Association between Single Nucleotide Polymorphisms and Weight Reduction in Behavioural Interventions—A Pooled Analysis
Abstract
1. Introduction
2. Materials and Methods
2.1. Study Design
2.2. Anthropometric Measurements and Blood Parameters
2.3. Genotyping
2.4. Statistical Analysis
3. Results
3.1. Characteristics of Participants: Baseline and after 12 Months
3.2. Association between Genotypes and Baseline Anthropometric Traits
3.3. Association between Genotypes and Changes in Anthropometric Traits
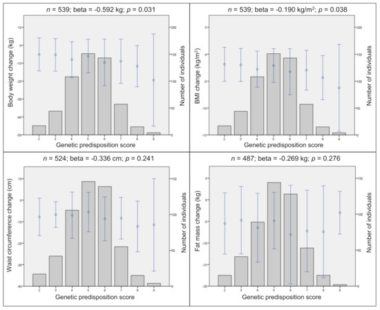
3.4. Associations between Genetic Predisposition Score (GPS) and Anthropometric Traits
4. Discussion
4.1. Genetic Analyses of Baseline Body Weight, BMI, Waist Circumference, and Fat Mass
4.2. Genetic Analyses of Changes in Body Weight, BMI, Waist Circumference, and Fat Mass
4.3. Strengths and Limitations
5. Conclusions
Author Contributions
Funding
Institutional Review Board Statement
Informed Consent Statement
Data Availability Statement
Acknowledgments
Conflicts of Interest
References
- NCD Risk Factor Collaboration. Trends in adult body-mass index in 200 countries from 1975 to 2014: A pooled analysis of 1698 population-based measurement studies with 19·2 million participants. Lancet 2016, 387, 1377–1396. [Google Scholar] [CrossRef]
- Blüher, M. Obesity: Global epidemiology and pathogenesis. Nat. Rev. Endocrinol. 2019, 15, 288–298. [Google Scholar] [CrossRef] [PubMed]
- Semlitsch, T.; Stigler, F.; Jeitler, K.; Horvath, K.; Siebenhofer, A. Management of overweight and obesity in primary care—A systematic overview of international evidence-based guidelines. Obes. Rev. 2019, 20, 1218–1230. [Google Scholar] [CrossRef] [PubMed]
- Hartmann-Boyce, J.; Boylan, A.; Jebb, S.; Fletcher, B.; Aveyard, P. Cognitive and behavioural strategies for self-directed weight loss: Systematic review of qualitative studies. Obes. Rev. 2017, 18, 335–349. [Google Scholar] [CrossRef]
- Matsuo, T.; Nakata, Y.; Katayama, Y.; Iemitsu, M.; Maeda, S.; Okura, T.; Kim, M.K.; Ohkubo, H.; Hotta, K.; Tanaka, K. PPARG Genotype Accounts for Part of Individual Variation in Body Weight Reduction in Response to Calorie Restriction. Obesity 2009, 17, 1924–1931. [Google Scholar] [CrossRef]
- Aller, E.; Mariman, E.; Bouwman, F.; van Baak, M. Genetic Predictors of ≥5% Weight Loss by Multidisciplinary Advice to Severely Obese Subjects. J. Nutr. Nutr. 2017, 10, 32–42. [Google Scholar] [CrossRef]
- Dlouhá, D.; Suchánek, P.; Lánská, V.; Hubáček, J. Body Mass Index Change in Females After Short-Time Life Style Intervention Is Not Dependent on the FTO Polymorphisms. Physiol. Res. 2011, 60, 199–202. [Google Scholar] [CrossRef] [PubMed]
