Abstract
Associations between habitual dietary intake of minerals and glucose metabolism have been extensively studied in relation to metabolic disorders. However, similar research has yet to be conducted in individuals after acute pancreatitis (AP). The main aim was to investigate the associations between habitual intake of 13 minerals and glycaemic status: new-onset prediabetes/diabetes after AP (NODAP), pre-existing prediabetes/type 2 diabetes (T2DM), and normoglycaemia after AP (NAP). Associations between the dietary intake of minerals and markers of glucose metabolism (glycated haemoglobin and fasting plasma glucose) were also studied. The EPIC-Norfolk food frequency questionnaire was used in a cross-sectional fashion to determine the habitual intake of 13 dietary minerals. ANCOVA as well as multiple linear regression analyses were conducted and five statistical models were built to adjust for covariates. The study included 106 individuals after AP. In the NODAP group, intake of 4 minerals was significantly less when compared with the NAP group: iron (B = −0.076, p = 0.013), nitrogen (B = −0.066, p = 0.003), phosphorous (B = −0.046, p = 0.006), and zinc (B = −0.078, p = 0.001). Glycated haemoglobin was significantly associated with iodine intake (B = 17.763, p = 0.032) and manganese intake (B = −17.147, p = 0.003) in the NODAP group. Fasting plasma glucose was significantly associated with manganese intake (B = −2.436, p = 0.027) in the NODAP group. Habitual intake of minerals differs between individuals with NODAP, T2DM, and NAP. Prospective longitudinal studies and randomised controlled trials are now warranted to further investigate the associations between mineral intake and NODAP.
Keywords:
manganese; iron; iodine; selenium; habitual mineral intake; pancreatitis; diabetes; glucose metabolism; insulin traits 1. Introduction
Diabetes mellitus is the most frequent non-communicable disease worldwide. Classifications of diabetes include both the widely recognised type 1 and type 2 and less appreciated types of secondary diabetes, such as diabetes of the exocrine pancreas (DEP) [1,2]. New-onset diabetes after acute pancreatitis is the most frequent DEP, characterised by dysfunction of endocrine cells in the pancreas secondary to an attack of acute pancreatitis (AP) [3,4,5]. The risk of new-onset diabetes after acute pancreatitis is at least 2 times higher in individuals after an attack of AP compared with the general population [6,7]. Also, a prospective longitudinal cohort study by the COSMOS group observed glucose metabolism derangement occurred progressively after an attack of AP, with 11% of individuals (who did not have diabetes at the time of hospitalisation) developing new-onset diabetes after acute pancreatitis up to 24 months post AP attack [8]. Further studies have found the incidence of AP and new-onset diabetes after acute pancreatitis rising over the years; consequently, the burden of these diseases is also increasing and is expected to keep rising over the next three decades [2,4]. New-onset diabetes after acute pancreatitis is commonly unrecognised and misdiagnosed as type 2 diabetes; however, there are marked differences between them. People with new-onset diabetes after acute pancreatitis have poorer glycaemic control, increased risk of developing cancer (in particular, pancreatic cancer), have a younger average age at death, and increased risk of mortality [1,5,9]. Men [7,10], young to middle-aged adults [11], and lean or overweight individuals [5] are also at higher risk of new-onset diabetes after acute pancreatitis compared with type 2 diabetes. Due to these established differences between the types of diabetes, treating new-onset diabetes after acute pancreatitis as type 2 diabetes is detrimental to optimal management [1,5,12].
Current first-line prevention and non-pharmaceutical management of type 2 diabetes is nutrition therapy—an integral component of a diabetes treatment plan [13,14]. Nutrition therapy improves glycaemic control, insulin resistance, and also aids weight loss, resulting in decreased mortality and morbidity associated with type 2 diabetes [13,15,16,17]. Individualised nutrition therapy includes modifying patients’ dietary intake, moving towards a healthful diet prioritising whole foods while reducing intake of processed, less nutritious, and energy-dense foods [13]. Current nutritional research for treatment of type 2 diabetes predominantly focuses on altered dietary intake, dietary patterns, and macronutrient intake, with less focus on micronutrient intake [16]. At the same time, there are no current disease specific nutrition interventions for those at risk of, or with new-onset diabetes after acute pancreatitis, with these people receiving generalised nutrition advice. Minerals are essential for glucose metabolism by serving as co-factors, activating insulin receptor sites, and affecting insulin sensitivity [18,19]. Previous studies investigating the role of minerals in type 2 diabetes observed that dietary intake of calcium [18,20], magnesium [20,21,22], and manganese [23,24,25] may have protective effects on type 2 diabetes, while increased dietary iron [26,27,28,29,30,31] and selenium [32,33,34] intake may increase risk of this type of diabetes. To the best of our knowledge, similar research has yet to be conducted on associations of habitual mineral intake with new-onset diabetes after acute pancreatitis. We hypothesised that habitual mineral intake plays a role in the dysregulation of glucose metabolism after AP.
The present study primarily aimed to investigate the associations between habitual intake of minerals and glycaemic status after AP. Secondary aims were to assess associations between the dietary intake of minerals and markers of glucose metabolism (fasting plasma glucose (FPG) and glycated haemoglobin (HbA1c)), and insulin traits (fasting insulin, homeostasis model assessment insulin sensitivity (HOMA-S) index, and homeostasis model assessment β-cell function (HOMA-β) index).
2. Methods
2.1. Study Design
This cross-sectional study investigated individuals after an attack of AP as part of the ANDROMEDA (Assessment of Nutritional and DietaRy factOrs in Metabolic Disorders after pAncreatitis) project conducted by the COSMOS group.
2.2. Study Population
Individuals were eligible to participate in the study if they fulfilled the following inclusion criteria: primary diagnosis of AP between 2015–2019, at least 18 years of age, reside in Auckland at the time of the study, and provided informed consent for participation. Diagnosis of AP was in line with the most up-to-date international guidelines, requiring at least two of the three following criteria to be present: abdominal pain suggestive of AP (acute onset of persistent and severe epigastric pain, often radiating to the back), elevated serum lipase and/or amylase levels at least three times greater than the upper limit of normal, and/or findings characteristic of AP in contrast-enhanced computed tomography, magnetic resonance imaging (MRI), or ultrasound studies [35]. Individuals were excluded if they met any of the following criteria: diagnosis of chronic pancreatitis, intraoperative diagnosis of pancreatitis, post-endoscopic retrograde cholangiopancreatography pancreatitis, history of type 1 or gestational diabetes, pregnancy during AP or hereafter, malignancy, history of steroid use, coeliac disease, or cystic fibrosis.
2.3. Study Groups
Study participants were categorised into three groups based on their HbA1c and FPG levels at the time of the study, in line with the ‘DEP criteria’ [36]. Those with HbA1c < 5.7% (39 mmol/mol) and/or FPG < 100 mg/dL (5.6 mmol/L) both at the time of their qualifying attack of AP and at the time of the study and made up the normoglycaemia after AP (NAP) group. Participants with type 2 diabetes or prediabetes (T2DM) before their qualifying attack of AP had an HbA1c ≥ 5.7% (39 mmol/mol) and/or FPG ≥ 100 mg/dL (5.6 mmol/L) at the time of the study made up the T2DM group. Last, those who had normoglycaemia before and during their qualifying AP attack but had HbA1c ≥ 5.7% (39 mmol/mol) and/or FPG ≥ 100 mg/dL (5.6 mmol/L) at follow-up made up the new-onset prediabetes/diabetes after pancreatitis (NODAP) group. Participants who had FPG >100 mg/dL (5.6 mmol/L) but HbA1c < 5.7% (39 mmol/mol) during their qualifying AP attack were not considered to account for effects of transient stress hyperglycaemia [37].
2.4. Ascertainment of Mineral Intake
Participants’ habitual diet over the year before recruitment was assessed using the EPIC-Norfolk food frequency questionnaire (FFQ) developed by the University of Cambridge [38]. The FFQ is a self-administered, validated, and semi-quantitative instrument that consists of two parts. Part one assesses the intake of 130 commonly and less commonly consumed foods. Part two consists of additional questions, gathering information on types and brands of foods such as breakfast cereal, milk, meat, and cooking fats. Ascertainment of habitual intake included minerals from food sources only; therefore, intake of supplements was not considered in the present study. The FFQ data were analysed using FETA (FFQ EPIC Tool for Analysis) software to calculate daily intake of 13 minerals: calcium (mg), chloride (mg), copper (mg), iodine (µg), iron (mg), magnesium (mg), manganese (mg), nitrogen (g), phosphorous (mg), potassium (mg), selenium (µg), sodium (mg), and zinc (mg). FFQs were excluded from the study if ten or more questions were left unanswered as this level of missing data would lead to significant underestimation of intake [38]. In addition, FFQ data were excluded if the ratio of total energy intake (estimated from the FFQ data) and estimated basal metabolic rate (determined by the Harris-Benedict equation) were more than two standard deviations (SD) outside the mean ratio (i.e., <0.28 and >1.82) [38].
2.5. Laboratory Assays
Venous blood samples were collected from participants to measure HbA1c (mmol/mol), FPG (mmol/L), and fasting insulin (mU/L). All participants were required to fast 8 h before blood collection to establish a fasted blood sample. Lab Plus (International Accreditation New Zealand accredited medical laboratory at Auckland City Hospital) analysed fresh samples. A Homeostasis Model Assessment calculator (HOMA2), developed by Oxford University, was used to estimate HOMA-S and HOMA- β indices as percentages of a normal reference population (version 2.2.4 Diabetes Trials Unit, University of Oxford, Oxford, UK).
2.6. Covariates
Demographic data, including age and sex, were collected during a standardised face-to-face health examination conducted by the COSMOS team. Participants undertook abdominal magnetic resonance imaging at the Centre for Advanced Magnetic Resonance Imaging (University of Auckland, Auckland, New Zealand) in order to measure abdominal visceral fat volume (VFV), subcutaneous fat volume (SFV) and, subsequently, visceral to subcutaneous fat volume ratio (V/S fat volume ratio). A 3T MAGNETOM Skyra scanner (Siemens, Erlangen, Germany) was used. Participants were asked to lie supine and hold their breath at the end of expiration. Axial T1-weighted volumetric interpolated breath-hold examination Dixon sequence was applied as reported elsewhere [39]. Visceral and subcutaneous fat volume was quantified using ImageJ software (National Institutes of Health, Bethesda, MD, USA). Abdominal fat phase images from the second lumbar vertebral level (L2) to the fifth lumbar vertebral level (L5) were used to measure subcutaneous and visceral fat depots [40]. The threshold function of ImageJ was used to convert grayscale pixels into binary images using the global histogram-derived method [39]. The non-adipose tissue was excluded from the measurement of visceral fat. The total number of pixels from the slices series was calculated and multiplied by the pixel area and slice thickness to obtain the VFV and SFV [41]. Subsequently, the ratio of V/S fat volume ratio was calculated.
Energy intake was defined as the average daily intake of calories (kcal) from food consumption assessed using the FFQ and determined by the FETA software, as was daily alcohol intake (g/day) [38]. Tobacco smoking status was established at the time of the MRI scan using a standardised questionnaire [42]. Smoking status was categorised into never, former, light (<20 cigarettes/day), moderate (20–39 cigarettes/day) and heavy (>40 cigarettes/day). Antidiabetic medications and cholecystectomy data were derived from participants’ health records on Concerto (Concerto TM software, Orion Health Group Ltd., Auckland, New Zealand). Information on the aetiology of AP was also acquired from health records and was categorised into biliary, alcohol-related, and other.
