Effect of a Weight Loss and Lifestyle Intervention on Dietary Behavior in Men with Obstructive Sleep Apnea: The INTERAPNEA Trial
Abstract
:1. Introduction
2. Materials and Methods
2.1. Study Design
2.2. Participants
2.3. Interventions
2.4. Assessments
2.5. Statistical Analysis
3. Results
3.1. Participants’ Characteristics
3.2. Changes in Dietary Behavior
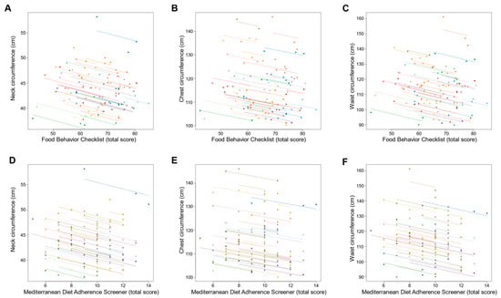
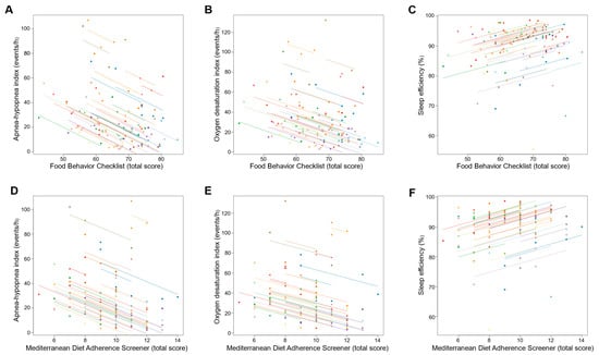
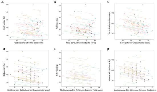
3.3. Association of Changes in Dietary Behavior over Time with Changes in Sleep and Body Weight and Composition Outcomes
4. Discussion
5. Conclusions
Supplementary Materials
Author Contributions
Funding
Institutional Review Board Statement
Informed Consent Statement
Data Availability Statement
Acknowledgments
Conflicts of Interest
References
- Benjafield, A.V.; Ayas, N.T.; Eastwood, P.R.; Heinzer, R.; Ip, M.S.M.; Morrell, M.J.; Nunez, C.M.; Patel, S.R.; Penzel, T.; Pépin, J.L.; et al. Estimation of the global prevalence and burden of obstructive sleep apnoea: A literature-based analysis. Lancet Respir. Med. 2019, 7, 687–698. [Google Scholar] [CrossRef] [Green Version]
- Carneiro-Barrera, A.; Amaro-Gahete, F.J.; Sáez-Roca, G.; Martín-Carrasco, C.; Ruiz, J.R.; Buela-Casal, G. Anxiety and depression in patients with obstructive sleep apnoea before and after continuous positive airway pressure: The ADIPOSA study. J. Clin. Med. 2019, 8, 2099. [Google Scholar] [CrossRef] [Green Version]
- Almendros, I.; Martinez-Garcia, M.A.; Farré, R.; Gozal, D. Obesity, sleep apnea, and cancer. Int. J. Obes. 2020, 44, 1653–1667. [Google Scholar] [CrossRef]
- Yeghiazarians, Y.; Jneid, H.; Tietjens, J.R.; Redline, S.; Brown, D.L.; El-Sherif, N.; Mehra, R.; Bozkurt, B.; Ndumele, C.E.; Somers, V.K. Obstructive Sleep Apnea and Cardiovascular Disease: A Scientific Statement From the American Heart Association. Circulation 2021, 144, e56–e67. [Google Scholar] [CrossRef]
- Urbanik, D.; Gać, P.; Martynowicz, H.; Podgórski, M.; Poręba, M.; Mazur, G.; Poręba, R. Obstructive Sleep Apnea as a Predictor of Arrhythmias in 24-h ECG Holter Monitoring. Brain Sci. 2021, 11, 486. [Google Scholar] [CrossRef]
- Bittencourt, L.; Javaheri, S.; Servantes, D.M.; Kravchychyn, A.C.P.; Almeida, D.R.; Tufik, S. In patients with heart failure, enhanced ventilatory response to exercise is associated with severe obstructive sleep apnea. J. Clin. Sleep Med. 2021, 17, 1875–1880. [Google Scholar] [CrossRef]
- Michalek-Zrabkowska, M.; Macek, P.; Martynowicz, H.; Gac, P.; Mazur, G.; Grzeda, M.; Poreba, R. Obstructive Sleep Apnea as a Risk Factor of Insulin Resistance in Nondiabetic Adults. Life 2021, 11, 50. [Google Scholar] [CrossRef]
- Sanderson, J.E.; Fang, F.; Lu, M.; Ma, C.Y.; Wei, Y.X. Obstructive sleep apnoea, intermittent hypoxia and heart failure with a preserved ejection fraction. Heart 2021, 107, 190–194. [Google Scholar] [CrossRef]
- Urbanik, D.; Gać, P.; Martynowicz, H.; Poręba, M.; Podgórski, M.; Negrusz-Kawecka, M.; Mazur, G.; Sobieszczańska, M.; Poręba, R. Obstructive sleep apnea as a predictor of reduced heart rate variability. Sleep Med. 2019, 54, 8–15. [Google Scholar] [CrossRef]
- Gać, P.; Urbanik, D.; Macek, P.; Martynowicz, H.; Mazur, G.; Poręba, R. Coexistence of cardiovascular risk factors and obstructive sleep apnoea in polysomnography. Respir. Physiol. Neurobiol. 2022, 295, 103782. [Google Scholar] [CrossRef]
