COVID-19 Pandemic and Eating Disorders among University Students
Abstract
:1. Introduction
2. Methods
2.1. Socio-Demographic Characteristics
2.2. Eating Habits
2.3. Food Security
2.4. Physical Activity
2.5. Eating Disorders
2.6. Mental Health
3. Statistical Analysis
4. Results
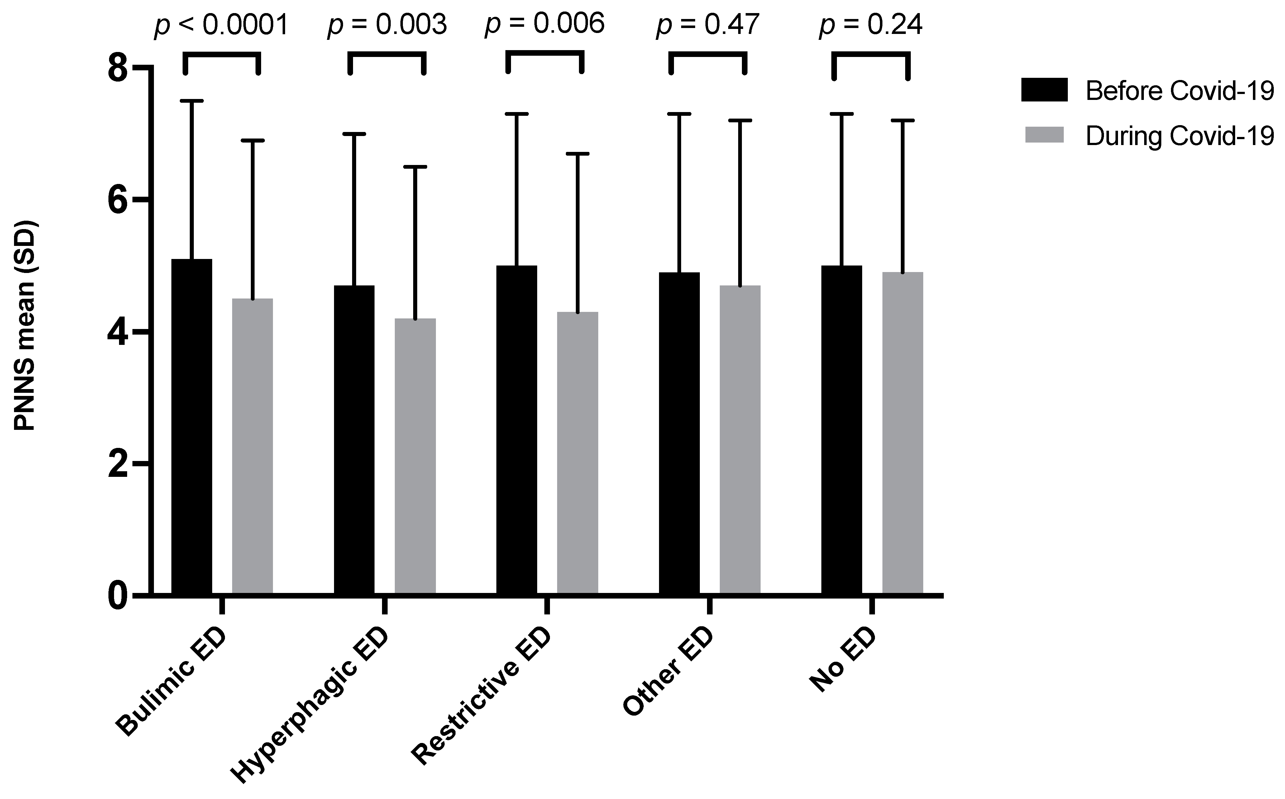
4.1. Eating Habits
4.2. Food Security
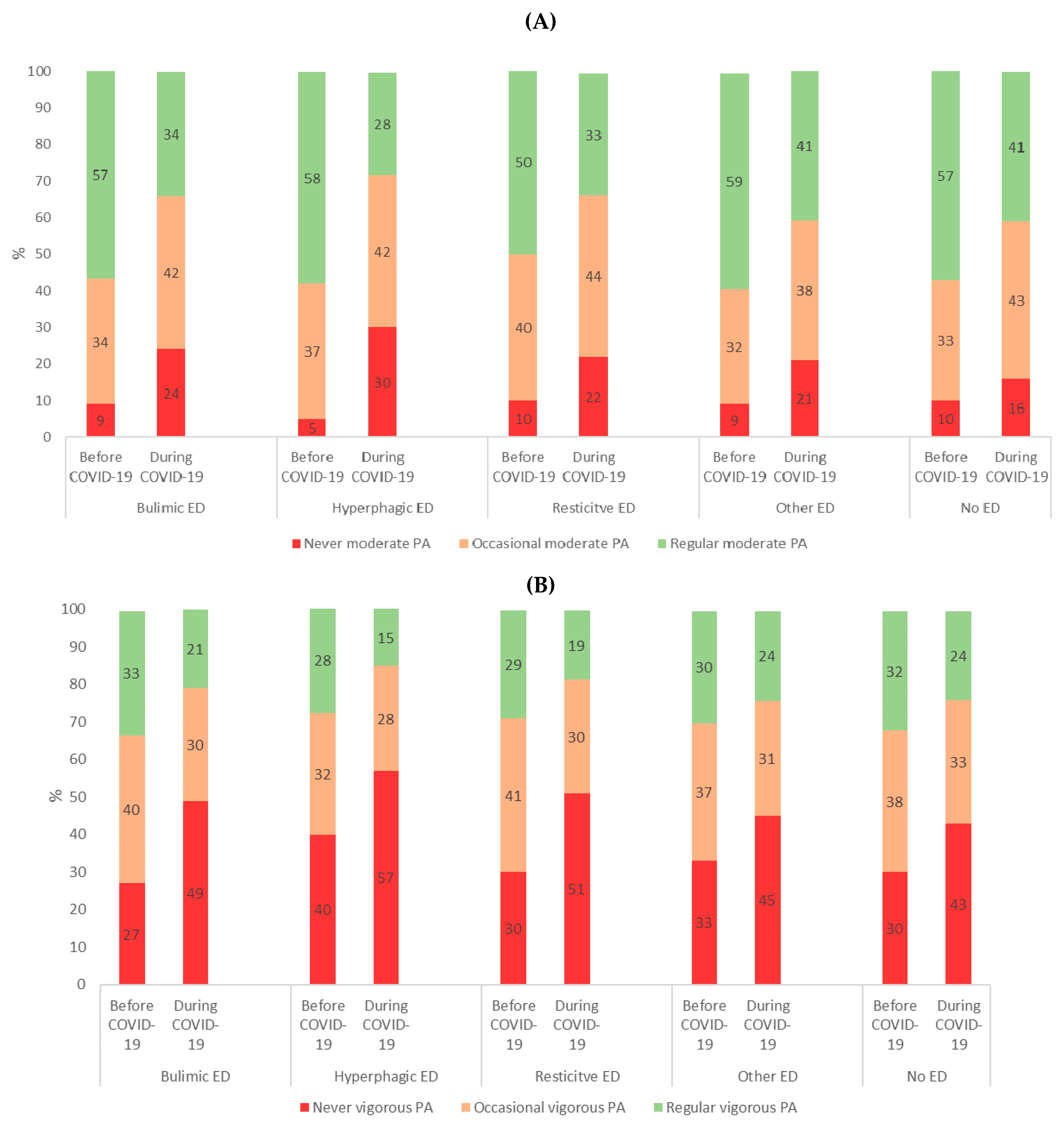
4.3. Physical Activity
4.4. Eating Disorders
4.5. Mental Health
5. Discussion
6. Limitation
7. Conclusions
Author Contributions
Funding
Institutional Review Board Statement
Informed Consent Statement
Data Availability Statement
Acknowledgments
Conflicts of Interest
References
- Auerbach, R.P.; Collaborators, W.W.-I.; Mortier, P.; Bruffaerts, R.; Alonso, J.; Benjet, C.; Cuijpers, P.; Demyttenaere, K.; Ebert, D.D.; Green, J.G.; et al. WHO world mental health surveys international college student project: Prevalence and distribution of mental disorders. J. Abnorm. Psychol. 2018, 127, 623–638. [Google Scholar] [CrossRef] [PubMed]
- Tavolacci, M.P.; Grigioni, S.; Richard, L.; Meyrignac, G.; Déchelotte, P.; Ladner, J. Eating Disorders and Associated Health Risks Among University Students. J. Nutr. Educ. Behav. 2015, 47, 412–420.e1. [Google Scholar] [CrossRef] [PubMed]
- World Health Organization. WHO Director-General’s Opening Remarks at the Media Briefing on COVID-19. 11 March 2020. Available online: https://www.who.int/director-general/speeches/detail/who-director-general-s-opening-remarks-at-the-media-briefing-on-covid-19---11-march-2020 (accessed on 18 August 2021).
