Acute Responses to Resistance Training on Body Composition, Muscular Fitness and Flexibility by Sex and Age in Healthy War Veterans Aged 50–80 Years
Abstract
:1. Background
2. Methods
2.1. Study Participants
2.2. Body Composition
2.3. Muscular Fitness
2.4. Flexibility
2.5. Resistance Training Program
2.6. Statistical Analysis
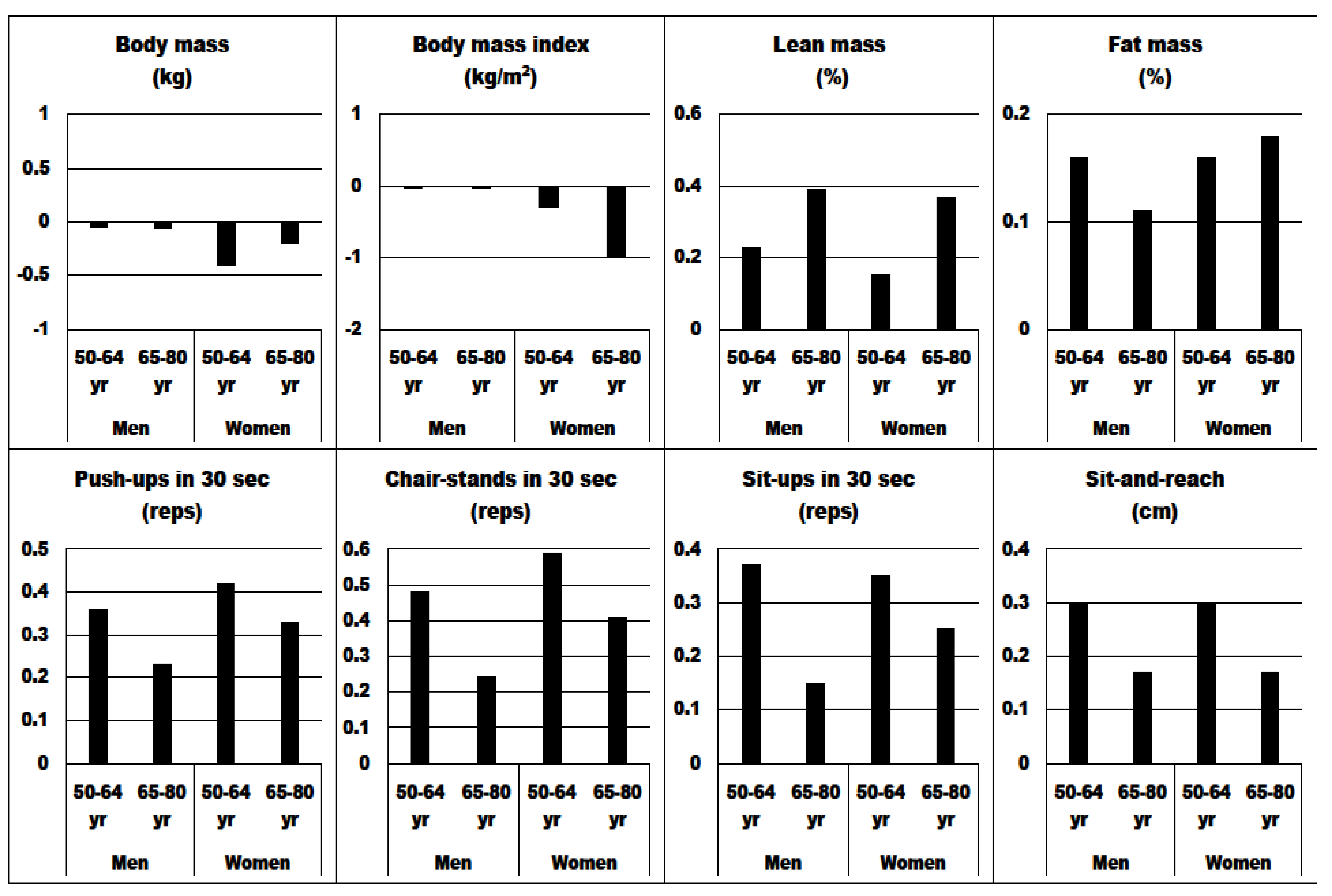
3. Results
4. Discussion
5. Conclusions
Author Contributions
Funding
Institutional Review Board Statement
Informed Consent Statement
Data Availability Statement
Acknowledgments
Conflicts of Interest
References
- World Health Organization (WHO). World Report on Aging and Health; WHO: Geneva, Switzerland, 2015; Available online: https://apps.who.int/iris/bitstream/handle/10665/186463/9789240694811_eng.pdf?sequence=1&isAllowed=y (accessed on 12 July 2022).
