Diet and Pediatric Functional Gastrointestinal Disorders in Mediterranean Countries
Abstract
:1. Introduction
2. Methods
2.1. Rome Questionnaires
2.2. Dietary Intake
2.3. Statistical Analysis
3. Results
3.1. FODMAP Intake
3.2. Macronutrients and Micronutrient Intake
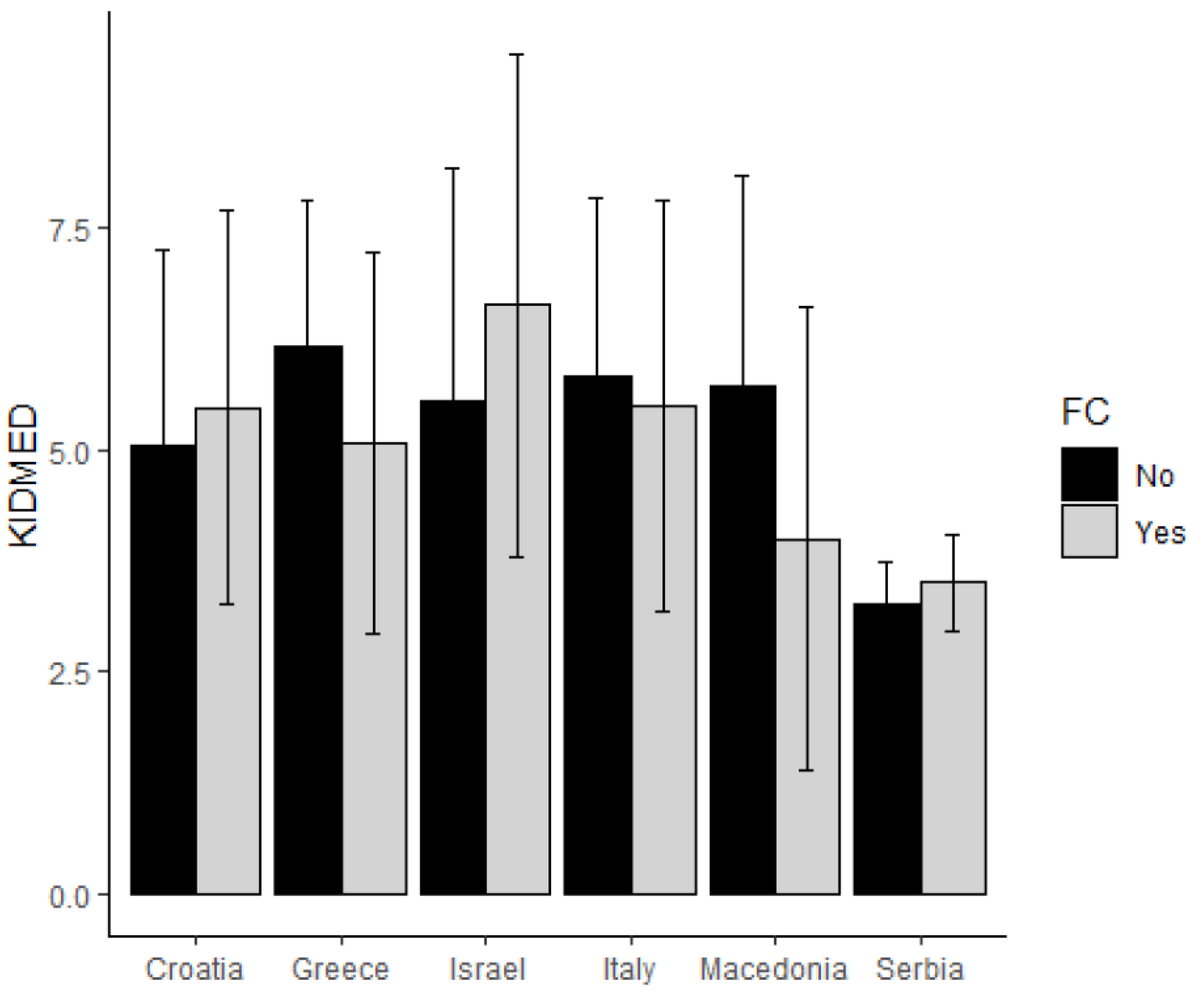
3.3. The Mediterranean Diet
4. Discussion
5. Conclusions
Supplementary Materials
Author Contributions
Funding
Institutional Review Board Statement
Informed Consent Statement
Data Availability Statement
Acknowledgments
Conflicts of Interest
Abbreviations
References
- Koppen, I.J.; Nurko, S.; Saps, M.; Di Lorenzo, C.; Benninga, M.A. The pediatric Rome IV criteria: What’s new? Expert Rev. Gastroenterol. Hepatol. 2017, 11, 193–201. [Google Scholar] [CrossRef] [Green Version]
- Schmulson, M.J.; Drossman, D.A. What Is New in Rome IV. J. Neurogastroenterol. Motil. 2017, 23, 151–163. [Google Scholar] [CrossRef] [PubMed]
- Korterink, J.; Devanarayana, N.M.; Rajindrajith, S.; Vlieger, A.; Benninga, M.A. Childhood functional abdominal pain: Mechanisms and management. Nat. Rev. Gastroenterol. Hepatol. 2015, 12, 159–171. [Google Scholar] [CrossRef] [PubMed]
- van Lanen, A.S.; de Bree, A.; Greyling, A. Correction to: Efficacy of a low-FODMAP diet in adult irritable bowel syndrome: A systematic review and meta-analysis. Eur. J. Nutr. 2021, 60, 3505–3522. [Google Scholar] [CrossRef] [PubMed]
- Staudacher, H.M.; Whelan, K. The low FODMAP diet: Recent advances in understanding its mechanisms and efficacy in IBS. Gut 2017, 66, 1517–1527. [Google Scholar] [CrossRef] [PubMed] [Green Version]
- Chumpitazi, B.P.; Cope, J.L.; Hollister, E.B.; Tsai, C.M.; McMeans, A.R.; Luna, R.A.; Versalovic, J.; Shulman, R.J. Randomised clinical trial: Gut microbiome biomarkers are associated with clinical response to a low FODMAP diet in children with the irritable bowel syndrome. Aliment. Pharmacol. Ther. 2015, 42, 418–427. [Google Scholar] [CrossRef] [PubMed]