- Patricia, A. College students’ use and acceptance of emergency online learning due to Covid-19. Int. J. Educ. Res. Open 2020, 1, 100011. [Google Scholar] [CrossRef]
- Tavolacci, M.P.; Wouters, E.; de Velde, S.V.; Buffel, V.; Déchelotte, P.; Hal, G.V.; Ladner, J. The impact of COVID-19 lockdown on health behaviors among students of a French university. Int. J. Environ. Res. Public Health 2021, 18, 4346. [Google Scholar] [CrossRef] [PubMed]
- Coakley, K.E.; Le, H.; Silva, S.R.; Wilks, A. Anxiety is associated with appetitive traits in university students during the COVID-19 pandemic. Nutr. J. 2021, 20, 45. [Google Scholar] [CrossRef] [PubMed]
- Nutley, S.K.; Falise, A.M.; Henderson, R.; Apostolou, V.; Mathews, C.A.; Striley, C.W. Impact of the COVID-19 Pandemic on Disordered Eating Behavior: Qualitative Analysis of Social Media Posts. JMIR Ment. Health 2021, 8, e26011. [Google Scholar] [CrossRef]
- Brooks, S.K.; Webster, R.K.; Smith, L.E.; Woodland, L.; Wessely, S.; Greenberg, N.; Rubin, G.J. The psychological impact of quarantine and how to reduce it: Rapid review of the evidence. Lancet 2020, 395, 912–920. [Google Scholar] [CrossRef] [Green Version]
- Wang, C.; Wen, W.; Zhang, H.; Ni, J.; Jiang, J.; Cheng, Y.; Zhou, M.; Ye, L.; Feng, Z.; Ge, Z.; et al. Anxiety, depression, and stress prevalence among college students during the COVID-19 pandemic: A systematic review and meta-analysis. J. Am. Coll. Health 2021, 1, 1–8, Online ahead of print. [Google Scholar] [CrossRef]
- Arsandaux, J.; Montagni, I.; Macalli, M.; Texier, N.; Pouriel, M.; Germain, R.; Mebarki, A.; Kinouani, S.; Tournier, M.; Schuck, S.; et al. Mental health condition of college students compared to non-students during COVID-19 lockdown: The CONFINS study. BMJ Open 2021, 11, e053231. [Google Scholar] [CrossRef] [PubMed]
- Graupensperger, S.; Cadigan, J.M.; Einberger, C.; Lee, C.M. Multifaceted COVID-19-Related Stressors and Associations with Indices of Mental Health, Well-being, and Substance Use Among Young Adults. Int. J. Ment. Health Addict. 2021, 4, 1–14, Online ahead of print. [Google Scholar] [CrossRef] [PubMed]
- Elmer, T.; Mepham, K.; Stadtfeld, C. Students under lockdown: Comparisons of students’ social networks and mental health before and during the COVID-19 crisis in Switzerland. PLoS ONE 2020, 15, e0236337. [Google Scholar]
- Wang, X.; Hegde, S.; Son, C.; Keller, B.; Smith, A.; Sasangohar, F. Investigating Mental Health of US College Students During the COVID-19 Pandemic: Cross-Sectional Survey Study. J. Med. Internet Res. 2020, 22, e22817. [Google Scholar] [CrossRef] [PubMed]
- Salazar-Fernández, C.; Palet, D.; Haeger, P.A.; Román Mella, F. The Perceived Impact of COVID-19 on Comfort Food Con-sumption over Time: The Mediational Role of Emotional Distress. Nutrients 2021, 13, 1910. [Google Scholar] [CrossRef]
- Patros, T. L’activité Rémunérée Pendant La Pandémie De COVID-19. Available online: http://www.ove-national.education.fr/publication/lactivite-remuneree-pendant-la-pandemie-de-covid-19/ (accessed on 20 October 2021).