- Basner, R.C. Continuous positive airway pressure for obstructive sleep apnea. N. Eng. J. Med. 2007, 356, 1751–1758. [Google Scholar] [CrossRef]
- Rotenberg, B.W.; Murariu, D.; Pang, K.P. Trends in CPAP adherence over twenty years of data collection: A flattened curve. J. Otolaryngol. Head Neck Surg. 2016, 45, 43. [Google Scholar] [CrossRef] [Green Version]
- Barbé, F.; Durán-Cantolla, J.; Sánchez-de-la-Torre, M.; Martínez-Alonso, M.; Carmona, C.; Barceló, A.; Chiner, E.; Masa, J.F.; Gonzalez, M.; Marín, J.M.; et al. Effect of continuous positive airway pressure on the incidence of hypertension and cardiovascular events in nonsleepy patients with obstructive sleep apnea: A randomized controlled trial. JAMA 2012, 307, 2161–2168. [Google Scholar] [CrossRef] [Green Version]
- McEvoy, R.D.; Antic, N.A.; Heeley, E.; Luo, Y.; Ou, Q.; Zhang, X.; Mediano, O.; Chen, R.; Drager, L.F.; Liu, Z.; et al. CPAP for prevention of cardiovascular events in obstructive sleep apnea. N. Engl. J. Med. 2016, 375, 919–931. [Google Scholar] [CrossRef]
- Sánchez-de-la-Torre, M.; Sánchez-de-la-Torre, A.; Bertran, S.; Abad, J.; Duran-Cantolla, J.; Cabriada, V.; Mediano, O.; Masdeu, M.J.; Alonso, M.L.; Masa, J.F.; et al. Effect of obstructive sleep apnoea and its treatment with continuous positive airway pressure on the prevalence of cardiovascular events in patients with acute coronary syndrome (ISAACC study): A randomised controlled trial. Lancet Respir. Med. 2020, 8, 359–367. [Google Scholar] [CrossRef]
- Ong, C.W.; O’Driscoll, D.M.; Truby, H.; Naughton, M.T.; Hamilton, G.S. The reciprocal interaction between obesity and obstructive sleep apnoea. Sleep Med. Rev. 2013, 17, 123–131. [Google Scholar] [CrossRef]
- Epstein, L.J.; Kristo, D.; Strollo, P.J.; Friedman, N.; Malhotra, A.; Patil, S.P.; Ramar, K.; Rogers, R.; Schwab, R.J.; Weaver, E.M.; et al. Clinical guideline for the evaluation, management and long-term care of obstructive sleep apnea in adults. J. Clin. Sleep Med. 2009, 5, 263–276. [Google Scholar]
- Hudgel, D.W.; Patel, S.R.; Ahasic, A.M.; Bartlett, S.J.; Bessesen, D.H.; Coaker, M.A.; Fiander, P.M.; Grunstein, R.R.; Gurubhagavatula, I.; Kapur, V.K.; et al. The role of weight management in the treatment of adult obstructive sleep apnea: An official American Thoracic Society clinical practice guideline. Am. J. Respir. Crit. Care Med. 2018, 198, e70–e87. [Google Scholar] [CrossRef]
- Carneiro-Barrera, A.; Díaz-Román, A.; Guillén-Riquelme, A.; Buela-Casal, G. Weight loss and lifestyle interventions for obstructive sleep apnoea in adults: Systematic review and meta-analysis. Obes. Rev. 2019, 20, 750–762. [Google Scholar] [CrossRef]
- Carneiro-Barrera, A.; Amaro-Gahete, F.J.; Guillén-Riquelme, A.; Jurado-Fasoli, L.; Sáez-Roca, G.; Martín-Carrasco, C.; Buela-Casal, G.; Ruiz, J.R. Effect of an interdisciplinary weight loss and lifestyle intervention on obstructive sleep apnea severity: The INTERAPNEA randomized clinical trial. JAMA Netw. Open 2022, 5, e228212. [Google Scholar] [CrossRef]