- Reid, K.F.; Fielding, R.A. Skeletal muscle power: A critical determinant of physical functioning in older adults. Exerc. Sport Sci. Rev. 2012, 40, 4–12. [Google Scholar] [CrossRef] [PubMed]
- Boutari, C.; Mantzoros, C.S. Decreasing lean body mass with age: Challenges and opportunities for novel therapies. Endocrinol. Metab. 2017, 32, 422–425. [Google Scholar] [CrossRef] [PubMed]
- Alcazar, J.; Alegre, L.M.; Van Roie, E.; Magalhães, J.P.; Nielsen, B.R.; González-Gross, M.; Júdice, P.B.; Casajús, J.A.; Delecluse, C.; Sardinha, L.B.; et al. Relative sit-to-stand power: Aging trajectories, functionally relevant cut-off points, and normative data in a large European cohort. J. Cachexia Sarcopenia Muscle 2021, 12, 921–932. [Google Scholar] [CrossRef] [PubMed]
- Keller, K.; Engelhardt, M. Strength and muscle mass loss with aging process. Age and strength loss. Muscles Ligaments Tendons J. 2013, 3, 346–350. [Google Scholar] [CrossRef]
- Yang, N.P.; Hsu, N.W.; Lin, C.H.; Chen, H.C.; Tsao, H.M.; Lo, S.S.; Chou, P. Relationship between muscle strength and fall episodes among the elderly: The Yilan study, Taiwan. BMC Geriatr. 2018, 18, 90. [Google Scholar] [CrossRef] [Green Version]
- Testa, G.; Vescio, A.; Zuccalà, D.; Petrantoni, V.; Amico, M.; Russo, G.I.; Sessa, G.; Pavone, V. Diagnosis, treatment and prevention of sarcopenia in hip fractured patients: Where we are and where we are going: A systematic review. J. Clin. Med. 2020, 9, 2997. [Google Scholar] [CrossRef]
- Jindai, K.; Nielson, C.M.; Vorderstrasse, B.A.; Quiñones, A.R. Multimorbidity and functional limitations among adults 65 or older, NHANES 2005–2012. Prev. Chronic Dis. 2016, 13, 151. [Google Scholar] [CrossRef] [Green Version]
- Spahillari, A.; Mukamal, K.J.; DeFilippi, C.; Kizer, J.R.; Gottdiener, J.S.; Djoussé, L.; Lyles, M.F.; Bartz, T.M.; Murthy, V.L.; Shah, R.V. The association of lean and fat mass with all-cause mortality in older adults: The Cardiovascular Health Study. Nutr. Metab. Cardiovasc. Dis. 2016, 26, 1039–1047. [Google Scholar] [CrossRef] [Green Version]
- Alcazar, J.; Navarrete-Villanueva, D.; Mañas, A.; Gómez-Cabello, A.; Pedrero-Chamizo, R.; Alegre, L.M.; Villa, G.; Gusi, N.; González-Gross, M.; Casajús, J.A.; et al. ‘Fat but powerful’ paradox: Association of muscle power and adiposity markers with all-cause mortality in older adults from the EXERNET multicentre study. Br. J. Sports Med. 2021, 55, 1204–1211. [Google Scholar] [CrossRef]
- Taylor, J.; Walsh, S.; Kwok, W.; Pinheiro, M.B.; de Oliveira, J.S.; Hassett, L.; Bauman, A.; Bull, F.; Tiedemann, A.; Sherrington, C. A scoping review of physical activity interventions for older adults. Int. J. Behav. Nutr. Phys. Act. 2021, 18, 82. [Google Scholar] [CrossRef]
- Lemmer, J.T.; Hurlbut, D.E.; Martel, G.F.; Tracy, B.L.; Ivey, F.M.; Metter, E.J.; Fozard, J.L.; Fleg, J.L.; Hurley, B.F. Age and gender responses to strength training and detraining. Med. Sci. Sports Exerc. 2000, 32, 1505–1512. [Google Scholar] [CrossRef] [PubMed]
- Kittilsen, H.T.; Goleva-Fjellet, S.; Freberg, B.I.; Nicolaisen, I.; Støa, E.M.; Bratland-Sanda, S.; Helgerud, J.; Wang, E.; Sæbø, M.; Støren, Ø. Responses to maximal strength training in different age and gender groups. Front. Physiol. 2021, 12, 636972. [Google Scholar] [CrossRef] [PubMed]