- Owens, M.R.; Brito-Silva, F.; Kirkland, T.; Moore, C.E.; Davis, K.E.; Patterson, M.A.; Miketinas, D.C.; Tucker, W.J. Prevalence and Social Determinants of Food Insecurity among College Students during the COVID-19 Pandemic. Nutrients 2020, 12, 2515. [Google Scholar] [CrossRef] [PubMed]
- Barry, M.R.; Sonneville, K.R.; Leung, C.W. Students with Food Insecurity Are More Likely to Screen Positive for an Eating Disorder at a Large, Public University in the Midwest. J. Acad. Nutr. Diet. 2021, 121, 1115–1124. [Google Scholar] [CrossRef]
- Christensen, K.A.; Forbush, K.T.; Richson, B.N.; Thomeczek, M.L.; Perko, V.L.; Bjorlie, K.; Christian, K.; Ayres, J.; Wildes, J.E.; Chana, S.M. Food insecurity associated with elevated eating disorder symptoms, impairment, and eating disorder diagnoses in an American University student sample before and during the beginning of the COVID-19 pandemic. Int. J. Eat. Disord. 2021, 54, 1213–1223. [Google Scholar] [CrossRef]
- Essadek, A.; Rabeyron, T. Mental health of French students during the Covid-19 pandemic. J. Affect. Disord. 2020, 277, 392–393. [Google Scholar] [CrossRef] [PubMed]
- Almomani, E.Y.; Qablan, A.M.; Almomany, A.M.; Atrooz, F.Y. The coping strategies followed by university students to mitigate the COVID-19 quarantine psychological impact. Curr. Psychol. 2021, 40, 5772–5781. [Google Scholar] [CrossRef] [PubMed]
- Rodgers, R.F.; Lombardo, C.; Cerolini, S.; Franko, D.L.; Omori, M.; Fuller-Tyszkiewicz, M.; Linardon, J.; Courtet, P.; Guillaume, S. The impact of the COVID-19 pandemic on eating disorder risk and symptoms. Int. J. Eat. Disord. 2020, 53, 1166–1170. [Google Scholar] [CrossRef]
- Udo, T.; Grilo, C.M. Psychiatric and medical correlates of DSM-5 eating disorders in a nationally representative sample of adults in the United States. Int. J. Eat. Disord. 2019, 52, 42–50. [Google Scholar] [CrossRef] [PubMed] [Green Version]
- Lin, J.A.; Hartman-Munick, S.M.; Kells, M.R.; Milliren, C.E.; Slater, W.A.; Woods, E.R.; Forman, S.F.; Richmond, T.K. The Impact of the COVID-19 Pandemic on the Number of Adolescents/Young Adults Seeking Eating Disorder-Related Care. J. Adolesc. Health 2021, 69, 660–663. [Google Scholar] [CrossRef] [PubMed]
- Tavolacci, M.P.; Dechelotte, P.; Ladner, J. Sharp increase of eating disorders among university students since the COVID-19 pandemic. Nutrients 2021, 13, 3415. [Google Scholar] [CrossRef]
- Flaudias, V.; Iceta, S.; Zerhouni, O.; Rachel, R.; Billieux, J.; Llorca, P.M.; Boudesseul, J.; Chazeron, I.; Romo, L.; Maurage, P.; et al. COVID-19 pandemic lockdown and problematic eating behaviors in a student population. J. Behav. Addict. 2020, 9, 826–835. [Google Scholar] [CrossRef] [PubMed]
- De Pasquale, C.; Sciacca, F.; Conti, D.; Pistorio, M.L.; Hichy, Z.; Cardullo, R.L.; Di Nuovo, S. Relations Between Mood States and Eating Behavior During COVID-19 Pandemic in a Sample of Italian College Students. Front. Psychol. 2021, 12, 684195. [Google Scholar] [CrossRef]
- High Council for Public Health (2017) French Nutrition and Health Programme’s Dietary Guidelines for Adults for the Period 2017–2021. Available online: https://www.hcsp.fr/Explore.cgi/Telecharger?NomFichier=hcspa20170216_reperesalimentairesactua2017_en.pdf (accessed on 10 October 2021).
