Association between Long-Term Changes in Dietary Percentage of Energy from Fat and Obesity: Evidence from over 20 Years of Longitudinal Data
Abstract
1. Introduction
2. Methods
2.1. Study Design and Participants
2.2. Definition of Follow-Up in the Study
2.3. Assessment of Dietary Intake
2.4. Assessment of Outcomes
2.5. Assessment of Covariates
2.6. Statistical Analysis
3. Results
3.1. General Characteristics of Participants in the Study
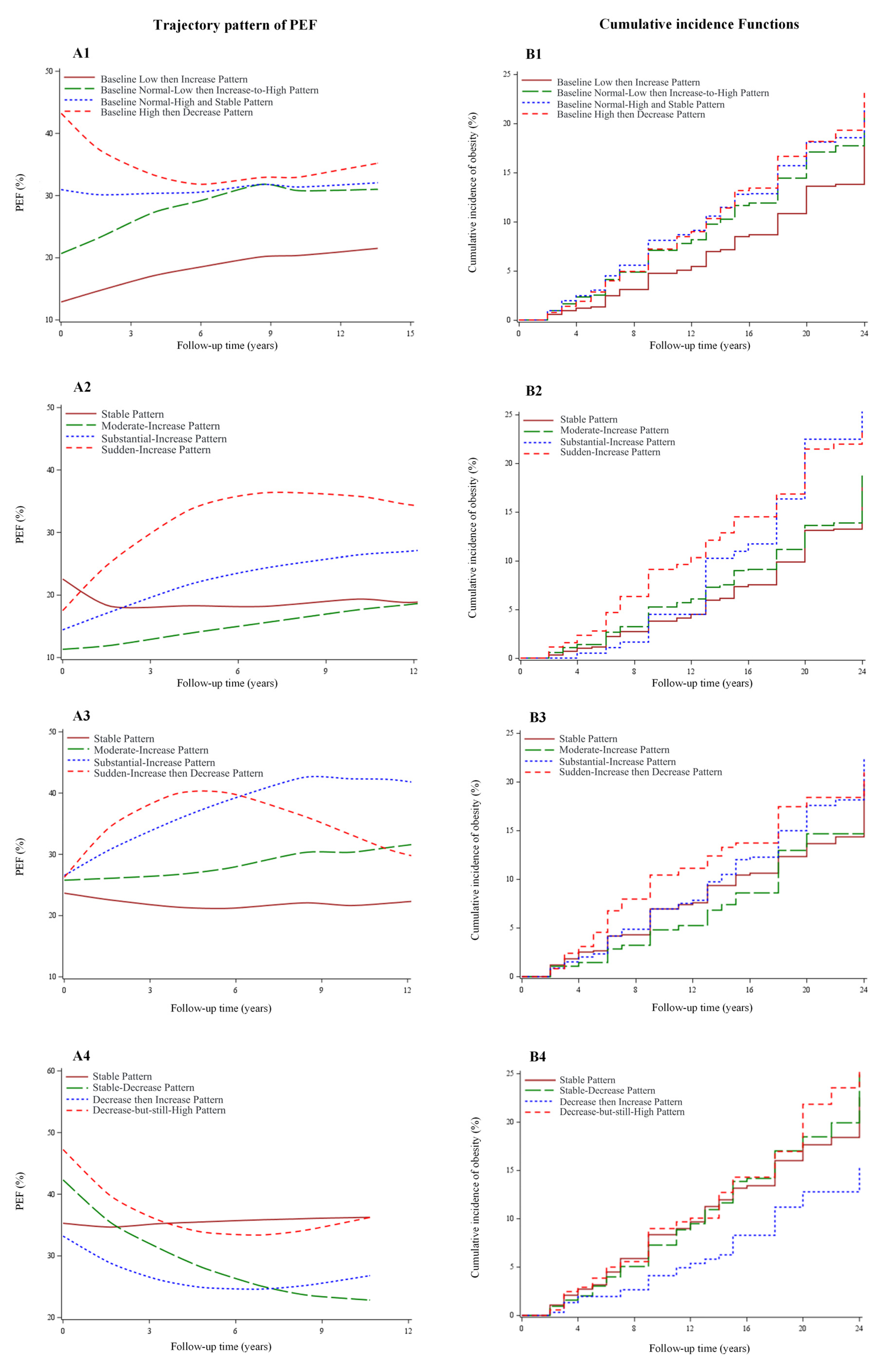
3.2. PEF Trajectory Patterns of Overall Participants
3.3. PEF Trajectory Patterns of Participants with Different Baseline PEF Levels
3.4. Association between Pattern of PEF Trajectory and the Risk of Obesity
4. Discussion
5. Conclusions
Supplementary Materials
Author Contributions
Funding
Institutional Review Board Statement
Informed Consent Statement
Data Availability Statement
Acknowledgments
Conflicts of Interest
References
- World Health Organization. ICD-11 for Mortality and Morbidity Statistics. 2022. Available online: https://icd.who.int/browse11/l-m/en (accessed on 6 August 2022).
