Influence of Nutrition, Food and Diet-Related Interventions in the Workplace: A Meta-Analysis with Meta-Regression
Abstract
1. Introduction
2. Materials and Methods
2.1. Design
2.2. Source of Data Collection
2.3. Unit of Analysis
2.4. Information Processing
- Equation (1): Occupational Health
- Equation (2): Diet, Food, and Nutrition
2.5. Final Selection of Articles
- Inclusion: met the objectives of the search; clinical trial; published in a peer-reviewed journal and written in English, Spanish or Portuguese.
- Exclusion: full text could not be found; no relationship between the intervention and the outcome under study (causality criterion), and included a nonadult population (under 18 years of age).
2.6. Completeness of Reporting, Level of Evidence and Grade of Recommendation
2.7. Data Extraction
2.8. Data Analysis
2.9. Meta-Analysis and Meta-Regression
2.10. Ethical Aspects
3. Results
3.1. Types of Interventions Performed
3.2. Main Results Derived from the Interventions
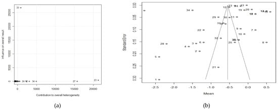
3.3. Main Results Derived of Meta-Analysis
- Effect size
- Heterogeneity of included studies
- Heterogeneity of non-included studies (publication bias)
- Moderator analysis (meta-regression)
4. Discussion
4.1. Limitations of the Review
4.2. Critical Analysis of the Authors
5. Conclusions
Author Contributions
Funding
Institutional Review Board Statement
Informed Consent Statement
Conflicts of Interest
References
- Shearer, J.; Graham, T.E.; Skinner, T.L. Nutra-Ergonomics: Influence of Nutrition on Physical Employment Standards and the Health of Workers. Appl. Physiol. Nutr. Metab. 2016, 41, S165–S174. [Google Scholar] [CrossRef] [PubMed]
- Angeles-Agdeppa, I.; Custodio, M.R.S. Food Sources and Nutrient Intakes of Filipino Working Adults. Nutrients 2020, 12, 1009. [Google Scholar] [CrossRef] [PubMed]
- Anderson, L.M.; Quinn, T.A.; Glanz, K.; Ramirez, G.; Kahwati, L.C.; Johnson, D.B.; Buchanan, L.R.; Archer, W.R.; Chattopadhyay, S.; Kalra, G.P.; et al. The Effectiveness of Worksite Nutrition and Physical Activity Interventions for Controlling Employee Overweight and Obesity: A Systematic Review. Am. J. Prev. Med. 2009, 37, 340–357. [Google Scholar] [CrossRef]
- Melián-Fleitas, L.; Franco-Pérez, Á.M.; Sanz-Valero, J. Bibliometric and Thematic Analysis of Scientific Production on Occupational Health Related to Nutrition, Food and Diet, Indexed in MEDLINE. Med. Segur. Trab. 2019, 65, 10–23. [Google Scholar] [CrossRef]
- World Health Organization. Obesity and Overweight. Available online: https://bit.ly/3gIGYwb (accessed on 20 August 2021).
- Wright, S.M.; Aronne, L.J. Causes of Obesity. Abdom. Imaging 2012, 37, 730–732. [Google Scholar] [CrossRef]
- Organisation for Economic Co-Operation and Development (OECD) The Heavy Burden of Obesity: The Economics of Prevention; OECD Health Policy Studies; OECD: Paris, France, 2019; ISBN 978-92-64-33004-7.
- Engin, A. The Definition and Prevalence of Obesity and Metabolic Syndrome. Adv. Exp. Med. Biol. 2017, 960, 1–17. [Google Scholar] [CrossRef] [PubMed]
- Goettler, A.; Grosse, A.; Sonntag, D. Productivity Loss Due to Overweight and Obesity: A Systematic Review of Indirect Costs. BMJ Open 2017, 7, e014632. [Google Scholar] [CrossRef] [PubMed]
- Melián-Fleitas, L. Occupational Health New Paradigm: Food, Nutrition and Diet. Med. Segur. Trab. 2019, 65, 73–75. [Google Scholar] [CrossRef]
- Lang, J.; Cluff, L.; Payne, J.; Matson-Koffman, D.; Hampton, J. The Centers for Disease Control and Prevention: Findings From The National Healthy Worksite Program. J. Occup. Environ. Med. 2017, 59, 631–641. [Google Scholar] [CrossRef] [PubMed]
- Pelletier, K.R. A Review and Analysis of the Clinical and Cost-Effectiveness Studies of Comprehensive Health Promotion and Disease Management Programs at the Worksite: Update VIII 2008 to 2010. J. Occup. Environ. Med. 2011, 53, 1310–1331. [Google Scholar] [CrossRef]
- Piepoli, M.F.; Hoes, A.W.; Agewall, S.; Albus, C.; Brotons, C.; Catapano, A.L.; Cooney, M.-T.; Corrà, U.; Cosyns, B.; Deaton, C.; et al. 2016 European Guidelines on Cardiovascular Disease Prevention in Clinical Practice: The Sixth Joint Task Force of the European Society of Cardiology and Other Societies on Cardiovascular Disease Prevention in Clinical Practice (Constituted by Representatives of 10 Societies and by Invited Experts) Developed with the Special Contribution of the European Association for Cardiovascular Prevention & Rehabilitation (EACPR). Eur. Heart J. 2016, 37, 2315–2381. [Google Scholar] [CrossRef] [PubMed]
- Schröer, S.; Haupt, J.; Pieper, C. Evidence-Based Lifestyle Interventions in the Workplace—An Overview. Occup. Med. Oxf. Engl. 2014, 64, 8–12. [Google Scholar] [CrossRef] [PubMed]
- Arksey, H.; O’Malley, L. Scoping Studies: Towards a Methodological Framework. Int. J. Soc. Res. Methodol. 2005, 8, 19–32. [Google Scholar] [CrossRef]
- Wanden-Berghe, C.; Sanz-Valero, J. Systematic Reviews in Nutrition: Standardized Methodology. Br. J. Nutr. 2012, 107, S3–S7. [Google Scholar] [CrossRef]
- Pandis, N.; Chung, B.; Scherer, R.W.; Elbourne, D.; Altman, D.G. CONSORT 2010 Statement: Extension Checklist for Reporting within Person Randomised Trials. BMJ 2017, 357, j2835. [Google Scholar] [CrossRef] [PubMed]
- Harbour, R.; Miller, J. A New System for Grading Recommendations in Evidence Based Guidelines. BMJ 2001, 323, 334–336. [Google Scholar] [CrossRef]
- Duval, S.; Tweedie, R. Trim and Fill: A Simple Funnel-Plot-Based Method of Testing and Adjusting for Publication Bias in Meta-Analysis. Biometrics 2000, 56, 455–463. [Google Scholar] [CrossRef] [PubMed]
- Copas, J.; Shi, J. A Sensitivity Analysis for Publication Bias in Systematic Reviews. Stat. Methods Med. Res. 2001, 10, 251–265. [Google Scholar] [CrossRef]
- Schwarzer, G.; Carpenter, J.R.; Rucker, G. Metasens: Statistical Methods for Sensitivity Analysis in Meta-Analysis. Available online: https://cran.r-project.org/package=metasens (accessed on 26 October 2021).
