Sanders, F.W.; Griffin, J.L. De novo lipogenesis in the liver in health and disease: More than just a shunting yard for glucose. Biol. Rev. Camb. Philos. Soc. 2016, 91, 452–468. [Google Scholar] [CrossRef]
- Smith, G.I.; Shankaran, M.; Yoshino, M.; Schweitzer, G.G.; Chondronikola, M.; Beals, J.W.; Okunade, A.L.; Patterson, B.W.; Nyangau, E.; Field, T.; et al. Insulin resistance drives hepatic de novo lipogenesis in nonalcoholic fatty liver disease. J. Clin. Investig. 2020, 130, 1453–1460. [Google Scholar] [CrossRef]
- Tamura, S.; Shimomura, I. Contribution of adipose tissue and de novo lipogenesis to nonalcoholic fatty liver disease. J. Clin. Investig. 2005, 115, 1139–1142. [Google Scholar] [CrossRef]
- Lewis, G.F.; Carpentier, A.; Adeli, K.; Giacca, A. Disordered fat storage and mobilization in the pathogenesis of insulin resistance and type 2 diabetes. Endocr. Rev. 2002, 23, 201–229. [Google Scholar] [CrossRef]
- Gibbons, G.F.; Islam, K.; Pease, R.J. Mobilisation of triacylglycerol stores. Biochim. Biophys. Acta 2000, 1483, 37–57. [Google Scholar] [CrossRef]
- Fabbrini, E.; Mohammed, B.S.; Magkos, F.; Korenblat, K.M.; Patterson, B.W.; Klein, S. Alterations in adipose tissue and hepatic lipid kinetics in obese men and women with nonalcoholic fatty liver disease. Gastroenterology 2008, 134, 424–431. [Google Scholar] [CrossRef]
- Hennein, R.; Liu, C.; McKeown, N.M.; Hoffmann, U.; Long, M.T.; Levy, D.; Ma, J. Increased Diet Quality is Associated with Long-Term Reduction of Abdominal and Pericardial Fat. Obesity 2019, 27, 670–677. [Google Scholar] [CrossRef]
- Salomone, F.; Godos, J.; Zelber-Sagi, S. Natural antioxidants for non-alcoholic fatty liver disease: Molecular targets and clinical perspectives. Liver Int. 2016, 36, 5–20. [Google Scholar] [CrossRef]
- Abenavoli, L.; Milic, N.; Luzza, F.; Boccuto, L.; De Lorenzo, A. Polyphenols Treatment in Patients with Nonalcoholic Fatty Liver Disease. J. Transl. Int. Med. 2017, 5, 144–147. [Google Scholar] [CrossRef]
- Yang, J.; Fernández-Galilea, M.; Martínez-Fernández, L.; González-Muniesa, P.; Pérez-Chávez, A.; Martínez, J.A.; Moreno-Aliaga, M.J. Oxidative Stress and Non-Alcoholic Fatty Liver Disease: Effects of Omega-3 Fatty Acid Supplementation. Nutrients 2019, 11, 872. [Google Scholar] [CrossRef]
- Salomone, F.; Ivancovsky-Wajcman, D.; Fliss-Isakov, N.; Webb, M.; Grosso, G.; Godos, J.; Galvano, F.; Shibolet, O.; Kariv, R.; Zelber-Sagi, S. Higher phenolic acid intake independently associates with lower prevalence of insulin resistance and non-alcoholic fatty liver disease. JHEP Rep. 2020, 2, 100069. [Google Scholar] [CrossRef]
- Zelber-Sagi, S.; Salomone, F.; Mlynarsky, L. The Mediterranean dietary pattern as the diet of choice for non-alcoholic fatty liver disease: Evidence and plausible mechanisms. Liver Int. 2017, 37, 936–949. [Google Scholar] [CrossRef]
- Bouzianas, D.G.; Bouziana, S.D.; Hatzitolios, A.I. Potential treatment of human nonalcoholic fatty liver disease with long-chain omega-3 polyunsaturated fatty acids. Nutr. Rev. 2013, 71, 753–771. [Google Scholar] [CrossRef]
