Exclusive Breastfeeding Protects Young Children from Stunting in a Low-Income Population: A Study from Eastern Indonesia
Abstract
1. Introduction
2. Materials and Methods
2.1. Study Population and Sampling Methods
2.2. Data Collection
2.3. Variables
2.4. Data Analysis
2.4.1. Survey Data
2.4.2. Focus Group Data
3. Results
3.1. Survey Sample Characteristics
3.2. Factors Associated with CU2 Stunting
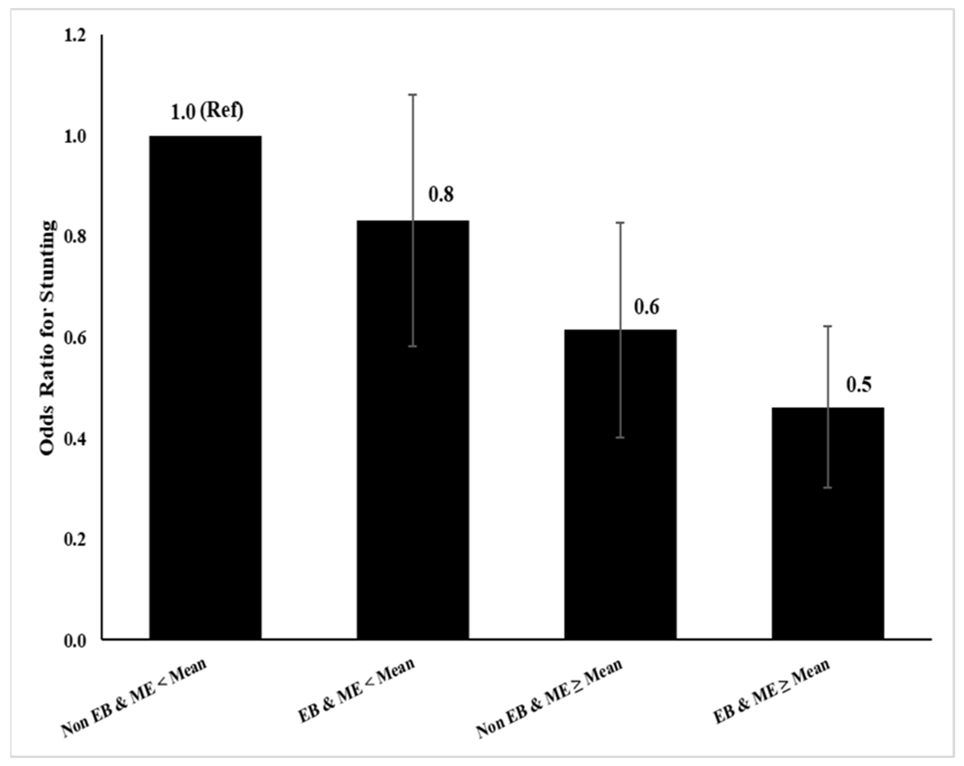
3.3. The Prevalence of Stunting by Monthly Household Expenditure, and the Interaction between Exclusive Breastfeeding and Monthly Household Expenditure
4. Discussion
5. Conclusions
Author Contributions
Funding
Institutional Review Board Statement
Informed Consent Statement
Data Availability Statement
Acknowledgments
Conflicts of Interest
References
- 2020 Global Nutrition Report: Action on Equity to End Malnutrition; Development Initiatives: Bristol, UK, 2020; 168p, Available online: https://globalnutritionreport.org/reports/2020-global-nutrition-report/ (accessed on 28 October 2021).
- Ministry of Heath Indonesia. Basic Health Research 2018. 2019. Available online: http://labdata.litbang.kemkes.go.id/images/download/laporan/RKD/2018/Laporan_Nasional_RKD2018_FINAL.pdf (accessed on 12 October 2021).
- WHO. 100 Core Health Indicators, pp. 1–136. 2015. Available online: https://score.tools.who.int/fileadmin/uploads/score/Documents/Enable_data_use_for_policy_and_action/100_Core_Health_Indicators_2018.pdf (accessed on 5 October 2021).