- Thorndike, A.N.; McCurley, J.L.; Gelsomin, E.D.; Anderson, E.; Chang, Y.; Porneala, B.; Johnson, C.; Rimm, E.B.; Levy, D.E. Automated Behavioral Workplace Intervention to Prevent Weight Gain and Improve Diet: The ChooseWell 365 Randomized Clinical Trial. JAMA Netw. Open 2021, 4, e2112528. [Google Scholar] [CrossRef] [PubMed]
- Röhling, M.; Martin, K.; Ellinger, S.; Schreiber, M.; Martin, S.; Kempf, K. Weight Reduction by the Low-Insulin-Method-A Randomized Controlled Trial. Nutrients 2020, 12, 3004. [Google Scholar] [CrossRef]
- Iturriaga, T.; Barcelo, O.; Diez-Vega, I.; Cordero, J.; Pulgar, S.; Fernandez-Luna, A.; Perez-Ruiz, M. Effects of a Short Workplace Exercise Program on Body Composition in Women: A Randomized Controlled Trial. Health Care Women Int. 2020, 41, 133–146. [Google Scholar] [CrossRef]
- Day, R.S.; Jahnke, S.A.; Haddock, C.K.; Kaipust, C.M.; Jitnarin, N.; Poston, W.S.C. Occupationally Tailored, Web-Based, Nutrition and Physical Activity Program for Firefighters: Cluster Randomized Trial and Weight Outcome. J. Occup. Environ. Med. 2019, 61, 841–848. [Google Scholar] [CrossRef]
- Kempf, K.; Röhling, M.; Martin, S.; Schneider, M. Telemedical Coaching for Weight Loss in Overweight Employees: A Three-Armed Randomised Controlled Trial. BMJ Open 2019, 9, e022242. [Google Scholar] [CrossRef] [PubMed]
- Tene, L.; Shelef, I.; Schwarzfuchs, D.; Gepner, Y.; Yaskolka Meir, A.; Tsaban, G.; Zelicha, H.; Bilitzky, A.; Komy, O.; Cohen, N.; et al. The Effect of Long-Term Weight-Loss Intervention Strategies on the Dynamics of Pancreatic-Fat and Morphology: An MRI RCT Study. Clin. Nutr. ESPEN 2018, 24, 82–89. [Google Scholar] [CrossRef]
- Viester, L.; Verhagen, E.A.L.M.; Bongers, P.M.; van der Beek, A.J. Effectiveness of a Worksite Intervention for Male Construction Workers on Dietary and Physical Activity Behaviors, Body Mass Index, and Health Outcomes: Results of a Randomized Controlled Trial. Am. J. Health Promot. 2018, 32, 795–805. [Google Scholar] [CrossRef]
- Shrivastava, U.; Fatma, M.; Mohan, S.; Singh, P.; Misra, A. Randomized Control Trial for Reduction of Body Weight, Body Fat Patterning, and Cardiometabolic Risk Factors in Overweight Worksite Employees in Delhi, India. J. Diabetes Res. 2017, 2017, 7254174. [Google Scholar] [CrossRef]
- Gepner, Y.; Shelef, I.; Schwarzfuchs, D.; Zelicha, H.; Tene, L.; Yaskolka Meir, A.; Tsaban, G.; Cohen, N.; Bril, N.; Rein, M.; et al. Effect of Distinct Lifestyle Interventions on Mobilization of Fat Storage Pools: CENTRAL Magnetic Resonance Imaging Randomized Controlled Trial. Circulation 2018, 137, 1143–1157. [Google Scholar] [CrossRef]
- Faghri, P.D.; Simon, J.; Huedo-Medina, T.; Gorin, A. Perceived Self-Efficacy and Financial Incentives: Factors Affecting Health Behaviors and Weight Loss in a Workplace Weight Loss Intervention. J. Occup. Environ. Med. 2017, 59, 453–460. [Google Scholar] [CrossRef]
- Geaney, F.; Kelly, C.; Di Marrazzo, J.S.; Harrington, J.M.; Fitzgerald, A.P.; Greiner, B.A.; Perry, I.J. The Effect of Complex Workplace Dietary Interventions on Employees’ Dietary Intakes, Nutrition Knowledge and Health Status: A Cluster Controlled Trial. Prev. Med. 2016, 89, 76–83. [Google Scholar] [CrossRef]
- Solenhill, M.; Grotta, A.; Pasquali, E.; Bakkman, L.; Bellocco, R.; Trolle Lagerros, Y. The Effect of Tailored Web-Based Feedback and Optional Telephone Coaching on Health Improvements: A Randomized Intervention Among Employees in the Transport Service Industry. J. Med. Internet Res. 2016, 18, e158. [Google Scholar] [CrossRef] [PubMed]
- Mitchell, D.C.; Andrews, T.; Schenker, M.B. Pasos Saludables: A Pilot Randomized Intervention Study to Reduce Obesity in an Immigrant Farmworker Population. J. Occup. Environ. Med. 2015, 57, 1039–1046. [Google Scholar] [CrossRef]
- Fernandez, I.D.; Chin, N.P.; Devine, C.M.; Dozier, A.M.; Martina, C.A.; McIntosh, S.; Thevenet-Morrison, K.; Yang, H. Images of a Healthy Worksite: A Group-Randomized Trial for Worksite Weight Gain Prevention With Employee Participation in Intervention Design. Am. J. Public Health 2015, 105, 2167–2174. [Google Scholar] [CrossRef] [PubMed]
- Almeida, F.A.; You, W.; Harden, S.M.; Blackman, K.C.A.; Davy, B.M.; Glasgow, R.E.; Hill, J.L.; Linnan, L.A.; Wall, S.S.; Yenerall, J.; et al. Effectiveness of a Worksite-Based Weight Loss Randomized Controlled Trial: The Worksite Study. Obesity 2015, 23, 737–745. [Google Scholar] [CrossRef]
- Østbye, T.; Stroo, M.; Brouwer, R.J.N.; Peterson, B.L.; Eisenstein, E.L.; Fuemmeler, B.F.; Joyner, J.; Gulley, L.; Dement, J.M. Steps to Health Employee Weight Management Randomized Control Trial: Short-Term Follow-up Results. J. Occup. Environ. Med. 2015, 57, 188–195. [Google Scholar] [CrossRef]
- Van Berkel, J.; Boot, C.R.L.; Proper, K.I.; Bongers, P.M.; van der Beek, A.J. Effectiveness of a Worksite Mindfulness-Based Multi-Component Intervention on Lifestyle Behaviors. Int. J. Behav. Nutr. Phys. Act. 2014, 11, 9. [Google Scholar] [CrossRef]