- Foster, G.D.; Borradaile, K.E.; Sanders, M.H.; Millman, R.; Zammit, G.; Newman, A.B.; Wadden, T.A.; Kelley, D.; Wing, R.R.; Pi-Sunyer, F.X.; et al. A randomized study on the effect of weight loss on obstructive sleep apnea among obese patients with type 2 diabetes: The Sleep AHEAD study. Arch. Intern. Med. 2009, 169, 1619–1626. [Google Scholar] [CrossRef] [Green Version]
- Johansson, K.; Neovius, M.; Lagerros, Y.T.; Harlid, R.; Rossner, S.; Granath, F.; Hemmingsson, E. Effect of a very low energy diet on moderate and severe obstructive sleep apnoea in obese men: A randomised controlled trial. BMJ 2009, 339, b4609. [Google Scholar] [CrossRef] [Green Version]
- Georgoulis, M.; Yiannakouris, N.; Kechribari, I.; Lamprou, K.; Perraki, E.; Vagiakis, E.; Kontogianni, M.D. The effectiveness of a weight-loss Mediterranean diet/lifestyle intervention in the management of obstructive sleep apnea: Results of the “MIMOSA” randomized clinical trial. Clin. Nutr. 2021, 40, 850–859. [Google Scholar] [CrossRef]
- Georgoulis, M.; Yiannakouris, N.; Tenta, R.; Fragopoulou, E.; Kechribari, I.; Lamprou, K.; Perraki, E.; Vagiakis, E.; Kontogianni, M.D. A weight-loss Mediterranean diet/lifestyle intervention ameliorates inflammation and oxidative stress in patients with obstructive sleep apnea: Results of the “MIMOSA” randomized clinical trial. Eur. J. Nutr. 2021, 60, 3799–3810. [Google Scholar] [CrossRef]
- Araghi, M.H.; Chen, Y.F.; Jagielski, A.; Choudhury, S.; Banerjee, D.; Hussain, S.; Thomas, G.N.; Taheri, S. Effectiveness of lifestyle interventions on obstructive sleep apnea (OSA): Systematic review and meta-analysis. Sleep 2013, 36, 1553–1562E. [Google Scholar] [CrossRef]
- Dobrosielski, D.A.; Papandreou, C.; Patil, S.P.; Salas-Salvadó, J. Diet and exercise in the management of obstructive sleep apnoea and cardiovascular disease risk. Eur. Respir. Rev. 2017, 26, 160110. [Google Scholar] [CrossRef]
- Després, J.P.; Poirier, P. Diabetes: Looking back at Look AHEAD--giving lifestyle a chance. Nat. Rev. Cardiol. 2013, 10, 184–186. [Google Scholar] [CrossRef]
- Papandreou, C.; Schiza, S.E.; Bouloukaki, I.; Hatzis, C.M.; Kafatos, A.G.; Siafakas, N.M.; Tzanakis, N.E. Effect of Mediterranean diet versus prudent diet combined with physical activity on OSAS: A randomised trial. Eur. Respir. J. 2012, 39, 1398–1404. [Google Scholar] [CrossRef] [Green Version]
- Patnode, C.D.; Evans, C.V.; Senger, C.A.; Redmond, N.; Lin, J.S. Behavioral Counseling to Promote a Healthful Diet and Physical Activity for Cardiovascular Disease Prevention in Adults without Known Cardiovascular Disease Risk Factors: Updated Systematic Review for the U.S. Preventive Services Task Force; Agency for Healthcare Research and Quality (US): Rockville, MD, USA, 2017.
- Lin, J.S.; O’Connor, E.; Evans, C.V.; Senger, C.A.; Rowland, M.G.; Groom, H.C. Behavioral counseling to promote a healthy lifestyle in persons with cardiovascular risk factors: A systematic review for the U.S. Prev. Serv. Task Force. Ann. Intern. Med. 2014, 161, 568–578. [Google Scholar]
- Lin, J.S.; O’Connor, E.A.; Evans, C.V.; Senger, C.A.; Rowland, M.G.; Groom, H.C. Behavioral Counseling to Promote a Healthy Lifestyle for Cardiovascular Disease Prevention in Persons with Cardiovascular Risk Factors: An Updated Systematic Evidence Review for the U.S. Preventive Services Task; Force Evidence Report No. 113. AHRQ Publication No. 13-05179-EF-1; Agency for Healthcare Research and Quality: Rockville, MD, USA, 2014.