- Afshin, A.; Forouzanfar, M.H.; Reitsma, M.B.; Sur, P.; Estep, K.; Lee, A.; Marczak, L.; Mokdad, A.H.; Moradi-Lakeh, M.; Naghavi, M.; et al. Health effects of overweight and obesity in 195 countries over 25 years. N. Engl. J. Med. 2017, 377, 13–27. [Google Scholar] [CrossRef] [PubMed]
- Ma, S.; Xi, B.; Yang, L.; Sun, J.; Zhao, M.; Bovet, P. Trends in the prevalence of overweight, obesity, and abdominal obesity among Chinese adults between 1993 and 2015. Int. J. Obes. 2021, 45, 427–437. [Google Scholar] [CrossRef]
- Xi, B.; Liang, Y.; He, T.; Reilly, K.H.; Hu, Y.; Wang, Q.; Yan, Y.; Mi, J. Secular trends in the prevalence of general and abdominal obesity among Chinese adults, 1993–2009. Obes. Rev. 2012, 13, 287–296. [Google Scholar] [CrossRef] [PubMed]
- Emerging Risk Factors Collaboration; Wormser, D.; Kaptoge, S.; Di Angelantonio, E.; Wood, A.M.; Pennells, L.; Thompson, A.; Sarwar, N.; Kizer, J.R.; Lawlor, D.A.; et al. Separate and combined associations of body-mass index and abdominal adiposity with cardiovascular disease: Collaborative analysis of 58 prospective studies. Lancet 2011, 377, 1085–1095. [Google Scholar] [CrossRef]
- Singh, G.M.; Danaei, G.; Farzadfar, F.; Stevens, G.A.; Woodward, M.; Wormser, D.; Kaptoge, S.; Whitlock, G.; Qiao, Q.; Lewington, S.; et al. The age-specific quantitative effects of metabolic risk factors on cardiovascular diseases and diabetes: A pooled analysis. PLoS ONE 2013, 8, e65174. [Google Scholar] [CrossRef] [PubMed]
- Lauby-Secretan, B.; Scoccianti, C.; Loomis, D.; Grosse, Y.; Bianchini, F.; Straif, K.; International Agency for Research on Cancer Handbook Working Group. Body fatness and cancer–viewpoint of the IARC Working Group. N. Engl. J. Med. 2016, 375, 794–798. [Google Scholar] [CrossRef]
- Wang, H.; Zhai, F. Programme and policy options for preventing obesity in China. Obes. Rev. 2013, 14, 134–140. [Google Scholar] [CrossRef]
- Shen, X.; Fang, A.; He, J.; Liu, Z.; Guo, M.; Gao, R.; Li, K. Trends in dietary fat and fatty acid intakes and related food sources among Chinese adults: A longitudinal study from the China Health and Nutrition Survey (1997–2011). Public Health Nutr. 2017, 20, 2927–2936. [Google Scholar] [CrossRef]
- Sun, J.; Buys, N.J.; Hills, A.P. Dietary pattern and its association with the prevalence of obesity, hypertension and other cardiovascular risk factors among Chinese older adults. Int. J. Environ. Res. Public Health 2014, 11, 3956–3971. [Google Scholar] [CrossRef]
- Howarth, N.C.; Huang, T.T.K.; Roberts, S.B.; McCrory, M.A. Dietary fiber and fat are associated with excess weight in young and middle-aged US adults. J. Am. Diet. Assoc. 2005, 105, 1365–1372. [Google Scholar] [CrossRef]
- Donnelly, J.E.; Sullivan, D.K.; Smith, B.K.; Jacobsen, D.J.; Washburn, R.A.; Johnson, S.L.; Hill, J.O.; Mayo, M.S.; Spaeth, K.R.; Gibson, C. Alteration of dietary fat intake to prevent weight gain: Jayhawk observed eating trial. Obesity 2008, 16, 107–112. [Google Scholar] [CrossRef] [PubMed]