- Mishra, S.; Xu, J.; Agarwal, U.; Gonzales, J.; Levin, S.; Barnard, N.D. A Multicenter Randomized Controlled Trial of a Plant-Based Nutrition Program to Reduce Body Weight and Cardiovascular Risk in the Corporate Setting: The GEICO Study. Eur. J. Clin. Nutr. 2013, 67, 718–724. [Google Scholar] [CrossRef] [PubMed]
- Salinardi, T.C.; Batra, P.; Roberts, S.B.; Urban, L.E.; Robinson, L.M.; Pittas, A.G.; Lichtenstein, A.H.; Deckersbach, T.; Saltzman, E.; Das, S.K. Lifestyle Intervention Reduces Body Weight and Improves Cardiometabolic Risk Factors in Worksites. Am. J. Clin. Nutr. 2013, 97, 667–676. [Google Scholar] [CrossRef]
- Christensen, J.R.; Overgaard, K.; Carneiro, I.G.; Holtermann, A.; Søgaard, K. Weight Loss among Female Health Care Workers-a 1-Year Workplace Based Randomized Controlled Trial in the FINALE-Health Study. BMC Public Health 2012, 12, 625. [Google Scholar] [CrossRef]
- Thorndike, A.N.; Sonnenberg, L.; Healey, E.; Myint-U, K.; Kvedar, J.C.; Regan, S. Prevention of Weight Gain Following a Worksite Nutrition and Exercise Program: A Randomized Controlled Trial. Am. J. Prev. Med. 2012, 43, 27–33. [Google Scholar] [CrossRef]
- Linde, J.A.; Nygaard, K.E.; MacLehose, R.F.; Mitchell, N.R.; Harnack, L.J.; Cousins, J.M.; Graham, D.J.; Jeffery, R.W. HealthWorks: Results of a Multi-Component Group-Randomized Worksite Environmental Intervention Trial for Weight Gain Prevention. Int. J. Behav. Nutr. Phys. Act. 2012, 9, 14. [Google Scholar] [CrossRef]
- Nanri, A.; Tomita, K.; Matsushita, Y.; Ichikawa, F.; Yamamoto, M.; Nagafuchi, Y.; Kakumoto, Y.; Mizoue, T. Effect of Six Months Lifestyle Intervention in Japanese Men with Metabolic Syndrome: Randomized Controlled Trial. J. Occup. Health 2012, 54, 215–222. [Google Scholar] [CrossRef]
- Brehm, B.J.; Gates, D.M.; Singler, M.; Succop, P.A.; D’Alessio, D.A. Environmental Changes to Control Obesity: A Randomized Controlled Trial in Manufacturing Companies. Am. J. Health Promot. 2011, 25, 334–340. [Google Scholar] [CrossRef]
- Christensen, J.R.; Faber, A.; Ekner, D.; Overgaard, K.; Holtermann, A.; Søgaard, K. Diet, Physical Exercise and Cognitive Behavioral Training as a Combined Workplace Based Intervention to Reduce Body Weight and Increase Physical Capacity in Health Care Workers—A Randomized Controlled Trial. BMC Public Health 2011, 11, 671. [Google Scholar] [CrossRef]
- Barham, K.; West, S.; Trief, P.; Morrow, C.; Wade, M.; Weinstock, R.S. Diabetes Prevention and Control in the Workplace: A Pilot Project for County Employees. J. Public Health Manag. Pract. 2011, 17, 233–241. [Google Scholar] [CrossRef]
- Ferdowsian, H.R.; Barnard, N.D.; Hoover, V.J.; Katcher, H.I.; Levin, S.M.; Green, A.A.; Cohen, J.L. A Multicomponent Intervention Reduces Body Weight and Cardiovascular Risk at a GEICO Corporate Site. Am. J. Health Promot. 2010, 24, 384–387. [Google Scholar] [CrossRef]
- Maruyama, C.; Kimura, M.; Okumura, H.; Hayashi, K.; Arao, T. Effect of a Worksite-Based Intervention Program on Metabolic Parameters in Middle-Aged Male White-Collar Workers: A Randomized Controlled Trial. Prev. Med. 2010, 51, 11–17. [Google Scholar] [CrossRef]
- Siegel, J.M.; Prelip, M.L.; Erausquin, J.T.; Kim, S.A. A Worksite Obesity Intervention: Results from a Group-Randomized Trial. Am. J. Public Health 2010, 100, 327–333. [Google Scholar] [CrossRef]
- Van Wier, M.F.; Ariëns, G.A.M.; Dekkers, J.C.; Hendriksen, I.J.M.; Smid, T.; van Mechelen, W. Phone and E-Mail Counselling Are Effective for Weight Management in an Overweight Working Population: A Randomized Controlled Trial. BMC Public Health 2009, 9, 6. [Google Scholar] [CrossRef]
- Leslie, W.S.; Lean, M.E.J.; Baillie, H.M.; Hankey, C.R. Weight Management: A Comparison of Existing Dietary Approaches in a Work-Site Setting. Int. J. Obes. Relat. Metab. Disord. J. Int. Assoc. Study Obes. 2002, 26, 1469–1475. [Google Scholar] [CrossRef] [PubMed]
- Pritchard, J.E.; Nowson, C.A.; Wark, J.D. A Worksite Program for Overweight Middle-Aged Men Achieves Lesser Weight Loss with Exercise than with Dietary Change. J. Am. Diet. Assoc. 1997, 97, 37–42. [Google Scholar] [CrossRef]
- Baer, J.T. Improved Plasma Cholesterol Levels in Men after a Nutrition Education Program at the Worksite. J. Am. Diet. Assoc. 1993, 93, 658–663. [Google Scholar] [CrossRef]
- Follick, M.J.; Fowler, J.L.; Brown, R.A. Attrition in Worksite Weight-Loss Interventions: The Effects of an Incentive Procedure. J. Consult. Clin. Psychol. 1984, 52, 139–140. [Google Scholar] [CrossRef] [PubMed]
- Hagger, M.S. What Makes a ‘Good’ Review Article? Some Reflections and Recommendations. Health Psychol. Rev. 2012, 6, 141–146. [Google Scholar] [CrossRef]
- World Health Organization. Global Strategy on Occupational Health for All: The Way to Health at Work. Available online: https://bit.ly/2Wtl0Gi (accessed on 20 August 2021).