- McCaffery, J.M.; Papandonatos, G.D.; Huggins, G.S.; Peter, I.; Kahn, S.E.; Knowler, W.C.; Hudnall, G.E.; Lipkin, E.W.; Kitabchi, A.E.; Wagenknecht, L.E.; et al. FTO predicts weight regain in the Look AHEAD clinical trial. Int. J. Obes. 2013, 37, 1545–1552. [Google Scholar] [CrossRef]
- Qi, Q.; Bray, G.; Hu, F.; Sacks, F.; Qi, L. Weight-loss diets modify glucose-dependent insulinotropic polypeptide receptor rs2287019 genotype effects on changes in body weight, fasting glucose, and insulin resistance: The Preventing Overweight Using Novel Dietary Strategies trial. Am. J. Clin. Nutr. 2012, 95, 506–513. [Google Scholar] [CrossRef] [PubMed]
- Livingstone, K.M.; Celis-Morales, C.; Papandonatos, G.D.; Erar, B.; Florez, J.C.; Jablonski, K.A.; Razquin, C.; Marti, A.; Heianza, Y.; Huang, T.; et al. FTO genotype and weight loss: Systematic review and meta-analysis of 9563 individual participant data from eight randomised controlled trials. Br. Med. J. 2016, 354, i4707. [Google Scholar] [CrossRef]
- Jebb, S.A.; Ahern, A.L.; Olson, A.D.; Aston, L.M.; Holzapfel, C.; Stoll, J.; Amann-Gassner, U.; Simpson, A.E.; Fuller, N.R.; Pearson, S.; et al. Primary care referral to a commercial provider for weight loss treatment versus standard care: A randomised controlled trial. Lancet 2011, 378, 1485–1492. [Google Scholar] [CrossRef]
- Bischoff, S.C.; Damms-Machado, A.; Betz, C.; Herpertz, S.; Legenbauer, T.; Löw, T.; Wechsler, J.G.; Bischoff, G.; Austel, A.; Ellrott, T. Multicenter evaluation of an interdisciplinary 52-week weight loss program for obesity with regard to body weight, comorbidities and quality of life—A prospective study. Int. J. Obes. 2012, 36, 614–624. [Google Scholar] [CrossRef]
- Speliotes, E.K.; Willer, C.J.; Berndt, S.I.; Monda, K.L.; Thorleifsson, G.; Jackson, A.U.; Allen, H.L.; Lindgren, C.M.; Mägi, R.; Randall, J.C.; et al. Association analyses of 249,796 individuals reveal 18 new loci associated with body mass index. Nat. Genet. 2010, 42, 937–948. [Google Scholar] [CrossRef]
- Walker, C.G.; Holzapfel, C.; Loos, R.J.; Mander, A.P.; Klopp, N.; Illig, T.; Caterson, I.D.; Hauner, H.; Jebb, S.A. Genetic predisposition to an adverse lipid profile limits the improvement in total cholesterol in response to weight loss. Obesity 2013, 21, 2589–2595. [Google Scholar] [CrossRef]
- Reich, D.E.; Cargill, M.; Bolk, S.; Ireland, J.; Sabeti, P.C.; Richter, D.J.; Lavery, T.; Kouyoumjian, R.; Farhadian, S.F.; Ward, R.; et al. Linkage disequilibrium in the human genome. Nature 2001, 411, 199–204. [Google Scholar] [CrossRef]
- Li, S.; Zhao, J.H.; Luan, J.A.; Luben, R.N.; Rodwell, S.A.; Khaw, K.T.; Ong, K.K.; Wareham, N.J.; Loos, R.J. Cumulative effects and predictive value of common obesity-susceptibility variants identified by genome-wide association studies. Am. J. Clin. Nutr. 2010, 91, 184–190. [Google Scholar] [CrossRef] [PubMed]