- Halmos, E.P.; Power, V.A.; Shepherd, S.J.; Gibson, P.R.; Muir, J.G. A Diet Low in FODMAPs Reduces Symptoms of Irritable Bowel Syndrome. Gastroenterology 2014, 146, 67–75.e5. [Google Scholar] [CrossRef] [PubMed]
- Zito, F.P.; Polese, B.; Vozzella, L.; Gala, A.; Genovese, D.; Verlezza, V.; Medugno, F.; Santini, A.; Barrea, L.; Cargiolli, M.; et al. Good adherence to mediterranean diet can prevent gastrointestinal symptoms: A survey from Southern Italy. World J. Gastrointest. Pharmacol. Ther. 2016, 7, 564–571. [Google Scholar] [CrossRef] [Green Version]
- Vanuytsel, T.; Tack, J.; Boeckxstaens, G.E. Treatment of abdominal pain in irritable bowel syndrome. J. Gastroenterol. 2014, 49, 1193–1205. [Google Scholar] [CrossRef]
- Scarpato, E.; Kolacek, S.; Jojkic-Pavkov, D.; Konjik, V.; Živković, N.; Roman, E.; Kostovski, A.; Zdraveska, N.; Altamimi, E.; Papadopoulou, A.; et al. Prevalence of Functional Gastrointestinal Disorders in Children and Adolescents in the Mediterranean Region of Europe. Clin. Gastroenterol. Hepatol. 2018, 16, 870–876. [Google Scholar] [CrossRef] [Green Version]
- Strisciuglio, C.; Cenni, S.; Serra, M.R.; Dolce, P.; Kolacek, S.; Sila, S.; Trivic, I.; Lev, M.R.B.; Shamir, R.; Kostovski, A.; et al. Functional Gastrointestinal Disorders in Mediterranean Countries According to Rome IV Criteria. J. Pediatric Gastroenterol. Nutr. 2022, 74, 361–367. [Google Scholar] [CrossRef]
- Drossman, D.A. Functional Gastrointestinal Disorders: History, Pathophysiology, Clinical Features, and Rome IV. Gastroenterology 2016, 150, 1262–1279.e2. [Google Scholar] [CrossRef] [Green Version]
- Crawford, P.B.; Obarzanek, E.; Morrison, J.; Sabry, Z.I. Comparative advantage of 3-day food records over 24-hour recall and 5-day food frequency validated by observation of 9- and 10-year-old girls. J. Am. Diet. Assoc. 1994, 6, 626–630. [Google Scholar] [CrossRef]
- Italian Food Composition Tables, December 2019, Curated by the RCAE Research Centre for Food and Nutrition. Available online: https://www.alimentinutrizione.it (accessed on 1 August 2021).