- Da Boit, M.; Sibson, R.; Meakin, J.R.; Aspden, R.M.; Thies, F.; Mangoni, A.A.; Gray, S.R. Sex differences in the response to resistance exercise training in older people. Physiol. Rep. 2016, 4, 12834. [Google Scholar] [CrossRef]
- Kojić, F.; Mandić, D.; Ilić, V. Resistance training induces similar adaptations of upper and lower-body muscles between sexes. Sci. Rep. 2021, 11, 23449. [Google Scholar] [CrossRef] [PubMed]
- Støren, Ø.; Helgerud, J.; Sæbø, M.; Støa, E.M.; Bratland-Sanda, S.; Unhjem, R.J.; Hoff, J.; Wang, E. The effect of age on the V˙O2max response to high-intensity interval training. Med. Sci. Sports Exerc. 2017, 49, 78–85. [Google Scholar] [CrossRef] [PubMed]
- Wang, E.; Nyberg, S.K.; Hoff, J.; Zhao, J.; Leivseth, G.; Tørhaug, T.; Husby, O.S.; Helgerud, J.; Richardson, R.S. Impact of maximal strength training on work efficiency and muscle fiber type in the elderly: Implications for physical function and fall prevention. Exp. Gerontol. 2017, 91, 64–71. [Google Scholar] [CrossRef]
- Roberts, B.M.; Nuckols, G.; Krieger, J.W. Sex Differences in resistance training: A systematic review and meta-analysis. J. Strength Cond. Res. 2020, 34, 1448–1460. [Google Scholar] [CrossRef]
- Phillips, S.M.; Winett, R.A. Uncomplicated resistance training and health-related outcomes: Evidence for a public health mandate. Curr. Sports Med. Rep. 2010, 9, 208–213. [Google Scholar] [CrossRef]
- El-Kotob, R.; Ponzano, M.; Chaput, J.P.; Janssen, I.; Kho, M.E.; Poitras, V.J.; Ross, R.; Ross-White, A.; Saunders, T.J.; Giangregorio, L.M. Resistance training and health in adults: An overview of systematic reviews. Appl. Physiol. Nutr. Metab. 2020, 45, 165–179. [Google Scholar] [CrossRef]
- Grgić, J.; Shoenfeld, B. A case for considering age and sex when prescribing rest intervals in resistance training. Kinesiology 2019, 51, 78–82. [Google Scholar]
- Dias, R.M.; Cyrino, E.S.; Salvador, E.S.; Nakamura, F.Y.; Cheche Pina, F.L.; de Oliveira, A.R. Impact of an eight-week weight training program on the muscular strength of men and women. Rev. Bras. Med. Esporte 2005, 11, 213–218. [Google Scholar]
- Roth, S.M.; Ivey, F.M.; Martel, G.F.; Lemmer, J.T.; Hurlbut, D.E.; Siegel, E.L.; Metter, E.J.; Fleg, J.L.; Fozard, J.L.; Kostek, M.C.; et al. Muscle size responses to strength training in young and older men and women. J. Am. Geriatr. Soc. 2001, 49, 1428–1433. [Google Scholar] [CrossRef] [PubMed]
- Kosek, D.J.; Kim, J.S.; Petrella, J.K.; Cross, J.M.; Bamman, M.M. Efficacy of 3 days/wk resistance training on myofiber hypertrophy and myogenic mechanisms in young vs. older adults. J. Appl. Physiol. 2006, 101, 531–544. [Google Scholar] [CrossRef] [PubMed]
- Salvador, E.P.D.R.; Gurjao, A.L.; Avelar, A.; Pinto, L.G.; Cyrino, E.S. Effect of eight weeks of strength training on fatigue resistance in men and women. Isokinet. Exerc. Sci. 2009, 17, 101–106. [Google Scholar] [CrossRef]
- Ivey, F.M.; Tracy, B.L.; Lemmer, J.T.; NessAiver, M.; Metter, E.J.; Fozard, J.L.; Hurley, B.F. Effects of strength training and detraining on muscle quality: Age and gender comparisons. J. Gerontol. Ser. A Biol. Sci. Med. Sci. 2000, 55, 152–157, discussion 158–159. [Google Scholar] [CrossRef] [Green Version]