- Pei, Y.F.; Zhang, L.; Liu, Y.; Li, J.; Shen, H.; Liu, Y.Z.; Tian, Q.; He, H.; Wu, S.; Ran, S.; et al. Meta-analysis of genome-wide association data identifies novel susceptibility loci for obesity. Hum. Mol. Genet. 2014, 23, 820–830. [Google Scholar] [CrossRef] [PubMed]
- Thorleifsson, G.; Walters, G.B.; Gudbjartsson, D.F.; Steinthorsdottir, V.; Sulem, P.; Helgadottir, A.; Styrkarsdottir, U.; Gretarsdottir, S.; Thorlacius, S.; Jonsdottir, I.; et al. Genome-wide association yields new sequence variants at seven loci that associate with measures of obesity. Nat. Genet. 2009, 41, 18–24. [Google Scholar] [CrossRef] [PubMed]
- Locke, A.E.; Kahali, B.; Berndt, S.I.; Justice, A.E.; Pers, T.H.; Day, F.R.; Powell, C.; Vedantam, S.; Buchkovich, M.L.; Yang, J.; et al. Genetic studies of body mass index yield new insights for obesity biology. Nature 2015, 518, 197–206. [Google Scholar] [CrossRef]
- Willer, C.J.; Speliotes, E.K.; Loos, R.J.; Li, S.; Lindgren, C.M.; Heid, I.M.; Berndt, S.I.; Elliott, A.L.; Jackson, A.U.; Lamina, C.; et al. Six new loci associated with body mass index highlight a neuronal influence on body weight regulation. Nat. Genet. 2009, 41, 25–34. [Google Scholar]
- Celis-Morales, C.; Marsaux, C.F.; Livingstone, K.M.; Navas-Carretero, S.; San-Cristobal, R.; O’donovan, C.B.; Forster, H.; Woolhead, C.; Fallaize, R.; Macready, A.L.; et al. Physical activity attenuates the effect of the FTO genotype on obesity traits in European adults: The Food4Me study. Obesity 2016, 24, 962–969. [Google Scholar] [CrossRef]
- Frayling, T.M.; Timpson, N.J.; Weedon, M.N.; Zeggini, E.; Freathy, R.M.; Lindgren, C.M.; Perry, J.R.; Elliott, K.S.; Lango, H.; Rayner, N.W.; et al. A Common Variant in the FTO Gene Is Associated with Body Mass Index and Predisposes to Childhood and Adult Obesity. Science 2007, 316, 889–894. [Google Scholar] [CrossRef]
- Scuteri, A.; Sanna, S.; Chen, W.M.; Uda, M.; Albai, G.; Strait, J.; Najjar, S.; Nagaraja, R.; Orrú, M.; Usala, G.; et al. Genome Wide Association Scan shows Genetic Variants in the FTO gene are Associated with Obesity Related Traits. PLoS Genet. 2007, 3, e115. [Google Scholar] [CrossRef] [PubMed]
- Zlatohlavek, L.; Vrablik, M.; Motykova, E.; Ceska, R.; Vasickova, L.; Dlouha, D.; Hubacek, J.A. FTO and MC4R gene variants determine BMI changes in children after intensive lifestyle intervention. Clin. Biochem. 2013, 46, 313–316. [Google Scholar] [CrossRef] [PubMed]
- Pan, Q.; Delahanty, L.M.; Jablonski, K.A.; Knowler, W.C.; Kahn, S.E.; Florez, J.C.; Franks, P.W. Diabetes Prevention Program Research Group. Variation at the melanocortin 4 receptor gene and response to weight-loss interventions in the diabetes prevention program. Obesity 2013, 21, E520–E526. [Google Scholar] [CrossRef]