- Bradley, U.; Spence, M.; Courtney, C.H.; McKinley, M.C.; Ennis, C.N.; McCance, D.R.; McEneny, J.; Bell, P.M.; Young, I.S.; Hunter, S.J. Low-fat versus low-carbohydrate weight reduction diets effects on weight loss, insulin resistance, and cardiovascular risk: A randomized control trial. Diabetes 2009, 58, 2741–2748. [Google Scholar] [CrossRef] [PubMed]
- Grech, A.; Rangan, A.; Allman-Farinelli, M. Macronutrient composition of the Australian population’s diet; Trends from three national nutrition surveys 1983, 1995 and 2012. Nutrients 2018, 10, 1045. [Google Scholar] [CrossRef]
- Austin, G.L.; Ogden, L.G.; Hill, J.O. Trends in carbohydrate, fat, and protein intakes and association with energy intake in normal-weight, overweight, and obese individuals: 1971–2006. Am. J. Clin. Nutr. 2011, 93, 836–843. [Google Scholar] [CrossRef] [PubMed]
- Shan, Z.; Rehm, C.D.; Rogers, G.; Ruan, M.; Wang, D.D.; Hu, F.B.; Mozaffarian, D.; Zhang, F.F.; Bhupathiraju, S.N. Trends in dietary carbohydrate, protein, and fat intake and diet quality among US adults, 1999–2016. JAMA 2019, 322, 1178–1187. [Google Scholar] [CrossRef]
- Pimpin, L.; Jebb, S.; Johnson, L.; Wardle, J.; Ambrosini, G.L. Dietary protein intake is associated with body mass index and weight up to 5 y of age in a prospective cohort of twins. Am. J. Clin. Nutr. 2016, 103, 389–397. [Google Scholar] [CrossRef]
- Wang, L.; Wang, H.; Zhang, B.; Popkin, B.M.; Du, S. Elevated fat intake increases body weight and the risk of overweight and obesity among Chinese adults: 1991–2015 trends. Nutrients 2020, 12, 3272. [Google Scholar] [CrossRef]
- Beulen, Y.; Martinez-Gonzalez, M.A.; van de Rest, O.; Salas-Salvado, J.; Sorli, J.V.; Gomez-Gracia, E.; Fiol, M.; Estruch, R.; Santos-Lozano, J.M.; Schroder, H.; et al. Quality of dietary fat intake and body weight and obesity in a Mediterranean population: Secondary analyses within the PREDIMED trial. Nutrients 2018, 10, 2011. [Google Scholar] [CrossRef]
- Wang, Y.; Tian, F.; Wen, J.; Guo, X.; Yang, X. Effect of total energy and three major nutrients intake and their changes on serum uric acid level. Sichuan Med. J. 2018, 39, 383–389. [Google Scholar]
- Liu, X.; Li, Y.; Tobias, D.K.; Wang, D.D.; Manson, J.E.; Willett, W.C.; Hu, F.B. Changes in types of dietary fats influence long-term weight change in US women and men. J. Nutr. 2018, 148, 1821–1829. [Google Scholar] [CrossRef]
- Lampuré, A.; Castetbon, K.; Deglaire, A.; Schlich, P.; Péneau, S.; Hercberg, S.; Méjean, C. Associations between liking for fat, sweet or salt and obesity risk in French adults: A prospective cohort study. Int. J. Behav. Nutr. Phys. Act. 2016, 13, 74. [Google Scholar] [CrossRef] [PubMed]