- Kell, R.T. The influence of periodized resistance training on strength changes in men and women. J. Strength Cond. Res. 2011, 25, 735–744. [Google Scholar] [CrossRef]
- Ribeiro, A.S.; Avelar, A.; Schoenfeld, B.J.; Trindade, M.C.; Ritti-Dias, R.M.; Altimari, L.R.; Cyrino, E.S. Effect of 16 weeks of resistance training on fatigue resistance in men and women. J. Hum. Kinet. 2014, 42, 165–174. [Google Scholar] [CrossRef] [Green Version]
- Häkkinen, K.; Pakarinen, A.; Kraemer, W.J.; Newton, R.U.; Alen, M. Basal concentrations and acute responses of serum hormones and strength development during heavy resistance training in middle-aged and elderly men and women. J. Gerontol. Ser. A Biol. Sci. Med. Sci. 2000, 55, 95–105. [Google Scholar]
- Hunter, S.K. Sex differences in human fatigability: Mechanisms and insight to physiological responses. Acta Physiol. 2014, 210, 768–789. [Google Scholar] [CrossRef] [Green Version]
- Charette, S.L.; McEvoy, L.; Pyka, G.; Snow-Harter, C.; Guido, D.; Wiswell, R.A.; Marcus, R. Muscle hypertrophy response to resistance training in older women. J. Appl. Physiol. 1991, 70, 1912–1916. [Google Scholar] [CrossRef]
- Straight, C.R.; Lindheimer, J.B.; Brady, A.O.; Dishman, R.K.; Evans, E.M. Effects of resistance training on lower-extremity muscle power in middle-aged and older adults: A systematic review and meta-analysis of randomized controlled trials. Sports Med. 2016, 46, 353–364. [Google Scholar] [CrossRef] [PubMed]
- Lavin, K.M.; Roberts, B.M.; Fry, C.S.; Moro, T.; Rasmussen, B.B.; Bamman, M.M. The importance of resistance exercise training to combat neuromuscular aging. Physiology 2019, 34, 112–122. [Google Scholar] [CrossRef] [PubMed] [Green Version]
- World Medical Association. World Medical Association Declaration of Helsinki: Ethical principles for medical research involving human subjects. JAMA 2013, 310, 2191–2194. [Google Scholar] [CrossRef] [PubMed] [Green Version]
- Pietiläinen, K.H.; Kaye, S.; Karmi, A.; Suojanen, L.; Rissanen, A.; Virtanen, K.A. Agreement of bioelectrical impedance with dual-energy X-ray absorptiometry and MRI to estimate changes in body fat, fat-free and visceral fat during a 12-month weight loss intervention. Br. J. Nutr. 2013, 9, 1910–1916. [Google Scholar] [CrossRef] [Green Version]
- Suni, J.H.; Oja, P.; Miilunpalo, S.I.; Pasanen, M.E.; Vuori, I.M.; Bös, K. Health-related fitness test battery for adults: Associations with perceived health, mobility, and back function and symptoms. Arch. Phys. Med. Rehabil. 1998, 79, 559–569. [Google Scholar] [CrossRef]
- Rikli, R.E.; Jones, C.J. Development and validation of criterion-referenced clinically relevant fitness standards for maintaining physical independence in later years. Gerontologist 2013, 53, 255–267. [Google Scholar] [CrossRef]
- Abe, T.; Yaginuma, Y.; Fujita, E.; Thiebaud, R.S.; Kawanishi, M.; Akamine, T. Associations of sit-up ability with sarcopenia classification measures in Japanese older women. Interv. Med. Appl. Sci. 2016, 8, 152–157. [Google Scholar] [CrossRef]
- President’s Council on Physical Fitness and Sports (PCPFS). The President’s Challenge Physical Fitness Test: V-Sit Reach. 2012. Available online: https://www.presidentschallenge.org/challenge/physical/activities/v-sit-reach.shtml (accessed on 12 July 2022).