- Huang, T.; Qi, Q.; Li, Y.; Hu, F.B.; Bray, G.A.; Sacks, F.M.; Williamson, D.A.; Qi, L. FTO genotype, dietary protein, and change in appetite: The Preventing Overweight Using Novel Dietary Strategies trial. Am. J. Clin. Nutr. 2014, 99, 1126–1130. [Google Scholar] [CrossRef]
- Woehning, A.; Schultz, J.H.; Roeder, E.; Moeltner, A.; Isermann, B.; Nawroth, P.P.; Wolfrum, C.; Rudofsky, G. The A-allele of the common FTO gene variant rs9939609 complicates weight maintenance in severe obese patients. Int. J. Obes. 2013, 37, 135–139. [Google Scholar] [CrossRef] [PubMed][Green Version]
- Speakman, J. The ‘Fat Mass and Obesity Related’ (FTO) gene: Mechanisms of Impact on Obesity and Energy Balance. Curr. Obes. Rep. 2015, 4, 73–91. [Google Scholar] [CrossRef] [PubMed]
- Drabsch, T.; Gatzemeier, J.; Pfadenhauer, L.; Hauner, H.; Holzapfel, C. Associations between Single Nucleotide Polymorphisms and Total Energy, Carbohydrate, and Fat Intakes: A Systematic Review. Adv. Nutr. 2018, 9, 425–453. [Google Scholar] [CrossRef] [PubMed]
- Delahanty, L.M.; Pan, Q.; Jablonski, K.A.; Watson, K.E.; McCaffery, J.M.; Shuldiner, A.; Kahn, S.E.; Knowler, W.C.; Florez, J.C.; Franks, P.W.; et al. Genetic Predictors of Weight Loss and Weight Regain After Intensive Lifestyle Modification, Metformin Treatment, or Standard Care in the Diabetes Prevention Program. Diabetes Care 2012, 35, 363–366. [Google Scholar] [CrossRef] [PubMed]
- Zhu, J.; Loos, R.J.; Lu, L.; Zong, G.; Gan, W.; Ye, X.; Sun, L.; Li, H.; Lin, X. Associations of Genetic Risk Score with Obesity and Related Traits and the Modifying Effect of Physical Activity in a Chinese Han Population. PLoS ONE 2014, 9, e91442. [Google Scholar] [CrossRef]
- Verhoef, S.; Camps, S.; Bouwman, F.; Mariman, E.; Westerterp, K. Genetic predisposition, dietary restraint and disinhibition in relation to short and long-term weight loss. Physiol. Behav. 2014, 128, 247–251. [Google Scholar] [CrossRef] [PubMed]
- den Hoed, M.; Ekelund, U.; Brage, S.; Grontved, A.; Zhao, J.H.; Sharp, S.J.; Ong, K.K.; Wareham, N.J.; Loos, R.J. Genetic Susceptibility to Obesity and Related Traits in Childhood and Adolescence: Influence of Loci Identified by Genome-Wide Association Studies. Diabetes 2010, 59, 2980–2988. [Google Scholar] [CrossRef] [PubMed]
- Papandonatos, G.D.; Pan, Q.; Pajewski, N.M.; Delahanty, L.M.; Peter, I.; Erar, B.; Ahmad, S.; Harden, M.; Chen, L.; Fontanillas, P.; et al. Genetic Predisposition to Weight Loss and Regain With Lifestyle Intervention: Analyses From the Diabetes Prevention Program and the Look AHEAD Randomized Controlled Trials. Diabetes 2015, 64, 4312–4321. [Google Scholar] [CrossRef] [PubMed]
- Gardner, C.D.; Trepanowski, J.F.; Del Gobbo, L.C.; Hauser, M.E.; Rigdon, J.; Ioannidis, J.P.; Desai, M.; King, A.C. Effect of Low-Fat vs Low-Carbohydrate Diet on 12-Month Weight Loss in Overweight Adults and the Association With Genotype Pattern or Insulin Secretion. J. Am. Med Assoc. 2018, 319, 667–679. [Google Scholar] [CrossRef]

