The Effect of Obesity Class on the Energetics and Mechanics of Walking
Abstract
1. Introduction
2. Materials and Methods
2.1. Participants
2.2. Experimental Design
2.3. Assessment
2.3.1. Anthropometry and Body Composition
2.3.2. Energetics
Standing Metabolic Rate
Net Energy Cost of Walking
2.3.3. Mechanics
Spatiotemporal Parameters
Mechanical Works and Potential Kinetic Energy Transduction
2.3.4. Net Locomotor Efficiency
2.4. Statistical Analysis
3. Results
3.1. Participant’s Characteristics
3.2. Energetics
3.2.1. Standing Metabolic Rates
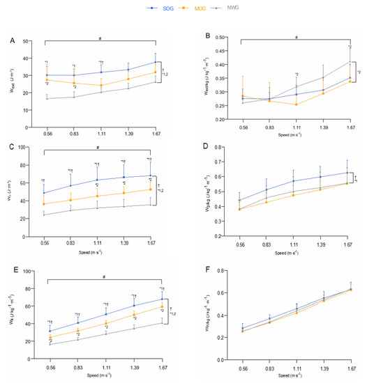
3.2.2. Net Energy Cost of Walking
3.3. Mechanics
3.3.1. Spatiotemporal Parameters and Vertical and Lateral Displacements of the Center of Mass
3.3.2. Mechanical Works
3.3.3. Potential Kinetic Energy Transduction and Factors affecting Recovery
3.4. Net Locomotor Efficiency
3.5. Patterns among Body Mass, Net Cost of Walking, and Gait Mechanics
3.6. Usefulness of PC Scores to Identify Gait Pattern Similarities between Groups
4. Discussion
5. Conclusions
Author Contributions
Funding
Institutional Review Board Statement
Informed Consent Statement
Acknowledgments
Conflicts of Interest
Abbreviations
| α | Phase shift between Ek and Ep curves |
| BMI | Body mass index |
| COM | Center of mass |
| COMl | Center of mass lateral displacements |
| COMv | Center of mass vertical displacements |
| Ek | Mechanical kinetic energy |
| Ekf | Forward mechanical kinetic energy |
| Ekl | Lateral mechanical kinetic energy |
| Ekv | Vertical mechanical kinetic energy |
| Ep | Mechanical potential energy |
| Etot | Total mechanical energy |
| Ff | Forward ground reaction force |
| Fl | Lateral ground reaction force |
| Fv | Vertical ground reaction force |
| g | Gravity |
| GRF | Ground reaction force |
| h | Vertical position of the COM |
| iDXA | Dual-energy X-ray absorptiometry |
| KMO | Kaiser–Meyer–Olkin Test |
| LMM | Linear Mixed Model |
| m | Body mass |
| MET | Metabolic equivalent |
| MOG | Moderately obese group |
| NEAT | Non-exercise activity thermogenesis |
| NetCw | Absolute net energy cost of walking |
| NetCw/kg | Relative net energy cost of walking |
| NetE | Net locomotor efficiency |
| NWG | Normal-weight group |
| PC | Principal component |
| PC1 | Principal component 1 |
| PC2 | Principal component 2 |
| PC3 | Principal component 3 |
| PCA | Principal component analysis |
| RER | Respiratory exchange ratio |
| SD | Standard deviation |
| SMR | Absolute standing metabolic rate |
| SMR/kg | Relative standing metabolic rate |
| SOG | Severely obese group |
| TEE | Total energy expenditure |
| τ | Step period |
| tpk+ | Difference between the time period at which Ek and Ep curves increase simultaneously |
| Carbon dioxide production | |
| Oxygen uptake | |
| Ventilation | |
| Vf | Forward velocity of the COM |
| Vl | Lateral velocity of the COM |
| Vv | Vertical velocity of the COM |