- Holmberg, S.; Thelin, A. High dairy fat intake related to less central obesity: A male cohort study with 12 years’ follow-up. Scand. J. Prim. Health Care 2013, 31, 89–94. [Google Scholar] [CrossRef]
- Popkin, B.M.; Du, S.; Zhai, F.; Zhang, B. Cohort Profile: The China Health and Nutrition Survey-monitoring and understanding socio-economic and health change in China, 1989–2011. Int. J. Epidemiol. 2010, 39, 1435–1440. [Google Scholar] [CrossRef] [PubMed]
- Wang, Z.; Zhang, B.; Zhai, F.; Wang, H.; Zhang, J.; Du, W.; Su, C.; Zhang, J.; Jiang, H.; Popkin, B.M. Fatty and lean red meat consumption in China: Differential association with Chinese abdominal obesity. Nutr. Metab. Cardiovasc. Dis. 2014, 24, 869–876. [Google Scholar] [CrossRef] [PubMed]
- Chinese Nutrition Society. Chinese Dietary Reference Intakes (2013 Edition); Science Press: Beijing, China, 2014. [Google Scholar]
- Pan, K.; Smith, L.P.; Batis, C.; Popkin, B.M.; Kenan, W.R., Jr. Increased energy intake and a shift towards high-fat, non-staple high-carbohydrate foods amongst China’s older adults, 1991–2009. J. Aging Res. Clin. Pract. 2014, 3, 107–115. [Google Scholar]
- Li, Y.; Wang, D.D.; Ley, S.H.; Vasanti, M.; Howard, A.G.; He, Y.; Hu, F.B. Time Trends of dietary and lifestyle factors and their potential impact on diabetes burden in China. Diabetes Care 2017, 40, 1685–1694. [Google Scholar] [CrossRef]
- Chen, C.; Lu, F.C.; Department of Disease Control Ministry of Health. The guidelines for prevention and control of overweight and obesity in Chinese adults. Biomed. Environ. Sci. 2004, 17, 1–36. [Google Scholar]
- Croudace, T.J.; Jarvelin, M.R.; Wadsworth, M.E.; Jones, P.B. Developmental typology of trajectories to nighttime bladder control: Epidemiologic application of longitudinal class analysis. Am. J. Epidemiol. 2003, 157, 834–842. [Google Scholar] [CrossRef][Green Version]
- Heather, A.; Natasha, C.; Amanda, T.; Gaudreau, P. Latent class growth modelling: A tutorial. Tutor. Quant. Methods Psychol. 2009, 5, 11–24. [Google Scholar] [CrossRef]
- Ju, L.; Yu, D.; Fang, H.; Guo, Q.; Xu, X.; Li, S.; Zhao, L. Trends and food sources composition of energy, protein and fat in Chinese residents, 1992–2012. J. Hyg. Res. 2018, 47, 689–704. [Google Scholar]
- Saito, A.; Imai, S.; Htun, N.C.; Okada, E.; Yoshita, K.; Yoshiike, N.; Takimoto, H. The trends in total energy, macronutrients and sodium intake among Japanese: Findings from the 1995–2016 National Health and Nutrition Survey. Br. J. Nutr. 2018, 120, 424–434. [Google Scholar] [CrossRef] [PubMed]
- Zhao, L.; Fang, Y.; He, Y.; Yu, D.; Guo, Q.; Yu, W.; Fang, H.; Wang, X.; Zhao, W. Trends of food consumption among Chinese population in 1992–2012. J. Hyg. Res. 2016, 45, 522–526. [Google Scholar]
- Buzzard, M. 24-Hour Dietary Recall and Food Record Methods. In Nutritional Epidemiology, 2nd ed.; Willett, W.C., Ed.; Oxford University Press: New York, NY, USA, 1998; pp. 50–73. [Google Scholar]