| Weight Watchers | Standard Care | Optifast | Other Weight Loss | All Combined | |||||||||||
|---|---|---|---|---|---|---|---|---|---|---|---|---|---|---|---|
| n = 190 88.4% Women | n = 192 83.9% Women | n = 105 51.4% Women | n = 89 71.9% Women | N = 576 77.6% Women | |||||||||||
| n | Mean | SD | n | Mean | SD | n | Mean | SD | n | Mean | SD | n | Mean | SD | |
| Baseline | |||||||||||||||
| Age (years) | 190 | 48.73 | 12.92 | 192 | 51.25 | 11.99 | 105 | 45.09 | 12.51 | 89 | 44.42 | 11.51 | 576 | 48.24 | 12.59 |
| Anthropometry | |||||||||||||||
| Height (m) | 190 | 1.65 | 0.08 | 192 | 1.66 | 0.09 | 105 | 1.71 | 0.10 | 89 | 1.70 | 0.08 | 576 | 1.67 | 0.09 |
| Weight (kg) | 190 | 86.17 | 11.60 | 192 | 86.74 | 12.02 | 105 | 128.26 | 31.34 | 89 | 101.01 | 19.60 | 576 | 96.32 | 24.15 |
| BMI (kg/m2) | 190 | 31.23 | 2.58 | 192 | 31.25 | 2.64 | 105 | 43.04 | 7.89 | 89 | 34.79 | 5.66 | 576 | 33.94 | 6.38 |
| Fat mass (kg) | 175 | 32.94 | 6.61 | 172 | 32.80 | 7.62 | 103 | 54.68 | 16.38 | 85 | 41.84 | 13.35 | 535 | 38.44 | 13.59 |
| WC (cm) | 188 | 98.84 | 8.50 | 189 | 100.16 | 9.94 | 103 | 126.50 | 17.86 | 88 | 107.52 | 15.85 | 568 | 105.64 | 16.04 |
| Clinical parameters | |||||||||||||||
| Systolic BP (mmHg) | 190 | 125.66 | 16.76 | 192 | 125.48 | 15.03 | 103 | 142.72 | 16.84 | 88 | 134.35 | 13.92 | 573 | 130 | 17.13 |
| Diastolic BP (mmHg) | 190 | 78.12 | 9.89 | 192 | 79.50 | 8.63 | 103 | 88.53 | 13.07 | 88 | 85.9 | 9.69 | 573 | 81.86 | 10.90 |
| Heart rate (bpm) | 186 | 70.48 | 9.50 | 183 | 70.97 | 10.79 | 104 | 75.93 | 13.71 | 89 | 69.94 | 13.04 | 562 | 71.56 | 11.54 |
| Glucose (mg/dl) | 190 | 90.84 | 14.35 | 192 | 92.25 | 17.63 | 105 | 109.47 | 36.21 | 89 | 90.97 | 12.64 | 576 | 94.72 | 21.94 |
| LDL (mg/dl) | 182 | 125.04 | 35.41 | 188 | 125.68 | 33.60 | 105 | 123.90 | 32.80 | 89 | 122.16 | 33.23 | 564 | 124.58 | 33.92 |
| HDL (mg/dl) | 182 | 55.84 | 14.74 | 188 | 56.54 | 13.40 | 105 | 47.71 | 13.38 | 89 | 50.94 | 16.08 | 564 | 53.79 | 14.68 |
| Triglycerides (mg/dl) | 190 | 122.89 | 62.00 | 192 | 131.25 | 74.59 | 105 | 158.20 | 86.16 | 89 | 120.97 | 58.8 | 576 | 131.83 | 71.80 |
| Changes after 12 months | |||||||||||||||
| Anthropometry | |||||||||||||||
| Δ Weight (kg) | 190 | –6.37 | 6.18 | 192 | −3.14 | 4.74 | 105 | −22.15 | 15.28 | 89 | −3.12 | 7.28 | 576 | −7.67 | 10.92 |
| Δ BMI (kg/m2) | 190 | −2.29 | 2.19 | 192 | −1.13 | 1.69 | 105 | −7.37 | 4.76 | 89 | −1.06 | 2.48 | 576 | −2.64 | 3.58 |
| Δ Fat mass (kg) | 174 | −5.03 | 5.26 | 166 | −2.37 | 4.08 | 99 | −16.64 | 12.37 | 80 | −3.28 | 6.02 | 519 | −6.13 | 8.74 |