- WHO. Stunting in a Nutshell. Available online: https://www.who.int/news/item/19-11-2015-stunting-in-a-nutshell (accessed on 10 October 2021).
- Dewey, K.G.; Begum, K. Long-term consequences of stunting in early life. Matern. Child Nutr. 2011, 7, 5–18. [Google Scholar] [CrossRef] [PubMed]
- WHO. Exclusive Breastfeeding for Optimal Growth, Development and Health of Infants. e-Library of Evidence for Nutrition Actions (eLENA). 2019. Available online: https://www.who.int/elena/titles/exclusive_breastfeeding/en/ (accessed on 10 October 2021).
- Huang, J.; Zhang, Z.; Wu, Y.; Wang, Y.; Wang, J.; Zhou, L.; Ni, Z.; Hao, L.; Yang, N.; Yang, X. Early feeding of larger volumes of formula milk is associated with greater body weight or overweight in later infancy. Nutr. J. 2018, 17, 12. [Google Scholar] [CrossRef] [PubMed]
- Malekzadeh, J.-M.; Synaii, S.; Koor, B.E.; Falsafian, G.; Nakhaie, M.-R. Growth Indices of Exclusively Breastfed Until 6 Months Age and Formula-Fed Infants in Southwest of Iran. Int. J. Prev. Med. 2019, 10, 207. [Google Scholar] [CrossRef] [PubMed]
- Magadia, J.; Li, R.; Fein, S.B.; Grummer-Strawn, L.M. Risk of Bottle-feeding for Rapid Weight Gain During the First Year of Life. Arch. Pediatr. Adolesc. Med. 2012, 166, 431–436. [Google Scholar] [CrossRef] [PubMed]
- Küpers, L.K.; L’Abee, C.; Bocca, G.; Stolk, R.P.; Sauer, P.J.J.; Corpeleijn, E. Determinants of Weight Gain during the First Two Years of Life—The GECKO Drenthe Birth Cohort. PLoS ONE 2015, 10, e0133326. [Google Scholar] [CrossRef]
- Zong, X.-N.; Li, H.; Zhang, Y.-Q.; Wu, H.-H. Growth performance comparison of exclusively breastfed infants with partially breastfed and formula fed infants. PLoS ONE 2020, 15, e0237067. [Google Scholar] [CrossRef]
- Zadik, Z.; Borondukov, E.; Zung, A.; Reifen, R. Adult Height and Weight of Breast-Fed and Bottle-Fed Israeli Infants. J. Pediatr. Gastroenterol. Nutr. 2003, 37, 462–467. [Google Scholar] [CrossRef]
- Weisstaub, G.; Uauy, R. Non-Breast Milk Feeding in Developing Countries: Challenge from Microbial and Chemical Contaminants. Ann. Nutr. Metab. 2012, 60, 215–219. [Google Scholar] [CrossRef]
- WHO; UNICEF. Global Breastfeeding Scorecard, 2018. Enabling Women To Breastfeed Through Better Policies And Programmes, p. 3. 2019. Available online: https://apps.who.int/nutrition/publications/infantfeeding/global-bf-scorecard-2018/en/index.html (accessed on 20 August 2021).
- Victora, C.G.; Bahl, R.; Barros, A.; A França, G.V.; Horton, S.; Krasevec, J.; Murch, S.; Sankar, M.J.; Walker, N.; Rollins, N.C. Breastfeeding in the 21st century: Epidemiology, mechanisms, and lifelong effect. Lancet 2016, 387, 475–490. [Google Scholar] [CrossRef]
- Action Contre La Faim (ACF). Nutrition Assessment Report ACF Indonesia NTT Province, TTS District. 2008. Available online: https://tile.loc.gov/storage-services/service/gdc/gdcovop/2012330716/2012330716.pdf (accessed on 12 October 2021).