- Calder, P.C. Functional roles of fatty acids and their effects on human health. JPEN J. Parenter. Enter. Nutr. 2015, 39, 18S–32S. [Google Scholar] [CrossRef] [PubMed]
- Vafeiadou, K.; Weech, M.; Sharma, V.; Yaqoob, P.; Todd, S.; Williams, C.M.; Jackson, K.G.; Lovegrove, J.A. A review of the evidence for the effects of total dietary fat, saturated, monounsaturated and n-6 polyunsaturated fatty acids on vascular function, endothelial progenitor cells and microparticles. Br. J. Nutr. 2012, 107, 303–324. [Google Scholar] [CrossRef] [PubMed]
- Wang, D.D.; Li, Y.; Chiuve, S.E.; Stampfer, M.J.; Manson, J.E.; Rimm, E.B.; Willett, W.C.; Hu, F.B. Association of specific dietary fats with total and cause-specific mortality. JAMA Intern. Med. 2016, 176, 1134–1145. [Google Scholar] [CrossRef]


| Characteristics at Baseline | Lower than Recommendation (PEF < 20%) 4894 (37.6%) | Met Recommendation (20%≤ PEF ≤ 30%) 4026 (30.9%) | Higher than Recommendation (PEF > 30%) 4105 (31.5%) | Total N = 13,025 | p |
|---|---|---|---|---|---|
| Duration of follow-up, years, mean ± SD | 16.41 ± 6.80 | 13.94 ± 6.97 | 12.25 ± 6.93 | 13.96 ± 7.17 | <0.001 |
| Cumulative incidence of obesity, n (%) | 625 (12.8) | 483 (12.0) | 463 (11.3) | 1571 (12.1) | 0.095 |
| Socioeconomic characteristics | |||||
| Male, n (%) | 2491 (50.9) | 2022 (50.2) | 1926 (46.9) | 6439 (49.4) | <0.001 |
| Age, years, mean ± SD | 39.96 ± 13.92 | 41.67 ± 14.22 | 43.44 ± 15.14 | 41.59 ± 14.48 | <0.001 |
| Han nationality, n (%) | 4153 (84.9) | 3585 (89.1) | 3653 (89.0) | 11391 (87.5) | <0.001 |
| Marital status, n (%) | 0.220 | ||||
| Married | 3883 (79.3) | 3221 (80.0) | 3219 (78.4) | 10323 (79.3) | |
| Unmarried | 755 (14.5) | 582 (14.5) | 622 (15.2) | 1959 (15.0) | |
| Divorced/separate/widowed | 222 (4.5) | 193 (4.8) | 232 (5.7) | 647 (5.0) | |
| Education level, n (%) | <0.001 | ||||
| Illiterate | 1630 (33.3) | 888 (22.1) | 636 (15.5) | 3154 (24.2) | |
| Primary school | 1183 (24.2) | 822 (20.4) | 665 (16.2) | 2670 (20.5) | |
| Middle school | 1834 (46.1) | 1856 (46.1) | 2062 (50.2) | 5725 (44.2) | |
| High school and above | 139 (2.8) | 391 (9.7) | 659 (16.1) | 1189 (9.1) | |
| Income group, n (%) | <0.001 | ||||
| Low | 3235 (66.1) | 1639 (40.7) | 1051 (25.6) | 5925 (45.5) | |
| Medium | 1291 (26.4) | 1653 (41.1) | 1770 (43.1) | 4714 (36.2) | |
| High | 338 (6.9) | 707 (17.6) | 1051 (30.3) | 2290 (17.6) | |
| Regions, n (%) | <0.001 | ||||
| Northeast | 827 (16.9) | 836 (20.8) | 904 (22.0) | 2567 (19.7) | |
| East Coast | 1015 (20.8) | 928 (23.1) | 1011 (24.6) | 2954 (22.7) | |
| Central | 1827 (37.3) | 1270 (31.5) | 1229 (29.9) | 3178 (24.4) | |
| Western | 1225 (25.0) | 992 (24.6) | 961 (23.4) | 4326 (33.2) | |
| Community type, n (%) | <0.001 | ||||
| City | 228 (4.7) | 693 (17.2) | 1234 (30.1) | 2155 (16.6) | |
| Suburb | 742 (15.2) | 789 (19.6) | 870 (21.2) | 2401 (18.4) | |