- Souci, S.W.; Fachmann, W.; Kraut, H. Food Composition and Nutrition Tables; MedpharmGmbh Scientific Pub: Raton, NM, USA, 2008. [Google Scholar]
- Serra-Majem, L.; Ribas, L.; Ngo, J.; Ortega, R.M.; García, A.; Pérez-Rodrigo, C.; Aranceta, J. Food, youth and the Mediterranean diet in Spain. Development of KIDMED, Mediterranean Diet Quality Index in children and adolescents. Public Health Nutr. 2004, 7, 931–935. [Google Scholar] [CrossRef]
- Clopper CJP, E.S. The use of confidence or fiducial limits illustrated in the case of the binomial. Biometrika 1934, 26, 404–413. [Google Scholar] [CrossRef]
- Bates, D.; Mächler, M.; Bolker, B.; Walker, S. Fitting linear mixed-effects models using lme4. J. Stat. Softw. 2015, 67, 1–48. [Google Scholar] [CrossRef]
- Varjú, P.; Farkas, N.; Hegyi, P.; Garami, A.; Szabó, I.; Illés, A.; Solymár, M.; Vincze, A.; Balaskó, M.; Pár, G.; et al. Low fermentable oligosaccharides, disaccharides, monosaccharides and polyols (FODMAP) diet improves symptoms in adults suffering from irritable bowel syndrome (IBS) compared to standard IBS diet: A meta-analysis of clinical studies. PLoS ONE 2017, 12, e0182942. [Google Scholar] [CrossRef]
- Altobelli, E.; Del Negro, V.; Angeletti, P.M.; Latella, G. Low-FODMAP Diet Improves Irritable Bowel Syndrome Symptoms: A Meta-Analysis. Nutrients 2017, 9, 940. [Google Scholar] [CrossRef]
- Eswaran, S.L.; Chey, W.D.; Han-Markey, T.; Ball, S.; Jackson, K. A Randomized Controlled Trial Comparing the Low FODMAP Diet vs. Modified NICE Guidelines in US Adults with IBS-D. Am. J. Gastroenterol. 2016, 111, 1824–1832. [Google Scholar] [CrossRef]
- Rajilić-Stojanović, M.; Jonkers, D.M.; Salonen, A.; Hanevik, K.; Raes, J.; Jalanka, J.; De Vos, W.M.; Manichanh, C.; Golic, N.; Enck, P.; et al. Intestinal microbiota and diet in IBS: Causes, consequences, or epiphenomena? Am. J. Gastroenterol. 2015, 110, 278–287. [Google Scholar] [CrossRef] [Green Version]
- Infante, D.; Tormo, R. Risk of Inadequate Bone Mineralization in Diseases Involving Long-Term Suppression of Dairy Products. J. Pediatr. Gastroenterol. Nutr. 2000, 30, 310–313. [Google Scholar] [CrossRef]
- Abrams, S.A.; Griffin, I.J.; Davila, P.M. Calcium and zinc absorption from lactose-containing and lactose-free infant formulas. Am. J. Clin. Nutr. 2002, 76, 442–446. [Google Scholar] [CrossRef] [Green Version]