- Assaf, S.; Juan, C. Stunting and Anemia in Children from Urban Poor Environments in 28 Low and Middle-income Countries: A Meta-analysis of Demographic and Health Survey Data. Nutrients 2020, 12, 3539. [Google Scholar] [CrossRef]
- Black, M.M.; Walker, S.P.; Fernald, L.C.; Andersen, C.T.; DiGirolamo, A.M.; Lu, C.; McCoy, D.C.; Fink, G.; Shawar, Y.R.; Shiffman, J.; et al. Early childhood development coming of age: Science through the life course. Lancet 2017, 389, 77–90. [Google Scholar] [CrossRef]
- Ramírez-Luzuriaga, M.J.; Belmont, P.; Waters, W.F.; Freire, W.B. Malnutrition inequalities in Ecuador: Differences by wealth, education level and ethnicity. Public Health Nutr. 2020, 23, s59–s67. [Google Scholar] [CrossRef]
- Ministry of Health Indonesia. Basic Health Research 2007. Jakarta. 2008. Available online: http://labdata.litbang.kemkes.go.id/images/download/laporan/RKD/2007/lap_rkd07.pdf (accessed on 28 October 2021).
- Ministry of Heath Indonesia. Basic Health Research 2013. 2013. Available online: http://labdata.litbang.kemkes.go.id/images/download/laporan/RKD/2013/Laporan_riskesdas_2013_final.pdf (accessed on 28 October 2021).
- The Government of the Republic of Indonesia. Presidential Decree/ PERPRES/ NO.72 the Year of 2021 on the Acceleration of Stunting reduction in Indonesia. 2021. Available online: https://peraturan.bpk.go.id/Home/Details/174964/perpres-no-72-tahun-2021 (accessed on 12 November 2021).
- Timor Tengah Selatan (TTS) Health Office. Health Profile of Timor Tengah Selatan 2010. 2011. Available online: https://dinkes-kotakupang.web.id/bank-data/category/1-profil-kesehatan.html (accessed on 12 October 2021).
- Central Statistics Agency of Nusa Tenggara Timur. Timor Tengah Selatan in Number 2010. 2010. Available online: https://timortengahselatankab.bps.go.id/publication.html?Publikasi_page=13&page=53 (accessed on 12 October 2021).
- Church World Service (CWS); Cooperative for Assistance and Relief Everywhere (CARE); Hellen Keller International (HKI). Nutrition Survey in East Nusa Tenggara. Jakarta: Church World Service, CARE and Hellen Keller International. 2007. Available online: https://id.scribd.com/document/62389534/Care-CWS-Helen-Keller-Report07#download (accessed on 12 October 2021).
- Bommer, C.; Vollmer, S.; Subramanian, S.V. How socioeconomic status moderates the stunting-age relationship in low-income and middle-income countries. BMJ Glob. Health 2019, 4, e001175. [Google Scholar] [CrossRef]
- Dekker, L.H.; Mora, M.; Marín, C.; Baylin, A.; Villamor, E. Stunting Associated with Poor Socioeconomic and Maternal Nutrition Status and Respiratory Morbidity in Colombian Schoolchildren. Food Nutr. Bull. 2010, 31, 242–250. [Google Scholar] [CrossRef]
- Jonah, C.M.P.; Sambu, W.C.; May, J.D. A comparative analysis of socioeconomic inequities in stunting: A case of three middle-income African countries. Arch. Public Health 2018, 76, 77. [Google Scholar] [CrossRef]
- Cope, J.R.; Doocy, S.; Frattaroli, S.; McGready, J. Household expenditures as a measure of socioeconomic status among Iraqis displaced in Jordan and Syria. World Health Popul. 2012, 14, 19–30. [Google Scholar] [CrossRef]
- StataCorp. Stata Statistical Software: Release 16; StataCorp LLC: College Station, TX, USA, 2019. [Google Scholar]