| Town | 506 (10.3) | 786 (19.5) | 829 (20.2) | 2121 (16.3) | |
| Village | 3412 (69.7) | 1749 (43.4) | 1139 (27.8) | 6300 (48.4) | |
| Lifestyle | |||||
| Current smoker, n (%) | 1603 (32.8) | 1333 (33.1) | 1195 (29.1) | 4131 (31.7) | <0.001 |
| Current drinker, n (%) | 1751 (35.8) | 1465 (36.4) | 1477 (36.0) | 4693 (36.0) | 0.325 |
| Physical activities, n (%) | <0.001 | ||||
| Light | 851 (17.4) | 1588 (39.4) | 2199 (53.6) | 4638 (35.6) | |
| Medium | 612 (12.5) | 728 (18.1) | 815 (19.9) | 2155 (16.6) | |
| Heavy | 3289 (67.2) | 1571 (39.0) | 936 (22.8) | 5796 (44.5) | |
| Dietary total energy intake, kcal/d, mean ± SD | 2524.26 ± 735.75 | 2391.68 ± 670.26 | 2430.54 ± 709.12 | 2453.56 ± 709.74 | <0.001 |
| Percentages of energy from carbohydrate, %, mean ± SD | 74.46 ± 6.15 | 61.84 ± 5.33 | 49.05 ± 7.43 | 62.56 ± 12.28 | <0.001 |
| Percentages of energy from protein, %, mean ± SD | 11.80 ± 2.19 | 12.22 ± 2.49 | 12.17 ± 2.84 | 12.05 ± 2.51 | <0.001 |
| Percentages of energy from fat, %, mean ± SD | 13.08 ± 4.60 | 24.99 ± 2.85 | 38.04 ± 6.70 | 24.62 ± 11.44 | <0.001 |
| Baseline PEF Level | Model 1 | Model 2 | Model 3 | Model 4 | ||||
|---|---|---|---|---|---|---|---|---|
| HR (95% CI) | p | HR (95% CI) | p | HR (95% CI) | p | HR (95% CI) | p | |
| Met recommended PEF (20–30%) | Reference | Reference | Reference | Reference | ||||
| Lower than recommended PEF (<20%) | 0.86 (0.77–0.97) | 0.014 | 0.86 (0.76–0.98) | 0.020 | 0.99 (0.87–1.13) | 0.923 | 1.00 (0.88–1.14) | 0.999 |
| Higher than recommended PEF (>30%) | 1.11 (0.97–1.25) | 0.126 | 1.08 (0.95–1.24) | 0.248 | 0.97 (0.85–1.12) | 0.712 | 0.96 (0.84–1.10) | 0.573 |
| Change Trajectory Patterns of PEF | Model 1 | Model 2 | Model 3 | Model 4 | ||||
|---|---|---|---|---|---|---|---|---|
| HR (95% CI) | p | HR (95% CI) | p | HR (95% CI) | p | HR (95% CI) | p | |
| Overall Participants | ||||||||
| Baseline Low then Increase Pattern | Reference | Reference | Reference | Reference | ||||
| Baseline Normal-Low then Increase-to-High Pattern | 1.33 (1.16–1.51) | <0.001 | 1.18 (1.02–1.36) | 0.030 | 1.17 (1.01–1.36) | 0.034 | 1.18 (1.01–1.37) | 0.033 |
| Baseline Normal-High and Stable Pattern | 1.42 (1.23–1.65) | <0.001 | 1.09 (0.86–1.39) | 0.455 | 1.08 (0.85–1.37) | 0.521 | 1.11 (0.93–1.32) | 0.250 |
| Baseline High then Decrease Pattern | 1.43 (1.15–1.77) | 0.001 | 1.08 (0.91–1.28) | 0.396 | 1.06 (0.89–1.26) | 0.494 | 1.06 (0.83–1.36) | 0.640 |
| Participants with different baseline PEF levels | ||||||||
| Baseline PEF <20% | ||||||||
| Stable Pattern | Reference | Reference | Reference | Reference | ||||
| Moderate-Increase Pattern | 1.24 (0.64–1.44) | 0.623 | 1.24 (0.66–1.49) | 0.679 | 1.02 (0.82–1.27) | 0.902 | 1.02 (0.82–1.27) | 0.893 |
| Substantial-Increase Pattern | 1.32 (1.09–1.73) | 0.042 | 1.28 (1.05–1.72) | 0.045 | 1.24 (0.98–1.62) | 0.077 | 1.26 (0.98–1.62) | 0.075 |