- Gu, J.K.; Charles, L.E.; Bang, K.M.; Ma, C.C.; Andrew, M.E.; Violanti, J.M.; Burchfiel, C.M. Prevalence of Obesity by Occupation among US Workers: The National Health Interview Survey 2004–2011. J. Occup. Environ. Med. 2014, 56, 516–528. [Google Scholar] [CrossRef] [PubMed]
- Gu, J.K.; Charles, L.E.; Fekedulegn, D.; Ma, C.C.; Andrew, M.E.; Burchfiel, C.M. Prevalence of Injury in Occupation and Industry: Role of Obesity in the National Health Interview Survey 2004 to 2013. J. Occup. Environ. Med. 2016, 58, 335–343. [Google Scholar] [CrossRef]
- Muñoz-Cobo-Orosa, B.; Varela-Serrano, C.; Rodriguez-Ledott, M.; Sanz-Valero, J. Malignant Skin Neoplasms in Workers in the Fishing Industry: Systematic Review. Arch. Prev. Riesgos Labor. 2021, 24, 47–61. [Google Scholar] [CrossRef]
- Barriocanal-Gómez, P.; Del Pozo-Díez, C.M.; Kudryavtseva, O.; Portillo Chicano, I.; Sanz-Valero, J. Effects Derived from Occupational Exposure to Hazardous Substances in Pregnant Working Women: Systematic Review. Arch. Prev. Riesgos Labor. 2021, 24, 263–296. [Google Scholar] [CrossRef]
- Gea Cabrera, A.; Sanz-Lorente, M.; Sanz-Valero, J.; López-Pintor, E. Compliance and Adherence to Enteral Nutrition Treatment in Adults: A Systematic Review. Nutrients 2019, 11, 2627. [Google Scholar] [CrossRef] [PubMed]
- Comeche, J.M.; Gutierrez-Hervás, A.; Tuells, J.; Altavilla, C.; Caballero, P. Predefined Diets in Patients with Inflammatory Bowel Disease: Systematic Review and Meta-Analysis. Nutrients 2020, 13, 52. [Google Scholar] [CrossRef] [PubMed]
- Begg, C.; Cho, M.; Eastwood, S.; Horton, R.; Moher, D.; Olkin, I.; Pitkin, R.; Rennie, D.; Schulz, K.F.; Simel, D.; et al. Improving the Quality of Reporting of Randomized Controlled Trials. The CONSORT Statement. JAMA 1996, 276, 637–639. [Google Scholar] [CrossRef] [PubMed]
- González-Castro, U. Cómo mejorar la calidad de la publicación de ensayos clínicos: La declaración CONSORT. Actas Dermosifiliogr. 2002, 93, 141–142. [Google Scholar] [CrossRef]
- Manterola, C.; Asenjo-Lobos, C.; Otzen, T. Hierarchy of Evidence: Levels of Evidence and Grades of Recommendation from Current Use. Rev. Chil. Infectol. 2014, 31, 705–718. [Google Scholar] [CrossRef]
- Teufer, B.; Ebenberger, A.; Affengruber, L.; Kien, C.; Klerings, I.; Szelag, M.; Grillich, L.; Griebler, U. Evidence-Based Occupational Health and Safety Interventions: A Comprehensive Overview of Reviews. BMJ Open 2019, 9, e032528. [Google Scholar] [CrossRef] [PubMed]
- Cox, N.H.; Williams, H.C. Can You COPE with CONSORT? Br. J. Dermatol. 2000, 142, 1–3. [Google Scholar] [CrossRef]
- Munar-Gelabert, M.; Puzo-Foncillas, J.; Sanclemente, T. Dietary-Nutritional Intervention Program for Health Promotion in the Workplace in a Company of the City of Huesca, Spain. Rev. Esp. Nutr. Hum. Diet. 2015, 19, 189. [Google Scholar] [CrossRef]
- Álvarez Velásquez, S.; Sanz Valero, J. Ventajas de La Quimioterapia Domiciliaria En Los Enfermos Adultos Con Neoplasias: Revisión Sistemática. Hosp. Domic. 2020, 4, 25–41. [Google Scholar] [CrossRef]
- Upadhyaya, M.; Sharma, S.; Pompeii, L.A.; Sianez, M.; Morgan, R.O. Obesity Prevention Worksite Wellness Interventions for Health Care Workers: A Narrative Review. Workplace Health Saf. 2020, 68, 32–49. [Google Scholar] [CrossRef] [PubMed]
- Park, S.-H.; Kim, S.-Y. Effectiveness of Worksite-Based Dietary Interventions on Employees’ Obesity: A Systematic Review and Meta-Analysis. Nutr. Res. Pract. 2019, 13, 399–409. [Google Scholar] [CrossRef]
- Schliemann, D.; Woodside, J.V. The Effectiveness of Dietary Workplace Interventions: A Systematic Review of Systematic Reviews. Public Health Nutr. 2019, 22, 942–955. [Google Scholar] [CrossRef] [PubMed]
- Fitzgerald, S.; Geaney, F.; Kelly, C.; McHugh, S.; Perry, I.J. Barriers to and Facilitators of Implementing Complex Workplace Dietary Interventions: Process Evaluation Results of a Cluster Controlled Trial. BMC Health Serv. Res. 2016, 16, 139. [Google Scholar] [CrossRef]
- Chu, A.H.Y.; Ng, S.H.X.; Tan, C.S.; Win, A.M.; Koh, D.; Müller-Riemenschneider, F. A Systematic Review and Meta-Analysis of Workplace Intervention Strategies to Reduce Sedentary Time in White-Collar Workers. Obes. Rev. Off. J. Int. Assoc. Study Obes. 2016, 17, 467–481. [Google Scholar] [CrossRef]
- Wolfenden, L.; Goldman, S.; Stacey, F.G.; Grady, A.; Kingsland, M.; Williams, C.M.; Wiggers, J.; Milat, A.; Rissel, C.; Bauman, A.; et al. Strategies to Improve the Implementation of Workplace-Based Policies or Practices Targeting Tobacco, Alcohol, Diet, Physical Activity and Obesity. Cochrane Database Syst. Rev. 2018, 11, CD012439. [Google Scholar] [CrossRef] [PubMed]
- Sawada, K.; Wada, K.; Shahrook, S.; Ota, E.; Takemi, Y.; Mori, R. Social Marketing Including Financial Incentive Programs at Worksite Cafeterias for Preventing Obesity: A Systematic Review. Syst. Rev. 2019, 8, 66. [Google Scholar] [CrossRef]