- Schaun, G.Z.; Bamman, M.M.; Andrade, L.S.; David, G.B.; Krüger, V.L.; Marins, E.F.; Nunes, G.N.; Häfele, M.S.; Mendes, G.F.; Gomes, M.L.B.; et al. High-velocity resistance training mitigates physiological and functional impairments in middle-aged and older adults with and without mobility-limitation. Geroscience 2022, 44, 1175–1197. [Google Scholar] [CrossRef]
- Cohen, J. A power primer. Psychol. Bull. 1992, 112, 155–159. [Google Scholar] [CrossRef]
- Wilmore, J.H. Alterations in strength, body composition and anthropometric measurements consequent to a 10-week weight training program. Med. Sci. Sports 1974, 6, 133–138. [Google Scholar] [CrossRef]
- Roberts, B.M.; Lavin, K.M.; Many, G.M.; Thalacker-Mercer, A.; Merritt, E.K.; Bickel, C.S.; Mayhew, D.L.; Tuggle, S.C.; Cross, J.M.; Kosek, D.J.; et al. Human neuromuscular aging: Sex differences revealed at the myocellular level. Exp. Gerontol. 2018, 106, 116–124. [Google Scholar] [CrossRef]
- Haizlip, K.M.; Harrison, B.C.; Leinwand, L.A. Sex-based differences in skeletal muscle kinetics and fiber-type composition. Physiology 2015, 30, 30–39. [Google Scholar] [CrossRef] [PubMed]
- Dannecker, E.A.; Liu, Y.; Rector, R.S.; Thomas, T.R.; Fillingim, R.B.; Robinson, M.E. Sex differences in exercise-induced muscle pain and muscle damage. J. Pain 2012, 13, 1242–1249. [Google Scholar] [CrossRef] [Green Version]
- Wikström-Frisén, L.; Boraxbekk, C.J.; Henriksson-Larsén, K. Effects on power, strength and lean body mass of menstrual/oral contraceptive cycle based resistance training. J. Sports Med. Phys. Fitness 2017, 57, 43–52. [Google Scholar] [CrossRef] [PubMed]
- Rahman, S.; Salehin, F.; Iqbal, A. Menopausal symptoms assessment among middle age women in Kushtia, Bangladesh. BMC Res. Notes 2011, 4, 188. [Google Scholar] [CrossRef] [PubMed] [Green Version]
- Petrella, J.K.; Kim, J.S.; Tuggle, S.C.; Hall, S.R.; Bamman, M.M. Age differences in knee extension power, contractile velocity, and fatigability. J. Appl. Physiol. 2005, 98, 211–220. [Google Scholar] [CrossRef] [Green Version]


| Sex | Men | Women | ||||||
|---|---|---|---|---|---|---|---|---|
| Age | 50–64 yr | 65–80 yr | 50–64 yr | 65–80 yr | ||||
| Study Variables | Initial | Final | Initial | Final | Initial | Final | Initial | Final |
| Body mass (kg) | 271 | 271 | 112 | 112 | 148 | 148 | 52 | 52 |
| Body mass index (kg∙m−2) | 265 | 265 | 111 | 111 | 148 | 148 | 52 | 52 |
| Lean mass (%) | 244 | 244 | 94 | 94 | 127 | 127 | 50 | 50 |
| Fat mass (%) | 243 | 243 | 93 | 93 | 127 | 127 | 50 | 50 |
| Push-ups in 30 s (reps) | 198 | 198 | 70 | 70 | 115 | 115 | 24 | 24 |
| Chair-stands in 30 s (reps) | 230 | 230 | 82 | 82 | 129 | 129 | 33 | 33 |
| Sit-ups in 30 s (reps) | 192 | 192 | 66 | 66 | 115 | 115 | 24 | 24 |