- Brown, S.C.; Whelan, K.; Gearry, R.B.; Day, A.S. Low FODMAP diet in children and adolescents with functional bowel disorder: A clinical case note review. JGH Open 2020, 4, 153–159. [Google Scholar] [CrossRef] [Green Version]
- Castro-Quezada, I.; Román-Viñas, B.; Serra-Majem, L. The Mediterranean Diet and Nutritional Adequacy: A Review. Nutrients 2014, 6, 231–248. [Google Scholar] [CrossRef] [Green Version]
- Lopez-Garcia, E.; Rodriguez-Artalejo, F.; Li, T.Y.; Fung, T.T.; Li, S.; Willett, W.C.; Rimm, E.B.; Hu, F.B. The Mediterranean-style dietary pattern and mortality among men and women with cardiovascular disease. Am. J. Clin. Nutr. 2013, 99, 172–180. [Google Scholar] [CrossRef] [PubMed] [Green Version]
- Reddavide, R.; Rotolo, O.; Caruso, M.G.; Stasi, E.; Notarnicola, M.; Miraglia, C.; Nouvenne, A.; Meschi, T.; Angelis, G.L.D.; Di Mario, F.; et al. The role of diet in the prevention and treatment of Inflammatory Bowel Diseases. Acta Biomed. 2018, 89, 60–75. [Google Scholar] [CrossRef]
- Agakidis, C.; Kotzakioulafi, E.; Petridis, D.; Apostolidou, K.; Karagiozoglou-Lampoudi, T. Mediterranean Diet Adherence is Associated with Lower Prevalence of Functional Gastrointestinal Disorders in Children and Adolescents. Nutrients 2019, 11, 1283. [Google Scholar] [CrossRef] [Green Version]
- Antonogeorgos, G.; Panagiotakos, D.B.; Grigoropoulou, D.; Papadimitriou, A.; Anthracopoulos, M.; Nicolaidou, P.; Priftis, K.N. The mediating effect of parents’ educational status on the association between adherence to the Mediterranean diet and childhood obesity: The PANACEA study. Int. J. Public Health. 2013, 58, 401–408. [Google Scholar] [CrossRef] [PubMed]
- Tognon, G.; Moreno, L.A.; Mouratidou, T.; Veidebaum, T.; Molnár, D.; Russo, P.; Siani, A.; Akhandaf, Y.; Krogh, V.; Tornaritis, M.; et al. Adherence to a Mediterranean-like dietary pattern in children from eight European countries. The IDEFICS study. Int. J. Obes. 2014, 38, S108–S114. [Google Scholar] [CrossRef] [Green Version]
- Santomauro, F.; Lorini, C.; Tanini, T.; Indiani, L.; Lastrucci, V.; Comodo, N.; Bonaccorsi, G. Adherence to Mediterranean diet in a sample of Tuscan adolescents. Nutrition 2014, 30, 1379–1383. [Google Scholar] [CrossRef] [PubMed]
- Cabrera, S.G.; Fernández, N.H.; Hernández, C.R.; Nissensohn, M.; Román-Viñas, B.; Serra-Majem, L. KIDMED test: Prevalence of low adherence to the Mediterranean Diet in children and young; A systematic review. Nutr. Hosp. 2015, 32, 2390–2399. [Google Scholar]