- Peñalvo, J.L.; Sagastume, D.; Mertens, E.; Uzhova, I.; Smith, J.; Wu, J.H.Y.; Bishop, E.; Onopa, J.; Shi, P.; Micha, R.; et al. Effectiveness of Workplace Wellness Programmes for Dietary Habits, Overweight, and Cardiometabolic Health: A Systematic Review and Meta-Analysis. Lancet Public Health 2021, 6, e648–e660. [Google Scholar] [CrossRef]
- LaCaille, L.J.; Schultz, J.F.; Goei, R.; LaCaille, R.A.; Dauner, K.N.; de Souza, R.; Nowak, A.V.; Regal, R. Go!: Results from a Quasi-Experimental Obesity Prevention Trial with Hospital Employees. BMC Public Health 2016, 16, 171. [Google Scholar] [CrossRef] [PubMed]
- Allan, J.; Querstret, D.; Banas, K.; de Bruin, M. Environmental Interventions for Altering Eating Behaviours of Employees in the Workplace: A Systematic Review: Environmental Interventions in Eating. Obes. Rev. 2017, 18, 214–226. [Google Scholar] [CrossRef] [PubMed]
- Vermeer, W.M.; Steenhuis, I.H.M.; Leeuwis, F.H.; Heymans, M.W.; Seidell, J.C. Small Portion Sizes in Worksite Cafeterias: Do They Help Consumers to Reduce Their Food Intake? Int. J. Obes. 2011, 35, 1200–1207. [Google Scholar] [CrossRef] [PubMed]
- Abbate, M.; Gallardo-Alfaro, L.; Bibiloni, M.D.M.; Tur, J.A. Efficacy of Dietary Intervention or in Combination with Exercise on Primary Prevention of Cardiovascular Disease: A Systematic Review. Nutr. Metab. Cardiovasc. Dis. 2020, 30, 1080–1093. [Google Scholar] [CrossRef]



| Author, Year | Population Studied | Pathology | Country | Intervention Period | Type of Intervention | Observed Outcome |
|---|---|---|---|---|---|---|
| Thorndike et al., 2021 [22] | N = 602 Massachusetts General Hospital employees. IG: n = 299 M/F = 69/230 Age Mean ± SD = 43.5 ± 12 BMI ± SD = 28.6 ± 6.6 CG: n = 303 M/F = 55/248 Age Mean ± SD = 43.8 ± 12.5 BMI ± SD = 28.0 ± 6.5 | Overweight and obesity | USA | 12 months | IG: Participants received two emails per week with feedback on previous cafeteria purchases and personalized health and lifestyle tips and one letter per month with peer comparisons and financial incentives for healthier purchases. Emails and letters were automatically generated using survey, health, and cafeteria data. CG: Participants received one letter per month with general healthy lifestyle information. | There were no between-group differences in weight change at 12/24 months. The IG increased green-labeled purchases and decreased red-labeled and calories purchased compared with CG (p < 0.001) at 12/24 months. The findings suggest that an automated behavioral intervention using workplace cafeteria data improved employees’ food choices but did not prevent weight gain. |
| Röhling et al., 2020 [23] | N = 30 Düsseldorf Catholic Hospital employees IG: Starting intervention (SI): n = 15 M/F = 3/12 Age Mean ± SD = 44 ± 9 BMI ± SD = 35.1 ± 6.9 CG: Waiting list (WL): n = 15 M/F = 2/13 Age Mean ± SD = 49 ± 7 BMI ± SD = 32.8 ± 6.1 | Overweight and obesity | Germany | 12 weeks | All participants were equipped with telemetric devices (scales and pedometers). IG: Immediately started with SAMMAS intervention (group-based seminars, low-carbohydrate nutrition including formula diet, continuous glucose monitoring, telemetric monitoring, and telemedical coaching) with weekly contacts. CG: Continued their habitual lifestyle. At 12 weeks, they started the same SAMMAS intervention. | SI-group significantly reduced weight (p < 0.001) and improved in BMI, WC, fat mass, and all variables of eating behavior (all p < 0.05) compared to the WL-group after 12 weeks of intervention. The Low-Insulin-Method included in the multi-component, occupational healthcare program SAMMAS could be an effective and promising new approach for the reduction in body weight and long-term weight loss maintenance in people with overweight and obesity. |
| Iturriaga et al., 2019 [24] | N = 63 (workers not described) IG: n = 34 M/F = 0/34 Age Mean ± SD = 42.53 ± 5.34 BMI ± SD = 23.78 ± 3.52 CG: n = 29 M/F = 0/29 Age Mean ± SD = 45.01 ± 4.93 BMI ± SD = 25.64 ± 5.12 | Overweight and obesity | Spain | 12 weeks | IG: A moderate-intensity aerobic physical exercise program consisting of two different activities, Zumba or Aqua fitness. Three sessions per week (36 sessions in total) of duration 45 min per session. | Beneficial effects on body composition of a short-term workplace aerobic exercise program (12 weeks) were observed in terms of reduced BMI (p = 0.004), fat indexes, and fat mass (p = 0.001) in the lower limbs compared to controls. |
| Day et al., 2019 [25] | N = 421 firefighters IG: n = 217 M/F = 168/49 Age Mean ± SD = 37.3 ± 12.7 BMI (%), (BMI < 25) = 27.4 (BMI 25–29.9) = 32.1 (BMI ≥ 30) = 40.5 CG: n = 178 M/F = 149/29 Age Mean ± SD = 36.9 ± 12.6 BMI (%), (BMI < 25) = 16.3 (BMI 25–29.9) = 32.6 (BMI ≥ 30) = 51.1 | Overweight and obesity | USA | 6 months | IG: They were provided TF20 (First Twenty Intervention) web-based program and information about enrollment and use. The TF20 includes modules on physical activity, nutrition and behavioral health to provide 24 weeks of evidence-based material. With weekly goals, messages vía emails, tasks, resources and tracking tools. CG: Usual wellness practices. They received the same introduction, program overview, follow-up and evaluation as the IG. | All models indicated an average weight gain for the control group and weight loss for the treatment group. The treatment effect in the measured weight of all participants and those overweight and obese approached statistical significance, p = 0.08 and p = 0.07, respectively, despite the relatively small samples. TF20 supports firefighters’ weight loss. |