| Sit-and-reach (cm) | 229 | 229 | 79 | 79 | 131 | 131 | 32 | 32 |
| Sex | Men | Women | ||||||
|---|---|---|---|---|---|---|---|---|
| Age | 50–64 yr | 65–80 yr | 50–64 yr | 65–80 yr | ||||
| Study Variables | Initial | Final | Initial | Final | Initial | Final | Initial | Final |
| Body mass (kg) | 95.2 ± 16.5 | 94.4 ± 17.1 | 92.9 ± 15.5 | 92.0 ± 16.8 | 78.4 ± 15.6 | 78.1 ± 15.7 | 80.6 ± 13.2 | 80.4 ± 13.2 |
| Body mass index (kg∙m−2) | 29.9 ± 5.0 | 29.8 ± 5.0 | 29.8 ± 4.7 | 29.7 ± 4.8 | 29.3 ± 5.3 | 29.2 ± 5.4 | 30.4 ± 4.4 | 30.1 ± 4.5 |
| Lean mass (%) | 32.5 ± 4.2 | 33.5 ± 4.6 | 31.9 ± 3.3 | 33.2 ± 3.4 | 27.9 ± 5.4 | 28.7 ± 5.1 | 26.4 ± 4.1 | 27.8 ± 3.4 |
| Fat mass (%) | 27.2 ± 6.8 | 26.1 ± 6.6 | 26.1 ± 7.0 | 25.4 ± 6.2 | 38.7 ± 7.3 | 37.4 ± 7.6 | 40.0 ± 6.8 | 38.8 ± 6.4 |
| Push-ups in 30 s (reps) | 11.3 ± 7.0 | 14.0 ± 7.9 | 7.4 ± 5.9 | 8.9 ± 7.2 | 9.0 ± 5.0 | 11.3 ± 5.9 | 7.6 ± 5.3 | 9.6 ± 6.7 |
| Chair-stands in 30 s (reps) | 12.8 ± 4.8 | 15.2 ± 5.1 | 10.2 ± 5.4 | 11.6 ± 6.2 | 10.3 ± 3.9 | 12.8 ± 4.6 | 10.6 ± 3.8 | 12.3 ± 4.4 |
| Sit-ups in 30 s (reps) | 10.3 ± 5.7 | 12.6 ± 6.7 | 8.1 ± 7.1 | 9.2 ± 7.2 | 8.5 ± 5.1 | 10.4 ± 5.8 | 8.6 ± 6.2 | 10.2 ± 7.0 |
| Sit-and-reach (cm) | 40.8 ± 15.9 | 45.7 ± 16.7 | 35.5 ± 16.9 | 38.5 ± 18.5 | 48.1 ± 15.8 | 53.1 ± 17.4 | 45.6 ± 16.6 | 48.4 ± 16.4 |
Publisher’s Note: MDPI stays neutral with regard to jurisdictional claims in published maps and institutional affiliations. |
© 2022 by the authors. Licensee MDPI, Basel, Switzerland. This article is an open access article distributed under the terms and conditions of the Creative Commons Attribution (CC BY) license (https://creativecommons.org/licenses/by/4.0/).
Share and Cite
Kasović, M.; Štefan, L.; Kalčik, Z. Acute Responses to Resistance Training on Body Composition, Muscular Fitness and Flexibility by Sex and Age in Healthy War Veterans Aged 50–80 Years. Nutrients 2022, 14, 3436. https://doi.org/10.3390/nu14163436
Kasović M, Štefan L, Kalčik Z. Acute Responses to Resistance Training on Body Composition, Muscular Fitness and Flexibility by Sex and Age in Healthy War Veterans Aged 50–80 Years. Nutrients. 2022; 14(16):3436. https://doi.org/10.3390/nu14163436
Chicago/Turabian StyleKasović, Mario, Lovro Štefan, and Zvonimir Kalčik. 2022. "Acute Responses to Resistance Training on Body Composition, Muscular Fitness and Flexibility by Sex and Age in Healthy War Veterans Aged 50–80 Years" Nutrients 14, no. 16: 3436. https://doi.org/10.3390/nu14163436
APA StyleKasović, M., Štefan, L., & Kalčik, Z. (2022). Acute Responses to Resistance Training on Body Composition, Muscular Fitness and Flexibility by Sex and Age in Healthy War Veterans Aged 50–80 Years. Nutrients, 14(16), 3436. https://doi.org/10.3390/nu14163436