| Wext | Absolute external mechanical work |
| Wext/kg | Relative external mechanical work |
| Wk | Absolute kinetic mechanical work |
| Wk/kg | Relative kinetic mechanical work |
| Wp | Absolute potential mechanical work |
| Wp/kg | Relative kinetic mechanical work |
| Wtot | Total mechanical work |
References
- NCD Risk Factor Collaboration. Trends in adult body-mass index in 200 countries from 1975 to 2014: A pooled analysis of 1698 population-based measurement studies with 19.2 million participants. Lancet 2016, 387, 1377–1396. [Google Scholar] [CrossRef]
- World Health Organization. Obesity: Preventing and managing the global epidemic. Report of a WHO consultation. World Health Organ. Tech. Rep. Ser. 2000, 894, 1–253. [Google Scholar]
- Jakicic, J.M.; Powell, K.E.; Campbell, W.W.; Dipietro, L.; Pate, R.R.; Pescatello, L.S.; Collins, K.A.; Bloodgood, B.; Piercy, K.L.; Physical Activity Guidelines Advisory, C. Physical Activity and the Prevention of Weight Gain in Adults: A Systematic Review. Med. Sci. Sports Exerc. 2019, 51, 1262–1269. [Google Scholar] [CrossRef]
- Bouchard, C.; Depres, J.P.; Tremblay, A. Exercise and obesity. Obes. Res. 1993, 1, 133–147. [Google Scholar] [CrossRef]
- Hootman, J.M.; Macera, C.A.; Ainsworth, B.E.; Addy, C.L.; Martin, M.; Blair, S.N. Epidemiology of musculoskeletal injuries among sedentary and physically active adults. Med. Sci. Sports Exerc. 2002, 34, 838–844. [Google Scholar] [CrossRef]
- Yamanouchi, K.; Shinozaki, T.; Chikada, K.; Nishikawa, T.; Ito, K.; Shimizu, S.; Ozawa, N.; Suzuki, Y.; Maeno, H.; Kato, K.; et al. Daily Walking Combined with Diet Therapy Is a Useful Means for Obese Niddm Patients Not Only to Reduce Body-Weight but Also to Improve Insulin Sensitivity. Diabetes Care 1995, 18, 775–778. [Google Scholar] [CrossRef]
- Levine, J.A.; McCrady, S.K.; Lanningham-Foster, L.M.; Kane, P.H.; Foster, R.C.; Manohar, C.U. The role of free-living daily walking in human weight gain and obesity. Diabetes 2008, 57, 548–554. [Google Scholar] [CrossRef]
- Browning, R.C.; Baker, E.A.; Herron, J.A.; Kram, R. Effects of obesity and sex on the energetic cost and preferred speed of walking. J. Appl. Physiol. 2006, 100, 390–398. [Google Scholar] [CrossRef] [PubMed]
- Browning, R.C.; Kram, R. Energetic cost and preferred speed of walking in obese vs. normal weight women. Obes. Res. 2005, 13, 891–899. [Google Scholar] [CrossRef] [PubMed]
- Lafortuna, C.L.; Agosti, F.; Galli, R.; Busti, C.; Lazzer, S.; Sartorio, A. The energetic and cardiovascular response to treadmill walking and cycle ergometer exercise in obese women. Eur. J. Appl. Physiol. 2008, 103, 707–717. [Google Scholar] [CrossRef]
- Hunter, G.R.; Fisher, G.; Neumeier, W.H.; Carter, S.J.; Plaisance, E.P. Exercise Training and Energy Expenditure following Weight Loss. Med. Sci. Sports Exerc. 2015, 47, 1950–1957. [Google Scholar] [CrossRef][Green Version]