| Kempf et al., 2019 [26] | N = 104 Boehringer Ingelheim workers IG Telemedical coaching: n = 34 M/F = 29/5 Age Mean ± SD = 51 ± 6 BMI ± SD = 32 ± 7 CG1: n = 34 M/F = 25/5 Age Mean ± SD = 48 ± 5 BMI ± SD = 30 ± 4 CG2: n = 36 M/F = 30/6 Age Mean ± SD = 51 ± 5 BMI ± SD = 31 ± 4 | Overweight | Germany | 12 months | TMC and CG1 were equipped with tele monitoring devices (scales and pedometers) at baseline and CG2 after 6 months. All participants were instructed to monitor their body weight and physical activity. IG: (TMC): Was coached with weekly care calls in months 3–6 and monthly calls from months 7 to 12. CG1: Received no further support. CG2: Had a short coaching phase in months 6–9. | All groups reduced weight after 12 months (p < 0.01) and sustained it during follow-up (p < 0.01). All groups reduced BMI, systolic and diastolic blood pressure and improved eating behavior. TMC and/or tele monitoring support long-term weight reduction in overweight employees. The combination of both interventions points towards an additional effect (not supported by the intention to treat analysis). |
| Tene et al., 2018 [27] | N = 277 research center workers G1 (Low-Fat Diet): n = 139 M/F: 122/17 Age Mean ± SD = 48.4 ± 9.2 BMI ± SD = 30.8 ± 3.7 G2 (Mediterranean/Low-Carbohydrate Diet): n = 138 M/F: 124/14 Age Mean ± SD = 47.5 ± 9.3 BMI ± SD = 30.9 ± 3.9 At 6 months of DI randomized groups with physical activity for the last 12 months of intervention: G1: LF PA+/MED-LC PA+ G2 LF PA−/MED-LC PA− | Abdominal obesity or dyslipidemia | Israel | 18 months | Dietary intervention (DI): 1500 kcal/day for women and 1800 for men (both diets), included weekly nutritional sessions. -Mediterranean/low-carbohydrate diet: Provided 28 gr walnuts/day. -Low Fat diet: limit total fat intake to 30% of calories, up to 10% of saturated fat, and no more than 300 mg of cholesterol per day, and to increase dietary fibers. Physical activity (PA) intervention: Free 12-month gym membership, and monthly 60-min educational workshops in the workplace. | At 6 months pancreatic-fat significantly decreased (p = 0.002), similarly between diets (p = 0.736) and after 18 months (p = 0.049). This study shows modulation of pancreatic fat through lifestyle interventions, mainly by increasing dietary fat proportion on the account of the relative carbohydrate intake. The efficacy is best achieved when accompanied by moderate endurance exercise. |
| Viester et al., 2017 [28] | N = 314 Construction Workers IG: n = 162 M/F: 162/0 Age Mean ± SD = 46.3 ± 9.9 BMI ± SD = 27.3 ± 3.5 CG: n = 152 M/F: 152/0 Age Mean ± SD = 47.0 ± 9.5 BMI ± SD = 27.4 ± 3.9 | Overweight and musculoskeletal disorders | Netherlands | 6 months | IG: They received individual coaching sessions, tailored information, and materials to improve lifestyle behavior (Physical activity and dietary behavior). CG: Received usual care. | Positive changes showed in vigorous physical activity and intake of sugar-sweetened beverages compared to controls, as well as effects on body weight (p = 0.010), BMI (p = 0.010), and waist circumference (p = 0.032) at 6 months. Long-term effects were still promising but not statistically significant. |
| Shrivastava et al., 2017 [29] | N = 267 corporative workers IG: n = 156 M/F: 137/19 Age Mean ± SD = 35.8 ± 7.6 BMI ± SD = 28.21 ± 2.89 CG: n = 111 M/F: 92/19 Age Mean ± SD = 39.0 ± 8.7 BMI ± SD = 28.20 ± 3.59 | Overweight | India | 6 months | IG: A multicomponent intervention with sessions on the different topics related to healthy living, diet, stress and physical activity. And monitoring the compliance of lifestyle changes with digital resources. CG: No intervention, but were given general health talk twice in six months. | Active intervention was successful in achieving of reduction in weight, excess subcutaneous fat, and cardiometabolic risk factors after 6 months. Statistically significant changes in IG vs. CG in weight, BMI, waist circumference, hip circumference (p < 0.001). |