2.7. Statistical Analysis
All statistical analyses were performed using SPSS 27.0. (IBM Corporation, Armonk, NY, USA). The differences in baseline characteristics between the study groups (NODAP, T2DM, and NAP) were investigated using one-way ANOVA. Data were presented as mean (standard deviation) or frequency (percentage). First, analysis of covariance (ANCOVA) between the NODAP, T2DM, and NAP groups (reference group) was undertaken to assess variance in mean mineral intakes between the groups while adjusting for the effect of covariates. All investigated minerals were log-transformed to account for non-normal distribution (based on the Shapiro-Wilk test). Five models were built for ANCOVA analysis. Model 1 was unadjusted; model 2 was adjusted for age, sex, and daily energy intake; model 3 was adjusted for age, sex, daily energy intake, and V/S fat volume ratio; model 4 was adjusted for age, sex, daily energy intake, V/S fat volume ratio, smoking status, and daily alcohol intake; model 5 was adjusted for age, sex, daily energy intake, V/S fat volume ratio, smoking status, daily alcohol intake, aetiology of AP, number of AP episodes, cholecystectomy, and use of antidiabetic medications. Data were presented as a β coefficient, p value, and 95% confidence interval. Last, to investigate the associations between the investigated minerals and markers of glucose metabolism as well as insulin traits, multiple linear regression analyses were conducted for each study group. Each marker of glucose metabolism and insulin trait was treated as a dependent variable. Multiple linear regression analyses were conducted using the same five statistical models as the ANCOVA analysis. Data were presented as R2, unstandardised B, p value, and 95% confidence interval. P values less than 0.05 were considered statistically significant in all analyses, and data were not corrected for multiple tests.
3. Results
3.1. Characteristics of the Study Cohort
A total of 106 eligible individuals diagnosed with AP were included in the present study. The mean and standard deviation time since the last AP attack was 26 ± 20 months, and the number of participants with recurrent attacks of AP did not differ significantly between the groups (p = 0.125). The NODAP group consisted of 37 participants, the T2DM group consisted of 37 participants, and the NAP group consisted of 32 participants. Table 1 shows the characteristics of the study cohort. There were statistically significant differences in means between the three groups for the following characteristics: V/S fat volume ratio (p = 0.035), use of antidiabetic medications (p < 0.001), HbA1c (mmol/mol) (p < 0.001), and FPG (mmol/L) (p < 0.001).
Table 1.
Characteristics of the study cohort.
3.2. Associations between Habitual Mineral Intake and Diabetes Types
In the NODAP group, four minerals (iron, nitrogen, phosphorous, zinc) were significantly different when compared with the NAP group (Table 2). The mean iron intake was significantly different in all adjusted models (p = 0.029 in model 2, p = 0.030 in model 3, p = 0.036 in model 4, and p = 0.013 in model 5). The mean nitrogen intake was significantly different in all adjusted models (p = 0.003 in model 2, p = 0.003 in model 3, p = 0.002 in model 4, and p = 0.003 in model 5). The mean phosphorous intake was significantly different in all adjusted models (p = 0.005 in model 2, p = 0.005 in model 3, p = 0.005 in model 4, and p = 0.006 in model 5). The mean zinc intake was significantly different in all adjusted models (p = 0.002 in model 2, p = 0.003 in model 3, p = 0.003 in model 4, and p = 0.001 in model 5). Intake of other investigated minerals in the NODAP group did not differ significantly from the reference group.
Table 2.
Associations between habitual mineral intake and the study groups.
In the T2DM group, one mineral was significantly different when compared with the NAP group (Table 2). The mean copper intake was significantly different in the unadjusted model (p = 0.012) and adjusted models 2–4 (p = 0.039 in model 2, p = 0.026 in model 3, and p = 0.049 in model 4). However, the difference in mean intake became insignificant in the most adjusted model (p = 0.147). Intake of other investigated minerals in the T2DM group did not differ significantly from the reference group.
3.3. Associations between Habitual Mineral Intake and Markers of Glucose Metabolism in the Study Groups
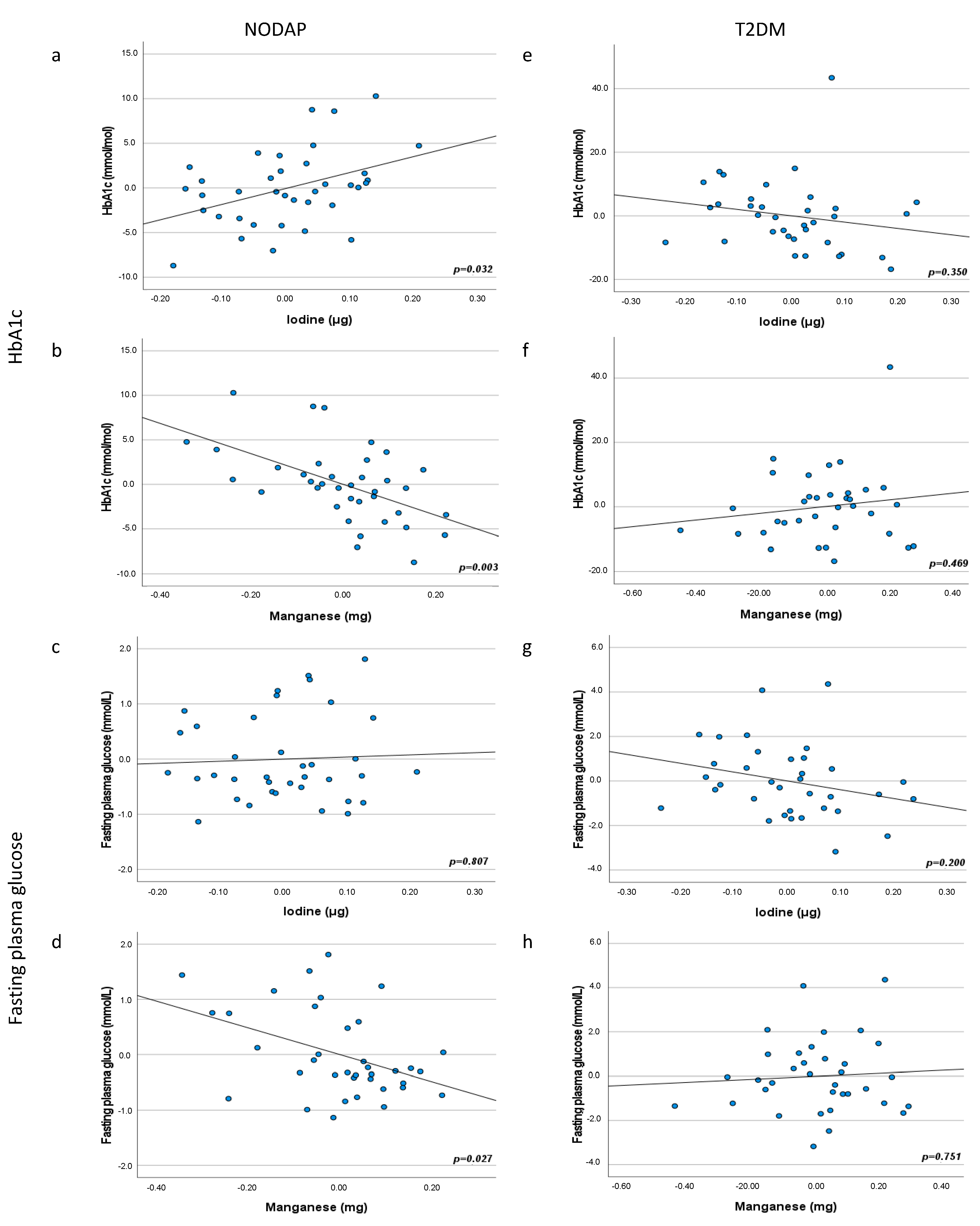
HbA1c levels were associated with two minerals in the NODAP group. Iodine intake was significantly directly associated with HbA1c levels in adjusted models 3 and 5 (p = 0.037 and p = 0.032, respectively) (Table 3, Figure 1). Manganese intake was significantly inversely associated with HbA1c in the NODAP group in all adjusted models (p = 0.003 in model 2, p = 0.003 in model 3, p = 0.002 in model 4, and p = 0.003 in model 5) (Figure 1). Associations between intake of other investigated minerals and HbA1c in the NODAP group were not statistically significant.
Table 3.
Associations between habitual mineral intake and HbA1c in the study groups.
Figure 1.
Associations between iodine and manganese intake and markers of glucose metabolism in NODAP (a–d) and T2DM (e–h). Abbreviations: NODAP = New-onset diabetes or prediabetes after acute pancreatitis. T2DM = Type 2 diabetes or prediabetes prior to acute pancreatitis. HbA1c = glycated haemoglobin. Iodine and manganese data were log transformed. Partial regression plots were adjusted for age, sex, daily energy intake, V/S fat volume, alcohol intake, smoking status, aetiology of AP, number of AP episodes, cholecystectomy, use of antidiabetic medications. Significance was set at p < 0.05.
In the T2DM group and the NAP group, there were no statistically significant associations between any investigated minerals and HbA1c levels in all models.
FPG levels were associated with one mineral in the NODAP group (Table 4, Figure 1). Manganese was significantly inversely associated with FPG in all adjusted models (p = 0.029 in model 2, p = 0.031 in model 3, p = 0.020 in model 4, and p = 0.027 in model 5) (Figure 1).
Table 4.
Associations between habitual mineral intake and fasting plasma glucose in the study groups.
In the T2DM group, associations between the investigated minerals and FPG were not statistically significant (Table 4).
In the NAP group, FPG levels were associated with three minerals (copper, magnesium, and potassium) (Table 4). Copper intake was significantly inversely associated with FPG levels in adjusted models 2 and 5 (p = 0.044 in model 2 and p = 0.023 in model 5). Magnesium intake was significantly inversely associated with FPG levels in all adjusted models (p = 0.008 in model 2, p = 0.023 in model 3, p = 0.027 in model 4, and p = 0.030 in model 5). Potassium intake was significantly inversely associated with FPG levels in all adjusted models (p = 0.011 in model 2, p = 0.029 in model 3, p = 0.031 in model 4, and p = 0.036 in model 5).
3.4. Associations between Habitual Mineral Intake and Insulin Traits in the Study Groups
Fasting insulin levels were associated with two minerals (chloride and sodium) in the NODAP group (Table 5). Chloride intake was significantly directly associated with fasting insulin levels in the unadjusted model only (p = 0.044). Sodium was significantly directly associated with fasting insulin levels in the unadjusted model only (p = 0.043).
Table 5.
Associations between habitual mineral intake and fasting insulin in the study groups.