- Irwanti, W.; Hurley, K.M.; Arjuna, T.; Keith PWest, J.; Chao, J.; Hadi, H. The importance of mother’s care for improving exclusive breastfeeding practices. Indones. J. Nutr. Diet. 2019, 7, 75–84. [Google Scholar]
- Broaddus-Shea, E.; Manohar, S.; Thorne-Lyman, A.L.; Bhandari, S.; Nonyane, B.A.S.; Winch, P.; West, J.K.P. Small-Scale Livestock Production in Nepal Is Directly Associated with Children’s Increased Intakes of Eggs and Dairy, But Not Meat. Nutrients 2020, 12, 252. [Google Scholar] [CrossRef]
- Humphries, D.L.; Behrman, J.R.; Crookston, B.T.; Dearden, K.A.; Schott, W.; Penny, M.E. Households across all income quintiles, especially the poorest, increased animal source food expenditures substantially during recent peruvian economic growth. PLoS ONE 2014, 9, e110961. [Google Scholar]
- Cortes, J.Z.; Osti, L.E.T.; Torres, M.O.; Vargas, L.M.; Gress, A.A.O. Poor breastfeeding, complementary feeding and Dietary Diversity in children and their relationship with stunting in rural communities. Nutr. Hosp. 2018, 35, 271–278. [Google Scholar] [CrossRef]
- Kuchenbecker, J.; Jordan, I.; Reinbott, A.; Herrmann, J.; Jeremias, T.; Kennedy, G.; Muehlhoff, E.; Mtimuni, B.; Krawinkel, M. Exclusive breastfeeding and its effect on growth of Malawian infants: Results from a cross-sectional study. Paediatr. Int. Child Health 2015, 35, 14–23. [Google Scholar] [CrossRef]
- Khasanah, D.P.; Hadi, H.; Paramashanti, B.A. Time of Complementary feeding Introduction was associated with stunting in children 6-23 months old ini Sedayu, Bantul. Indones. J. Nutr. Diet. 2016, 4, 105. [Google Scholar]
- Khan, M.N.; Islam, M.M. Effect of exclusive breastfeeding on selected adverse health and nutritional outcomes: A nationally representative study. BMC Public Health 2017, 17, 889. [Google Scholar] [CrossRef]
- Reyes, H.; Pérez-Cuevas, R.; Sandoval, A.; Castillo, R.; Santos, J.I.; Doubova, S.V.; Gutiérrez, G. The family as a determinant of stunting in children living in conditions of extreme poverty: A case-control study. BMC Public Health 2004, 4, 57. [Google Scholar] [CrossRef]
- Nurunniyah, S.; Sugesti, D.T. Care taker was associated with the success in providing exclusive breastfeeding of baduta in Sedayu District. Indones. J. Nutr. Diet. 2016, 4, 1–7. [Google Scholar]
- Yaqub, A.; Gul, S. Reasons for failure of exclusive breastfeeding in children less than six months of age. J. Ayub Med. Coll. Abbottabad JAMC 2014, 25, 165–167. [Google Scholar]
- Susiloretni, K.A.; Hadi, H.; Blakstad, M.M.; Smith, E.R.; Shankar, A.H. Does exclusive breastfeeding relate to the longer duration of breastfeeding? A prospective cohort study. Midwifery 2019, 69, 163–171. [Google Scholar] [CrossRef] [PubMed]
- Gao, H.; Wang, Q.; Hormann, E.; Stuetz, W.; Stiller, C.; Biesalski, H.K.; Scherbaum, V. Breastfeeding practices on postnatal wards in urban and rural areas of the Deyang region, Sichuan province of China. Int. Breastfeed. J. 2016, 11, 11. [Google Scholar] [CrossRef]
- UNICEF. From the First Hour of Life, pp. 1–104. 2016. Available online: https://data.unicef.org/resources/first-hour-life-new-report-breastfeeding-practices/ (accessed on 27 October 2021).
- Bae, C.-W. Maternal Diseases and Breastfeeding. Hanyang Med. Rev. 2010, 30, 60–67. [Google Scholar] [CrossRef]
- WHO. Guideline Updates on HIV and Infant Feeding, Volume 59. 2016. Available online: https://www.ncbi.nlm.nih.gov/books/NBK379865/ (accessed on 12 October 2021).