- Raynor, H.A.; Anderson, A.M.; Miller, G.D.; Reeves, R.; Delahanty, L.M.; Vitolins, M.Z.; Harper, P.; Mobley, C.; Konersman, K.; Mayer-Davis, E.; et al. Partial Meal Replacement Plan and Quality of the Diet at 1 Year: Action for Health in Diabetes (Look AHEAD) Trial. J. Acad. Nutr. Diet 2015, 115, 731–742. [Google Scholar] [CrossRef] [Green Version]
- Das, S.K.; Bukhari, A.S.; Taetzsch, A.G.; Ernst, A.K.; Rogers, G.T.; Gilhooly, C.H.; Hatch-McChesney, A.; Blanchard, C.M.; Livingston, K.A.; Silver, R.E.; et al. Randomized trial of a novel lifestyle intervention compared with the Diabetes Prevention Program for weight loss in adult dependents of military service members [published correction appears in Am. J. Clin. Nutr. 2021 Oct 4; 114, 1574]. Am. J. Clin. Nutr. 2021, 114, 1546–1559. [Google Scholar] [CrossRef] [PubMed]
- Beatty, C.J.; Landry, S.A.; Lee, J.; Joosten, S.A.; Turton, A.; O’Driscoll, D.M.; Wong, A.-M.; Thomson, L.; Edwards, B.A.; Hamilton, G.S. Dietary intake, eating behavior and physical activity in individuals with and without obstructive sleep apnea. Sleep Biol. Rhythms. 2021, 19, 85–92. [Google Scholar] [CrossRef]
- Reid, M.; Maras, J.E.; Shea, S.; Wood, A.C.; Castro-Diehl, C.; Johnson, D.A.; Huang, T.; Jacobs, D.R., Jr.; Crawford, A.; St-Onge, M.P.; et al. Association between diet quality and sleep apnea in the Multi-Ethnic Study of Atherosclerosis. Sleep 2019, 42, zsy194. [Google Scholar] [CrossRef] [PubMed]
- Vasquez, M.M.; Goodwin, J.L.; Drescher, A.A.; Smith, T.W.; Quan, S.F. Associations of dietary intake and physical activity with sleep disordered breathing in the Apnea Positive Pressure Long-Term Efficacy Study (APPLES). J. Clin. Sleep Med. 2008, 4, 411–418. [Google Scholar] [CrossRef] [Green Version]
- Carneiro-Barrera, A.; Amaro-Gahete, F.J.; Díaz-Román, A.; Guillén-Riquelme, A.; Jurado-Fasoli, L.; Sáez-Roca, G.; Martín-Carrasco, C.; Ruiz, J.R.; Buela-Casal, G. Interdisciplinary weight loss and lifestyle intervention for obstructive sleep apnoea in adults: Rationale, design and methodology of the INTERAPNEA study. Nutrients 2019, 11, 2227. [Google Scholar] [CrossRef] [Green Version]
- Basoglu, O.K.; Tasbakan, M.S. Gender differences in clinical and polysomnographic features of obstructive sleep apnea: A clinical study of 2827 patients. Sleep Breath 2018, 22, 241–249. [Google Scholar] [CrossRef]
- Robertson, C.; Avenell, A.; Boachie, C.; Stewart, F.; Archibald, D.; Douglas, F.; Hoddinott, P.; van Teijlingen, E.; Boyers, D. Should weight loss and maintenance programmes be designed differently for men? A systematic review of long-term randomised controlled trials presenting data for men and women: The ROMEO project. Obes. Res. Clin. Pract. 2016, 10, 70–84. [Google Scholar] [CrossRef]
- Williams, R.L.; Wood, L.G.; Collins, C.E.; Callister, R. Effectiveness of weight loss interventions—Is there a dif-ference between men and women: A systematic review. Obes. Rev. 2015, 16, 171–186. [Google Scholar] [CrossRef]
- Harreiter, J.; Kautzky-Willer, A. Sex and gender differences in prevention of type 2 diabetes. Front. Endocrinol. 2018, 9, 220. [Google Scholar] [CrossRef] [Green Version]
