Testosterone Replacement Therapy in Chronic Kidney Disease Patients
Abstract
:1. Introduction
2. Materials and Methods
2.1. Study Population
2.2. Laboratory Parameters
2.3. Body Composition
2.4. Testosterone Replacement Therapy
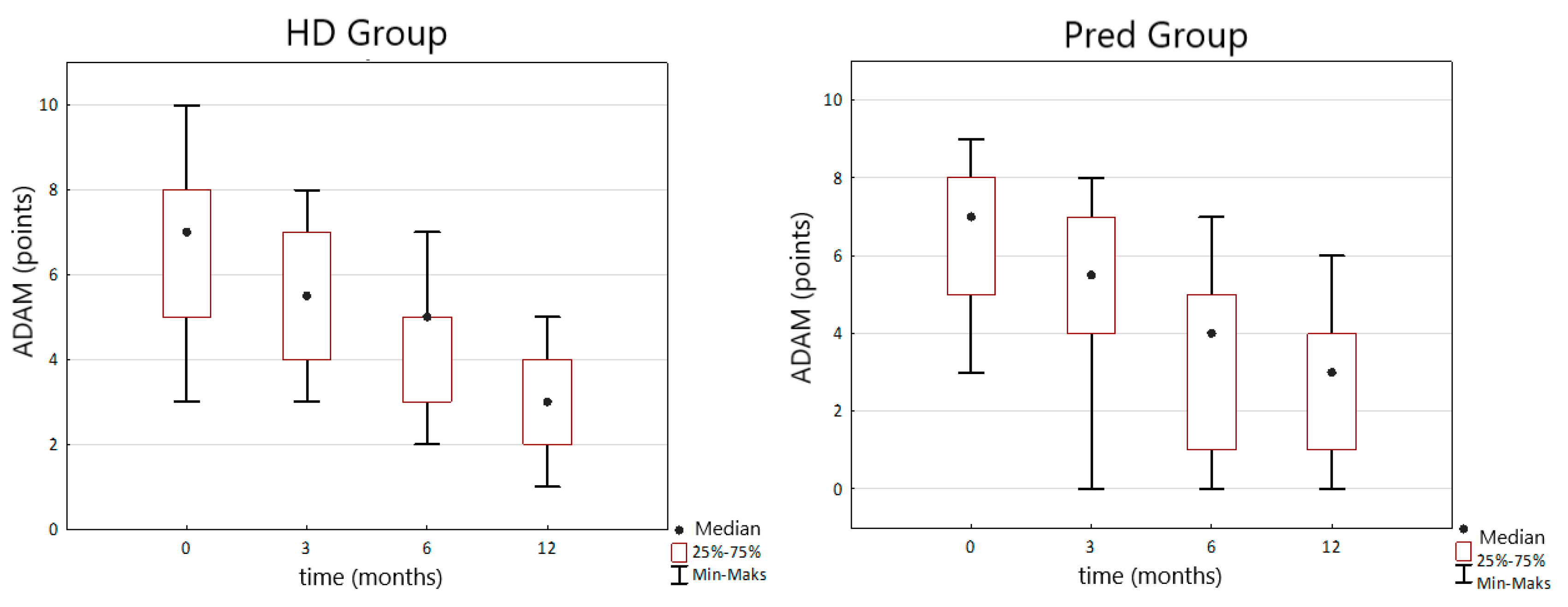
3. Results
4. Discussion
5. Conclusions
Author Contributions
Funding
Institutional Review Board Statement
Informed Consent Statement
Data Availability Statement
Conflicts of Interest
References
- Dhondup, T.; Qian, Q. Electrolyte and Acid-Base Disorders in Chronic Kidney Disease and End-Stage Kidney Failure. Blood Purif. 2017, 43, 179–188. [Google Scholar] [CrossRef] [PubMed]
- Carrero, J.J.; Stenvinkel, P. The vulnerable man: Impact of testosterone deficiency on the uraemic phenotype. Nephrol. Dial. Transplant. 2012, 27, 4030–4041. [Google Scholar] [CrossRef] [Green Version]
- EAU Guidelines Male Hypogonadism 2020. Available online: https://uroweb.org/guidelines/sexual-and-reproductive-health/chapter/citation-information (accessed on 21 July 2022).