- Chaltiel, D.; Adjibade, M.; Deschamps, V.; Touvier, M.; Hercberg, S.; Julia, C.; Kesse-Guyot, E. Programme National Nutrition Santé—guidelines score 2 (PNNS-GS2): Development and validation of a diet quality score reflecting the 2017 French dietary guide-lines. Br. J. Nutr. 2019, 122, 331–342. [Google Scholar] [CrossRef] [PubMed] [Green Version]
- Blumberg, S.J.; Bialostosky, K.; Hamilton, W.L.; Briefel, R.R. The effectiveness of a short form of the Household Food Security Scale. Am. J. Public Health 1999, 89, 1231–1234. [Google Scholar] [CrossRef] [PubMed] [Green Version]
- WHO Guidelines on Physical Activity and Sedentary Behaviour. Available online: https://www.who.int/publications/i/item/9789240015128 (accessed on 16 November 2021).
- Tavolacci, M.-P.; Gillibert, A.; Soubise, A.Z.; Grigioni, S.; Déchelotte, P. Screening four broad categories of eating disorders: Suitability of a clinical algorithm adapted from the SCOFF questionnaire. BMC Psychiatry 2019, 19, 1–7. [Google Scholar] [CrossRef] [PubMed] [Green Version]
- Van de Velde, S.; Buffel, V.; Bracke, P.; Van Hal, G.; Somogyi, N.M.; Willems, B.; Wouters, E.; C19 ISWS consortium#. The COVID-19 International Student Well-being Study. Scand. J. Public Health 2021, 49, 114–122. [Google Scholar] [CrossRef] [PubMed]
- Van De Velde, S.; Levecque, K.; Bracke, P. Measurement equivalence of the CES-D 8 in the general population in Belgium: A gender perspective. Arch. Public Health 2009, 67, 15–29. [Google Scholar] [CrossRef] [Green Version]
- Castellini, G.; Cassioli, E.; Rossi, E.; Innocenti, M.; Gironi, V.; Sanfilippo, G.; Felciai, F.; Monteleone, A.M.; Ricca, V. The impact of COVID-19 epidemic on eating disorders: A longitudinal observation of pre versus post psychopathological features in a sample of patients with eating disorders and a group of healthy controls. Int. J. Eat. Disord. 2020, 53, 1855–1862. [Google Scholar] [CrossRef] [PubMed]
- Rasmusson, G.; Lydecker, J.A.; Coffino, J.A.; White, M.A.; Grilo, C.M. Household food insecurity is associated with binge-eating disorder and obesity. Int. J. Eat. Disord. 2019, 52, 28–35. [Google Scholar] [CrossRef] [Green Version]
- Crow, S.J.; Frisch, M.J.; Peterson, C.B.; Croll, J.; Raatz, S.K.; Nyman, J.A. Monetary costs associated with bulimia. Int. J. Eat. Disord. 2009, 42, 81–83. [Google Scholar] [CrossRef]
- Termorshuizen, J.D.; Watson, H.J.; Thornton, L.M.; Borg, S.; Flatt, R.E.; MacDermod, C.M.; Harper, L.E.; van Furth, E.F.; Peat, C.M.; Bulik, C.M. Early impact of COVID-19 on individuals with self-reported eating disorders: A survey of 1,000 individuals in the United States and The Netherlands. Int. J. Eat. Disord. 2020, 53, 1780–1790. [Google Scholar] [CrossRef] [PubMed]