- Fernandez Menendez, A.; Saubade, M.; Millet, G.P.; Malatesta, D. Energy-saving walking mechanisms in obese adults. J. Appl. Physiol. 2019, 126, 1250–1258. [Google Scholar] [CrossRef] [PubMed]
- Fernandez Menendez, A.; Uva, B.; Favre, L.; Hans, D.; Borrani, F.; Malatesta, D. Mass-normalized internal mechanical work in walking is not impaired in adults with class III obesity. J. Appl. Physiol. 2020, 129, 194–203. [Google Scholar] [CrossRef] [PubMed]
- McGraw, B.; McClenaghan, B.A.; Williams, H.G.; Dickerson, J.; Ward, D.S. Gait and postural stability in obese and nonobese prepubertal boys. Arch. Phys. Med. Rehabil. 2000, 81, 484–489. [Google Scholar] [CrossRef] [PubMed]
- Browning, R.C.; Kram, R. Effects of obesity on the biomechanics of walking at different speeds. Med. Sci. Sports Exerc. 2007, 39, 1632–1641. [Google Scholar] [CrossRef]
- Spyropoulos, P.; Pisciotta, J.C.; Pavlou, K.N.; Cairns, M.A.; Simon, S.R. Biomechanical gait analysis in obese men. Arch. Phys. Med. Rehabil. 1991, 72, 1065–1070. [Google Scholar] [PubMed]
- Cavagna, G.A.; Kaneko, M. Mechanical work and efficiency in level walking and running. J. Physiol. 1977, 268, 467–481. [Google Scholar] [CrossRef]
- Heglund, N.C.; Willems, P.A.; Penta, M.; Cavagna, G.A. Energy-saving gait mechanics with head-supported loads. Nature 1995, 375, 52–54. [Google Scholar] [CrossRef]
- Browning, R.C.; Reynolds, M.M.; Board, W.J.; Walters, K.A.; Reiser, R.F., 2nd. Obesity does not impair walking economy across a range of speeds and grades. J. Appl. Physiol. 2013, 114, 1125–1131. [Google Scholar] [CrossRef]
- Chau, T. A review of analytical techniques for gait data. Part 1: Fuzzy, statistical and fractal methods. Gait Posture 2001, 13, 49–66. [Google Scholar] [CrossRef]
- Jolliffe, I.T.; Cadima, J. Principal component analysis: A review and recent developments. Philos. Trans. A Math. Phys. Eng. Sci. 2016, 374, 20150202. [Google Scholar] [CrossRef] [PubMed]
- Wall, J.C.; Charteris, J. A Kinematic Study of Long-Term Habituation to Treadmill Walking. Ergonomics 1981, 24, 531–542. [Google Scholar] [CrossRef] [PubMed]
- Kaviani, S.; Schoeller, D.A.; Ravussin, E.; Melanson, E.L.; Henes, S.T.; Dugas, L.R.; Dechert, R.E.; Mitri, G.; Schoffelen, P.F.M.; Gubbels, P.; et al. Determining the Accuracy and Reliability of Indirect Calorimeters Utilizing the Methanol Combustion Technique. Nutr. Clin. Pract. 2018, 33, 206–216. [Google Scholar] [CrossRef] [PubMed]
- Astrand, P.O.K.R. Textbook of Work Physiology; McGraw-Hill Series in Health Edition: New York, NY, USA, 1986; p. 756. [Google Scholar]
- Massaad, F.; Lejeune, T.M.; Detrembleur, C. The up and down bobbing of human walking: A compromise between muscle work and efficiency. J. Physiol. 2007, 582, 789–799. [Google Scholar] [CrossRef] [PubMed]