Fasting insulin was associated with seven minerals (calcium, chloride, iodine, iron, nitrogen, sodium, and zinc) in the T2DM group (Table 5). Calcium intake was inversely associated with fasting insulin levels in the most adjusted model (p = 0.048) (Figure 2). Chloride intake was significantly inversely associated with fasting insulin in the unadjusted model (p = 0.043) and adjusted models 2 and 3 (p = 0.035 in model 2 and p = 0.039 in model 3). Iodine intake was significantly associated in the most adjusted models 4 and 5 (p = 0.042 in model 4 and p = 0.041 in model 5) (Figure 2). Iron intake was inversely associated with fasting insulin levels in adjusted model 4 only (p = 0.028). Nitrogen intake was significantly inversely associated with fasting insulin in both the unadjusted model (p = 0.032) and all adjusted models (p = 0.026 in model 2, p = 0.028 in model 3, p = 0.010 in model 4, and p = 0.043 in model 5) (Figure 2). Sodium intake was significantly inversely associated with fasting insulin in the unadjusted model (p = 0.022) and adjusted models 2 and 3 (p = 0.008 in model 2 and p = 0.010 in model 3). Zinc intake was significantly inversely associated with fasting insulin levels in both the unadjusted model (p = 0.007) and all adjusted models (p = 0.001 in model 2, p = 0.001 in model 3, p < 0.001 in model 4, and p < 0.001 in model 5) (Figure 2).
Figure 2.
Associations between calcium, iodine, nitrogen, and zinc intake and fasting insulin in NODAP (a–d) and T2DM (e–h). Abbreviations: NODAP = New-onset diabetes or prediabetes after acute pancreatitis. T2DM = Type 2 diabetes or prediabetes prior to acute pancreatitis. HbA1c = glycated haemoglobin. Calcium, iodine, nitrogen, and zinc data were log transformed. Partial regression plots were adjusted for age, sex, daily energy intake, V/S fat volume, alcohol intake, smoking status, aetiology of AP, number of AP episodes, cholecystectomy, use of antidiabetic medications. Significance was set at p < 0.05.
Fasting insulin was not significantly associated with the investigated minerals in the NAP group.
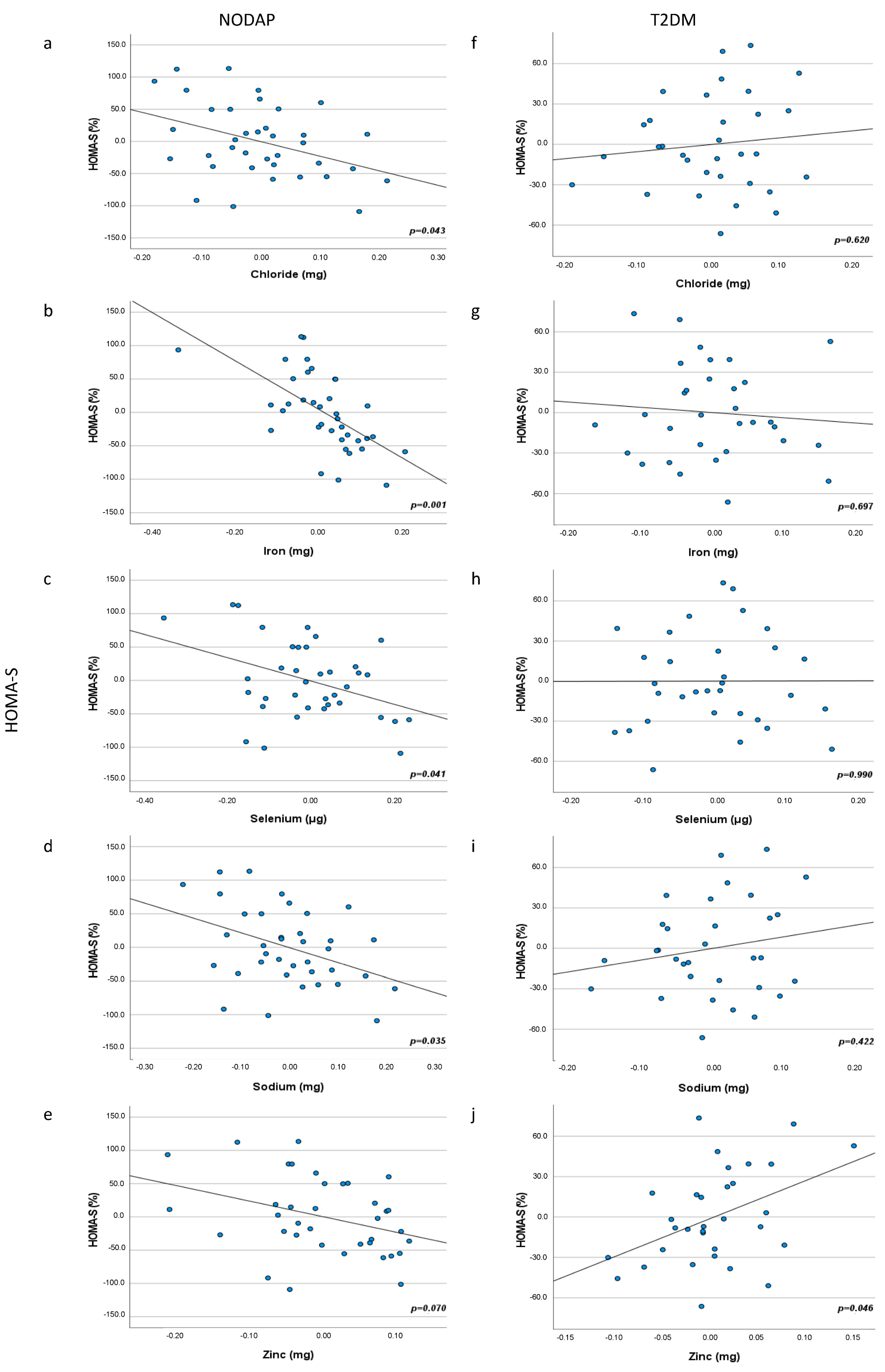
HOMA-S was associated with four minerals (chloride, iron, selenium, sodium) in the NODAP group (Table 6). Chloride intake was significantly inversely associated with HOMA-S in the unadjusted model (p = 0.044) and the most adjusted model (p = 0.044) (Figure 3). Iron intake was significantly inversely associated with HOMA-S in the unadjusted model (p = 0.040) and adjusted models (p = 0.020 in model 4 and p = 0.001 in model 5) (Figure 3). Selenium intake was significantly inversely associated with HOMA-S in both the unadjusted (p = 0.015) and all adjusted models (p = 0.010 in model 2, p = 0.010 in model 3, p = 0.014 in model 4, and p = 0.042 in model 5) (Figure 3). Sodium intake was significantly inversely associated with HOMA-S in the unadjusted model (p = 0.033) and the most adjusted model (p = 0.035) (Figure 3).
Table 6.
Associations between habitual mineral intake and HOMA-S in the study groups.
Figure 3.
Associations between chloride, iron, selenium, sodium, and zinc intake and HOMA-S in NODAP (a–e) and T2DM (f–j). Abbreviations: NODAP = New-onset diabetes or prediabetes after acute pancreatitis. T2DM = Type 2 diabetes or prediabetes prior to acute pancreatitis. HbA1c = glycated haemoglobin. Chloride, iron, selenium, sodium, and zinc data were log transformed. Partial regression plots were adjusted for age, sex, daily energy intake, V/S fat volume, alcohol intake, smoking status, aetiology of AP, number of AP episodes, cholecystectomy, use of antidiabetic medications. Significance was set at p < 0.05.
HOMA-S was associated with one mineral in the T2DM group (Table 6). Zinc intake was significantly directly associated with HOMA-S in two adjusted models (p = 0.023 in model 4 and p = 0.037 in model 5) (Figure 3).
HOMA-S was not significantly associated with any of the investigated minerals in the NAP group.
HOMA-β was associated with one mineral in the NODAP group (Table 7). Magnesium was significantly directly associated with HOMA-β in the most adjusted models (p = 0.035). HOMA-β was not significantly associated with any of the investigated minerals in the T2DM or NAP group (Table 7).
Table 7.
Associations between habitual mineral intake and HOMA-β in the study groups.
4. Discussion
The present study was the first to investigate habitual mineral intake in people with NODAP. The study compared the mean habitual intake of 13 minerals between the NODAP and NAP groups and assessed associations between habitual mineral intake and markers of glucose metabolism, as well as insulin traits, in these groups. A key finding was significant associations between iron, nitrogen, phosphorous, and zinc intakes and the NODAP group, but not the T2DM group. Another key finding was significant associations between manganese, iodine, and markers of glucose metabolism in the NODAP group. Specifically, a significant inverse relationship was observed between manganese intake and both HbA1c and FPG, whereas iodine was significantly directly related to HbA1c levels. Five minerals were also significantly associated with insulin traits in the NODAP group. Specifically, magnesium intake was directly associated with HOMA-β whereas chloride, iron, selenium, and sodium intakes were significantly inversely associated with HOMA-S in people with NODAP.
4.1. Manganese Intake and Glucose Metabolism
Manganese is an essential trace element primarily obtained through the dietary intake of grain and cereal products, vegetables, and beverages (tea) [43]. Absorption of manganese is limited, with only 1–5% of ingested intake being absorbed through the small intestine [44,45]. Once absorbed, manganese is transported to mitochondria-rich organs (such as the liver, pituitary gland, and pancreas) [44,45]. Manganese is involved in many processes throughout the body, including enzyme synthesis and activation, metabolism of glucose and lipids, haematopoiesis, endocrine regulation, and immune function [45].
Previous studies have investigated the association between manganese and type 2 diabetes using varying methods of assessing manganese status. Du et al. observed an inverse relationship between manganese intake and type 2 diabetes (independent of total antioxidant capacity) in two prospective cohort studies of Chinese individuals [25]. Similar results were observed by Mancini et al. and Gong et al., who investigated manganese intake and risk of type 2 diabetes in all women and postmenopausal women, respectively [23,46]. Eshak et al. examined these associations in a Japanese cohort, observing only a significant inverse association between manganese intake and risk of type 2 diabetes in women (but not men) [24]. The sex difference in these observed results was attributed to women’s higher absorption, bioavailability, and retention of manganese. Women typically have lower iron intake and an increased risk of low ferritin levels and iron deficiency; therefore, manganese does not have to compete with iron for absorption [24]. Other studies have examined relationships between manganese and type 2 diabetes using blood, urine, and serum manganese. Koh et al. observed that low blood manganese levels were associated with increased prevalence of type 2 diabetes in a cross-sectional study in a Korean population [47]. Yang et al. investigated associations between both blood and urinary manganese levels and markers of glucose metabolism and insulin traits [48]. Results showed a positive linear relationship between urinary manganese (but not blood manganese) with FPG and HbA1c among women, while a J-shaped nonlinear relationship of blood manganese with HOMA-IR and insulin among men [48]. Interestingly, Shan et al. observed a U-shaped association between serum manganese and type 2 diabetes in a Chinese population, suggesting that both low and high levels of manganese increase the risk of type 2 diabetes [49]. Evidence suggests that there is likely a link between decreased habitual manganese intake and increased risk of type 2 diabetes, which appears to be stronger in women and Asian populations [24,25,47,48]. The present study was the first to investigate the associations of dietary manganese intake and glucose metabolism/insulin traits in the unique cohort of individuals after an attack of AP. We found that manganese intake had an inverse relationship with both HbA1c and FPG in those with NODAP. Specifically, every 1 mg decrease in manganese intake was significantly associated with a 0.17 mmol/mol increase in HbA1c and a 0.02 mmol/L increase in FPG in people with NODAP. By studying the associations of both HbA1c and FPG, we were able to investigate the relationship between manganese intake and glucose metabolism comprehensively. HbA1c measures blood glucose levels over the past 90–120 days and therefore mitigates any day-to-day variation in plasma glucose levels. However, HbA1c can be affected by abnormal haemoglobin levels [50]. FPG is specific to plasma glucose after a fasted period (8 h in the present study) and remains unaffected by these abnormalities [51].