- Masterton, G.S.; Plevris, J.N.; Hayes, P.C. Review article: Omega-3 fatty acids-a promising novel therapy for non-alcoholic fatty liver disease. Aliment. Pharmacol. Ther. 2010, 31, 679–692. [Google Scholar] [CrossRef]
- Rose, D.J. Impact of whole grains on the gut microbiota: The next frontier for oats? Br. J. Nutr. 2014, 112, S44–S49. [Google Scholar] [CrossRef]
- Guilloteau, P.; Martin, L.; Eeckhaut, V.; Ducatelle, R.; Zabielski, R.; Van Immerseel, F. From the gut to the peripheral tissues: The multiple effects of butyrate. Nutr. Res. Rev. 2010, 23, 366–384. [Google Scholar] [CrossRef]
- Al-Lahham, S.H.; Peppelenbosch, M.P.; Roelofsen, H.; Vonk, R.J.; Venema, K. Biological effects of propionic acid in humans; metabolism, potential applications and underlying mechanisms. Biochim. Biophys. Acta 2010, 1801, 1175–1183. [Google Scholar] [CrossRef]
- Hernández, E.; Kahl, S.; Seelig, A.; Begovatz, P.; Irmler, M.; Kupriyanova, Y.; Nowotny, B.; Nowotny, P.; Herder, C.; Barosa, C.; et al. Acute dietary fat intake initiates alterations in energy metabolism and insulin resistance. J. Clin. Investig. 2017, 127, 695–708. [Google Scholar] [CrossRef] [PubMed]
- Bjermo, H.; Iggman, D.; Kullberg, J.; Dahlman, I.; Johansson, L.; Persson, L.; Berglund, J.; Pulkki, K.; Basu, S.; Uusitupa, M.; et al. Effects of n-6 PUFAs compared with SFAs on liver fat, lipoproteins, and inflammation in abdominal obesity: A randomized controlled trial. Am. J. Clin. Nutr. 2012, 95, 1003–1012. [Google Scholar] [CrossRef] [PubMed]
- Roumans, K.H.M.; Lindeboom, L.; Veeraiah, P.; Remie, C.M.E.; Phielix, E.; Havekes, B.; Bruls, Y.M.H.; Brouwers, M.; Ståhlman, M.; Alssema, M.; et al. Hepatic saturated fatty acid fraction is associated with de novo lipogenesis and hepatic insulin resistance. Nat. Commun. 2020, 11, 1891. [Google Scholar] [CrossRef] [PubMed]
- Dinu, M.; Tristan Asensi, M.; Pagliai, G.; Lotti, S.; Martini, D.; Colombini, B.; Sofi, F. Consumption of Ultra-Processed Foods Is Inversely Associated with Adherence to the Mediterranean Diet: A Cross-Sectional Study. Nutrients 2022, 14, 2073. [Google Scholar] [CrossRef] [PubMed]
- Mendonca, R.D.; Pimenta, A.M.; Gea, A.; de la Fuente-Arrillaga, C.; Martinez-Gonzalez, M.A.; Lopes, A.C.; Bes-Rastrollo, M. Ultraprocessed food consumption and risk of overweight and obesity: The University of Navarra Follow-Up (SUN) cohort study. Am. J. Clin. Nutr. 2016, 104, 1433–1440. [Google Scholar] [CrossRef]
- Konieczna, J.; Morey, M.; Abete, I.; Bes-Rastrollo, M.; Ruiz-Canela, M.; Vioque, J.; Gonzalez-Palacios, S.; Daimiel, L.; Salas-Salvadó, J.; Fiol, M.; et al. Contribution of ultra-processed foods in visceral fat deposition and other adiposity indicators: Prospective analysis nested in the PREDIMED-Plus trial. Clin. Nutr. 2021, 40, 4290–4300. [Google Scholar] [CrossRef]
- Leone, A.; Martínez-González, M.; Craig, W.; Fresán, U.; Gómez-Donoso, C.; Bes-Rastrollo, M. Pre-Gestational Consumption of Ultra-Processed Foods and Risk of Gestational Diabetes in a Mediterranean Cohort. The SUN Project. Nutrients 2021, 13, 2202. [Google Scholar] [CrossRef]