- Neuzillet, Y.; Thuret, R.; Kleinclauss, F.; Timsit, M.-O. Andrologic consequences of chronic renal failure: State of the art for the yearly scientific report of the French National Association of Urology. Prog. Urol. 2016, 26, 1088–1093. [Google Scholar] [CrossRef] [PubMed]
- Edey, M.M. Male sexual dysfunction and chronic kidney disease. Front. Med. 2017, 4, 32. [Google Scholar] [CrossRef] [PubMed] [Green Version]
- Rastrelli, G.; Corona, G.; Maggi, M. Testosterone and sexual function in men. Maturitas 2018, 112, 46–52. [Google Scholar] [CrossRef] [PubMed]
- Corona, G.; Bianchini, S.; Sforza, A.; Vignozzi, L.; Maggi, M. Hypogonadism as a possible link between metabolic diseases and erectile dysfunction in aging men. Hormones 2015, 14, 569–578. [Google Scholar] [CrossRef] [Green Version]
- Caprio, M.; Isidori, A.M.; Carta, A.R.; Moretti, C.; Dufau, M.L.; Fabbri, A. Expression of functional leptin receptors in rodent Leydig cells. Endocrinology 1999, 140, 4939–4947. [Google Scholar] [CrossRef]
- Vermeulen, A.; Goemaere, S.; Kaufman, J.M. Testosterone, body composition and aging. J. Endocrinol. Investig. 1999, 22, 110–116. [Google Scholar]
- Karakitsos, D.; Patrianakos, A.P.; De Groot, E.; Boletis, J.; Karabinis, A.; Kyriazis, J.; Samonis, G.; Parthenakis, F.I.; Vardas, P.E.; Daphnis, E. Androgen deficiency and endothelial dysfunction in men with end-stage kidney disease receiving maintenance hemodialysis. Am. J. Nephrol. 2007, 26, 536–543. [Google Scholar] [CrossRef]
- Cigarrán, S.; Pousa, M.; Castro, M.J.; González, B.; Martínez, A.; Barril, G.; Aguilera, A.; Coronel, F.; Stenvinkel, P.; Carrero, J.J. Endogenous testosterone, muscle strength, and fat-free mass in men with chronic kidney disease. J. Ren. Nutr. 2013, 23, 89–95. [Google Scholar] [CrossRef]
- Carrero, J.J.; Barany, P.; Yilmaz, M.I.; Qureshi, A.R.; Sonmez, A.; Heimbürger, O.; Ozgurtas, T.; Yenicesu, M.; Lindholm, B.; Stenvinkel, P. Testosterone deficiency is a cause of anaemia and reduced responsiveness to erythropoiesis-stimulating agents in men with chronic kidney disease. Nephrol. Dial. Transplant. 2012, 27, 709–715. [Google Scholar] [CrossRef] [Green Version]
- Miner, M.; Canty, D.J.; Shabsigh, R. Testosterone replacement therapy in hypogonadal men: Assessing benefits, risks, and best practices. Postgrad. Med. 2008, 120, 130–153. [Google Scholar] [CrossRef] [PubMed]
- Dousdampanis, P.; Trigka, K.; Fourtounas, C.; Bargman, J.M. Role of testosterone in the pathogenesis, progression, prognosis and comorbidity of men with chronic kidney disease. Ther. Apher. Dial. 2014, 18, 220–230. [Google Scholar] [CrossRef] [PubMed]
- Nieschlag, E.; Behre, H.M.; Wieacker, P.; Meschede, D.; Kamischke, A.; Kliesch, S. Disorders at the testicular level. In Andrology: Male Reproductive Health and Dysfunction; Springer: Berlin/Heidelberg, Germany, 2010. [Google Scholar]
- Carrero, J.J.; Kyriazis, J.; Sonmez, A.; Tzanakis, I.; Qureshi, A.R.; Stenvinkel, P.; Saglam, M.; Stylianou, K.; Yaman, H.; Taslipinar, A.; et al. Prolactin levels, endothelial dysfunction, and the risk of cardiovascular events and mortality in patients with CKD. Clin. J. Am. Soc. Nephrol. 2012, 7, 207–215. [Google Scholar] [CrossRef] [PubMed] [Green Version]