The mechanistic link between manganese and HbA1c and FPG is not fully understood; however, there is a possible role of the involvement of superoxide dismutase (SOD) enzymes [45,52,53]. There are three forms of SOD in mammals and manganese is a crucial component of manganese SOD (MnSOD) (it is worth noting that two of the other studied minerals—copper and zinc—are structural components of copper/zinc and extracellular SOD) [54]. SODs contribute to metabolic processes and protect cells against oxidative damage [45,52]. It has been hypothesised that MnSOD can affect glucose metabolism and insulin secretion [45]. MnSOD acts as an antioxidant to reduce oxidative stress and free radicals by catalysing the disproportionate superoxide anion radicals to hydrogen peroxide and molecular oxygen [45,52,53]. Reactive oxidant species and oxidative stress can result in impaired islet β-cell function, cause insulin resistance, and finally lead to impaired glucose metabolism [45]. Animal models have observed that manganese supplementation can increase MnSOD activity and improve glucose tolerance [55,56]. There are few studies on these associations in humans. Hope et al. observed that moderate to high intake of black tea (which is high in manganese) did not significantly alter circulating manganese levels or expression of leucocyte MnSOD [57]. However, an inverse relationship was noted between blood manganese and leucocyte MnSOD expression, which suggests that low levels of manganese may lead to overcompensation of MnSOD expression [57]. AP is a disease characterised by acute inflammation and oxidative stress, with subclinical low-grade inflammation persisting after the initial attack [58,59]. This leads to elevated oxidant levels and, consequently, MnSOD may be upregulated to manage oxidative damage [60]. Ściskalska et al. observed that patients with AP had a 3-fold increased MnSOD in erythrocytes compared with healthy controls and decreased plasma MnSOD, suggesting migration of MnSOD from other cells circulating in plasma (e.g., leukocytes and platelets) in the state of oxidative stress induced by AP [54]. Gut hormones (e.g., gastric inhibitory peptide and peptide YY) appear to increase circulating levels of pro-inflammatory cytokines, leading to persistent subclinical inflammation following an attack of AP [58,59]. As inverse associations between manganese intake and HbA1c and FPG were observed in the present study, there may be a link between manganese intake and MnSOD levels in patients after AP, perpetuating glucose metabolism dysfunction. Purposely designed studies are now warranted to investigate the exact mechanism behind the association between manganese intake and NODAP. In the present study, the mean manganese intakes were 2.91 and 2.46 mg/day for men and women, respectively. These mean manganese intakes are 47.1% and 50.8% lower than the New Zealand and Australia adequate intake guidelines of 5.5 and 5 mg/day (for men and women, respectively) [43]. Therefore, manganese intake meeting the adequate intake may be beneficial for people after an attack of AP. Manganese is present in a wide range of foods and food groups, including shellfish (1.1–6.8 mg/100 g), nuts (3.8–13 mg/100 g), whole grains (3.1–7 mg/100 g), legumes (0.40–2.5 mg/100 g), vegetables (0.7–1.5 mg/100 g), and black tea (0.4–1.9 mg/100 g) [61,62].
4.2. Iron Intake and Glucose Metabolism
Iron is a mineral that is an essential component of proteins (e.g., haemoglobin, myoglobin, and cytochromes) and a cofactor to enzymes involved in redox reactions [43]. Dietary iron has two forms (haem and non-haem) that differ in chemical structure, food sources, and absorptive properties. Non-haem iron, primarily derived from plant sources, is less bioavailable than haem iron (derived from meat products) as it is not as readily absorbed in the small intestine [63]. Iron absorption occurs via the apical brush border membrane of the small intestine by haem carrier protein (HCP1) and divalent metal transporter (DMT1), which enable transmembrane transport of haem iron into enterocytes, where iron is transported into plasma via ferroportin [64,65]. These transporters allow haem iron to be efficiently absorbed in the small intestine; however, non-haem iron forms insoluble non-absorbable complexes in an alkaline environment, thus requiring ferric iron to be reduced to ferrous iron to be absorbed [65,66]. The bioavailability of non-haem iron can also be limited by the presence of oxalates, phytates, polyphenols, phosphates, and calcium, which interfere with iron absorption. These compounds are present in most non-meat sources of iron; therefore, they primarily implicate non-haem iron absorption [65]. Iron homeostasis is tightly regulated. A peptide hormone, hepcidin, is the primary regulator of iron homeostasis by maintaining the systemic balance of iron storage, distribution, and utilisation [66]. Hepcidin negatively controls iron efflux by inactivating ferroportin in macrophages, enterocytes, and other cells to decrease plasma iron levels [64]. Hepcidin is upregulated in response to high iron levels and is down-regulated during iron deficiency, anaemia, or hypoxia to increase iron uptake [67]. Inflammatory states also lead to upregulation of hepcidin, triggered by proinflammatory cytokines such as interleukin-6 [64].
There is evidence to suggest a relationship between increased iron intake and impaired glucose metabolism resulting in an increased risk of type 2 diabetes [26,27,28,29,30,31], gestational diabetes [68,69,70], and metabolic syndrome [71,72]. Increased frequency of diabetes has also been observed in iron overload disorders (haemochromatosis and β-thalassemia), attributed to insulin resistance and destruction of pancreatic β-cells [64,73,74]. However, there is limited research on the effects of iron on glucose metabolism in individuals after pancreatitis. A previous ANDROMEDA study by the COSMOS group investigated associations between dietary iron and markers of glucose metabolism in individuals after pancreatitis. Kimita et al. found that total and non-haem iron were significantly inversely associated with FPG in individuals following AP [75]. These results contrast previous findings from studies investigating non-haem iron intake and glucose metabolism that found positive associations or no associations [71,72,76]. The present study found total iron intake in the NODAP group was significantly less than in the NAP group and was inversely associated with insulin sensitivity (HOMA-S). Every 1mg increase in total iron intake was significantly associated with a 3.12% decrease in HOMA-S in people with NODAP. These findings provide new insight into the role of iron intake on insulin sensitivity in people with NODAP. As our previous study focused on iron metabolism and hyperglycaemia in all individuals following AP, the subgroup analysis by diabetes type in the present study uncovered novel insights into iron’s role in NODAP.
However, the mechanism of this association is not fully understood [77]. In the context of type 2 diabetes, elevated levels of serum ferritin were associated with an increased risk of diabetes and were significantly associated with elevated levels of insulin, glucose, and HbA1c [78,79,80]. It has also been suggested that elevated ferritin levels in type 2 diabetes are due to inflammatory mechanisms rather than iron overload as there were no differences in transferrin receptor levels [81,82]. A comprehensive review of iron metabolism and the exocrine pancreas provided evidence for crosstalk between iron metabolism and the exocrine pancreas [83]. Chand et al. found that hepcidin levels were significantly increased and ferritin levels significantly decreased in participants with prediabetes/diabetes after AP, providing further evidence that iron may be involved in and the pathogenesis of NODAP [77]. In the present study, the mean iron intake for men was 10.51 mg/day, which is 75% higher than the New Zealand and Australia EAR of 6 mg/day for men [43]. The mean intake of women in our study cohort was 8.87 mg/day, which is 77.4% higher than the New Zealand and Australia EAR of 5 mg/day for women over 51 [43]. Dietary sources of haem iron include seafood (1.1–16.9 mg/100 g) and meat (2.3–21 mg/100 g), while sources of non-haem iron include fortified grain products (2.6–15.4 mg/100 g), legumes (5.3–6.4 g/100 g), nuts (3.5–9.2 mg/100 g), and vegetables (0.6–4.4 mg/100 g) [62]. In New Zealand, whole grain cereals, meat, fish, and poultry are significant contributors to iron intake [43,84]. Therefore, iron intake within the recommended range may be beneficial for people after an attack of AP.
4.3. Iodine and Selenium Intakes and Glucose Metabolism
The pairing of selenium and iodine and their involvement in glucose metabolism has been suggested [85]. Iodine plays an important role in the synthesis of thyroid hormones—triiodothyronine (T3) and thyroxine (T4)—and is therefore crucial for the regulation of basal metabolic rate, macronutrient metabolism, redox reactions, and normal growth and development within the body [86,87]. Iodine is ingested in different chemical forms, which are absorbed differently. Up to 90% of iodide is absorbed in the stomach and duodenum, while iodate is reduced to iodide for absorption. The rate of iodine absorption is dependent on the iodine status of an individual. In individuals with adequate iodine levels, up to 10% of absorbed iodine is taken up by the thyroid, whereas as much as 80% can be taken up in iodine deficiency (62). In the thyroid, thyroperoxidase and hydrogen peroxide oxidise iodide bind with thyroglobulin to produce thyroid hormone precursors, monoiodotyrosine and diiodotyrosine, which then form T3 and T4 [87]. Iodine not taken up by the thyroid is excreted from the body in urine [88]. Due to its role in thyroid hormone synthesis, dietary iodine intake is closely related to thyroid function [89,90]. Both iodine deficiency and iodine excess have been associated with an increased risk of thyroid disorders including iodide-induced hyperthyroidism, autoimmune thyroid disease, iodine-induced hypothyroidism [90,91].
There is a clear link between thyroid function, diabetes and glucose metabolism due to thyroid hormones’ role in regulating carbohydrate metabolism and pancreatic function [92,93]. Studies have found both hypo- and hyperthyroidism have been associated with insulin resistance and impaired glycaemic control, leading to hyperglycaemia [92,93,94,95]. Therefore, a link between iodine intake and type 2 diabetes is plausible. However, few studies focused on associations between dietary iodine intake and type 2 diabetes. Mancini et al. found iodine intake above 160 μg/day was significantly associated with an increased risk of type 2 diabetes in French women [96]. Other studies have investigated the same association using urinary iodine—a commonly used indicator of iodine intake [88]. Liu et al. examined the effect of excessive iodine intake on blood glucose levels in Chinese adults [86]. The cross-sectional study assessed median water iodine concentration (MWIC) and median urinary iodine concentration (MUIC) in in three geographical areas classed as iodine-adequate (MWIC 6.3 μg/L MUIC 126.6 μg/L), iodine-sufficient (MWIC 79.8 μg/L, MUIC 221.2 μg/L), and iodine-excess (MWIC 506.0 μg/L, MUIC 421.3 μg/L) [86]. The authors found that blood glucose of adults in iodine-sufficient and iodine-excess areas was increased, compared with the iodine-adequate area. Urinary iodine, thyroid stimulating hormone (TSH), and free T4 also had a nonlinear correlation with blood glucose [86]. Therefore, it was concluded that excessive iodine intake might result in elevated blood glucose and contribute to the development of diabetes. The present study found iodine intake is significantly associated with HbA1c levels in people with NODAP. Every 1 μg increase in iodine intake was significantly associated with a 0.17 mmol/mol increase in HbA1c in those with NODAP.