- Llavero-Valero, M.; Escalada-San Martín, J.; Martínez-González, M.A.; Basterra-Gortari, F.J.; de la Fuente-Arrillaga, C.; Bes-Rastrollo, M. Ultra-processed foods and type-2 diabetes risk in the SUN project: A prospective cohort study. Clin. Nutr. 2021, 40, 2817–2824. [Google Scholar] [CrossRef]
- Zhang, S.; Gan, S.; Zhang, Q.; Liu, L.; Meng, G.; Yao, Z.; Wu, H.; Gu, Y.; Wang, Y.; Zhang, T.; et al. Ultra-processed food consumption and the risk of non-alcoholic fatty liver disease in the Tianjin Chronic Low-grade Systemic Inflammation and Health Cohort Study. Int. J. Epidemiol. 2022, 51, 237–249. [Google Scholar] [CrossRef]
- Babio, N.; Toledo, E.; Estruch, R.; Ros, E.; Martínez-González, M.A.; Castañer, O.; Bulló, M.; Corella, D.; Arós, F.; Gómez-Gracia, E.; et al. Mediterranean diets and metabolic syndrome status in the PREDIMED randomized trial. Can. Med. Assoc. J. 2014, 186, E649–E657. [Google Scholar] [CrossRef]
- Stolk, R.P.; Wink, O.; Zelissen, P.M.; Meijer, R.; van Gils, A.P.; Grobbee, D.E. Validity and reproducibility of ultrasonography for the measurement of intra-abdominal adipose tissue. Int. J. Obes. 2001, 25, 1346–1351. [Google Scholar] [CrossRef] [PubMed]


| Total N = 2967 | Overweight N = 1691 | Obesity N = 1276 | |||||||
|---|---|---|---|---|---|---|---|---|---|
| Median | P25 | P75 | Median | P25 | P75 | Median | P25 | P75 | |
| Age (years) | 47 | 39 | 55 | 47 | 38 | 54 | 48 | 39 | 56 |
| BMI (kg/m2) | 29.2 | 27.0 | 32.6 | 27.3 | 26.1 | 28.5 | 33.3 | 31.5 | 36.3 |
| Body fat (%) | 40.3 | 37.9 | 42.4 | 38.8 | 36.6 | 40.8 | 41.9 | 40.1 | 44.1 |
| Waist circumference (cm) | 96.0 | 90.0 | 103.3 | 91.5 | 87.0 | 95.5 | 104.5 | 99.0 | 110.5 |
| VAT (cm) | 4.5 | 3.4 | 6.2 | 3.9 | 3.0 | 5.0 | 5.8 | 4.3 | 7.5 |
| SAT (cm) | 3.0 | 2.3 | 3.7 | 2.7 | 2.1 | 3.2 | 3.5 | 2.8 | 4.3 |
| Triglycerides (mg/dL) | 87 | 65 | 120 | 81 | 60 | 110 | 98 | 72 | 134 |
| Total cholesterol (mg/dL) | 210 | 185 | 238 | 209 | 184 | 239 | 211 | 186 | 237 |
| LDL cholesterol (mg/dL) | 132 | 111 | 159 | 131 | 109 | 158 | 134 | 113 | 160 |
| HDL cholesterol (mg/dL) | 62 | 53 | 72 | 64 | 55 | 75 | 58 | 50 | 67 |
| Serum glucose (mg/dL) | 94 | 89 | 101 | 93 | 88 | 99 | 96 | 90 | 102 |
| Insulin (U/L) | 10.0 | 7.3 | 14 | 8.5 | 6.5 | 11.2 | 12.8 | 9.0 | 17.4 |
| HOMA-IR | 2.3 | 1.7 | 3.3 | 2.0 | 1.5 | 2.6 | 3.0 | 2.1 | 4.3 |
| SBP (mm Hg) | 120 | 110 | 130 | 120 | 110 | 125 | 122 | 120 | 130 |
| DBP (mm Hg) | 80 | 70 | 80 | 75 | 70 | 80 | 80 | 70 | 85 |
| ALT (U/L) | 18 | 14 | 24 | 16 | 13 | 22 | 19 | 15 | 27 |
| AST (U/L) | 18 | 15 | 21 | 17 | 15 | 21 | 18 | 15 | 22 |
| ALT/AST | 1.00 | 0.84 | 1.22 | 0.94 | 0.80 | 1.15 | 1.09 | 0.90 | 1.31 |
| GGT (U/L) | 16 | 12 | 24 | 15 | 11 | 21 | 19 | 13 | 26 |
| FLI | 44 | 25 | 71 | 28 | 18 | 42 | 74 | 56 | 87 |
| NAFLD-FLS | −1.42 | −2.07 | −0.36 | −1.80 | −2.28 | −1.11 | −0.67 | −1.57 | 0.46 |
| HSI | 40 | 37 | 44 | 37 | 35 | 39 | 45 | 42 | 48 |
| Mediterranean score (MEDAS) | 6 | 5 | 8 | 7 | 5 | 8 | 6 | 5 | 8 |
| N | % | N | % | N | % | ||||
| Menopausal status | |||||||||
| Premenopausal | 1697 | 57.2 | 981 | 58 | 716 | 56.1 | |||