| Δ WC (cm) | 181 | −6.47 | 7.16 | 187 | −4.22 | 6.31 | 103 | −16.5 | 12.80 | 88 | −4.27 | 9.61 | 559 | −7.22 | 9.73 |
| Clinical parameters | |||||||||||||||
| Δ Systolic BP (mmHg) | 187 | −2.85 | 13.72 | 192 | −1.95 | 13.94 | 102 | −11.21 | 15.38 | 85 | −0.42 | 12.98 | 566 | −3.69 | 14.43 |
| Δ Diastolic BP (mmHg) | 187 | −1.97 | 9.02 | 192 | −1.55 | 9.32 | 102 | −6.89 | 10.92 | 85 | −1.38 | 9.58 | 566 | −2.62 | 9.76 |
| Δ Heart rate (bpm) | 175 | −1.12 | 10.42 | 174 | 0.40 | 9.90 | 104 | −10.82 | 14.72 | 86 | −1.75 | 12.35 | 539 | −2.60 | 12.21 |
| Δ Glucose (mg/dL) | 183 | −1.75 | 9.33 | 184 | −0.37 | 12.81 | 105 | −14.07 | 29.62 | 89 | 0.99 | 9.85 | 561 | −3.17 | 16.98 |
| Δ LDL (mg/dL) | 175 | −0.99 | 23.97 | 181 | 5.01 | 23.91 | 103 | −5.53 | 35.53 | 89 | −1.51 | 23.90 | 548 | 0.05 | 26.70 |
| Δ HDL (mg/dL) | 176 | 4.71 | 9.44 | 181 | 2.76 | 8.43 | 103 | 6.03 | 8.86 | 89 | 2.76 | 9.43 | 549 | 4.00 | 9.08 |
| Δ Triglycerides (mg/dL) | 182 | −7.57 | 47.81 | 184 | −6.09 | 60.59 | 105 | −40.32 | 81.16 | 89 | 11.28 | 62.56 | 560 | −10.23 | 63.52 |
| Changes in Anthropometric Traits | Genotypes | Additive Model | Dominant Model | ||||||||||
|---|---|---|---|---|---|---|---|---|---|---|---|---|---|
| 0 | 1 | 2 | |||||||||||
| n | Mean | SD | n | Mean | SD | n | Mean | SD | Beta | p-Value | Beta | p-Value | |
| FTO—rs1558902 | |||||||||||||
| Δ Weight (kg) | 158 | −7.32 | 11.25 | 287 | −7.31 | 9.82 | 117 | −9.68 | 13.08 | −0.376 | 0.468 | −0.380 | 0.635 |
| Δ BMI (kg/m2) | 158 | −2.50 | 3.64 | 287 | −2.54 | 3.25 | 117 | −3.30 | 4.28 | −0.160 | 0.357 | −0.185 | 0.490 |
| Δ WC (cm) | 153 | −6.84 | 9.49 | 279 | −7.11 | 9.48 | 113 | −8.54 | 10.88 | −0.390 | 0.475 | −0.594 | 0.480 |
| Δ Fat mass (kg) | 140 | −5.59 | 8.34 | 260 | −6.20 | 7.98 | 107 | −7.21 | 10.93 | −0.339 | 0.464 | −0.665 | 0.355 |
| TMEM18—rs939583 and rs7561317 | |||||||||||||
| Δ Weight (kg) | 14 | −4.36 | 9.03 | 137 | −7.41 | 8.83 | 404 | -8.07 | 11.76 | -0.440 | 0.541 | −1.508 | 0.516 |
| Δ BMI (kg/m2) | 14 | −1.54 | 2.92 | 137 | −2.62 | 3.09 | 404 | −2.75 | 3.81 | −0.113 | 0.640 | −0.494 | 0.525 |
| Δ WC (cm) | 14 | −6.03 | 8.19 | 135 | −7.38 | 9.49 | 389 | −7.41 | 10.04 | 0.000 | 1.000 | −0.164 | 0.946 |
| Δ Fat mass (kg) | 13 | −4.7 | 7.61 | 122 | −6.10 | 7.50 | 365 | −6.37 | 9.28 | 0.266 | 0.679 | −0.097 | 0.962 |
| MC4R—rs571312 and rs17782313 | |||||||||||||
| Δ Weight (kg) | 300 | −6.64 | 10.05 | 224 | −8.46 | 11.26 | 48 | −10.58 | 13.95 | −1.385 | 0.012 | −1.612 | 0.024 |
| Δ BMI (kg/m2) | 300 | −2.28 | 3.31 | 224 | −2.94 | 3.70 | 48 | −3.55 | 4.43 | −0.472 | 0.011 | −0.564 | 0.019 |
| Δ WC (cm) | 292 | −6.63 | 9.14 | 216 | −7.68 | 10.03 | 47 | −8.84 | 11.78 | −0.669 | 0.250 | −0.752 | 0.318 |
| Δ Fat mass (kg) | 274 | −5.63 | 8.00 | 201 | −6.60 | 9.37 | 40 | −7.55 | 10.39 | −0.536 | 0.286 | −0.584 | 0.361 |