Selenium plays structural and enzymatic roles in antioxidant defence systems throughout the body [33,97,98]. It is a component of selenoproteins that act as a cofactor of many enzymes, including glutathione peroxides, thyroid peroxidases, thioredoxin reductases, and iodothyronine deiodinidases [33,97]. Selenium’s role in diabetes has been debated. It was previously hypothesised that selenium might prevent the development of diabetes due to its antioxidant properties [99]. Selenate has also been observed to act as an effective insulin-mimetic by stimulating glycolysis, fatty acid synthesis and, in some cases, glycogen synthesis in animal models [100,101]. However, in human studies, there is evidence to suggest that increased selenium intake has a positive relationship with the risk of type 2 diabetes. Siddiqi et al. observed a significant direct association between dietary selenium intake and HbA1c and FBG [33]. These results were consistent with Wei et al., who found a significant positive association between dietary selenium and the prevalence of diabetes in a Chinese population [34]. A prospective study involving 7182 Italian women also found that dietary selenium had a strong association with type 2 diabetes [32]. Selenium supplementation has also been studied in the context of diabetes. Stranges et al. examined the effect of long-term selenium supplementation and diabetes in low-selenium regions of eastern United States [102]. Results showed that increased selenium intake (via 200 μg supplementation) significantly increased the cumulative incidence of T2DM in this population compared with the placebo group [102]. Therefore, evidence suggests limited usefulness of selenium supplementation in the prevention of T2DM. One study showed a U-shape association between dietary selenium intake and type 2 diabetes, which indicates that low intake may also increase the risk of T2DM [103]. Behar et al. observed that high and low dietary selenium intake could impact glycaemic control in women from Algeria [103]. In that population, both the lowest and highest quintiles of selenium intake were associated with a significant increase in HbA1c [103]. However, a systematic review and meta-analysis of selenium exposure (measured in serum, plasma, whole blood, nail, urine, hair, tears, and dietary intake) and risk of diabetes found a consistent pattern of a positive association in both nonexperimental and experimental studies, with limited evidence for associations between low selenium exposure and diabetes [104]. Our study found an inverse relationship between habitual selenium intake and insulin sensitivity (but not HbA1c or FPG) in people with NODAP. Every 1 μg increase in selenium intake was significantly associated with a 1.71% decrease in HOMA-S (%).
Overall, our results suggest that selenium and iodine intake play a role in insulin sensitivity, which may be involved with the progression of NODAP. A possible mechanism for this is their respective roles in the synthesis of thyroid hormones. Thyroid hormones are efficient modulators of catabolism of energy sources (including carbohydrates) and both hyperthyroidism and hypothyroidism have been associated with the development of diabetes [105]. A positive relationship has been observed between thyroid stimulating hormone and HOMA-IR, indicating hypothyroidism has a role in insulin resistance and diabetes [106,107]. In AP, serum free T3 and T4 are reduced and TSH levels are increased. It has also been observed that levels of TSH are related to severity of AP [108,109,110]. Therefore, it is possible that iodine and selenium requirements may be altered for people with a history of AP. Dietary intake of both selenium and iodine varies greatly and is often dependent on geographical location and soil composition. Mean iodine intake in the present study was 119.61 µg/day in men and 104.93 µg/day in women, which is 20% and 5% higher than the New Zealand and Australia EAR or 100 µg/day for men and women [43]. The native iodine content of most foods and beverages is low due to the lack of iodine in New Zealand soil. Therefore, the majority of iodine intake is from fortified foods (commercially made bread 30.1–53.5 µg/100 g and iodised salt 32–64 µg/100 g) [43,111]. Seafood (12–370 µg/100 g), eggs (61 µg/100 g), and milk products (10–50.4 µg/100 g) are also sources of iodine [43,62,112]. The iodine content of meat products (4.2–50 µg/100 g) is reflective of the iodine content of animal feed used [62,87]. The use of processing aids (e.g., calcium iodate, potassium iodate, potassium iodide, and cuprous iodide) also increases iodine content in processed foods [43,87]. In our study population, mean selenium intake was 59.73 µg/day in men and 49.97 µg/day in women—in line with the New Zealand and Australia EAR of 60 µg/day and 50 µg/day for men and women [43]. Dietary sources of selenium include Brazil nuts (1270 µg/100g), seafood (46.7–142 µg/100 g), meat (21–110 µg/100 g), whole grains (7.6–28.7 µg/100 g), and vegetables (0.9–16.1 µg/100 g) [62]. However, plant sources of selenium are not as efficient as animal products due to their high water content and the varying soil content of selenium [43,97]. Dietary factors such as vitamins, fat, protein, and some heavy metals also alter the bioavailability of selenium [113]. Therefore, the requirements of these minerals for people after AP may be different than for the general population.
4.4. Limitations
Findings of the present study must be considered with several limitations. First, habitual dietary intake of minerals was ascertained using a self-reported FFQ, which relies on the ability of respondents to recall their usual intake of foods. Therefore, FFQ data might be biased due to omission or addition of foods, and over- or under-estimating frequency and portion of foods [114]. However, the EPIC-Norfolk FFQ has been extensively validated and it provides a more accurate estimation of long-term habitual intake of minerals compared with other dietary assessment methods (e.g., 3-day food records) [38,115]. Second, the possibility of changes in the habitual intake after an attack of AP must not be discounted. However, the FFQ assesses habitual intake in the 12 months before the study visit and our study participants were recruited, on average, in 26 months since the last attack of AP (hence, the data captured in the FFQ focused on the period after the AP attack). Also, they were not encouraged to make any dietary changes after hospital discharge. Third, the present study investigated intake of each mineral in isolation and did not account for all dietary covariates associated, including but not limited to intake of other minerals, protein, fat, and carbohydrates. Due to the complex composition of food, individuals consume various macronutrients and micronutrients at one time, some of which may interact with absorption or utilisation of another. For example, iron absorption is known to be influenced by many factors that inhibit (calcium, zinc, manganese, phytates, polyphenols, and vegetable protein) or enhance (meat, fish, poultry factor, vitamin C and citric, lactic, and malic acids) it [63]. Various minerals are also known to compete for absorption. For example, manganese bioavailability is influenced by dietary iron intake, as they compete for binding to transferrin in serum and transport by divalent metal transporter 1 [116]. Calcium, phosphate, and zinc are also known to interact with manganese absorption [43,44,117]. Considering the relatively small sample size of the present study, including these covariates might have resulted in the overfitting of statistical models. However, energy intake was included in statistical models to encompass most dietary variables as a single factor, along with other covariates (age, sex, V/S fat volume ratio, smoking status, alcohol intake, aetiology of AP, number of AP episodes, cholecystectomy, use of antidiabetic medications) to provide robust models. It is also worth noting that V/S fat volume ratio was used instead of traditional measures of adiposity (BMI and waist circumference) as it is a more comprehensive measure of relative body fat distribution and is correlated superbly to metabolic risk [118]. Fourth, use of oral pharmacologic agents and/or insulin therapy was exclusive to those in the T2DM group and not in the NODAP group. Therefore, use of these medications has the potential to confound results, particularly between markers of glucose metabolism and mineral intake in the T2DM group. By adjusting for antidiabetic medication use in statistical models, internal validity of results is maintained and results are comparable between study groups. Future research should further investigate the impact of antidiabetic medications on mineral intake and markers of glucose metabolism. This study also did not assess other possible confounders (such as enzyme activity, levels of hormones or inflammatory markers), which may have implications on glucose metabolism and insulin traits following AP. They should be addressed in further research. Fifth, dietary supplements were not included in this study due to limitations of the FETA software [38]. Hence, results in the present study can only be applied to habitual intake of minerals, which may be altered by supplement use. Future studies should investigate the associations of supplements on people with NODAP. Sixth, our study only investigated dietary intake of minerals, which is not reflective of mineral status. Therefore, we cannot assess whether participants nutritional status is sufficient, deficient, or excessive. As mineral status of an individual may affect glucose metabolism and insulin traits, future research should use appropriate methods of assessment (plasma, whole blood, urine, nail and/or hair tests). Last, due to the cross-sectional design of this study, a causal relationship between dietary mineral intake and markers of glucose metabolism and insulin traits cannot be inferred. However, this was the first study investigating this relationship in individuals with NODAP. Insights from the present study will help design future prospective longitudinal studies of dietary mineral intake in people after an attack of pancreatitis.
5. Conclusions
Of the 13 minerals investigated in the present study, intake of iron, nitrogen, phosphorous, and zinc was significantly altered in people with NODAP. These people were also characterised by significant inverse associations between intake of manganese and both HbA1c and FPG, as well as intake of iron and HOMA-S. Iodine intake was significantly directly associated with HbA1c levels whereas intake of selenium was significantly inversely associated with HOMA-S. These findings give light to possible role of mineral intake in NODAP. Longitudinal studies and randomised controlled trials are now warranted to investigate possible causal relationships and mechanisms of mineral intake on NODAP to provide evidence for nutritional interventions specifically for people at risk of NODAP.
Author Contributions
Conceptualisation and study design, M.S.P. Patient recruitment, W.K., S.H.B. and J.K. Data acquisition, C.F.N., W.K., J.K. and S.H.B. Analysis and interpretation of data, C.F.N. Statistical analysis, C.F.N. Drafting of manuscript, C.F.N. Revision of the manuscript, W.K., J.K., S.H.B. and M.S.P. Study supervision, M.S.P. All authors have read and agreed to the published version of the manuscript.
Funding
This study was supported by the Royal Society of New Zealand (Rutherford Discovery Fellowship to Professor Max Petrov).
Institutional Review Board Statement
The study was conducted according to the guidelines of the Declaration of Helsinki, and approved by the Health and Disability Ethics Committee (13/STH/182).
Informed Consent Statement
Informed consent was obtained from all participants involved in the study.
Data Availability Statement
The data are not publicly available due to the ethical conduct in human research regulations.
Acknowledgments
This study was part of the clinical and epidemiological investigations in metabolism, nutrition, and pancreatic diseases (COSMOS) program.
Conflicts of Interest
The authors declare no conflict of interest.