| Postmenopausal | 1270 | 42.8 | 710 | 42 | 560 | 43.9 | |||
| Smoking | |||||||||
| Non-smoker | 1623 | 54.7 | 899 | 53.2 | 724 | 56.7 | |||
| Ex-smoker | 543 | 18.3 | 315 | 18.6 | 228 | 17.9 | |||
| Smoker | 801 | 27 | 477 | 28.2 | 324 | 25.4 | |||
| Physically active (≥2 h/week) | 711 | 24 | 457 | 27 | 254 | 19.9 | |||
| Statins | 97 | 3.3 | 53 | 3.1 | 44 | 3.4 | |||
| Triglycerides ≥ 150 mg/dL or treatment | 458 | 15.4 | 196 | 11.6 | 262 | 20.5 | |||
| HDL ≤ 50 mg/dL or treatment | 575 | 19.4 | 245 | 14.5 | 330 | 25.9 | |||
| BP ≥ 130/85 mm Hg or treatment | 1162 | 40.9 | 498 | 31 | 664 | 54 | |||
| Glucose 100–125 mg/dL | 840 | 28.3 | 379 | 22.4 | 461 | 36.1 | |||
| Metabolic syndrome | 724 | 24.4 | 252 | 14.9 | 472 | 37 | |||
| Overweight N = 1691 | Obesity N = 1276 | |||||
|---|---|---|---|---|---|---|
| β | 95% CI | p Value | β | 95% CI | p Value | |
| FLI | 0.17 | −0.18; 0.52 | 0.344 | −0.60 | −1.04; −0.16 | 0.008 |
| NAFLD-FLS | −0.034 | −0.057; −0.010 | 0.005 | −0.092 | −0.134; −0.049 | <0.001 |
| HSI | 0.03 | −0.05; 0.10 | 0.452 | −0.17 | −0.30; −0.04 | 0.011 |
| Overweight | Obesity | |||||
|---|---|---|---|---|---|---|
| N = 981 | N = 716 | |||||
| β | 95% CI | p Value | β | 95% CI | p Value | |
| Premenopausal | ||||||
| FLI | 0.24 | −0.23; 0.71 | 0.323 | −1.01 | −1.63; −0.39 | 0.001 |
| NAFLD-FLS | −0.031 | −0.061; −0.001 | 0.042 | −0.104 | −0.158; −0.051 | <0.001 |
| HSI | 0.09 | −0.01; 0.19 | 0.075 | −0.19 | −0.37; −0.01 | 0.037 |
| Postmenopausal | ||||||
| FLI | 0.02 | −0.53; 0.58 | 0.931 | −0.05 | −0.70; 0.60 | 0.886 |
| NAFLD-FLS | −0.040 | −0.080; −0.001 | 0.045 | −0.077 | −0.148; −0.007 | 0.032 |
| HSI | −0.07 | −0.18; 0.04 | 0.193 | −0.13 | −0.32; 0.07 | 0.196 |
Publisher’s Note: MDPI stays neutral with regard to jurisdictional claims in published maps and institutional affiliations. |
© 2022 by the authors. Licensee MDPI, Basel, Switzerland. This article is an open access article distributed under the terms and conditions of the Creative Commons Attribution (CC BY) license (https://creativecommons.org/licenses/by/4.0/).
Share and Cite
Leone, A.; Bertoli, S.; Bedogni, G.; Vignati, L.; Pellizzari, M.; Battezzati, A. Association between Mediterranean Diet and Fatty Liver in Women with Overweight and Obesity. Nutrients 2022, 14, 3771. https://doi.org/10.3390/nu14183771
Leone A, Bertoli S, Bedogni G, Vignati L, Pellizzari M, Battezzati A. Association between Mediterranean Diet and Fatty Liver in Women with Overweight and Obesity. Nutrients. 2022; 14(18):3771. https://doi.org/10.3390/nu14183771
Chicago/Turabian StyleLeone, Alessandro, Simona Bertoli, Giorgio Bedogni, Laila Vignati, Marta Pellizzari, and Alberto Battezzati. 2022. "Association between Mediterranean Diet and Fatty Liver in Women with Overweight and Obesity" Nutrients 14, no. 18: 3771. https://doi.org/10.3390/nu14183771
APA StyleLeone, A., Bertoli, S., Bedogni, G., Vignati, L., Pellizzari, M., & Battezzati, A. (2022). Association between Mediterranean Diet and Fatty Liver in Women with Overweight and Obesity. Nutrients, 14(18), 3771. https://doi.org/10.3390/nu14183771