- Keesara, S.; Jonas, A.; Schulman, K. Covid-19 and health Care’s Digital Revolution. N. Engl. J. Med. 2020, 382, e82. [Google Scholar] [CrossRef] [PubMed]
- Ali, K.; Farrer, L.; Fassnacht, D.B.; Gulliver, A.; Bauer, S.; Griffiths, K.M. Perceived barriers and facilitators towards help-seeking for eating disorders: A systematic review. Int. J. Eat. Disord. 2017, 50, 9–21. [Google Scholar] [CrossRef] [PubMed]
- Iancu, A.M.; Kemp, M.T.; Alam, H.B. Unmuting Medical Students’ Education: Utilizing Telemedicine During the COVID-19 Pan-demic and Beyond. J. Med. Internet Res. 2020, 22, e19667. [Google Scholar] [CrossRef]
- Achamrah, N.; Coëffier, M.; Déchelotte, P. Physical activity in patients with anorexia nervosa. Nutr. Rev. 2016, 74, 301–311. [Google Scholar] [CrossRef] [PubMed]
- Vancampfort, D.; Vanderlinden, J.; Stubbs, B.; Soundy, A.; Pieters, G.; De Hert, M.; Probst, M. Physical activity correlates in persons with binge eating disorder: A systematic review. Eur. Eat. Disord. Rev. 2013, 22, 1–8. [Google Scholar] [CrossRef]
- Fernández-Aranda, F.; Casas, M.; Claes, L.; Bryan, D.C.; Favaro, A.; Granero, R.; Gudiol, C.; Jiménez-Murcia, S.; Karwautz, A.; Le Grange, D.; et al. COVID-19 and implications for eating disorders. Eur. Eat. Disord. Rev. 2020, 28, 239. [Google Scholar] [CrossRef] [PubMed]
- Keel, P.K.; Gomez, M.M.; Harris, L.; Kennedy, G.A.; Ribeiro, J.; Joiner, T.E. Gaining “The Quarantine 15:” Perceived versus observed weight changes in college students in the wake of COVID-19. Int. J. Eat. Disord. 2020, 53, 1801–1808. [Google Scholar] [CrossRef]





| Bulimic ED n = 924 | Hyperphagic ED n = 297 | Restrictive ED n = 195 | Other ED n = 218 | No ED n = 1874 | p | Total N = 3508 | |
|---|---|---|---|---|---|---|---|
| Women | 84.5 | 79.1 | 80.5 | 79.8 | 67.3 | <0.0001 | 74.4 |
| Curriculum | <0.0001 | ||||||
| Health sciences | 29.6 | 26.3 | 24.1 | 28.4 | 34.2 | 31.4 | |
| Technology | 22.8 | 21.5 | 20.0 | 20.7 | 27.2 | 24.7 | |
| Social sciences | 28.2 | 32.3 | 32.3 | 32.1 | 22.9 | 26.2 | |
| Law and economy | 19.3 | 19.9 | 23.6 | 18.8 | 23.6 | 17.6 | |
| Year of study | 0.005 | ||||||
| 1 | 39.7 | 34.3 | 42.0 | 36.7 | 34.2 | 36.3 | |
| 2 | 25.9 | 27.9 | 31.3 | 24.3 | 25.6 | 26.1 | |
| 3 | 17.3 | 18.6 | 14.9 | 17.4 | 17.6 | 17.4 | |
| 4 and more | 17.1 | 18.6 | 11.8 | 21.6 | 22.6 | 20.2 | |