References
- Petrov, M.S. Post-pancreatitis diabetes mellitus: Prime time for secondary disease. Eur. J. Endocrinol. 2021, 184, R137–R149. [Google Scholar] [CrossRef]
- Xiao, A.Y.; Tan, M.L.Y.; Wu, L.M.; Asrani, V.M.; Windsor, J.A.; Yadav, D.; Petrov, M.S. Global incidence and mortality of pancreatic diseases: A systematic review, meta-analysis, and meta-regression of population-based cohort studies. Lancet Gastroenterol. Hepatol. 2016, 1, 45–55. [Google Scholar] [CrossRef]
- American Diabetes Association. Classification and diagnosis of diabetes: Standards of medical care in diabetes—2018. Diabetes Care 2018, 41, S13–S27. [Google Scholar] [CrossRef]
- Cho, J.; Petrov, M.S. Pancreatitis, pancreatic cancer, and their metabolic sequelae: Projected burden to 2050. Clin. Transl. Gastroenterol. 2020, 11, e00251. [Google Scholar] [CrossRef] [PubMed]
- Woodmansey, C.; McGovern, A.P.; McCullough, K.A.; Whyte, M.B.; Munro, N.M.; Correa, A.C.; Gatenby, P.A.; Jones, S.A.; De Lusignan, S. Incidence, demographics, and clinical characteristics of diabetes of the exocrine pancreas (type 3c): A retrospective cohort study. Diabetes Care 2017, 40, 1486–1493. [Google Scholar] [CrossRef]
- Pendharkar, S.A.; Mathew, J.; Zhao, J.; Windsor, J.A.; Exeter, D.J.; Petrov, M.S. Ethnic and geographic variations in the incidence of pancreatitis and post-pancreatitis diabetes mellitus in New Zealand: A nationwide population-based study. N. Z. Med. J. 2017, 130, 56–68. [Google Scholar]
- Shen, H.N.; Yang, C.C.; Chang, Y.H.; Lu, C.L.; Li, C.Y. Risk of diabetes mellitus after first-attack acute pancreatitis: A national population-based study. Am. J. Gastroenterol. 2015, 110, 1698–1706. [Google Scholar] [CrossRef] [PubMed]
- Bharmal, S.H.; Cho, J.; Alarcon Ramos, G.C.; Ko, J.; Stuart, C.E.; Modesto, A.E.; Singh, R.G.; Petrov, M.S. Trajectories of glycaemia following acute pancreatitis: A prospective longitudinal cohort study with 24 months follow-up. J. Gastroenterol. 2020, 55, 775–788. [Google Scholar] [CrossRef]
- Shivaprasad, C.; Aiswarya, Y.; Kejal, S.; Sridevi, A.; Anupam, B.; Ramdas, B.; Gautham, K.; Aarudhra, P. Comparison of CGM-derived measures of glycemic variability between pancreatogenic diabetes and type 2 diabetes mellitus. J. Diabetes Sci. Technol. 2021, 15, 134–140. [Google Scholar] [CrossRef] [PubMed]
- Pendharkar, S.A.; Mathew, J.; Petrov, M.S. Age- and sex-specific prevalence of diabetes associated with diseases of the exocrine pancreas: A population-based study. Dig. Liver Dis. 2017, 49, 540–544. [Google Scholar] [CrossRef]
- Bendor, C.D.; Bardugo, A.; Zucker, I.; Cukierman-Yaffe, T.; Lutski, M.; Derazne, E.; Shohat, T.; Mosenzon, O.; Tzur, D.; Sapir, A.; et al. Childhood pancreatitis and risk for incident diabetes in adulthood. Diabetes Care 2020, 43, 145–151. [Google Scholar] [CrossRef]
- Petrov, M.S. Post-pancreatitis diabetes mellitus: Investigational drugs in preclinical and clinical development and therapeutic implications. Expert Opin. Investig. Drugs 2021, 30, 737–747. [Google Scholar] [CrossRef] [PubMed]
- Evert, A.B.; Boucher, J.L.; Cypress, M.; Dunbar, S.A.; Franz, M.J.; Mayer-Davis, E.J.; Neumiller, J.J.; Nwankwo, R.; Verdi, C.L.; Urbanski, P.; et al. Nutrition therapy recommendations for the management of adults with diabetes. Diabetes Care 2014, 37, S120–S143. [Google Scholar] [CrossRef]
- American Diabetes Association. Standards of medical care in diabetes—2014. Diabetes Care 2014, 37, S14–S80. [Google Scholar] [CrossRef]
- Nield, L.; Moore, H.; Hooper, L.; Cruickshank, K.; Vyas, A.; Whittaker, V.; Summerbell, C.D. Dietary advice for treatment of type 2 diabetes mellitus in adults. Cochrane Database Syst. Rev. 2007, CD004097. [Google Scholar] [CrossRef] [PubMed]
- Andrews, R.; Cooper, A.; Montgomery, A.; Norcross, A.; Peters, T.; Sharp, D.; Jackson, N.; Fitzsimons, K.; Bright, J.; Coulman, K.; et al. Diet or diet plus physical activity versus usual care in patients with newly diagnosed type 2 diabetes: The Early ACTID randomised controlled trial. Lancet 2011, 378, 129–139. [Google Scholar] [CrossRef]
- Goldhaber-Fiebert, J.D.; Goldhaber-Fiebert, S.N.; Tristan, M.L.; Nathan, D.M. Randomized controlled community-based nutrition and exercise intervention improves glycemia and cardiovascular risk factors in type 2 diabetic patients in rural Costa Rica. Diabetes Care 2003, 26, 24–29. [Google Scholar] [CrossRef]
- Dubey, P.; Thakur, V.; Chattopadhyay, M. Role of minerals and trace elements in diabetes and insulin resistance. Nutrients 2020, 12, 1864. [Google Scholar] [CrossRef]
- Zhang, H.; Yan, C.; Yang, Z.; Zhang, W.; Niu, Y.; Li, X.; Qin, L.; Su, Q. Alterations of serum trace elements in patients with type 2 diabetes. J. Trace Elem. Med. Biol. 2017, 40, 91–96. [Google Scholar] [CrossRef]
- Villegas, R.; Gao, Y.T.; Dai, Q.; Yang, G.; Cai, H.; Li, H.; Zheng, W.; Shu, X.O. Dietary calcium and magnesium intakes and the risk of type 2 diabetes: The Shanghai Women’s Health Study. Am. J. Clin. Nutr. 2009, 89, 1059–1067. [Google Scholar] [CrossRef]
- Dong, J.Y.; Xun, P.; He, K.; Qin, L.Q. Magnesium intake and risk of type 2 diabetes: Meta-analysis of prospective cohort studies. Dia. Care 2011, 34, 2116–2122. [Google Scholar] [CrossRef] [PubMed]
- Kaur, B.; Henry, J. Micronutrient status in type 2 diabetes. In Advances in Food and Nutrition Research; Elsevier: Amsterdam, The Netherlands, 2014; pp. 55–100. [Google Scholar]
- Mancini, F.R.; Dow, C.; Affret, A.; Rajaobelina, K.; Dartois, L.; Balkau, B.; Bonnet, F.; Boutron-Ruault, M.C.; Fagherazzi, G. Micronutrient dietary patterns associated with type 2 diabetes mellitus among women of the E3N-EPIC (Etude Epidémiologique auprès de femmes de l’Education Nationale) cohort study. J. Diabetes 2018, 10, 665–674. [Google Scholar] [CrossRef] [PubMed]
- Eshak, E.S.; Muraki, I.; Imano, H.; Yamagishi, K.; Tamakoshi, A.; Iso, H. Manganese intake from foods and beverages is associated with a reduced risk of type 2 diabetes. Maturitas 2021, 143, 127–131. [Google Scholar] [CrossRef] [PubMed]
- Du, S.; Wu, X.; Han, T.; Duan, W.; Liu, L.; Qi, J.; Niu, Y.; Na, L.; Sun, C. Dietary manganese and type 2 diabetes mellitus: Two prospective cohort studies in China. Diabetology 2018, 61, 1985–1995. [Google Scholar] [CrossRef] [PubMed]
- Lee, D.H.; Folsom, A.R.; Jacobs, D.R. Dietary iron intake and type 2 diabetes incidence in postmenopausal women: The Iowa Women’s Health Study. Diabetologia 2004, 47, 185–194. [Google Scholar] [CrossRef]
- Rajpathak, S.; Ma, J.; Manson, J.; Willett, W.C.; Hu, F.B. Iron intake and the risk of type 2 diabetes in women: A prospective cohort study. Diabetes Care 2006, 29, 1370. [Google Scholar] [CrossRef]
- Luan, D.C.; Li, H.; Li, S.J.; Zhao, Z.; Li, X.; Liu, Z.M. Body iron stores and dietary iron intake in relation to diabetes in adults in North China. Diabetes Care 2008, 31, 285. [Google Scholar] [CrossRef][Green Version]
- Bao, W.; Rong, Y.; Rong, S.; Liu, L. Dietary iron intake, body iron stores, and the risk of type 2 diabetes: A systematic review and meta-analysis. BMC Med. 2012, 10, 119. [Google Scholar] [CrossRef]
- Zhao, Z.; Li, S.; Liu, G.; Yan, F.; Ma, X.; Huang, Z.; Tian, H.; Ye, J. Body iron stores and heme-iron Intake in relation to risk of type 2 diabetes: A systematic review and meta-analysis. PLoS ONE 2012, 7, e41641. [Google Scholar] [CrossRef]
- Kunutsor, S.K.; Apekey, T.A.; Walley, J.; Kain, K. Ferritin levels and risk of type 2 diabetes mellitus: An updated systematic review and meta-analysis of prospective evidence: Ferritin and Risk of Diabetes. Diabetes Metab. Res. Rev. 2013, 29, 308–318. [Google Scholar] [CrossRef]
- Stranges, S.; Sieri, S.; Vinceti, M.; Grioni, S.; Guallar, E.; Laclaustra, M.; Muti, P.; Berrino, F.; Krogh, V. A prospective study of dietary selenium intake and risk of type 2 diabetes. BMC Public Health 2010, 10, 564. [Google Scholar] [CrossRef] [PubMed]
- Siddiqi, S.M.; Sun, C.; Wu, X.; Shah, I.; Mehmood, A. The correlation between dietary selenium intake and type 2 diabetes: A cross-sectional population-based study on North Chinese adults. BioMed Res. Int. 2020, 2020, 1–10. [Google Scholar] [CrossRef] [PubMed]
- Wei, J.; Zeng, C.; Gong, Q.; Yang, H.; Li, X.; Lei, G.; Yang, T. The association between dietary selenium intake and diabetes: A cross-sectional study among middle-aged and older adults. Nutr. J. 2015, 14, 18. [Google Scholar] [CrossRef] [PubMed]
- Petrov, M.S.; Shanbhag, S.; Chakraborty, M.; Phillips, A.R.; Windsor, J.A. Organ failure and infection of pancreatic necrosis as determinants of mortality in patients with acute pancreatitis. Gastroenterology. 2010, 139, 813–820. [Google Scholar] [CrossRef] [PubMed]
- Petrov, M.S.; Basina, M. Diagnosing and classifying diabetes in diseases of the exocrine pancreas. Eur. J. Endocrinol. 2021, 184, R151–R163. [Google Scholar] [CrossRef] [PubMed]
- Das, S.L.; Singh, P.P.; Phillips, A.R.; Murphy, R.; Windsor, J.A.; Petrov, M.S. Newly diagnosed diabetes mellitus after acute pancreatitis: A systematic review and meta-analysis. Gut 2014, 63, 818–831. [Google Scholar] [CrossRef] [PubMed]
- Mulligan, A.A.; Luben, R.N.; Bhaniani, A.; Parry-Smith, D.J.; O’Connor, L.; Khawaja, A.P.; Forouhi, N.G.; Khaw, K.T. A new tool for converting food frequency questionnaire data into nutrient and food group values: FETA research methods and availability. BMJ Open 2014, 4, e004503. [Google Scholar] [CrossRef]
- Singh, R.G.; Cervantes, A.; Kim, J.U.; Nguyen, N.N.; DeSouza, S.V.; Dokpuang, D.; Lu, J.; Petrov, M.S. Intrapancreatic fat deposition and visceral fat volume are associated with the presence of diabetes after acute pancreatitis. Am. J. Physiol. Gastrointest. Liver Physiol. 2019, 316, G806–G815. [Google Scholar] [CrossRef]
- Singh, R.G.; Nguyen, N.N.; DeSouza, S.V.; Pendharkar, S.A.; Petrov, M.S. Comprehensive analysis of body composition and insulin traits associated with intra-pancreatic fat deposition in healthy individuals and people with new-onset prediabetes/diabetes after acute pancreatitis. Diabetes Obes. Metab. 2019, 21, 417–423. [Google Scholar] [CrossRef]
- Cervantes, A.; Singh, R.G.; Kim, J.U.; Desouza, S.V.; Petrov, M.S. Relationship of anthropometric indices to abdominal body composition: A multi-ethnic New Zealand magnetic resonance imaging study. J. Clin. Med. Res. 2019, 11, 435–446. [Google Scholar] [CrossRef]
- Stuart, C.E.; Singh, R.G.; Alarcon Ramos, G.C.; Priya, S.; Ko, J.; Desouza, S.V.; Cho, J.; Petrov, M.S. Relationship of pancreas volume to tobacco smoking and alcohol consumption following pancreatitis. Pancreatology 2020, 20, 60–67. [Google Scholar] [CrossRef] [PubMed]
- National Health and Medical Research Council (Australia); New Zealand Ministry of Health; Australian Department of Health and Ageing. Nutrient Reference Values for Australia and New Zealand; National Health and Medical Research Council: Canberra, Australia, 2006.