- Cavagna, G.A.; Willems, P.A.; Legramandi, M.A.; Heglund, N.C. Pendular energy transduction within the step in human walking. J. Exp. Biol. 2002, 205, 3413–3422. [Google Scholar] [CrossRef] [PubMed]
- Mian, O.S.; Thom, J.M.; Ardigo, L.P.; Narici, M.V.; Minetti, A.E. Metabolic cost, mechanical work, and efficiency during walking in young and older men. Acta Physiol. 2006, 186, 127–139. [Google Scholar] [CrossRef]
- De Vellis, R.F. (Ed.) Factor Analysis. In Scale Development: Theory and Applications, 2nd ed.; Sage Publications: Thousand Oaks, CA, USA, 2003; pp. 102–137. [Google Scholar]
- Hair, J.F.; Black, W.C.; Babin, B.J.; Anderson, R.E. (Eds.) Exploratory factor analysis. In Multivariate Data Analysis: Pearson New International Edition, 7th ed.; Pearson Prentice Hall: Upper Saddle River, NJ, USA, 2013; pp. 107–151. [Google Scholar]
- Stevens, J. (Ed.) What loadings should be used for interpretation? In Applied Multivariate Statistics for the Social Sciences, 5th ed.; Taylor & Francis Group: New York, NY, USA, 2002; pp. 331–332. [Google Scholar]
- Browning, R.C.; McGowan, C.P.; Kram, R. Obesity does not increase external mechanical work per kilogram body mass during walking. J. Biomech. 2009, 42, 2273–2278. [Google Scholar] [CrossRef]
- Griffin, T.M.; Kram, R. Penguin waddling is not wasteful. Nature 2000, 408, 929. [Google Scholar] [CrossRef]
- Cavagna, G.A.; Thys, H.; Zamboni, A. The sources of external work in level walking and running. J. Physiol. 1976, 262, 639–657. [Google Scholar] [CrossRef]
- Malatesta, D.; Favre, J.; Ulrich, B.; Hans, D.; Suter, M.; Favre, L.; Fernandez Menendez, A. Effect of very large body mass loss on energetics, mechanics and efficiency of walking in adults with obesity: Mass-driven versus behavioural adaptations. J. Physiol. 2021. [Google Scholar] [CrossRef]
- Majumdar, D.; Pal, M.S.; Majumdar, D. Effects of military load carriage on kinematics of gait. Ergonomics 2010, 53, 782–791. [Google Scholar] [CrossRef] [PubMed]
- Ortega, J.D.; Farley, C.T. Minimizing center of mass vertical movement increases metabolic cost in walking. J. Appl. Physiol. 2005, 99, 2099–2107. [Google Scholar] [CrossRef] [PubMed]
- Kuo, A.D.; Donelan, J.M.; Ruina, A. Energetic consequences of walking like an inverted pendulum: Step-to-step transitions. Exerc. Sport Sci. Rev. 2005, 33, 88–97. [Google Scholar] [CrossRef] [PubMed]
- Zelik, K.E.; Huang, T.W.; Adamczyk, P.G.; Kuo, A.D. The role of series ankle elasticity in bipedal walking. J. Theor. Biol. 2014, 346, 75–85. [Google Scholar] [CrossRef]
- Huang, T.W.; Shorter, K.A.; Adamczyk, P.G.; Kuo, A.D. Mechanical and energetic consequences of reduced ankle plantar-flexion in human walking. J. Exp. Biol. 2015, 218, 3541–3550. [Google Scholar] [CrossRef]
- Grabowski, A.; Farley, C.T.; Kram, R. Independent metabolic costs of supporting body weight and accelerating body mass during walking. J. Appl. Physiol. 2005, 98, 579–583. [Google Scholar] [CrossRef]