- Bischoff, S.C.; Boirie, Y.; Cederholm, T.; Chourdakis, M.; Cuerda, C.; Delzenne, N.M.; Deutz, N.E.; Fouque, D.; Genton, L.; Gil, C.; et al. Towards a multidisciplinary approach to understand and manage obesity and related diseases. Clin. Nutr. 2017, 36, 917–938. [Google Scholar] [CrossRef] [Green Version]
- Heymsfield, S.B.; Wadden, T.A. Mechanisms, pathophysiology, and management of obesity. N. Engl. J. Med. 2017, 376, 254–266. [Google Scholar] [CrossRef] [PubMed]
- Prochaska, J.O.; Velicer, W.F. The transtheoretical model of health behavior change. Am. J. Health Promot. 1997, 12, 38–48. [Google Scholar] [CrossRef] [PubMed]
- Banna, J.C.; Townsend, M.S. Assessing factorial and convergent validity and reliability of a food behaviour checklist for Spanish-speaking participants in US Department of Agriculture nutrition education programmes. Public Health Nutr. 2011, 14, 1165–1176. [Google Scholar] [CrossRef] [PubMed] [Green Version]
- Schröder, H.; Fitó, M.; Estruch, R.; Martínez-González, M.A.; Corella, D.; Salas-Salvadó, J.; Lamuela-Raventós, R.; Ros, E.; Salaverría, I.; Fiol, M.; et al. A short screener is valid for assessing Mediterranean diet adherence among older Spanish men and women. J. Nutr. 2011, 141, 1140–1145. [Google Scholar] [CrossRef] [PubMed] [Green Version]
- Bates, D.; Maechler, M.; Bolker, B.M.; Walker, S.C. Fitting linear mixed-effects models using lme4. J. Stat. Softw. 2015, 67, 1–48. [Google Scholar] [CrossRef]
- Bakdash, J.Z.; Marusich, L.R. Repeated Measures Correlation. Front. Psychol. 2017, 8, 456. [Google Scholar] [CrossRef] [Green Version]
- Look AHEAD Research Group. Look AHEAD (Action for Health in Diabetes): Design and methods for a clinical trial of weight loss for the prevention of cardiovascular disease in type 2 diabetes. Con. Clin. Trials. 2003, 24, 610–628. [Google Scholar] [CrossRef]
- Guyenet, S.J.; Schwartz, M.W. Clinical review: Regulation of food intake, energy balance, and body fat mass: Implications for the pathogenesis and treatment of obesity. J. Clin. Endocrinol. Metab. 2012, 97, 745–755. [Google Scholar] [CrossRef] [Green Version]
- Estruch, R.; Martínez-González, M.A.; Corella, D.; Salas-Salvadó, J.; Fitó, M.; Chiva-Blanch, G.; Fiol, M.; Gómez-Gracia, E.; Arós, F.; Lapetra, J.; et al. Effect of a high-fat Mediterranean diet on bodyweight and waist circumference: A prespecified secondary outcomes analysis of the PREDIMED randomised controlled trial. Lancet Diabetes Endocrinol. 2016, 4, 666–676. [Google Scholar] [CrossRef]





| No. (%) a | ||
|---|---|---|
| Characteristics b | Control (n = 49) | Intervention (n = 40) |
| Age, mean (SD), y | 55.3 (8.5) | 52.6 (7.1) |
| Sex, % Men | 49 (100) | 40 (100) |
| Educational level | ||
| Primary Education | 13 (26.5) | 10 (25.0) |
| Secondary Education | 10 (20.4) | 6 (15.0) |
| Vocational Education | 13 (26.5) | 17 (42.5) |
| Higher Education | 13 (26.5) | 7 (17.5) |
| Marital status | ||
| Single | 7 (14.3) | 2 (5.0) |
| Married | 34 (69.4) | 34 (85.0) |
| Divorced | 8 (16.3) | 4 (10.0) |
| Occupational status | ||