- Aschner, J.L.; Aschner, M. Nutritional aspects of manganese homeostasis. Mol. Aspects Med. 2005, 26, 353–362. [Google Scholar] [CrossRef] [PubMed]
- Li, L.; Yang, X. The essential element manganese, oxidative stress, and metabolic diseases: Links and interactions. Oxidative Med. Cell. Longev. 2018, 2018, 1–11. [Google Scholar] [CrossRef]
- Gong, J.H.; Lo, K.; Liu, Q.; Li, J.; Lai, S.; Shadyab, A.H.; Arcan, C.; Snetselaar, L.; Liu, S. Dietary manganese, plasma markers of inflammation, and the development of type 2 diabetes in postmenopausal women: Findings from the women’s health initiative. Diabetes Care 2020, 43, 1344–1351. [Google Scholar] [CrossRef]
- Koh, E.S.; Kim, S.J.; Yoon, H.E.; Chung, J.H.; Chung, S.; Park, C.W.; Chang, Y.S.; Shin, S.J. Association of blood manganese level with diabetes and renal dysfunction: A cross-sectional study of the Korean general population. BMC Endocr. Disord. 2014, 14, 24. [Google Scholar] [CrossRef]
- Yang, J.; Yang, A.; Cheng, N.; Huang, W.; Huang, P.; Liu, N.; Bai, Y. Sex-specific associations of blood and urinary manganese levels with glucose levels, insulin resistance and kidney function in US adults: National health and nutrition examination survey 2011–2016. Chemosphere 2020, 258, 126940. [Google Scholar] [CrossRef] [PubMed]
- Shan, Z.; Chen, S.; Sun, T.; Luo, C.; Guo, Y.; Yu, X.; Yang, W.; Hu, F.B.; Liu, L. U-shaped association between plasma manganese levels and type 2 diabetes. Environ. Health Perspect. 2016, 124, 1876–1881. [Google Scholar] [CrossRef]
- Bry, L.; Chen, P.C.; Sacks, D.B. Effects of hemoglobin variants and chemically modified derivatives on assays for glycohemoglobin. Clin. Chem. 2001, 47, 153. [Google Scholar] [CrossRef]
- Ghazanfari, Z.; Haghdoost, A.A.; Alizadeh, S.M.; Atapour, J.; Zolala, F. A comparison of HbA1c and fasting blood sugar tests in general population. Int. J. Prev. Med. 2010, 1, 187–194. [Google Scholar]
- Miriyala, S.; Spasojevic, I.; Tovmasyan, A.; Salvemini, D.; Vujaskovic, Z.; St. Clair, D.; Batinic-Haberle, I. Manganese superoxide dismutase, MnSOD and its mimics. Biochim. Biophys. Acta 2012, 1822, 794–814. [Google Scholar] [CrossRef]
- Nishikawa, T.; Edelstein, D.; Du, X.L.; Yamagishi, S.; Matsumura, T.; Kaneda, Y.; Yorek, M.A.; Beebe, D.; Oates, P.J.; Hammes, H.; et al. Normalizing mitochondrial superoxide production blocks three pathways of hyperglycaemic damage. Nature 2000, 404, 787–790. [Google Scholar] [CrossRef] [PubMed]
- Ściskalska, M.; Ołdakowska, M.; Marek, G.; Milnerowicz, H. Changes in the activity and concentration of superoxide dismutase isoenzymes (Cu/Zn SOD, MnSOD) in the blood of healthy subjects and patients with acute pancreatitis. Antioxidants 2020, 9, 948. [Google Scholar] [CrossRef] [PubMed]
- Lee, S.-H.; Jouihan, H.A.; Cooksey, R.C.; Jones, D.; Kim, H.J.; Winge, D.R.; McClain, D.A. Manganese supplementation protects against diet-induced diabetes in wild type mice by enhancing insulin secretion. Endocrinology 2013, 154, 1029–1038. [Google Scholar] [CrossRef] [PubMed]
- Burlet, E.; Jain, S.K. Manganese supplementation increases adiponectin and lowers ICAM-1 and creatinine blood levels in Zucker type 2 diabetic rats, and downregulates ICAM-1 by upregulating adiponectin multimerization protein (DsbA-L) in endothelial cells. Mol. Cell. Biochem. 2017, 429, 1–10. [Google Scholar] [CrossRef] [PubMed]
- Hope, S.J.; Daniel, K.; Gleason, K.L.; Comber, S.; Nelson, M.; Powell, J.J. Influence of tea drinking on manganese intake, manganese status and leucocyte expression of MnSOD and cytosolic aminopeptidase P. Eur. J. Clin. Nutr. 2006, 60, 1–8. [Google Scholar] [CrossRef] [PubMed]
- Pendharkar, S.A.; Singh, R.G.; Chand, S.K.; Cervantes, A.; Petrov, M.S. Pro-inflammatory cytokines after an episode of acute pancreatitis: Associations with fasting gut hormone profile. Inflamm. Res. 2018, 67, 339–350. [Google Scholar] [CrossRef]
- Sankaran, S.J.; Xiao, A.Y.; Wu, L.M.; Windsor, J.A.; Forsmark, C.E.; Petrov, M.S. Frequency of progression from acute to chronic pancreatitis and risk factors: A meta-analysis. Gastroenterology 2015, 149, 1490–1500e1. [Google Scholar] [CrossRef]
- Armstrong, J.A.; Cash, N.; Soares, P.M.; Souza, M.H.; Sutton, R.; Criddle, D.N. Oxidative stress in acute pancreatitis: Lost in translation? Free Radic. Res. 2013, 47, 917–933. [Google Scholar] [CrossRef]
- Ansari, T.M.; Ikram, N.; Najam-ul-Haq, M.; Fayyaz, I.; Fayyaz, Q.; Ghafoor, I.; Khalid, N. Essential trace metal (zinc, manganese, copper and iron) levels in plants of medicinal importance. J. Biolog. Sci. 2004, 4, 95–99. [Google Scholar] [CrossRef]
- New Zealand Food Composition Database; The New Zealand Institute for Plant & Food Research Limited and Ministry of Health: Auckland, New Zealand, 2019.
- Hurrell, R.; Egli, I. Iron bioavailability and dietary reference values. Am. J. Clin. Nutr. 2010, 91, 1461S–1467S. [Google Scholar] [CrossRef]
- Fillebeen, C.; Lam, N.H.; Chow, S.; Botta, A.; Sweeney, G.; Pantopoulos, K. Regulatory connections between iron and glucose metabolism. Int. J. Mol. Sci. 2020, 21, 7773. [Google Scholar] [CrossRef] [PubMed]
- Przybyszewska, J.; Żekanowska, E. The role of hepcidin, ferroportin, HCP1, and DMT1 protein in iron absorption in the human digestive tract. Gastroenterol. Rev. 2014, 4, 208–213. [Google Scholar] [CrossRef]
- Nishito, Y.; Kambe, T. Absorption mechanisms of iron, copper, and zinc: An overview. J. Nutr. Sci. Vitaminol. 2018, 64, 1–7. [Google Scholar] [CrossRef] [PubMed]
- Zhang, A.S.; Enns, C.A. Molecular mechanisms of normal iron homeostasis. Hematology 2009, 2009, 207–214. [Google Scholar] [CrossRef]
- Bowers, K.; Yeung, E.; Williams, M.A.; Qi, L.; Tobias, D.K.; Hu, F.B.; Zhang, C. A prospective study of prepregnancy dietary iron intake and risk for gestational diabetes mellitus. Diabetes Care 2011, 34, 1557. [Google Scholar] [CrossRef]
- Zhang, C.; Rawal, S. Dietary iron intake, iron status, and gestational diabetes. Am. J. Clin. Nutr. 2017, 106, 1672S–1680S. [Google Scholar] [CrossRef] [PubMed]
- Fu, S.; Li, F.; Zhou, J.; Liu, Z. The relationship between body iron status, iron intake and gestational diabetes: A systematic review and meta-analysis. Medicine 2016, 95, e2383. [Google Scholar] [CrossRef]
- Dos Santos Vieira, D.; Hermes Sales, C.; Galvão Cesar, C.; Marchioni, D.; Fisberg, R. Influence of haem, non-haem, and total iron intake on metabolic syndrome and its components: A population-based study. Nutrients 2018, 10, 314. [Google Scholar] [CrossRef]
- Zhu, Z.; Wu, F.; Lu, Y.; Wu, C.; Wang, Z.; Zang, J.; Guo, C.; Jia, X.; Yao, J.; Peng, H.; et al. Total and nonheme dietary iron intake is associated with metabolic syndrome and its components in Chinese men and women. Nutrients 2018, 10, 1663. [Google Scholar] [CrossRef]
- Utzschneider, K.M.; Kowdley, K.V. Hereditary hemochromatosis and diabetes mellitus: Implications for clinical practice. Nat. Rev. Endocrinol. 2010, 6, 26–33. [Google Scholar] [CrossRef]
- De Sanctis, V.; Soliman, A.T.; Elsedfy, H.; Pepe, A.; Kattamis, C.; El Kholy, M.; Yassin, M. Diabetes and glucose metabolism in thalassemia major: An update. Expert Rev. Hematol. 2016, 9, 401–408. [Google Scholar] [CrossRef]
- Kimita, W.; Li, X.; Ko, J.; Bharmal, S.H.; Cameron-Smith, D.; Petrov, M.S. Association between habitual dietary iron intake and glucose metabolism in individuals after acute pancreatitis. Nutrients 2020, 12, 3579. [Google Scholar] [CrossRef]
- Shi, Z.; Zhou, M.; Yuan, B.; Qi, L.; Dai, Y.; Luo, Y.; Holmboe-Ottesen, G. Iron intake and body iron stores, anaemia and risk of hyperglycaemia among Chinese adults: The prospective Jiangsu Nutrition Study (JIN). Public Health Nutr. 2010, 13, 1319–1327. [Google Scholar] [CrossRef]
- Chand, S.K.; Singh, R.G.; Pendharkar, S.A.; Petrov, M.S. Iron: A strong element in the pathogenesis of chronic hyperglycaemia after acute pancreatitis. Biol. Trace Elem. Res. 2018, 183, 71–79. [Google Scholar] [CrossRef] [PubMed]
- Ford, E.S.; Cogswell, M.E. Diabetes and serum ferritin concentration among U.S. adults. Diabetes Care 1999, 22, 1978–1983. [Google Scholar] [CrossRef]
- Jiang, R.; Manson, J.E.; Meigs, J.B.; Ma, J.; Rifai, N.; Hu, F.B. Body iron stores in relation to risk of type 2 diabetes in apparently healthy women. JAMA 2004, 291, 711. [Google Scholar] [CrossRef] [PubMed]
- Sun, L.; Zong, G.; Pan, A.; Ye, X.; Li, H.; Yu, Z.; Zhao, Y.; Zou, S.; Yu, D.; Jin, Q.; et al. Elevated plasma ferritin is associated with increased incidence of type 2 diabetes in middle-aged and elderly Chinese adults. J. Nutr. 2013, 143, 1459–1465. [Google Scholar] [CrossRef] [PubMed]
- Hernandez, C.; Lecube, A.; Carrera, A.; Simo, R. Soluble transferrin receptors and ferritin in type 2 diabetic patients. Diabetes Med. 2005, 22, 97–101. [Google Scholar] [CrossRef]
- Van Campenhout, A.; Van Campenhout, C.; Lagrou, A.R.; Abrams, P.; Moorkens, G.; Van Gaal, L.; Manuel-y-Keenoy, B. Impact of diabetes mellitus on the relationships between iron-, inflammatory- and oxidative stress status. Diab. Metab. Res. Rev. 2006, 22, 444–454. [Google Scholar] [CrossRef]
- Kimita, W.; Petrov, M.S. Iron metabolism and the exocrine pancreas. Clin. Chim. Acta 2020, 511, 167–176. [Google Scholar] [CrossRef]
- New Zealand Ministry of Health; University of Otago. A Focus on Nutrition: Key Findings of the 2008/09 New Zealand Adult Nutrition Survey; Ministry of Health: Wellington, New Zealand, 2011.