- Griffin, T.M.; Roberts, T.J.; Kram, R. Metabolic cost of generating muscular force in human walking: Insights from load-carrying and speed experiments. J. Appl. Physiol. 2003, 95, 172–183. [Google Scholar] [CrossRef] [PubMed]
- Zelik, K.E.; Adamczyk, P.G. A unified perspective on ankle push-off in human walking. J. Exp. Biol. 2016, 219, 3676–3683. [Google Scholar] [CrossRef]
- Thom, G.; Lean, M. Is There an Optimal Diet for Weight Management and Metabolic Health? Gastroenterology 2017, 152, 1739–1751. [Google Scholar] [CrossRef] [PubMed]
- Blundell, J.E.; Gibbons, C.; Caudwell, P.; Finlayson, G.; Hopkins, M. Appetite control and energy balance: Impact of exercise. Obes. Rev. 2015, 16 (Suppl. 1), 67–76. [Google Scholar] [CrossRef]
- Pontzer, H.; Durazo-Arvizu, R.; Dugas, L.R.; Plange-Rhule, J.; Bovet, P.; Forrester, T.E.; Lambert, E.V.; Cooper, R.S.; Schoeller, D.A.; Luke, A. Constrained Total Energy Expenditure and Metabolic Adaptation to Physical Activity in Adult Humans. Curr. Biol. 2016, 26, 410–417. [Google Scholar] [CrossRef] [PubMed]
- Careau, V.; Halsey, L.G.; Pontzer, H.; Ainslie, P.N.; Andersen, L.F.; Anderson, L.J.; Arab, L.; Baddou, I.; Bedu-Addo, K.; Blaak, E.E.; et al. Energy compensation and adiposity in humans. Curr. Biol. 2021, 31, 4659–4666.e2. [Google Scholar] [CrossRef]
- Pate, R.R.; O’Neill, J.R.; Lobelo, F. The evolving definition of “sedentary”. Exerc. Sport Sci. Rev. 2008, 36, 173–178. [Google Scholar] [CrossRef] [PubMed]
- Le Roux, E.; De Jong, N.P.; Blanc, S.; Simon, C.; Bessesen, D.H.; Bergouignan, A. Physiology of physical inactivity, sedentary behaviours and non-exercise activity: Insights from the space bedrest model. J. Physiol. 2021. [Google Scholar] [CrossRef]
- Malatesta, D.; Simar, D.; Dauvilliers, Y.; Candau, R.; Borrani, F.; Prefaut, C.; Caillaud, C. Energy cost of walking and gait instability in healthy 65- and 80-yr-olds. J. Appl. Physiol. 2003, 95, 2248–2256. [Google Scholar] [CrossRef]
- Malatesta, D.; Vismara, L.; Menegoni, F.; Galli, M.; Romei, M.; Capodaglio, P. Mechanical external work and recovery at preferred walking speed in obese subjects. Med. Sci. Sports Exerc. 2009, 41, 426–434. [Google Scholar] [CrossRef] [PubMed]
- Cavagna, G.A.; Franzetti, P. The determinants of the step frequency in walking in humans. J. Physiol. 1986, 373, 235–242. [Google Scholar] [CrossRef] [PubMed]
- Donelan, J.M.; Kram, R.; Kuo, A.D. Mechanical work for step-to-step transitions is a major determinant of the metabolic cost of human walking. J. Exp. Biol. 2002, 205, 3717–3727. [Google Scholar] [CrossRef] [PubMed]
- Cavagna, G.A.; Willems, P.A.; Heglund, N.C. The role of gravity in human walking: Pendular energy exchange, external work and optimal speed. J. Physiol. 2000, 528, 657–668. [Google Scholar] [CrossRef]
- Hortobagyi, T.; Herring, C.; Pories, W.J.; Rider, P.; Devita, P. Massive weight loss-induced mechanical plasticity in obese gait. J. Appl. Physiol. 2011, 111, 1391–1399. [Google Scholar] [CrossRef]