| SEC16B—rs543874 and rs10913469 | |||||||||||||
| Δ Weight (kg) | 375 | −7.38 | 10.74 | 174 | −8.35 | 11.30 | 23 | −7.55 | 11.89 | −0.280 | 0.658 | −0.534 | 0.477 |
| Δ BMI (kg/m2) | 375 | −2.57 | 3.54 | 174 | −2.85 | 3.74 | 23 | −2.44 | 3.40 | −0.048 | 0.820 | −0.138 | 0.582 |
| Δ WC (cm) | 361 | −7.02 | 9.82 | 172 | −7.59 | 9.69 | 22 | −7.64 | 9.12 | −0.202 | 0.761 | −0.317 | 0.687 |
| Δ Fat mass (kg) | 332 | −5.94 | 8.66 | 162 | −6.71 | 9.02 | 21 | −5.30 | 8.50 | −0.396 | 0.482 | −0.687 | 0.302 |
| BDNF—rs10767664 and rs16917237 | |||||||||||||
| Δ Weight (kg) | 27 | −5.76 | 10.30 | 200 | −8.22 | 10.43 | 335 | −7.56 | 11.43 | 0.065 | 0.916 | −1.775 | 0.295 |
| Δ BMI (kg/m2) | 27 | −2.08 | 3.29 | 200 | −2.83 | 3.47 | 335 | −2.59 | 3.72 | 0.052 | 0.801 | −0.450 | 0.428 |
| Δ WC (cm) | 26 | −6.48 | 9.17 | 193 | −7.27 | 9.23 | 328 | −7.23 | 10.11 | 0.033 | 0.959 | 0.133 | 0.940 |
| Δ Fat mass (kg) | 25 | −5.16 | 9.04 | 175 | −6.62 | 9.02 | 308 | −5.96 | 8.68 | 0.077 | 0.888 | −0.942 | 0.528 |
Publisher’s Note: MDPI stays neutral with regard to jurisdictional claims in published maps and institutional affiliations. |
© 2021 by the authors. Licensee MDPI, Basel, Switzerland. This article is an open access article distributed under the terms and conditions of the Creative Commons Attribution (CC BY) license (http://creativecommons.org/licenses/by/4.0/).
Share and Cite
Holzapfel, C.; Sag, S.; Graf-Schindler, J.; Fischer, M.; Drabsch, T.; Illig, T.; Grallert, H.; Stecher, L.; Strack, C.; Caterson, I.D.; et al. Association between Single Nucleotide Polymorphisms and Weight Reduction in Behavioural Interventions—A Pooled Analysis. Nutrients 2021, 13, 819. https://doi.org/10.3390/nu13030819
Holzapfel C, Sag S, Graf-Schindler J, Fischer M, Drabsch T, Illig T, Grallert H, Stecher L, Strack C, Caterson ID, et al. Association between Single Nucleotide Polymorphisms and Weight Reduction in Behavioural Interventions—A Pooled Analysis. Nutrients. 2021; 13(3):819. https://doi.org/10.3390/nu13030819
Chicago/Turabian StyleHolzapfel, Christina, Sabine Sag, Johanna Graf-Schindler, Marcus Fischer, Theresa Drabsch, Thomas Illig, Harald Grallert, Lynne Stecher, Christina Strack, Ian D. Caterson, and et al. 2021. "Association between Single Nucleotide Polymorphisms and Weight Reduction in Behavioural Interventions—A Pooled Analysis" Nutrients 13, no. 3: 819. https://doi.org/10.3390/nu13030819
APA StyleHolzapfel, C., Sag, S., Graf-Schindler, J., Fischer, M., Drabsch, T., Illig, T., Grallert, H., Stecher, L., Strack, C., Caterson, I. D., Jebb, S. A., Hauner, H., & Baessler, A. (2021). Association between Single Nucleotide Polymorphisms and Weight Reduction in Behavioural Interventions—A Pooled Analysis. Nutrients, 13(3), 819. https://doi.org/10.3390/nu13030819