- Bellinghieri, G.; Santoro, D.; Mallamace, A.; Savica, V. Sexual dysfunction in chronic renal failure. J. Nephrol. 2008, 21, 113–117. [Google Scholar] [CrossRef]
- Ikizler, T.A.; Cano, N.J.; Franch, H.; Fouque, D.; Himmelfarb, J.; Kalantar-Zadeh, K.; Kuhlmann, M.K.; Stenvinkel, P.; TerWee, P.; Teta, D.; et al. Prevention and treatment of protein energy wasting in chronic kidney disease patients: A consensus statement by the International Society of Renal Nutrition and Metabolism. Kidney Int. 2013, 84, 1096–1107. [Google Scholar] [CrossRef] [Green Version]
- Visser, W.J.; de Mik-Van Egmond, A.M.; Timman, R.; Severs, D.; Hoorn, E.J. Risk Factors for Muscle Loss in Hemodialysis Patients with High Comorbidity. Nutrients 2020, 19, 2494. [Google Scholar] [CrossRef]
- Nixon, A.C.; Bampouras, T.M.; Pendleton, N.; Woywodt, A.; Mitra, S.; Dhaygude, A. Frailty and chronic kidney disease: Current evidence and continuing uncertainties. Clin. Kidney J. 2018, 11, 236–245. [Google Scholar] [CrossRef] [Green Version]
- Hanna, R.M.; Ghobry, L.; Wassef, O.; Rhee, C.M.; Kalantar-Zadeh, K. A Practical Approach to Nutrition, Protein-Energy Wasting, Sarcopenia, and Cachexia in Patients with Chronic Kidney Disease. Blood Purif. 2020, 49, 202–211. [Google Scholar] [CrossRef]
- Nakazawa, R.; Baba, K.; Nakano, M.; Katabami, T.; Saito, N.; Takahashi, T.; Iwamoto, T. Hormone profiles after intramuscular injection of testosterone enanthate in patients with hypogonadism. Endocr. J. 2006, 53, 305–310. [Google Scholar] [CrossRef] [Green Version]
- Sodi, R.; Fikri, R.; Diver, M.; Ranganath, L.; Vora, J. Testosterone replacement-induced hyperprolactinaemia: Case report and review of the literature. Ann. Clin. Biochem. 2005, 42, 153–159. [Google Scholar] [CrossRef] [PubMed]
- Yeo, J.K.; Koo, H.S.; Yu, J.; Park, M.G. Effects of Testosterone Treatment on Quality of Life in Patients with Chronic Kidney Disease. Am. J. Mens Health 2020, 14, 1557988320917258. [Google Scholar] [CrossRef] [PubMed]
- Corona, G.; Rastrelli, G.; Morgentaler, A.; Sforza, A.; Mannucci, E.; Maggi, M. Meta-analysis of Results of Testosterone Therapy on Sexual Function Based on International Index of Erectile Function Scores. Eur. Urol. 2017, 72, 1000–1011. [Google Scholar] [CrossRef] [PubMed]
- Cangüven, Ö.; Aykose, G.; Albayrak, S.; Goktas, C.; Horuz, R.; Yencilek, F. Efficacy of testosterone gel in the treatment of erectile dysfunction in hypogonadal hemodialysis patients: A pilot study. Int. J. Impot. Res. 2010, 22, 140–145. [Google Scholar] [CrossRef] [Green Version]
- Travison, T.G.; Basaria, S.; Storer, T.W.; Jette, A.; Miciek, R.; Farwell, W.R.; Choong, K.; Lakshman, K.; Mazer, N.A.; Coviello, A.D.; et al. Clinical meaningfulness of the changes in muscle performance and physical function associated with testosterone administration in older men with mobility limitation. J. Gerontol. Ser. A Biomed. Sci. Med. Sci. 2011, 66, 1090–1099. [Google Scholar] [CrossRef]