- De Filippis, F.; Pellegrini, N.; Vannini, L.; Jeffery, I.B.; La Storia, A.; Laghi, L.; Serrazanetti, D.I.; Di Cagno, R.; Ferrocino, I.; Lazzi, C.; et al. High-level adherence to a Mediterranean diet beneficially impacts the gut microbiota and associated metabolome. Gut 2016, 65, 1812–1821. [Google Scholar] [CrossRef]
- Del Chierico, F.; Vernocchi, P.; Dallapiccola, B.; Putignani, L. Mediterranean diet and health: Food effects on gut microbiota and disease control. Int. J. Mol. Sci. 2014, 15, 11678–11699. [Google Scholar] [CrossRef]
- David, L.A.; Maurice, C.F.; Carmody, R.N.; Gootenberg, D.B.; Button, J.E.; Wolfe, B.E.; Ling, A.V.; Devlin, A.S.; Varma, Y.; Fischbach, M.A.; et al. Diet rapidly and reproducibly alters the human gut microbiome. Nature 2014, 505, 559–563. [Google Scholar] [CrossRef] [Green Version]
- Metzler-Zebeli, B.U.; Canibe, N.; Montagne, L.; Freire, J.; Bosi, P.; Prates, J.A.M.; Tanghe, S.; Trevisi, P. Resistant starch reduces large intestinal pH and promotes fecal lactobacilli and bifidobacteria in pigs. Animal 2019, 13, 64–73. [Google Scholar] [CrossRef] [Green Version]
- Mitsou, E.K.; Kakali, A.; Antonopoulou, S.; Mountzouris, K.C.; Yannakoulia, M.; Panagiotakos, D.B.; Kyriacou, A. Adherence to the Mediterranean diet is associated with the gut microbiota pattern and gastrointestinal characteristics in an adult population. Br. J. Nutr. 2017, 117, 1645–1655. [Google Scholar] [CrossRef] [Green Version]
- Simpson, H.L.; Campbell, B.J. Review article: Dietary fibre-microbiota interactions. Aliment. Pharmacol. Ther. 2015, 42, 158–179. [Google Scholar] [CrossRef] [Green Version]
- Shortt, C.; Hasselwander, O.; Meynier, A.; Nauta, A.; Fernández, E.N.; Putz, P.; Rowland, I.; Swann, J.; Türk, J.; Vermeiren, J.; et al. Systematic review of the effects of the intestinal microbiota on selected nutrients and non-nutrients. Eur. J. Nutr. 2018, 57, 25–49. [Google Scholar] [CrossRef] [Green Version]
- Jin, Q.; Black, A.; Kales, S.N.; Vattem, D.; Ruiz-Canela, M.; Sotos-Prieto, M. Metabolomics and Microbiomes as Potential Tools to Evaluate the Effects of the Mediterranean Diet. Nutrients 2019, 11, 207. [Google Scholar] [CrossRef] [Green Version]


| Country | Group A | Group B | ||||||||||
|---|---|---|---|---|---|---|---|---|---|---|---|---|
| FODMAP Intake (g/day) | Differences among Countries | FODMAP Intake (g/day) | Differences among Countries | |||||||||