| Employed | 27 (55.1) | 21 (52.5) |
| Self-employed | 8 (16.3) | 12 (30.0) |
| Unemployed | 4 (8.2) | 5 (12.5) |
| Retired | 10 (20.4) | 2 (5.0) |
| Medical Conditions c | ||
| Hypertension | 33 (67.4) | 27 (67.5) |
| Diabetes Mellitus II | 12 (24.5) | 10 (25.0) |
| Cardiovascular disease | 9 (18.4) | 7 (17.5) |
| Other medical conditions | 29 (59.2) | 26 (65.0) |
| Medication c | ||
| Antihypertensive | 31 (63.3) | 24 (60.0) |
| Statins | 15 (30.6) | 7 (17.5) |
| Oral antidiabetic | 5 (10.2) | 2 (5.0) |
| Insulin | 3 (6.1) | 1 (2.5) |
| Beta-blockers | 7 (14.3) | 5 (12.5) |
| Polymedication d | 14 (28.6) | 6 (15.0) |
| Body mass index, mean (SD), kg/m2 | 33.9 (4.8) | 35.0 (6.0) |
| Body weight, mean (SD), kg | 99.6 (18.3) | 103.3 (17.5) |
| Fat mass, mean (SD), kg | 33.8 (9.0) | 34.9 (10.6) |
| Visceral adipose tissue, mean (SD), g | 1049.2 (260.3) | 1017.3 (285.2) |
| Neck circumference, mean (SD), cm | 45.5 (3.9) | 45.0 (3.8) |
| Chest circumference, mean (SD), cm | 117.4 (9.9) | 118.0 (10.3) |
| Waist circumference, mean (SD), cm | 117.9 (12.2) | 119.0 (12.4) |
| Apnea-hypopnea index, mean (SD), events/h | 41.1 (21.3) | 41.6 (23.5) |
| Obstructive sleep apnea severity | ||
| Moderate | 20 (40.8) | 15 (37.5) |
| Severe | 29 (59.2) | 25 (62.5) |
| Oxygen desaturation index, mean (SD), events/h | 45.4 (21.1) | 45.4 (27.7) |
| Sleep efficiency, mean (SD), % | 85.6 (8.1) | 86.0 (9.1) |
| Outcomes | Control (n = 49) | Intervention (n = 40) | Difference between Groups, Mean (95% CI) a | ||
|---|---|---|---|---|---|
| Mean (95% CI) | Change from Baseline, Mean (95% CI) | Mean (95% CI) | Change from Baseline, Mean (95% CI) | ||
| Food Behavior Checklist, total score d | |||||
| At baseline | 59.1 (56.8 to 61.4) | 59.5 (56.9 to 62.0) | |||
| At 8 weeks | 62.4 (59.9 to 64.9) | 3.3 (0.6 to 5.9) | 71.5 (68.9 to 74.0) | 12.0 (9.5 to 14.5) | 8.7 (5.7 to 11.7) c |
| At 6 months | 60.6 (57.9 to 63.4) | 1.5 (−1.4 to 4.4) | 68.6 (66.0 to 71.3) | 9.2 (6.5 to 11.9) | 7.7 (4.4 to 10.9) c |
| Fruit and vegetables consumption score | |||||
| At baseline | 21.5 (20.0 to 22.9) | 22.6 (21.0 to 24.2) | |||
| At 8 weeks | 23.1 (21.5 to 24.7) | 1.6 (−0.2 to 3.4) | 29.5 (27.9 to 31.1) | 6.9 (5.2 to 8.6) | 5.2 (3.2 to 7.3) c |
| At 6 months | 22.4 (20.7 to 24.2) | 0.9 (−1.0 to 2.9) | 27.5 (25.8 to 29.1) | 4.9 (3.0 to 6.7) | 3.9 (1.7 to 6.1) c |
| Milk/dairy consumption score | |||||
| At baseline | 6.0 (5.5 to 6.4) | 5.8 (5.3 to 6.3) | |||
| At 8 weeks | 5.6 (5.1 to 6.2) | −0.3 (−0.9 to 0.2) | 5.7 (5.2 to 6.2) | −0.1 (−0.6 to 0.4) | 0.2 (−0.4 to 0.8) |
| At 6 months | 5.9 (5.3 to 6.4) | −0.1 (−0.7 to 0.5) | 5.4 (4.9 to 6.0) | −0.4 (−0.9 to 0.2) | −0.3 (−1.0 to 0.4) |
| Food security score | |||||
| At baseline | 3.1 (2.9 to 3.4) | 3.1 (2.8 to 3.3) | |||
| At 8 weeks | 3.3 (3.0 to 3.5) | 0.1 (−0.2 to 0.4) | 3.1 (2.8 to 3.4) | 0.1 (−0.2 to 0.4) | −0.1 (−0.4 to 0.3) |
| At 6 months | 3.2 (3.0 to 3.5) | 0.1 (−0.2 to 0.4) | 3.2 (2.9 to 3.5) | 0.2 (−0.2 to 0.5) | 0.1 (−0.3 to 0.5) |
| Diet quality score | |||||
| At baseline | 9.9 (9.3 to 10.5) | 9.7 (9.0 to 10.4) | |||