- Walker, K.F.; O’Donoghue, K.; Grace, N.; Dorling, J.; Comeau, J.L.; Li, W.; Thornton, J.G. Maternal transmission of SARS-COV-2 to the neonate, and possible routes for such transmission: A systematic review and critical analysis. BJOG Int. J. Obstet. Gynaecol. 2020, 127, 1324–1336. [Google Scholar] [CrossRef] [PubMed]
- Johnson, H.M.; Mitchell, K.B. ABM Clinical Protocol #34: Breast Cancer and Breastfeeding. Breastfeed. Med. 2020, 15, 429–434. [Google Scholar]
- Eidelman, A.I.; Schanler, R.J. Breastfeeding and the use of human milk. Pediatrics 2012, 129, 496–506. [Google Scholar]
- WHO. Acceptable Medical Reasons for Use of Breast-Milk Substitutes. 2009. Available online: http://www.ncbi.nlm.nih.gov/pubmed/24809113 (accessed on 12 October 2021).
- Wong, M.S.; Mou, H.; Chien, W.T. Effectiveness of educational and supportive intervention for primiparous women on breastfeeding related outcomes and breastfeeding self-efficacy: A systematic review and meta-analysis. Int. J. Nurs. Stud. 2021, 117, 103874. [Google Scholar] [CrossRef]
- Hagos, D.; Tadesse, A.W. Prevalence and factors associated with exclusive breastfeeding among rural mothers of infants less than six months of age in Southern Nations, Nationalities, Peoples (SNNP) and Tigray regions, Ethiopia: A cross-sectional study. Int. Breastfeed. J. 2020, 15, 25. [Google Scholar] [CrossRef]
- Piro, S.S.; Ahmed, H.M. Impacts of antenatal nursing interventions on mothers’ breastfeeding self-efficacy: An experimental study. BMC Pregnancy Childbirth 2020, 20, 19. [Google Scholar] [CrossRef]
- Iliadou, M.; Lykeridou, K.; Prezerakos, P.; Swift, E.; Tziaferi, S. Measuring the Effectiveness of a Midwife-led Education Programme in Terms of Breastfeeding Knowledge and Self-efficacy, Attitudes Towards Breastfeeding, and Perceived Barriers of Breastfeeding Among Pregnant Women. Mater. Socio Med. 2018, 30, 240–245. [Google Scholar] [CrossRef]
- Huang, P.; Yao, J.; Liu, X.; Luo, B. Individualized intervention to improve rates of exclusive breastfeeding: A randomised controlled trial. Medicine 2019, 98, e17822. [Google Scholar] [CrossRef]
- Renuka, M.; Shabadi, N.; Kulkarni, P.; Sunil Kumar, D.; Anup, G.; Narayana Murthy, M.R. Effectiveness of educational intervention on breastfeeding among primi pregnant women- a longitudinal study. Clin. Epidemiol. Glob. Health 2020, 8, 1306–1311. [Google Scholar] [CrossRef]
- Nnebe-Agumadu, U.H.; Racine, E.F.; Laditka, S.B.; Coffman, M.J. Associations between perceived value of exclusive breastfeeding among pregnant women in the United States and exclusive breastfeeding to three and six months postpartum: A prospective study. Int. Breastfeed. J. 2016, 11, 8. [Google Scholar] [CrossRef][Green Version]
- Chipojola, R.; Lee, G.T.; Chiu, H.-Y.; Chang, P.-C.; Kuo, S.-Y. Determinants of breastfeeding practices among mothers in Malawi: A population-based survey. Int. Health 2019, 12, 132–141. [Google Scholar] [CrossRef]
- Naugle, D.A.; Hornik, R.C. The Evaluation of a Mass Media Campaign to Promote Exclusive Breastfeeding in Vietnam; ProQuest LLC: Philadelphia, PA, USA, 2016; pp. 1–183. [Google Scholar]
- Kim, Y.-M.; Haq, Z.-U.; Soomro, J.; Sultana, Z.; Faizunnisa, A.; Agha, A.F.A.S. Case Study: Effects of a Media Campaign on Breastfeeding Behaviors in Sindh Province, Pakistan. World Health Popul. 2015, 16, 39–45. [Google Scholar] [CrossRef][Green Version]
- Bylaska-Davies, P. The Role of the Mass Media in Women’s Infant Feeding Decisions: A Dissertation. Ph.D. Thesis, Graduate School of Nursing, University of Massachusetts, Worcester, MA, USA, 2011. Available online: https://escholarship.umassmed.edu/gsn_diss/22 (accessed on 12 October 2021).