| N | n. Valid | Q1 | Median | Q3 | N | n. Valid | Q1 | Median | Q3 | |||
| Croatia | 379 | 377 | 22.69 | 29.27 | 35.79 | a | 462 | 462 | 18.21 | 26.06 | 33.26 | a |
| Greece | 310 | 296 | 12.57 | 24.13 | 51.48 | b | 355 | 313 | 13.21 | 23.00 | 50.69 | a |
| Israel | 140 | 109 | 14.08 | 20.44 | 28.29 | b; c | 379 | 121 | 5.99 | 12.76 | 18.75 | b |
| Italy | 369 | 359 | 10.78 | 15.77 | 24.32 | c | 371 | 356 | 7.50 | 12.79 | 18.58 | b |
| Macedonia | 376 | 361 | 13.24 | 22.29 | 70.16 | b | 433 | 384 | 5.31 | 11.81 | 27.98 | b |
| Serbia | 398 | 384 | 10.08 | 19.67 | 39.24 | b | 450 | 450 | 5.67 | 10.99 | 40.91 | b |
| Group A | Group B | |||||||||||
|---|---|---|---|---|---|---|---|---|---|---|---|---|
| Characteristics | Croatia | Greece | Israel | Italy | Macedonia | Serbia | Croatia | Greece | Israel | Italy | Macedonia | Serbia |
| Energy intake (kcal/day), mean ± sd | 1502.3 ± 377.5 | 1461.5 ± 466.5 | 1105.8 ± 266.6 | 1505.3± 358.7 | 1842.5 ± 526.9 | 1469.2 ± 503 | 1471.6 ± 480.8 | 1818.5 ± 493 | 1114.3 ± 319.6 | 1506.3 ± 427.5 | 1629.7 ± 480.5 | 1511.5 ± 395.1 |
| Macronutrients mean ±sd | ||||||||||||
| Total protein (g/day) | 63.3 ± 15.8 | 58.7 ± 18.6 | 51 ± 17.2 | 60.2 ± 14.7 | 72.5 ± 24.9 | 59.3 ± 22 | 62.7 ± 20.5 | 74.2 ± 23 | 54.4 ± 19 | 60.9 ± 17 | 64.5 ± 22.3 | 67.3 ± 74.8 |
| Lipids (g/day) | 53.4 ± 17.4 | 58.2 ± 21.1 | 34 ± 11 | 62.7 ± 20.3 | 74.2 ± 22.8 | 56.8 ± 20.4 | 54.6 ± 24 | 70.4 ± 27.4 | 40.7 ± 16.6 | 59.3 ± 20.9 | 60.9 ± 23.2 | 63.8 ± 21.1 |
| Carbohydrates (g/day) | 184.6 ± 49.3 | 185.9 ± 70.2 | 144.5 ± 44 | 185 ± 49.5 | 234.1 ± 83.4 | 190.3 ± 80.9 | 179.5 ± 65.5 | 239.4 ± 76.5 | 132.5 ± 48.6 | 193.2 ± 63.5 | 219 ± 80.9 | 183.1 ± 62.9 |
| Starch (g/day) | 82.9 ± 27.8 | 80.4 ± 47 | 62 ± 39.3 | 109 ± 9.63 | 127.2 ± 60.3 | 98.5 ± 58.9 | 85.3 ± 33.5 | 130.2 ± 57 | 38.2 ± 33 | 116 ± 46.3 | 135.2 ± 58.9 | 98.8 ± 45.3 |
| Cholesterol (mg/day) | 201.3 ± 90.4 | 199.1 ± 103.7 | 260.5 ± 129 | 194 ± 93.4 | 220.1 ± 112.5 | 213.7 ± 109.7 | 202.6 ± 114.1 | 236.1 ± 140.9 | 280.5 ± 192.6 | 198.7 ± 92.8 | 188.9 ± 130.1 | 268.9 ± 123.1 |
| Saturated fatty acids (g/day) | 18.6 ± 8 | 19.7 ± 8 | 12.1 ± 4.8 | 17.4 ± 6.6 | 23 ± 8.6 | 19.1 ± 7.4 | 18.7 ± 9.5 | 25.3 ± 12.5 | 12.4 ± 5.3 | 16.7 ± 6.3 | 19.9 ± 9.4 | 22.2 ± 7.8 |