| SOG n = 18 (4 M, 14 W) | MOG n = 17 (2 M, 15 W) | NWG n = 13 (5 M, 8 W) | |
|---|---|---|---|
| Variables | |||
| Age, years | 37.2 ± 7.8 † *l | 32.4 ± 7.5 | 29.5 ± 5.7 |
| Height, m | 1.66 ± 0.07 † *l | 1.72 ± 0.07 | 1.70 ± 0.08 |
| BMI, kg·m−2 | 40.1 ± 4.4 † *l | 32.2 ± 1.5 *2 | 22.0 ± 1.5 |
| Body mass, kg | 109.7 ± 12.74 † *l | 95.28 ± 8.23 *2 | 64.21 ± 8.35 |
| Lean body mass, kg | 53.8 ± 7.6 † | 50.6 ± 7.7 | – |
| Fat body mass, kg | 53.1 ± 11.5 † | 41.8 ± 4.6 | – |
| Fat body mass, % | 49.3 ± 6.4 † | 45.4 ± 5.0 | – |
| Head and trunk mass, kg | 54.2 ± 6.7 † | 44.1 ± 5.2 | 37.1 ± 4.8 |
| Upper limbs mass, kg | 12.2 ± 1.6 † | 10.4 ± 1.4 | 3.21 ± 0.4 |
| Lower limbs mass, kg | 38.4 ± 6.4 † | 36.0 ± 4.2 | 10.3 ± 1.3 |
| Lower limbs lean mass, kg | 19.1 ± 3.3 | 18.9 ± 3.0 | – |
| Lower limbs fat mass, kg | 17.3 ± 5.8 | 16.0 ± 3.4 | – |
| Lower limbs fat mass, % | 45.2 ± 9.0 | 45.8 ± 7.6 | – |
| SMR, W | 132.5 ± 18.23 † *l | 112.85 ± 19.7 | 112.32 ± 12.53 |
| SMR/kg, W·kg−1 body mass | 1.21 ± 0.13 *1 | 1.18 ± 0.15 *2 | 1.76 ± 0.15 |
| Variables | Step Length, m † | Step Length/Height | Step Frequency, Hz † *1 | COMv, cm | COMl, cm *1 |
|---|---|---|---|---|---|
| 0.56 m·s−1 | |||||
| SOG | 0.43 ± 0.04 | 0.26 ± 0.03 | 1.29 ± 0.13 | 2.06 ± 0.30 | 7.61 ± 2.55 |
| MOG | 0.47 ± 0.05 | 0.28± 0.04 | 1.20 ± 0.14 | 1.88 ± 0.36 | 6.61 ± 1.75 |
| NWG | 0.47 ± 0.02 | 0.28 ± 0.02 | 1.17 ± 0.14 | 1.98 ± 0.29 | 6.09 ± 1.20 |
| 0.83 m·s−1 | |||||
| SOG | 0.54 ± 0.03 | 0.33 ± 0.02 | 1.54 ± 0.10 | 2.95 ± 0.42 | 5.50 ± 1.66 |
| MOG | 0.57 ± 0.03 | 0.33 ± 0.03 | 1.47 ± 0.09 | 2.57 ± 0.39 | 4.79 ± 1.27 |
| NWG | 0.56 ± 0.02 | 0.33 ± 0.01 | 1.48 ± 0.06 | 2.81 ± 0.52 | 4.23 ± 0.81 |
| 1.11 m·s−1 | |||||
| SOG | 0.63 ± 0.03 | 0.38 ± 0.02 | 1.76 ± 0.08 | 3.80 ± 0.51 | 4.26 ± 1.32 |
| MOG | 0.66 ± 0.03 | 0.38 ± 0.02 | 1.70 ± 0.08 | 3.33 ± 0.43 | 3.73 ± 0.89 |
| NWG | 0.64 ± 0.02 | 0.38 ± 0.01 | 1.71 ± 0.06 | 3.52 ± 0.69 | 3.10 ± 0.68 |
| 1.39 m·s−1 | |||||
| SOG | 0.71 ±.0.03 | 0.43 ± 0.02 | 1.94 ± 0.09 | 4.47 ± 0.62 | 3.30 ± 0.79 |
| MOG | 0.75 ± 0.03 | 0.44 ± 0.02 | 1.86 ± 0.08 | 4.08 ± 0.45 | 2.95 ± 0.51 |
| NWG | 0.73 ± 0.03 | 0.43 ± 0.01 | 1.88 ± 0.07 | 4.14 ± 0.86 | 2.66 ± 0.71 |
| 1.67 m·s−1 | |||||
| SOG | 0.79 ± 0.04 | 0.48 ± 0.02 | 2.09 ± 0.10 | 5.29 ± 0.84 | 2.84 ± 0.72 |
| MOG | 0.83 ± 0.03 | 0.48 ± 0.02 | 2.02 ± 0.08 | 4.88 ± 0.69 | 2.51 ± 0.45 |
| NWG | 0.81 ± 0.03 | 0.48 ± 0.01 | 2.04 ± 0.08 | 4.84 ± 0.98 | 2.34 ± 0.53 |
| PC1 | PC2 | PC3 | ||
|---|---|---|---|---|
| 0.56 m·s−1 | ||||
| Explained variance, % | 44.2 | 21.5 | 19.3 | |
| Variables | ||||
| Body mass | 0.96 | |||
| Walking efficiency | Wext | 0.87 | ||
| NetCw | 0.80 | |||
| Pendulum-like characteristics | Recovery | 0.98 | ||
| COMl | 0.75 | |||
| Step frequency | −0.74 | |||
| 0.83 m·s−1 | ||||