| PNNS-G2 | 4.48 (2.39) | 4.18 (2.32) | 4.32 (2.42) | 4.69 (2.54) | 4.91 (2.34) | <0.0001 | 4.69 (2.38) |
| Moderate physical activity | <0.0001 | ||||||
| Occasional | 41.8 | 41.8 | 44.1 | 38.1 | 42.9 | 42.2 | |
| Regular | 34.1 | 27.8 | 33.3 | 41.3 | 41.0 | 37.7 | |
| Vigorous physical activity | 0.001 | ||||||
| Occasional | 29.4 | 28.0 | 30.3 | 30.8 | 32.8 | 31.2 | |
| Regular | 21.0 | 15.1 | 18.5 | 23.8 | 23.7 | 22.0 | |
| Food security | <0.0001 | ||||||
| Low | 16.6 | 13.5 | 15.4 | 12.4 | 7.8 | 11.3 | |
| Very low | 11.4 | 12.5 | 10.3 | 8.3 | 3.4 | 7.0 | |
| Depression (score/24) | 13.7 (5.7) | 13.4 (.4) | 13.8 (5.5) | 11.9 (5.6) | 9.0 (5.4) | <0.0001 | 11.1 (5.9) |
| Academic stress (score/16) | 12.1 (3.4) | 12.2 (3.1) | 10.2 (3.8) | 11.4 (3.6) | 10.2 (3.8) | <0.0001 | 11.0 (3.7) |
| Worry about becoming severely ill (%) | 3.7 (3.3) | 4.2 (3.4) | 3.8 (3.4) | 4.0 (3.2) | 3.4 (3.1) | 0.001 | 3.6 (3.2) |
| Worry about a relative becoming severely ill (%) | 8.0 (2.5) | 8.0 (2.6) | 8.3 (2.5) | 8.3 (2.3) | 7.5 (2.7) | <0.0001 | 7.8 (2.6) |
| Consultation of a health professional (%) | 23.0 | 19.5 | 19.5 | 21.1 | 11.2 | <0.0001 | 16.1 |
| Bulimic ED n = 924 | p | Hyperphagic ED n = 297 | p | Restrictive ED n = 195 | p | Other ED n = 218 | p | |
|---|---|---|---|---|---|---|---|---|
| Women | 2.6 (2.1–3.2) | <0.0001 | 1.7 (1.3–2.4) | <0.0001 | 1.9 (1.3–2.8) | 0.001 | 1.8 (1.3–2.6) | 0.001 |
| Curriculum | ||||||||
| Health sciences | Ref | Ref | Ref | Ref | ||||
| Technology | 1.2 (0.9–1.5) | 0.15 | 1.1 (0.8–1.6) | 0.15 | 1.2 (0.7–1.8) | 0.48 | 1.0 (0.7–1.6) | 0.80 |
| Social sciences | 1.4 (1.1–1.7) | 0.005 | 1.7 (1.3–2.4) | 0.005 | 1.9 (1.2–2.8) | 0.002 | 1.6 (1.1–2.4) | 0.007 |
| Law and economy | 1.5 (1.1–1.9) | 0.002 | 1.4 (1.1–1.8) | 0.002 | 2.1 (1.4–3.3) | 0.001 | 1.5 (0.9–2.2) | 0.06 |
| Year of study | ||||||||
| 1 | 1.5 (1.5–1.9) | 0.0001 | 1.2 (0.8–1.7) | 0.36 | 2.3 (1.4–3.7) | 0.001 | 1.1 (0.7–1.6) | 0.62 |
| 2 | 1.3 (1.0–1.6) | 0.03 | 1.2 (0.9–1.8) | 0.24 | 2.2 (1.3–3.7) | 0.002 | 0.9 (0.6–1.4) | 0.83 |
| 3 | 1.2 (0.9–1.7) | 0.13 | 1.2 (0.8–1.8) | 0.37 | 1.5 (0.8–2.6) | 0.16 | 1.0 (0.6–1.5) | 0.93 |
| 4 and more | Ref | Ref | Ref | Ref | ||||
| Food security | ||||||||
| Yes | Ref | Ref | Ref | Ref | ||||
| Low | 2.71 (2.11–3.48) | <0.0001 | 2.08 (1.42–3.04) | <0.001 | 2.32 (1.50–3.57) | <0.001 | 1.80 (1.15–2.80) | 0.009 |
| Very low | 4.07 (2.93–5.66) | <0.0001 | 4.21 (2.73–6.49) | 0.0001 | 3.43 (2.00–5.86) | <0.0001 | 2.61 (1.51–4.52) | 0.001 |
| Depression | 1.15 (1.13–1.17) | <0.0001 | 1.14 (1.11–1.16) | <0.0001 | 1.15 (1.12–1.18) | <0.0001 | 1.09 (1.06–1.12) | <0.0001 |