- Snyder, P.J.; Bhasin, S.; Cunningham, G.R.; Matsumoto, A.M.; Stephens-Shields, A.J.; Cauley, J.A.; Gill, T.; Barrett-Connor, E.; Swerdloff, R.S.; Wang, C.; et al. Lessons from the Testosterone Trials. Endocr. Rev. 2018, 1, 369–386. [Google Scholar] [CrossRef]
- Johansen, K.L.; Mulligan, K.; Schambelan, M. Anabolic effects of nandrolone decanoate in patients receiving dialysis: A randomized controlled trial. J. Am. Med. Assoc. 1999, 14, 1275–1281. [Google Scholar] [CrossRef] [Green Version]
- Kicman, A.T. Pharmacology of anabolic steroids. Br. J. Pharmacol. 2008, 154, 502–521. [Google Scholar] [CrossRef]
- Boyle, P.; Koechlin, A.; Bota, M.; D’Onofrio, A.; Zaridze, D.G.; Perrin, P.; Fitzpatrick, J.; Burnett, A.L.; Boniol, M. Endogenous and exogenous testosterone and the risk of prostate cancer and increased prostate-specific antigen (PSA) level: A meta-analysis. BJU Int. 2016, 118, 731–741. [Google Scholar] [CrossRef] [Green Version]




| Parameter | HD Group n = 38 | Pred Group n = 44 | Control Group n = 35 | p |
|---|---|---|---|---|
| Demographic data | ||||
| Age (years) | 58 (50–65) | 64 (53–67) | 59 (47–69) | 0.486 |
| Diabetes | ||||
| Yes No No data | 18 (47.4%) 18 (47.4%) 2 (5.2%) | 19 (41.3%) 24 (52.2%) 3 (6.5%) | 6 (17.1%) 28 (80%) 1 (2.9%) | 0.038 |
| Anthropometric measures | ||||
| Weight (kg) | 89 (72–104) | 96 (87–110) | 82 (75–93) | 0.003 |
| Height (cm) | 175 (171–178) | 175 (172–178) | 173 (166–178) | 0.155 |
| BMI (kg/m2) | 29 (24–34) | 31 (28–35) | 27 (26–310) | 0.012 |
| Hormonal status | ||||
| TT (ng/mL) | 2.8 (2.3–3.7) | 30.4 (2.7–4.7) | 4.17 (2.8–5.6) | 0.001 |
| fT (pg/mL) | 44.5 (30.6–62.6) | 60.4 (45.1–66.2) | 71.9 (58.2–81.1) | <0.0001 |
| SHBG (nmol/L) | 45.9 (33.6–58.3) | 41.8 (32.9–54.4) | 44.9 (27.2–57.1) | 0.698 |
| PRL (ng/mL) | 21.7 (17.2–40.3) | 10.1 (8.4–13.2) | 10.1 (8–12.6) | <0.0001 |
| LH (IU/L) | 11.1 (8.7–15.3) | 8.5 (6.9–11.8) | 5.3 (3.6–6.5) | <0.0001 |
| Biochemical measurement | ||||
| Serum creatinine (mg/dL) | 8 (6.3–10.5) | 3.4 (2.7–4.7) | 1 (0.8–1.1) | 0.001 |
| Albumin (g/dL) | 4.15 (3.9–4.4) | 4.5 (4.2–4.8) | 4.5 (4.2–4.6) | 0.0003 |
| PSA (ng/mL) | 0.8 (0.5–1.6) | 1.2 (0.8–2.1) | 1.2 (0.8–2) | 0.926 |
| Bioimpedance spectroscopy | ||||
| LTI (kg/m2) | 13.1 (2.9) | 15.3 (2.5) | 16.1 (3) | 0.003 |
| FTI (kg/m2) | 14.3 (7.4) | 15.6 (5.4) | 11.8 (5.1) | 0.031 |
| TBW (L) | 42.7 (6.8) | 44 (5.8) | 44 (7.8) | 0.077 |
| ECW (L) | 21.3 (3.6) | 20.7 (2.8) | 19.5 (2.1) | 0.002 |
| ICW(L) | 21.4 (3.8) | 23.7 (3.6) | 23.5 (4.4) | 0.005 |
| BCM (kg) | 23.2 (6.5) | 26.6 (6.1) | 28.2 (8) | 0.007 |
| OH (L) | 2.6 (1.7–4.5) | 0.3 (−0.6–1.5) | 0.6 (−0.3–1) | <0.0001 |
| Erectile dysfunction | ||||
| Yes (IIEF ≤ 21) No (IIEF > 21) No data | 30 (78.9%) 5 (13.2%) 3 (7.9%) | 38 (82.6%) 8 (17.4%) 0 | 14 (40%) 3 (8.6%) 18 (51.4%) | <0.0001 |
| Hypogonadism | ||||
| Yes No | 26 (68.4%) 12 (31.6%) | 24 (52%) 22 (48%) | 9 (25.7%) 26 (74.3%) | 0.001 |
| Parameter | Checkpoint | HD Group n = 15 | p | Checkpoint | Pred Group n = 14 | p |
|---|---|---|---|---|---|---|
| Laboratory measurements | ||||||
| Serum creatinine (mg/dL) | 0 | 7.9 (6.1–11.7) | 0.226 | 0 | 1.9 (1.6–3.5) | 0.945 |