| Explained variance, % | 44.1 | 22.7 | 17.7 | |
| Variables | ||||
| Walking efficiency | Body mass | 0.93 | ||
| Wext | 0.92 | |||
| NetCw | 0.84 | |||
| Pendulum-like characteristics | Recovery | 0.92 | ||
| COMl | 0.59 | |||
| Step frequency | 0.92 | |||
| 1.11 m·s−1 | ||||
| Explained variance, % | 40.7 | 29.8 | 17.0 | |
| Variables | ||||
| Walking efficiency | Wext | 0.95 | ||
| Body mass | 0.89 | |||
| NetCw | 0.82 | |||
| Pendulum-like characteristics | Recovery | 0.87 | ||
| COMl | 0.83 | |||
| Step frequency | 0.99 | |||
| 1.39 m·s−1 | ||||
| Explained variance, % | 37.2 | 33.0 | – | |
| Variables | – | |||
| Walking efficiency | Wext | 0.98 | ||
| Body mass | 0.79 | |||
| NetCw | 0.77 | |||
| Pendulum-like characteristics | Recovery | 0.92 | ||
| COMl | 0.76 | |||
| Step frequency | ||||
| SOG | MOG | NWG | |
|---|---|---|---|
| 0.56 m·s−1 | |||
| PC1 | 0.85 ± 0.58 † *1 | 0.08 ± 0.58 *2 | −1.28 ± 0.36 |
| PC2 | 0.37 ± 0.76 | −0.45 ± 1.26 | 0.08 ± 0.70 |
| PC3 | −0.13 ± 1.36 | 0.07 ± 0.87 | 0.09 ± 0.50 |
| 0.83 m·s−1 | |||
| PC1 | 0.81 ± 0.55 † *1 | 0.10 ± 0.70 *2 | −1.25 ± 0.36 |
| PC2 | 0.30 ± 0.89 | −0.22 ± 1.17 | −0.14 ± 0.86 |
| PC3 | 0.36 ± 1.18 | −0.26 ± 0.94 | −0.16 ± 0.67 |
| 1.11 m·s−1 | |||
| PC1 | 0.88 ± 0.74 † *1 | −0.09 ± 0.61 *2 | −1.10 ± 0.42 |
| PC2 | 0.28 ± 1.09 *1 | 0.16 ± 1.09 *2 | −0.59 ± 0.60 |
| PC3 | 0.35 ± 1.04 | −0.33 ± 1.01 | −0.05 ± 0.82 |
| 1.39 m·s−1 | |||
| PC1 | 0.82 ± 0.65 † *1 | −0.01 ± 0.76 *2 | −1.13 ± 0.38 |
| PC2 | 0.37 ± 1.09 *1 | 0.05 ± 0.97 | 0.58 ± 0.65 |
Publisher’s Note: MDPI stays neutral with regard to jurisdictional claims in published maps and institutional affiliations. |
© 2021 by the authors. Licensee MDPI, Basel, Switzerland. This article is an open access article distributed under the terms and conditions of the Creative Commons Attribution (CC BY) license (https://creativecommons.org/licenses/by/4.0/).
Share and Cite
Primavesi, J.; Fernández Menéndez, A.; Hans, D.; Favre, L.; Crettaz von Roten, F.; Malatesta, D. The Effect of Obesity Class on the Energetics and Mechanics of Walking. Nutrients 2021, 13, 4546. https://doi.org/10.3390/nu13124546
Primavesi J, Fernández Menéndez A, Hans D, Favre L, Crettaz von Roten F, Malatesta D. The Effect of Obesity Class on the Energetics and Mechanics of Walking. Nutrients. 2021; 13(12):4546. https://doi.org/10.3390/nu13124546
Chicago/Turabian StylePrimavesi, Julia, Aitor Fernández Menéndez, Didier Hans, Lucie Favre, Fabienne Crettaz von Roten, and Davide Malatesta. 2021. "The Effect of Obesity Class on the Energetics and Mechanics of Walking" Nutrients 13, no. 12: 4546. https://doi.org/10.3390/nu13124546
APA StylePrimavesi, J., Fernández Menéndez, A., Hans, D., Favre, L., Crettaz von Roten, F., & Malatesta, D. (2021). The Effect of Obesity Class on the Energetics and Mechanics of Walking. Nutrients, 13(12), 4546. https://doi.org/10.3390/nu13124546