| Polyunsaturated fatty acids (g/day) | 5.8 ± 3.6 | 6.1 ± 3.2 | 6.4 ± 3 | 6.4 ± 2.6 | 10.9 ± 5.8 | 6.5 ± 3.7 | 6.4 ± 5.1 | 7.9 ± 3.6 | 8.3 ± 4 | 6.3 ± 2.4 | 9.1 ± 4.8 | 7.7 ± 2.7 |
| Fiber (g/die) | 14 ± 6.2 | 12.2 ± 7.9 | 14.1 ± 6.2 | 12.4 ± 4.2 | 21.7 ± 20.9 | 13.5 ± 9.5 | 13.3 ± 6.6 | 18.2 ± 8.7 | 13 ± 8.1 | 12.5 ± 4.7 | 20.3 ± 20.3 | 15.2 ± 52.9 |
| Micronutrients mean±sd | ||||||||||||
| Calcium (mg/day) | 629.3 ± 224.6 | 608.5 ± 326.2 | 464.1 ± 239.2 | 456.9 ± 167.8 | 624.4 ± 265.5 | 523.1 ± 250.5 | 575.2 ± 253.7 | 720.9 ± 345.4 | 361.5 ± 181.5 | 438.7 ± 176.6 | 483.1 ± 258.7 | 431.9 ± 199.6 |
| Sodium (mg/day) | 2988 ± 562 | 1366.3 ± 729.7 | 2423.1 ± 474.8 | 1299.6 ± 731.6 | 1353.7 ± 651.8 | 1206.4 ± 586.6 | 2995.5 ± 433.7 | 1725 ± 946.5 | 7853.4 ± 451.3 | 1383.2 ± 743 | 1380.8 ± 847.4 | 1924.9 ± 1068.7 |
| Potassium (mg/day) | 2063.5 ± 857.5 | 1833.2 ± 652.4 | 4652.5 ± 129.2 | 1824.8 ± 491.6 | 2372.1 ± 1042.8 | 1922.1 ± 889.9 | 1917.9 ± 1258.7 | 2571.6 ± 1336.4 | 4325.7 ± 233.6 | 1800.7 ± 568 | 2219.9 ± 881.6 | 1795 ± 541.9 |
| Phosphorus (mg/day) | 948.7 ± 271 | 883.4 ± 331.6 | 731.5 ± 214 | 888.9 ± 239.1 | 1132.2 ± 434.6 | 926.7 ± 428.4 | 898.6 ± 316.2 | 1123.4 ± 385.2 | 723.7 ± 231.7 | 887.7 ± 269 | 999.5 ± 406.1 | 911.7 ± 250.8 |
| Iron (mg/day) | 8.2 ± 4.5 | 8 ± 4.3 | 7.6 ± 3.6 | 8.4 ± 2.4 | 12.8 ± 6.4 | 9.4 ± 6.1 | 8 ± 5 | 11.2 ± 4.9 | 7.2 ± 3.1 | 8.6 ± 2.8 | 12.2 ± 6.3 | 8.7 ± 3 |
| Zinc (mg/day) | 8 ± 2.8 | 7.8 ± 3.1 | 5.3 ± 2.1 | 7.9 ± 2.3 | 9 ± 3.5 | 7.6 ± 3.1 | 7.6 ± 3 | 9.1 ± 3.2 | 5.6 ± 2.5 | 7.9 ± 2.7 | 8.4 ± 3.4 | 8 ± 2.6 |
| Folic acid (mcg/day) | 129.8 ± 52.6 | 173.4 ± 122.1 | 198.9 ± 96.1 | 165.8 ± 69.9 | 238.7 ± 171.3 | 170.5 ± 128 | 121.4 ± 51.7 | 273.6 ± 186.2 | 195.3 ± 101 | 162.1 ± 74 | 223.8 ± 170.7 | 153.9 ± 78.7 |
| Niacin (mg/day) | 17.2 ± 7.9 | 10.5 ± 4.4 | 15.5 ± 5.4 | 12.5 ± 3.9 | 15.7 ± 8.2 | 12.2 ± 8.3 | 17 ± 7.1 | 14.8 ± 9 | 16.5 ± 10.2 | 12.7 ± 4.8 | 15 ± 7.7 | 12.5 ± 4.6 |
| Riboflavin (mg/day) | 1.2 ± 0.4 | 1.3 ± 0.7 | 1.3 ± 0.8 | 1.3 ± 0.9 | 1.5 ± 0.7 | 1.2 ± 0.6 | 1.1 ± 0.4 | 1.5 ± 0.6 | 1.4 ± 1 | 1.3 ± 0.8 | 1.3 ± 0.7 | 1.1 ± 0.4 |
| Thiamine (mg/day) | 1.7 ± 1.4 | 1 ± 0.5 | 0.8 ± 0.4 | 0.9 ± 0.3 | 1.4 ± 0.7 | 1 ± 0.7 | 1.8 ± 1.7 | 1.2 ± 0.5 | 0.7 ± 0.3 | 0.9 ± 0.3 | 1.3 ± 0.6 | 1.1 ± 0.7 |
| Vitamin A (mcg/day) | 18071 ± 300 | 540.8 ± 255.7 | 419.8 ± 242.6 | 603.8 ± 318.9 | 574 ± 369.2 | 484.6 ± 235.8 | 13706.6 ± 285.7 | 678.7 ± 420.2 | 305.7 ± 177 | 534.6 ± 327.1 | 449.5 ± 274 | 766.4 ± 215.2 |