| Academic stress | 1.15 (1.12–1.18) | <0.0001 | 1.15 (1.12–1.18) | <0.0001 | 1.14 (1.09–1.20) | <0.0001 | 1.09 (1.05–1.14) | <0.0001 |
| Worry about becoming severely ill | 1.00 (0.98–1.03) | 0.87 | 1.05 (1.02–1.09) | 0.005 | 1.02 (0.97–1.06) | 0.48 | 1.03 (0.99–1.08) | 0.13 |
| Worry about a relative becoming severely ill | 1.06 (1.02–1.09) | 0.001 | 1.06 (1.01–1.11) | 0.001 | 1.10 (1.03–1.17) | 0.002 | 1.14 (1.05–1.18) | 0.001 |
| Consultation of a health professional | 2.27 (1.83–2.82) | <0.001 | 1.83 (1.32–2.53) | <0.001 | 1.90 (1.29–2.79) | 0.001 | 1.99 (1.39–2.85) | 0.0001 |
| Health behavior | ||||||||
| PNNS-G2 | 0.93 (0.90–0.97) | <0.001 | 0.88 (0.84–0.94) | <0.0001 | 0.91 (0.86–0.98) | 0.007 | 0.97 (0.91–1.03) | 0.35 |
| Moderate physical activity | ||||||||
| Never | Ref | Ref | ||||||
| Occasional | 1.11 (0.92–1.33) | 0.27 | 1.35 (1.00–1.82) | 0.05 | 1.64 (0.83–1.64) | 0.38 | 1.24 (0.82–1.79) | 0.27 |
| Regular | 1.70 (1.36–2.13) | <0.0001 | 2.64 (1.89–3.67) | <0.0001 | 1.51 (1.00–2.28) | 0.05 | 0.83 (0.61–1.15) | 0.32 |
| Vigorous physical activity | ||||||||
| Never | Ref | Ref | Ref | Ref | ||||
| Occasional | 1.01 (0.80–1.26) | 0.94 | 1.34 (0.91–1.97) | 0.13 | 1.20 (0.78–1.86) | 0.17 | 0.93 (0.64–1.37) | 0.73 |
| Regular | 1.15 (0.93–1.41) | 0.20 | 1.87 (1.32–2.66) | <0.0001 | 1.32 (0.89–1.98) | 0.41 | 0.94 (0.66–1.35) | 0.74 |
Publisher’s Note: MDPI stays neutral with regard to jurisdictional claims in published maps and institutional affiliations. |
© 2021 by the authors. Licensee MDPI, Basel, Switzerland. This article is an open access article distributed under the terms and conditions of the Creative Commons Attribution (CC BY) license (https://creativecommons.org/licenses/by/4.0/).
Share and Cite
Tavolacci, M.-P.; Ladner, J.; Dechelotte, P. COVID-19 Pandemic and Eating Disorders among University Students. Nutrients 2021, 13, 4294. https://doi.org/10.3390/nu13124294
Tavolacci M-P, Ladner J, Dechelotte P. COVID-19 Pandemic and Eating Disorders among University Students. Nutrients. 2021; 13(12):4294. https://doi.org/10.3390/nu13124294
Chicago/Turabian StyleTavolacci, Marie-Pierre, Joel Ladner, and Pierre Dechelotte. 2021. "COVID-19 Pandemic and Eating Disorders among University Students" Nutrients 13, no. 12: 4294. https://doi.org/10.3390/nu13124294
APA StyleTavolacci, M.-P., Ladner, J., & Dechelotte, P. (2021). COVID-19 Pandemic and Eating Disorders among University Students. Nutrients, 13(12), 4294. https://doi.org/10.3390/nu13124294