| Sudden-Increase Pattern | 1.83 (1.32–2.53) | 0.003 | 1.81 (1.32–2.54) | 0.008 | 1.65 (1.13–2.42) | 0.012 | 1.65 (1.13–2.41) | 0.010 |
| Baseline PEF at 20–30% | ||||||||
| Stable Pattern | Reference | Reference | Reference | Reference | ||||
| Moderate-Increase Pattern | 1. 23 (0.86–1.53) | 0.642 | 1.10 (0.81–1.50) | 0.655 | 1.02 (0.71–1.48) | 0.917 | 1.02 (0.71–1.47) | 0.920 |
| Substantial-Increase Pattern | 1.11 (0.64–1.83) | 0.547 | 1.09 (0.67–1.77) | 0.559 | 1.04 (0.71–1.51) | 0.866 | 1.03 (0.71–1.50) | 0.865 |
| Sudden-Increase then Decrease Pattern | 1.74 (1.13–2.68) | 0.027 | 1.70 (1.12–2.59) | 0.025 | 1.59 (1.02–2.47) | 0.021 | 1.59 (1.03–2.46) | 0.038 |
| Baseline PEF >30% | ||||||||
| Stable Pattern | Reference | Reference | Reference | Reference | ||||
| Stable-Decrease Pattern | 0.88 (0.56–1.15) | 0.664 | 0.89 (0.60–1.20) | 0.608 | 0.91 (0.65–1.25) | 0.555 | 0.91 (0.66–1.25) | 0.551 |
| Decrease then Increase Pattern | 0.56 (0.33–0.96) | 0.041 | 0.60 (0.38–0.99) | 0.049 | 0.60 (0.36–1.01) | 0.053 | 0.60 (0.36–1.01) | 0.056 |
| Decrease-but-still-High Pattern | 0.72 (0.60–1.13) | 0.775 | 0.73 (0.60–1.22) | 0.642 | 0.89 (0.61–1.26) | 0.505 | 0.88 (0.62–1.27) | 0.501 |
Publisher’s Note: MDPI stays neutral with regard to jurisdictional claims in published maps and institutional affiliations. |
© 2022 by the authors. Licensee MDPI, Basel, Switzerland. This article is an open access article distributed under the terms and conditions of the Creative Commons Attribution (CC BY) license (https://creativecommons.org/licenses/by/4.0/).
Share and Cite
Wu, C.; Mi, B.; Luo, W.; Chen, B.; Ma, J.; Huang, H.; Zhang, Q.; Wang, Y.; Liu, H.; Yan, B.; et al. Association between Long-Term Changes in Dietary Percentage of Energy from Fat and Obesity: Evidence from over 20 Years of Longitudinal Data. Nutrients 2022, 14, 3373. https://doi.org/10.3390/nu14163373
Wu C, Mi B, Luo W, Chen B, Ma J, Huang H, Zhang Q, Wang Y, Liu H, Yan B, et al. Association between Long-Term Changes in Dietary Percentage of Energy from Fat and Obesity: Evidence from over 20 Years of Longitudinal Data. Nutrients. 2022; 14(16):3373. https://doi.org/10.3390/nu14163373
Chicago/Turabian StyleWu, Chenlu, Baibing Mi, Wanrong Luo, Binghua Chen, Jiao Ma, Hao Huang, Qian Zhang, Yaqiong Wang, Heng Liu, Binguo Yan, and et al. 2022. "Association between Long-Term Changes in Dietary Percentage of Energy from Fat and Obesity: Evidence from over 20 Years of Longitudinal Data" Nutrients 14, no. 16: 3373. https://doi.org/10.3390/nu14163373
APA StyleWu, C., Mi, B., Luo, W., Chen, B., Ma, J., Huang, H., Zhang, Q., Wang, Y., Liu, H., Yan, B., Chen, F., Pei, L., Liu, R., Qin, X., Wang, D., Yan, H., & Zhao, Y. (2022). Association between Long-Term Changes in Dietary Percentage of Energy from Fat and Obesity: Evidence from over 20 Years of Longitudinal Data. Nutrients, 14(16), 3373. https://doi.org/10.3390/nu14163373