| At 8 weeks | 10.5 (9.9 to 11.2) | 0.7 (−0.1 to 1.4) | 12.2 (11.5 to 12.8) | 2.5 (1.8 to 3.2) | 1.8 (1.0 to 2.6) c |
| At 6 months | 10.3 (9.5 to 11.0) | 0.4 (−0.4 to 1.2) | 11.8 (11.1 to 12.5) | 2.1 (1.4 to 2.9) | 1.7 (0.8 to 2.6) c |
| Fast food consumption score | |||||
| At baseline | 7.4 (7.0 to 7.9) | 7.2 (6.7 to 7.7) | |||
| At 8 weeks | 8.2 (7.6 to 8.8) | 0.8 (−0.1 to 1.6) | 8.6 (8.1 to 9.1) | 1.4 (0.6 to 2.2) | 0.6 (−0.3 to 1.6) |
| At 6 months | 7.7 (7.1 to 8.4) | 0.3 (−0.6 to 1.2) | 8.3 (7.8 to 8.9) | 1.1 (0.3 to 2.0) | 0.8 (−0.2 to 1.9) |
| Sweetened beverages consumption score | |||||
| At baseline | 6.7 (6.5 to 7.0) | 6.6 (6.3 to 6.9) | |||
| At 8 weeks | 7.1 (6.8 to 7.4) | 0.3 (−0.1 to 0.7) | 7.5 (7.2 to 7.8) | 0.9 (0.5 to 1.3) | 0.5 (0.1 to 1.0) b |
| At 6 months | 6.9 (6.5 to 7.2) | 0.1 (−0.3 to 0.6) | 7.4 (7.1 to 7.7) | 0.7 (0.3 to 1.1) | 0.6 (0.1 to 1.1) b |
| Meat consumption score | |||||
| At baseline | 1.9 (1.6 to 2.1) | 1.9 (1.6 to 2.2) | |||
| At 8 weeks | 2.1 (1.8 to 2.5) | 0.3 (−0.2 to 0.8) | 2.3 (2.0 to 2.6) | 0.4 (−0.1 to 0.9) | 0.1 (−0.5 to 0.7) |
| At 6 months | 2.0 (1.7 to 2.4) | 0.2 (−0.4 to 0.7) | 2.5 (2.1 to 2.8) | 0.6 (0.1 to 1.1) | 0.4 (−0.2 to 1.0) |
| Mediterranean Diet Adherence Screener, total score e | |||||
| At baseline | 8.2 (7.7 to 8.7) | 8.1 (7.6 to 8.6) | |||
| At 8 weeks | 8.8 (8.2 to 9.4) | 0.6 (−0.1 to 1.3) | 10.7 (10.2 to 11.3) | 2.7 (1.9 to 3.3) | 2.1 (1.3 to 2.9) c |
| At 6 months | 8.5 (7.9 to 9.1) | 0.3 (−0.5 to 1.1) | 10.1 (9.6 to 10.7) | 2.0 (1.3 to 2.8) | 1.7 (0.9 to 2.6) c |
| Outcomes | Food Behavior Checklist, Total Score a | Mediterranean Diet Adherence Screener, Total Score b | ||||
|---|---|---|---|---|---|---|
| r | 95% CI | p Value | r | 95% CI | p Value | |
| Changes at 8 weeks and 6 months after intervention | ||||||
| Apnea-hypopnea index, events/h | −0.71 | −0.81 to −0.58 | < 0.001 | −0.66 | −0.77 to −0.51 | <0.001 |
| Oxygen desaturation index ≥ 3%, events/h | −0.58 | −0.71 to −0.40 | <0.001 | −0.51 | −0.66 to −0.31 | <0.001 |
| Sleep efficiency, % | 0.36 | 0.15 to 0.55 | 0.001 | 0.43 | 0.22 to 0.60 | <0.001 |
| Body weight, kg | −0.65 | −0.77 to −0.49 | <0.001 | −0.65 | −0.76 to −0.49 | <0.001 |
| Fat mass, kg | −0.44 | −0.61 to −0.23 | <0.001 | −0.47 | −0.63 to −0.27 | <0.001 |
| Visceral adipose tissue, g | −0.42 | −0.59 to −0.21 | <0.001 | −0.40 | −0.58 to −0.19 | <0.001 |
| Neck circumference, cm | −0.64 | −0.76 to −0.48 | <0.001 | −0.67 | −0.78 to −0.52 | <0.001 |
| Chest circumference, cm | −0.53 | −0.67 to −0.34 | <0.001 | −0.54 | −0.69 to −0.36 | <0.001 |
| Waist circumference, cm | −0.65 | −0.76 to −0.49 | <0.001 | −0.65 | −0.77 to −0.50 | <0.001 |
| Changes from baseline to 8 weeks | ||||||
| Apnea-hypopnea index, events/h | −0.79 | −0.88 to −0.63 | <0.001 | −0.79 | −0.88 to −0.63 | <0.001 |
| Oxygen desaturation index ≥ 3%, events/h | −0.66 | −0.81 to −0.43 | <0.001 | −0.63 | −0.79 to −0.39 | <0.001 |
| Sleep efficiency, % | 0.50 | 0.22 to 0.70 | <0.001 | 0.49 | −0.20 to 0.70 | 0.001 |
| Body weight, kg | −0.79 | −0.89 to −0.63 | <0.001 | −0.78 | −0.88 to −0.62 | <0.001 |