- Ahmed, K.Y.; Agho, K.E.; Page, A.; Arora, A.; Ogbo, F.A. Interventions to improve infant and young child feeding practices in Ethiopia: A systematic review. BMJ Open 2021, 11, e048700. [Google Scholar] [CrossRef] [PubMed]
- Ratnasari, D.; Paramashanti, B.A.; Hadi, H.; Yugistyowati, A.; Astiti, D.; Nurhayati, E. Family support and exclusive breastfeeding among Yogyakarta mothers in employment. Asia Pac. J. Clin. Nutr. 2017, 26, S31–S35. [Google Scholar] [CrossRef]
- Indrawanto, Y.; Paramashanti, B.A.; Hadi, H.; Rahmawati, N.I.; Amna, F.K. Breastfeeding Support and Facilities for Mothers in the Workplace. Indones. J. Nurs. Midwifery 2018, 5, 200–208. [Google Scholar]


| Characteristics | N | % |
|---|---|---|
| Number of Children | ||
| 1 | 114 | 27.9 |
| 2 | 92 | 22.5 |
| 3 | 80 | 19.6 |
| 4 | 59 | 14.5 |
| 5+ | 63 | 15.5 |
| Father’s Age (years) Mean ± SD = 34.67 ± 8.7 Minimum = 19, Maximum = 76 Mother’s and Caregiver’s Age (years) Mean ± SD = 30.69 ± 8.0 Minimum = 17, Maximum = 72 | ||
| Categorized Mother’s Age | ||
| <20 20–35 | 14 286 | 3.4 70.1 |
| >35 | 108 | 26.5 |
| Mother’s Education | ||
| Did not finish elementary school | 37 | 9.1 |
| Graduated from elementary school | 185 | 45.4 |
| Graduated from junior high school | 99 | 24.3 |
| Graduated from senior high school | 79 | 19.4 |
| Graduated from university or equal | 8 | 1.9 |
| Father’s Education | ||
| Did not finish elementary school | 35 | 8.8 |
| Graduated from elementary school | 140 | 35 |
| Graduated from junior high school | 111 | 27.8 |
| Graduated from senior high school | 104 | 25.6 |
| Graduated from university or equal | 10 | 2.5 |
| Mother’s Occupation | ||
| Farmer/Breeder/Fisherman/Laborer | 44 | 10.8 |
| Civil Servant/Police/Military/Entrepreneur | 9 | 2.2 |
| Housewife/Unemployed | 346 | 84.8 |
| Other | 9 | 2.2 |
| Father’s Occupation | ||
| Farmer/Breeder/Fisherman/Laborer | 318 | 79.5 |
| Civil Servant/Police/Military/Entrepreneur | 67 | 16.8 |
| Housewife/Unemployed | 1 | 1.2 |
| Other | 2 | 2.5 |
| Monthly Household Expenditure (mean ± SD) | ||
| IDR 529.649 ± 385.522 | ||
| Monthly Household Expenditure Percentile | ||
| <IDR 211,600 (USD 15) | 81 | 19.8 |
| IDR 211,600 - <IDR 360,600 (USD 15 - <USD 25) | 82 | 20.1 |
| IDR 360,600 - <IDR 531,600 (USD 25 - <USD 37) | 82 | 20.1 |
| IDR 531,600 - <IDR 767,600 (US $37 - <USD 54) | 82 | 20.1 |
| ≥IDR 767,600 (USD 54) | 81 | 19.9 |
| Household Expenditure Based on Regional Minimum Wage | ||
| <IDR 850.000 * | 65 | 15.9 |
| ≥IDR 850.000 | 343 | 84.1 |