- Solovyev, N.; Vanhaecke, F.; Michalke, B. Selenium and iodine in diabetes mellitus with a focus on the interplay and speciation of the elements. J. Trace Elem. Med. Biol. 2019, 56, 69–80. [Google Scholar] [CrossRef]
- Liu, J.; Liu, L.; Jia, Q.; Zhang, X.; Jin, X.; Shen, H. Effects of excessive iodine intake on blood glucose, blood pressure, and blood lipids in adults. Biol. Trace Elem. Res. 2019, 192, 136–144. [Google Scholar] [CrossRef] [PubMed]
- Zimmermann, M.B. Iodine deficiency. Endocr. Rev. 2009, 30, 376–408. [Google Scholar] [CrossRef] [PubMed]
- Vejbjerg, P.; Knudsen, N.; Perrild, H.; Laurberg, P.; Andersen, S.; Rasmussen, L.B.; Ovesen, L.; Jørgensen, T. Estimation of iodine intake from various urinary iodine measurements in population studies. Thyroid 2009, 19, 1281–1286. [Google Scholar] [CrossRef] [PubMed]
- Kim, K.; Cho, S.W.; Park, Y.J. Association between iodine intake, thyroid function, and papillary thyroid cancer: A case-control study. Endocrinol. Metab. 2021, 36, 790–799. [Google Scholar] [CrossRef]
- Chung, H.R. Iodine and thyroid function. Ann. Pediatr. Endocrinol. Metab. 2014, 19, 8. [Google Scholar] [CrossRef]
- Hwang, S.; Lee, E.Y.; Lee, W.K.; Shin, D.Y.; Lee, E.J. Correlation between iodine intake and thyroid function in subjects with normal thyroid function. Biol. Trace Elem. Res. 2011, 143, 1393–1397. [Google Scholar] [CrossRef]
- Hage, M.; Zantout, M.S.; Azar, S.T. Thyroid disorders and diabetes mellitus. J. Thyroid. Res. 2011, 2011, 1–7. [Google Scholar] [CrossRef] [PubMed]
- Wang, C. The relationship between type 2 diabetes mellitus and related thyroid diseases. J. Diabetes Res. 2013, 2013, 1–9. [Google Scholar] [CrossRef]
- Duntas, L.H.; Orgiazzi, J.; Brabant, G. The interface between thyroid and diabetes mellitus: Interface between thyroid and diabetes mellitus. Clin. Endocrinol. 2011, 75, 1–9. [Google Scholar] [CrossRef]
- Maxon, H.R. Long-term observations of glucose tolerance in thyrotoxic patients. Arch. Intern. Med. 1975, 135, 1477. [Google Scholar] [CrossRef]
- Mancini, F.R.; Rajaobelina, K.; Dow, C.; Habbal, T.; Affret, A.; Balkau, B.; Bonnet, F.; Boutron-Ruault, M.; Fagherazzi, G. High iodine dietary intake is associated with type 2 diabetes among women of the E3N-EPIC cohort study. Clin. Nutr. 2019, 38, 1651–1656. [Google Scholar] [CrossRef]
- Kieliszek, M. The latest research and development of minerals in human nutrition. Chapter Eleven—Selenium. In Advances in Food and Nutrition Research; Eskin, N.A.M., Ed.; Academic Press: Cambridge, MA, USA, 2021; pp. 417–429. [Google Scholar]
- Mehdi, Y.; Hornick, J.L.; Istasse, L.; Dufrasne, I. Selenium in the environment, metabolism and involvement in body functions. Molecules 2013, 18, 3292. [Google Scholar] [CrossRef]
- Bleys, J.; Navas-Acien, A.; Guallar, E. Serum selenium and diabetes in U.S. adults. Diabetes Care 2007, 30, 829–834. [Google Scholar] [CrossRef]
- Stapleton, S.R. Selenium: An insulin mimetic. Cell. Mol. Life Sci. 2000, 57, 1874–1879. [Google Scholar] [CrossRef]
- Mueller, A.S.; Pallauf, J. Compendium of the antidiabetic effects of supranutritional selenate doses. In vivo and in vitro investigations with type II diabetic db/db mice. J. Nutr. Biochem. 2006, 17, 548–560. [Google Scholar] [CrossRef]
- Stranges, S.; Marshall, J.R.; Natarajan, R.; Donahue, R.P.; Trevisan, M.; Combs, G.F.; Cappuccio, F.P.; Ceriello, A.; Reid, M.E. Effects of long-term selenium supplementation on the incidence of type 2 diabetes: A randomized trial. Ann. Intern. Med. 2007, 147, 217. [Google Scholar] [CrossRef] [PubMed]
- Behar, A.; Dennouni-Medjati, N.; Dali-Sahi, M.; Harek, Y.; Belhadj, M.; Benslama, Y.; Kachecouche, Y. Dietary selenium intake and risk of type 2 diabetes in a female population of western Algeria. Nutr. Clin. Métabolisme 2020, 34, 254–258. [Google Scholar] [CrossRef]
- Vinceti, M.; Filippini, T.; Rothman, K.J. Selenium exposure and the risk of type 2 diabetes: A systematic review and meta-analysis. Eur. J. Epidemiol. 2018, 33, 789–810. [Google Scholar] [CrossRef] [PubMed]
- Gauthier, B.R.; Sola-García, A.; Cáliz-Molina, M.Á.; Lorenzo, P.I.; Cobo-Vuilleumier, N.; Capilla-González, V.; Martin-Montalvo, A. Thyroid hormones in diabetes, cancer, and aging. Aging Cell 2020, 19, e13260. [Google Scholar] [CrossRef] [PubMed]
- Longkumer, C.; Nath, C.; Barman, B.; Ruram, A.; Visi, V.; Yasir, M.; Sangma, M. Idiopathic post prandial glucose lowering, a whistle blower for subclinical hypothyroidism and insulin resistance. A cross-sectional study in tertiary care centre of northeast India. J. Fam. Med. Prim. Care 2020, 9, 4637. [Google Scholar]
- Maratou, E.; Hadjidakis, D.J.; Kollias, A.; Tsegka, K.; Peppa, M.; Alevizaki, M.; Mitrou, P.; Lambadiari, V.; Boutaki, E.; Nikzas, D.; et al. Studies of insulin resistance in patients with clinical and subclinical hypothyroidism. Eur. J. Endocrinol. 2009, 160, 785–790. [Google Scholar] [CrossRef]
- Yang, N.; Zhang, D.-L.; Hao, J.-Y.; Wang, G. Serum levels of thyroid hormones and thyroid stimulating hormone in patients with biliogenic and hyperlipidaemic acute pancreatitis: Difference and value in predicting disease severity. J. Int. Med. Res. 2016, 44, 267–277. [Google Scholar] [CrossRef] [PubMed]
- De Sola, C.; Redondo, M.; Pallarés, F.; Redondo, E.; Hortas, M.L.; Morell, M. Thyroid function in acute pancreatitis. Rev. Esp. Enferm. Dig. 1998, 90, 15–22. [Google Scholar] [PubMed]
- Medina-Santillán, R.; Vázquez-Savedra, J.A.; Tanimoto, M.; Gordon, F.; García-Manzo, N.T. Decrease in the serum concentration of triiodothyronine in patients with acute edematous pancreatitis. Arch. Invest. Med. 1989, 20, 243–245. [Google Scholar]
- Update Report on the Dietary Iodine Intake of New Zealand Children Following Fortification of Bread with Iodine; New Zealand Ministry for Primary Industries: Wellington, New Zealand, 2014.
- The Addition of Folic Acid and Iodised Salt to Bread: New Zealand User Guide on Implementing the New Zealand Standards; New Zealand Ministry for Primary Industries: Wellington, New Zealand, 2012.
- Kieliszek, M. Selenium—Fascinating microelement, properties and sources in food. Molecules 2019, 24, 1298. [Google Scholar] [CrossRef]
- Gibson, R.S. Principles of Nutritional Assessment, 2nd ed.; Oxford University Press: New York, NY, USA, 2005. [Google Scholar]
- Kowalkowska, J.; Slowinska, M.; Slowinski, D.; Dlugosz, A.; Niedzwiedzka, E.; Wadolowska, L. Comparison of a full food-frequency questionnaire with the three-day unweighted food records in young Polish adult women: Implications for dietary assessment. Nutrients 2013, 5, 2747. [Google Scholar] [CrossRef]
- Roth, J.A.; Garrick, M.D. Iron interactions and other biological reactions mediating the physiological and toxic actions of manganese. Biochem. Pharmacol. 2003, 66, 1–13. [Google Scholar] [CrossRef]
- Finley, J.W. Manganese absorption and retention by young women is associated with serum ferritin concentration. Am. J. Clin. Nutr. 1999, 70, 37–43. [Google Scholar] [CrossRef]
- Kaess, B.M.; Pedley, A.; Massaro, J.M.; Murabito, J.; Hoffmann, U.; Fox, C.S. The ratio of visceral to subcutaneous fat, a metric of body fat distribution, is a unique correlate of cardiometabolic risk. Diabetologia 2012, 55, 2622–2630. [Google Scholar] [CrossRef] [PubMed]
Publisher’s Note: MDPI stays neutral with regard to jurisdictional claims in published maps and institutional affiliations. |
© 2021 by the authors. Licensee MDPI, Basel, Switzerland. This article is an open access article distributed under the terms and conditions of the Creative Commons Attribution (CC BY) license (https://creativecommons.org/licenses/by/4.0/).