| Gepner et al., 2017 [30] | N = 278 research center workers G1 (Low-Fat Diet) n = 139 M/F: 122/17 Age Mean ± SD = 48.4 ± 9.2 BMI ± SD = 30.8 ± 3.7 G2 (Mediterranean/Low-Carbohydrate Diet): n = 139 M/F: 125/14 Age Mean ± SD = 47.4 ± 9.3 BMI ± SD = 30.9 ± 4.0 At 6 months of DI randomized groups with physical activity for the last 12 months of intervention: G1: LF PA+ /MED-LC PA+ n = 126 G2 LF PA−/MED-LC PA− n = 130 | Abdominal obesity or dyslipidemia | Israel | 18 months | Dietary intervention (DI): Monitored provided lunch (1500 kcal/day women and 1800 men) and a 90-min nutritional session in the workplace with clinical dietitians every week (first month), and every month thereafter. -Mediterranean/low-carbohydrate diet: Provided 28 g walnuts/day. -Low Fat diet: limit total fat intake to 30% of calories, up to 10% of saturated fat, and no more than 300 mg of cholesterol per day, and to increase dietary fibers. Physical Activity Intervention: Free supervised gym membership for 12 months, three sessions per week, included monthly 60-min educational workshops. | Energy intake decreased similarly across diet groups after 6 months (p = 0.85) and 18 months (p = 0.18), and all were significantly lower compared with baseline (p < 0.001). A Mediterranean diet, rich in unsaturated fats and low in carbohydrates, and being physically active can improve cardiometabolic risk markers through changes in visceral/ectopic fat depots that are not reflected by mild body weight changes alone. |
| Faghri et al., 2017 [31] | N = 99 nursing-home employees M/F: 9/88 Age Mean ± SD = 46.98 ± 11.36 BMI ± SD = 35.33 ± 6.91 IG: Incentivized participants (IP): n = 51 CG: Non incentivized participants (NIP): n = 48 | Overweight, obesity and diabetes | USA | 16 weeks | IG: Financial incentive-based intervention. All participants received a personalized weight-loss consultation based on their reported physical activity habits and dietary preferences. Each participant received an action plan based on the National Diabetes Prevention Program (NDPP) CG: No incentive. | IP reduced more weight (p = 0.027) and BMI (p = 0.043) than NIP at week 16. At week 28, IP lost more weight than NIP (p = 0.053), and reduced their BMI more than NIP (p = 0.308). Eating and exercise self-efficacy were significant mediators between health behaviors and weight loss (p < 0.05). Incentives significantly moderated the effects of self-efficacy (p = 0.00) on weight loss. Self-efficacy and financial incentives may affect weight loss and play a role in weight-loss interventions. |
| Geaney et al., 2016 [32] | N = 541 manufacturing workplaces IG1 (NE): n = 107 M/F = 81/26 Age n (%) 18–29 = 13 (12.1) 30–44 = 67 (62.6) 45–65 = 27 (25.2) BMI ± SD = 27.1 ± 4.1 IG2 (EDM): n = 71 M/F = 43/28 Age n (%) 18–29 = 7 (9.9) 30–44 = 33 (46.5) 45–65 = 31 (43.7) BMI ± SD = 28.0 ± 5.1 IG3 (NE + EDM): n = 272 M/F = 227/45 Age n (%) 18–29 = 13 (4.8) 30–44 = 197 (72.4) 45–65 = 62 (22.8) BMI ± SD = 27.1 ± 3.8 CG: n = 67 M/F = 42/25 Age n (%) 18–29 = 11 (16.4) 30–44 = 34 (50.7) 45–65 = 22 (32.8) BMI ± SD = 27.6 ± 4.2 | Obesity and type 2 diabetes | Ireland | 7–9 months | Nutrition education (NE) was comprised of three elements: monthly group nutrition presentations, detailed group nutrition information (daily traffic light menu labeling and monthly posters, leaflets and emails) and individual nutrition consultations. Environmental dietary modification (EDM) included five elements: (a) menu modification: restriction of saturated fat, sugar and salt, (b) increase in fiber, fruit and vegetables, (c) price discounts for whole fresh fruit, (d) strategic positioning of healthier alternatives and (e) portion size control. | Effects in the education and environment alone workplaces were smaller and generally non-significant. There were significant positive changes in intakes of saturated fat (p = 0.013), salt (p = 0.010), nutrition knowledge (p = 0.034) and BMI (p = 0.047) between baseline and follow-up in the combined intervention versus the control. Combining nutrition education and environmental dietary modification may be an effective approach for promoting a healthy diet and weight loss at work. |
| Solenhill et al., 2016 [33] | N = 981 transportation companies employees M/F: 655/326 Age Mean ± SD = 44 ± 10.2 IG1 (intervention Web): n = 301 BMI ± SD = 26.6 ± 4.4 IG2 (intervention Web + telephone): n = 324 BMI ± SD = 26.1 ± 4.0 CG: n = 356 BMI ± SD = 26.6 ± 4.5 | Obesity, diabetes, and cardiovascular diseases | Sweden | 9 months | IG1: They received tailored Web-based health feedback. IG2: They received tailored Web-based health feedback + additional optional telephone health coaching for those participants who were motivated to change health behaviors. CG: No additional intervention. | Tailored Web-based health feedback and the offering of optional telephone coaching did not have a positive health effect on employees in the transport services. |
| Mitchell et al., 2015 [34] | N = 254 Latino farmworkers M/F: 71/183 IG: n = 174 Age Mean ± SD = 32.3 ± 7.6 BMI ± SD = 29.1 ± 0.3 CG: n = 80 Age Mean ± SD = 32.5 ± 7.9 BMI ± SD = 27.7 ± 0.4 | Overweight, obesity and diabetes | USA | 10 weeks | IG: 10 weekly educational sessions (health habits, physical activity and dietary behaviors) led by promoters. CG: No intervention. | Greater losses in weight (p = 0.0002), BMI (p = 0.0001), and waist circumference (p = 0.001) were associated with increasing attendance at intervention sessions. Women significantly reduced weight (p = 0.001) and BMI (p = 0.002) compared with controls, except blood glucose. The successful pilot workplace intervention offers a model to reach otherwise difficult-to-access Latino farmworkers. |