| Determinants of Stunting | Stunting | Normal | COR * (95% CI) | AOR $ | ||
|---|---|---|---|---|---|---|
| No | (%) | No | (%) | (95% CI) | ||
| Sex | 1.52 (1.02–2.24) 1 | |||||
| Boys | 100 | 49.26 | 103 | 50.74 | 1.51 (0.98–2.33) | |
| Girls | 80 | 39.02 | 125 | 60.98 | 1 | |
| Exclusive Breastfeeding | 0.82 (0.55–1.22) 1 | |||||
| Yes | 105 | 42.17 | 144 | 57.83 | 0.82 (0.52–1.30) | |
| No | 75 | 47.17 | 84 | 52.83 | 1 | |
| Age | ||||||
| <12 months | 35 | 22.44 | 121 | 77.56 | 0.21 (0.13–0.33) 1 | 0.20 (0.13–0.33) |
| 12–24 months | 145 | 57.54 | 107 | 42.46 | 1 | |
| Caregiver Type | ||||||
| Mother | 164 | 42.93 | 218 | 57.07 | 0.47 (0.18–1.14) | 0.38 (0.14–1.03) |
| Other than Mother ** | 16 | 61.54 | 10 | 38.46 | 1 | 1 |
| Caregiver’s Age | ||||||
| <20 20–35 years | 05 124 | 35.71 43.36 | 09 162 | 64.29 56.64 | 0.62 (0.15–2.23) 0.85 (0.53–1.36) | |
| >35 years | 51 | 47.22 | 57 | 52.78 | 1 | |
| Time Available to Look After Children | ||||||
| Yes | 174 | 44.16 | 220 | 55.84 | 1.05 (0.31–3.75) | |
| No | 6 | 42.86 | 8 | 57.14 | 1 | |
| Monthly Household Expenditure | ||||||
| 1st Quintile | 32 | 39.5 | 49 | 60.5 | 1.24 (0.65–2.34) | 1.03 (0.50–2.12) |
| 2nd Quintile | 42 | 51.2 | 40 | 48.8 | 2.00 (1.06–3.73) | 2.00 (0.99–4.00) |
| 3rd Quintile | 43 | 52.4 | 39 | 47.6 | 2.09 (1.11–3.92) | 2.28 (1.12–4.64) |
| 4th Quintile | 35 | 42.7 | 47 | 57.3 | 1.41 (0.75–2.66) | 1.20 (0.60–2.41) |
| 5th Quintile | 28 | 34.6 | 53 | 65.4 | 1 | 1 |
| Mother’s Education | ||||||
| Uneducated | 17 | 45.95 | 20 | 54.05 | 1.7 (0.77–3.73) | |
| Graduated Elementary School | 85 | 45.95 | 100 | 54.05 | 1.7 (0.99–2.89) | |
| Graduated Junior High School | 49 | 49.49 | 50 | 50.51 | 1.96 (1.08–3.55) | |
| Graduated Senior High School or Higher | 29 | 33.33 | 58 | 66.67 | 1 | |
| Mother’s Occupation | ||||||
| Farmer/Breeder/Fisherman | 22 | 51.16 | 21 | 48.84 | 9.43 (1.09–81.00) | 11.74 (1.27–108.18) |
| Labor/Farming/Civil Servant/Military/ Entrepreneur | 2 | 25 | 6 | 75 | 3.00 (0.22–40.93) | 4.52 (0.29–69.86) |
| Unemployed | 155 | 44.67 | 192 | 55.33 | 7.27 (0.91–57.97) | 8.40 (1.00–70.29) |
| Other | 1 | 10 | 9 | 90 | 1 | 1 |
| Father’s Age | ||||||
| 25–39 years | 110 | 42.31 | 150 | 57.69 | 0.85 (0.54–1.30) | |
| <25 & ≥40 years | 65 | 46.43 | 75 | 53.57 | 1 | |
| Father’s Occupation | ||||||
| Farmer/Breeder/Fisherman | 137 | 46.13 | 160 | 53.87 | 0.96 (0.53–1.72) | |
| Labor/Farming/Civil servant/Military/ Entrepreneur | 15 | 28.30 | 38 | 71.70 | 0.44 (0.20–0.99) | |
| Unemployed | 3 | 60.00 | 2 | 40 | 1.68 (0.26–10.88) | |