| 3 | 10 (7.6–10.7) | 3 | 2 (1.5–3) | |||
| 6 | 9.5 (7.7–10.5) | 6 | 1.8 (1.6–3.3) | |||
| 12 | 9.6 (8.2–10.3) | 12 | 2.1 (1.5–3.6) | |||
| Albumin (g/dL) | 0 | 4.2 (0.1) | 0.131 | 0 | 4.6 (0.1) | 0.01 |
| 3 | 4.1 (0.1) | 3 | 4.5 (0.1) | |||
| 6 | 4.1 (0.1) | 6 | 4.4 (0.1) | |||
| 12 | 4.1 (0.1) | 12 | 4.3 (0.1) | |||
| PSA (mg/dL) | 0 | 0.9 (0.4–1.1) | 0.271 | 0 | 1 (0.8–1.9) | 0.079 |
| 3 | 0.6 (0.5–0.9) | 3 | 1.2 (1–1.6) | |||
| 6 | 0.6 (0.4–1.2) | 6 | 1.2 (0.9–1.4) | |||
| 12 | 0.8 (0.5–1.2) | 12 | 1.2 (1.1–1.6) | |||
| PRL (ng/mL) | 0 | 21.7 (17.2–45.4) | 0.01 | 0 | 10.4 (8.2–13.1) | 0.003 |
| 3 | 43.1 (21.4–87.1) | 3 | 13.3 (8.9–16.8) | |||
| 6 | 30 (17.1–75.5) | 6 | 15.3 (13–19.2) | |||
| 12 | 27.1 (17.2–72) | 12 | 17.1 (13.7–21) | |||
| LH (IU/L) | 0 | 8.7 (8–14.3) | 0 | 7.8 (6.9–8.9) | 0.0003 | |
| 3 | 8 (0.8–18.6) | 3 | 5.3 (3.1–8.4) | |||
| 6 | 3.5 (1.2–9.7) | 6 | 0.9 (0.6–3.9) | |||
| 12 | 2.6 (1.6–7.6) | 12 | 1.8 (0.9–3.3) | |||
| Bioimpedance spectroscopy | ||||||
| LTI (kg/m2) | 0 | 13.9 (1) | 0.003 | 0 | 15.6 (0.8) | 0.64 |
| 3 | 15.1 (1) | 3 | 16.6 (1.2) | |||
| 6 | 12 (0.7) | 6 | 15.3 (1.4) | |||
| 12 | 12.7 (0.8) | 12 | 14 (0.8) | |||
| FTI (kg/m2) | 0 | 14.6 (2.9) | 0.001 | 0 | 18,1 (1.5) | 0.08 |
| 3 | 14.3 (3) | 3 | 16,8 (1.9) | |||
| 6 | 17.4 (3.1) | 6 | 18,4 (1.9) | |||
| 12 | 17.4 (3.2) | 12 | 19,6 (1.4) | |||
| BCM (kg) | 0 | 23.1 | 0.003 | 0 | 27.1 (2) | 0.196 |
| 3 | 25.6 | 3 | 29.4 (2.5) | |||
| 6 | 19.2 | 6 | 26.9 (3.1) | |||
| 12 | 20.4 | 12 | 23.9 (1.7) | |||
| OH (L) | 0 | 3.4 (0.7) | 0.06 | 0 | −0.4 (0.4) | 0.004 |
| 3 | 2.4 (0.9) | 3 | 0 (0.5) | |||
| 6 | 2.1 (0.9) | 6 | −0.4(0.6) | |||
| 12 | 1.9 (0.7) | 12 | 1.2 (0.5) | |||
Publisher’s Note: MDPI stays neutral with regard to jurisdictional claims in published maps and institutional affiliations. |
© 2022 by the authors. Licensee MDPI, Basel, Switzerland. This article is an open access article distributed under the terms and conditions of the Creative Commons Attribution (CC BY) license (https://creativecommons.org/licenses/by/4.0/).
Share and Cite
Skiba, R.; Rymarz, A.; Matyjek, A.; Dymus, J.; Woźniak-Kosek, A.; Syryło, T.; Zieliński, H.; Niemczyk, S. Testosterone Replacement Therapy in Chronic Kidney Disease Patients. Nutrients 2022, 14, 3444. https://doi.org/10.3390/nu14163444
Skiba R, Rymarz A, Matyjek A, Dymus J, Woźniak-Kosek A, Syryło T, Zieliński H, Niemczyk S. Testosterone Replacement Therapy in Chronic Kidney Disease Patients. Nutrients. 2022; 14(16):3444. https://doi.org/10.3390/nu14163444
Chicago/Turabian StyleSkiba, Ryszard, Aleksandra Rymarz, Anna Matyjek, Jolanta Dymus, Agnieszka Woźniak-Kosek, Tomasz Syryło, Henryk Zieliński, and Stanisław Niemczyk. 2022. "Testosterone Replacement Therapy in Chronic Kidney Disease Patients" Nutrients 14, no. 16: 3444. https://doi.org/10.3390/nu14163444
APA StyleSkiba, R., Rymarz, A., Matyjek, A., Dymus, J., Woźniak-Kosek, A., Syryło, T., Zieliński, H., & Niemczyk, S. (2022). Testosterone Replacement Therapy in Chronic Kidney Disease Patients. Nutrients, 14(16), 3444. https://doi.org/10.3390/nu14163444