| Fat mass, kg | −0.50 | −0.71 to −0.22 | <0.001 | −0.52 | −0.72 to −0.24 | <0.001 |
| Visceral adipose tissue, g | −0.47 | −0.68 to −0.18 | 0.002 | −0.44 | −0.66 to −0.14 | 0.004 |
| Neck circumference, cm | −0.74 | −0.86 to −0.56 | <0.001 | −0.78 | −0.88 to −0.61 | <0.001 |
| Chest circumference, cm | −0.64 | −0.79 to −0.40 | <0.001 | −0.63 | −0.79 to −0.39 | <0.001 |
| Waist circumference, cm | −0.75 | −0.86 to −0.57 | <0.001 | −0.76 | −0.87 to −0.59 | <0.001 |
| Changes from baseline to 6 months after intervention | ||||||
| Apnea-hypopnea index, events/h | −0.78 | −0.89 to −0.60 | <0.001 | −0.67 | −0.82 to −0.42 | <0.001 |
| Oxygen desaturation index ≥ 3%, events/h | −0.73 | −0.86 to −0.52 | <0.001 | −0.58 | −0.77 to −0.30 | <0.001 |
| Sleep efficiency, % | 0.38 | 0.05 to 0.64 | 0.02 | 0.49 | 0.18 to 0.71 | 0.003 |
| Body weight, kg | −0.70 | −0.84 to −0.46 | <0.001 | −0.68 | −0.83 to −0.44 | <0.001 |
| Fat mass, kg | −0.72 | −0.85 to −0.50 | <0.001 | −0.69 | −0.83 to −0.45 | <0.001 |
| Visceral adipose tissue, g | −0.73 | −0.86 to −0.51 | <0.001 | −0.69 | −0.83 to −0.45 | <0.001 |
| Neck circumference, cm | −0.70 | −0.84 to −0.48 | <0.001 | −0.72 | −0.85 to −0.49 | <0.001 |
| Chest circumference, cm | −0.54 | −0.75 to −0.25 | <0.001 | −0.57 | −0.77 to −0.29 | <0.001 |
| Waist circumference, cm | −0.74 | −0.86 to −0.52 | <0.001 | −0.71 | −0.85 to −0.49 | <0.001 |
Publisher’s Note: MDPI stays neutral with regard to jurisdictional claims in published maps and institutional affiliations. |
© 2022 by the authors. Licensee MDPI, Basel, Switzerland. This article is an open access article distributed under the terms and conditions of the Creative Commons Attribution (CC BY) license (https://creativecommons.org/licenses/by/4.0/).
Share and Cite
Carneiro-Barrera, A.; Amaro-Gahete, F.J.; Jurado-Fasoli, L.; Sáez-Roca, G.; Martín-Carrasco, C.; Tinahones, F.J.; Ruiz, J.R. Effect of a Weight Loss and Lifestyle Intervention on Dietary Behavior in Men with Obstructive Sleep Apnea: The INTERAPNEA Trial. Nutrients 2022, 14, 2731. https://doi.org/10.3390/nu14132731
Carneiro-Barrera A, Amaro-Gahete FJ, Jurado-Fasoli L, Sáez-Roca G, Martín-Carrasco C, Tinahones FJ, Ruiz JR. Effect of a Weight Loss and Lifestyle Intervention on Dietary Behavior in Men with Obstructive Sleep Apnea: The INTERAPNEA Trial. Nutrients. 2022; 14(13):2731. https://doi.org/10.3390/nu14132731
Chicago/Turabian StyleCarneiro-Barrera, Almudena, Francisco J. Amaro-Gahete, Lucas Jurado-Fasoli, Germán Sáez-Roca, Carlos Martín-Carrasco, Francisco J. Tinahones, and Jonatan R. Ruiz. 2022. "Effect of a Weight Loss and Lifestyle Intervention on Dietary Behavior in Men with Obstructive Sleep Apnea: The INTERAPNEA Trial" Nutrients 14, no. 13: 2731. https://doi.org/10.3390/nu14132731
APA StyleCarneiro-Barrera, A., Amaro-Gahete, F. J., Jurado-Fasoli, L., Sáez-Roca, G., Martín-Carrasco, C., Tinahones, F. J., & Ruiz, J. R. (2022). Effect of a Weight Loss and Lifestyle Intervention on Dietary Behavior in Men with Obstructive Sleep Apnea: The INTERAPNEA Trial. Nutrients, 14(13), 2731. https://doi.org/10.3390/nu14132731