| Other | 20 | 44.44 | 25 | 55.56 | 1 | |
| Monthly Household Expenditure Based on Regional Minimum Wage | ||||||
| <IDR 850.000 (USD 60.00) ≥IDR 850.000 (USD 60.00) | 185 43 | 53.94 66.15 | 298 22 | 46.06 33.85 | 1.66 (0.96–2.91) 1 | |
| Variable | Exclusive Breastfeeding | Not Exclusive Breastfeeding | X2 * (p-Value) | ||
|---|---|---|---|---|---|
| No. | (%) | No. | (%) | ||
| Monthly Household Expenditures | |||||
| <IDR 211,600 (USD 15) | 57 | 70.37 | 24 | 29.63 | 11.9 (0.018) |
| IDR 211,600 - <IDR 360,600 (USD 15 - <USD 25) | 50 | 60.98 | 32 | 39.02 | |
| IDR 360,600 - <IDR 531,600 (USD 25 - <USD 37) | 57 | 69.51 | 25 | 30.49 | |
| IDR 531,600 - <IDR 767,600 (USD 37 - <USD 54) | 46 | 56.10 | 36 | 43.90 | |
| >IDR 767,600 (USD 54) | 39 | 48.15 | 42 | 51.85 | |
| Total | 249 | 61.03 | 159 | 38.97 | |
Publisher’s Note: MDPI stays neutral with regard to jurisdictional claims in published maps and institutional affiliations. |
© 2021 by the authors. Licensee MDPI, Basel, Switzerland. This article is an open access article distributed under the terms and conditions of the Creative Commons Attribution (CC BY) license (https://creativecommons.org/licenses/by/4.0/).
Share and Cite
Hadi, H.; Fatimatasari, F.; Irwanti, W.; Kusuma, C.; Alfiana, R.D.; Asshiddiqi, M.I.N.; Nugroho, S.; Lewis, E.C.; Gittelsohn, J. Exclusive Breastfeeding Protects Young Children from Stunting in a Low-Income Population: A Study from Eastern Indonesia. Nutrients 2021, 13, 4264. https://doi.org/10.3390/nu13124264
Hadi H, Fatimatasari F, Irwanti W, Kusuma C, Alfiana RD, Asshiddiqi MIN, Nugroho S, Lewis EC, Gittelsohn J. Exclusive Breastfeeding Protects Young Children from Stunting in a Low-Income Population: A Study from Eastern Indonesia. Nutrients. 2021; 13(12):4264. https://doi.org/10.3390/nu13124264
Chicago/Turabian StyleHadi, Hamam, Fatimatasari Fatimatasari, Winda Irwanti, Chahya Kusuma, Ratih Devi Alfiana, M. Ischaq Nabil Asshiddiqi, Sigit Nugroho, Emma Clare Lewis, and Joel Gittelsohn. 2021. "Exclusive Breastfeeding Protects Young Children from Stunting in a Low-Income Population: A Study from Eastern Indonesia" Nutrients 13, no. 12: 4264. https://doi.org/10.3390/nu13124264
APA StyleHadi, H., Fatimatasari, F., Irwanti, W., Kusuma, C., Alfiana, R. D., Asshiddiqi, M. I. N., Nugroho, S., Lewis, E. C., & Gittelsohn, J. (2021). Exclusive Breastfeeding Protects Young Children from Stunting in a Low-Income Population: A Study from Eastern Indonesia. Nutrients, 13(12), 4264. https://doi.org/10.3390/nu13124264