| Vitamin B6 (mg/day) | 1.3 ± 0.7 | 1.4 ± 0.8 | 1 ± 0.4 | 1.4 ± 0.5 | 1.8 ± 0.9 | 1.3 ± 0.8 | 1.2 ± 0.5 | 1.7 ± 0.7 | 1.2 ± 0.7 | 1.4 ± 0.5 | 1.5 ± 0.8 | 1.2 ± 0.4 |
| Vitamin C (mg/day) | 248.3 ± 230 | 97 ± 65.7 | 41.8 ± 38 | 75.2 ± 49.6 | 98.5 ± 72.4 | 91.6 ± 63.4 | 69.8 ± 45.4 | 94.3 ± 79.3 | 38.1 ± 35.7 | 74.4 ± 52.4 | 79.2 ± 66.2 | 65.1 ± 45.7 |
| Vitamin D (mcg/day) | 1.2 ± 1.8 | 3.4 ± 2 | 2.5 ± 2.3 | 2.3 ± 1.7 | 2.6 ± 1.7 | 2.7 ± 1.6 | 1.4 ± 2.5 | 3.3 ± 2.2 | 2.5 ± 2.4 | 2.4 ± 1.9 | 2.1 ± 1.7 | 2.5 ± 1.6 |
| Vitamin E (mg/day) | 5.4 ± 2.6 | 6.4 ± 3 | 5.8 ± 5.8 | 8.7 ± 3.8 | 8.7 ± 3.5 | 5.7 ± 3.4 | 5.5 ± 3.1 | 7.4 ± 3.2 | 5.5 ± 2.9 | 7.6 ± 4 | 7.2 ± 3.7 | 5.5 ± 2.5 |
Publisher’s Note: MDPI stays neutral with regard to jurisdictional claims in published maps and institutional affiliations. |
© 2022 by the authors. Licensee MDPI, Basel, Switzerland. This article is an open access article distributed under the terms and conditions of the Creative Commons Attribution (CC BY) license (https://creativecommons.org/licenses/by/4.0/).
Share and Cite
Strisciuglio, C.; Cenni, S.; Serra, M.R.; Dolce, P.; Kolacek, S.; Sila, S.; Trivic, I.; Bar Lev, M.R.; Shamir, R.; Kostovski, A.; et al. Diet and Pediatric Functional Gastrointestinal Disorders in Mediterranean Countries. Nutrients 2022, 14, 2335. https://doi.org/10.3390/nu14112335
Strisciuglio C, Cenni S, Serra MR, Dolce P, Kolacek S, Sila S, Trivic I, Bar Lev MR, Shamir R, Kostovski A, et al. Diet and Pediatric Functional Gastrointestinal Disorders in Mediterranean Countries. Nutrients. 2022; 14(11):2335. https://doi.org/10.3390/nu14112335
Chicago/Turabian StyleStrisciuglio, Caterina, Sabrina Cenni, Maria Rosaria Serra, Pasquale Dolce, Sanja Kolacek, Sara Sila, Ivana Trivic, Michal Rozenfeld Bar Lev, Raanan Shamir, Aco Kostovski, and et al. 2022. "Diet and Pediatric Functional Gastrointestinal Disorders in Mediterranean Countries" Nutrients 14, no. 11: 2335. https://doi.org/10.3390/nu14112335
APA StyleStrisciuglio, C., Cenni, S., Serra, M. R., Dolce, P., Kolacek, S., Sila, S., Trivic, I., Bar Lev, M. R., Shamir, R., Kostovski, A., Papadopoulou, A., Roma, E., Katsagoni, C., Jojkic-Pavkov, D., Campanozzi, A., Scarpato, E., Miele, E., & Staiano, A. (2022). Diet and Pediatric Functional Gastrointestinal Disorders in Mediterranean Countries. Nutrients, 14(11), 2335. https://doi.org/10.3390/nu14112335