| Fernández et al., 2015 [35] | N = 2614 manufacturing, research, and development company employees IG: n = 1547 M/F: 1054/493 Age Mean ± SD = 47.7 ± 7.47 BMI ± SD = 28.6 ± 5.50 CG: n = 1067 M/F: 594/474 Age Mean ± SD = 47.4 ± 7.84 BMI ± SD = 28.6 ± 5.55 | Overweight and obesity | USA | 2 years | Environmental intervention in the worksite. Employees received a small economic incentive. The intervention promotes healthy lifestyles through portion control, education, healthy diets, and physical activity. | BMI decreased significantly at the intervention worksites after 2 years (p = 0.03) and non-significantly at the control worksites (p = 0.6). Worksite environmental interventions may be promising strategies for addressing weight control at the population level. |
| Almeida et al., 2015 [36] | 28 worksites (workers not described) N = 1790 employees IG INCENT: n = 789 M/F (% ± SD) = 19.79/80.21 ± 10.84 Age Mean ± SD = 45.68 ± 3.30 BMI ± SD = 33.26 ± 6.39 IG LMW: n = 1001 M/F (% ± SD) = 32.57/67.43 ± 25.02 Age Mean ± SD = 48.24 ± 2.78 BMI ± SD = 33.51 ± 6.44 | Overweight, and obesity | USA | 12 months | Two weight loss interventions targeted diet and physical activity behaviors: IG INCENT: Individually targeted Internet-based intervention with monetary incentives. INCENT was delivered via daily e-mails over 12 months. IG Livin’ My Weigh (LMW): a less-intensive minimal intervention that included newsletters and onsite educational sessions delivered on a quarterly basis. LMW was delivered quarterly via both newsletters and onsite educational sessions. | Participants in the INCENT group on average lost 2.27 lbs (p < 0.001) and had a BMI decrease of 0.36 kg/m2 (p < 0.001) while participants in LMW group lost 1.30 lbs (p < 0.05) and decreased BMI by 0.20 kg/m2 (p < 0.05). However, the differences between INCENT and LMW groups in weight loss and BMI reduction were not significant. Both approaches investigated were successful in helping participants lose small amounts of weight and decrease their BMI. |
| Østbye et al., 2015 [37] | N = 550 Duke University and Medical Center employees IG1 (WM+ behavioral): n = 275 M/F: 45/230 Age: < 35 = 42 35–50 = 133 >50 = 100 BMI ± SD = 37.37 ± 6.61 IG2 (WM educational): n = 275 M/F: 48/227 Age: <35 = 53 35–50= 134 >50 = 88 BMI ± SD = 37.02 ± 6.14 Used in the analysis WM (n = 220) WM+ (n = 215) | Obesity | USA | 1 year | Weight Management [WM]: Educational program targeting healthy lifestyle changes for weight loss (portion control, education, healthy diets, and physical activity). Weight Management Plus [WM+]: Intensive behavioral intervention: (1) monthly counseling sessions, (2) meetings with an exercise physiologist (3) quarterly biometric feedback, (4) targeted health education materials, and (5) information and active linking with various Duke programs and wellness resources, (6) use of eHealth trackers for diet and weight. | There were no clinically, or statistically, meaningful differences between groups but there were modest reductions in body mass index and positive, meaningful changes in diet and physical activity for both groups. |
| Van Berkel et al., 2014 [38] | N = 257 research institutes employees IG: n = 129 M/F: 47/82 Age Mean ± SD = 46.0 ± 9.4 BMI ± SD = 24.74 ± 3.96 CG: n = 128 M/F: 37/91 Age Mean ± SD = 45.1 ± 9.6 BMI ± SD = 24.66 ± 3.56 | Overweight and obesity | Netherlands | 6 months | IG: 8 weeks of in-company mindfulness training with homework exercises, followed by eight sessions of e-coaching (in their free time). Additionally, free fruit and snack vegetables were provided for 6 months. CG: They received information on existing lifestyle behavior-related facilities that were already available at the worksite. | This study did not show an effect of a worksite mindfulness-based multi-component intervention on lifestyle behaviors and behavioral determinants after 6 and 12 months. |
| Mishra et al., 2013 [39] | N = 291 GEICO corporate offices employees IG: n = 142 M/F: 32/110 Age Mean ± SD = 44.3 ± 15.3 BMI ± SE = 34.7 ± 0.6 CG: n = 149 M/F: 18/131 Age Mean ± SD = 46.1 ± 13.6 BMI ± SE = 35.3 ± 0.7 | Overweight, obesity and type 2 diabetes | USA | 18 weeks | IG: a low-fat vegan diet, with weekly group support and work cafeteria options available plus a daily supplement of vitamin B12. CG: No Intervention. They were given $50 gift certificates for completion of all aspects of the study. | An 18-week dietary intervention using a low-fat plant-based diet in a corporate setting improves body weight (p < 0.001), BMI (p < 0.001), plasma lipids (p = 0.001), and, in individuals with diabetes, glycemic control (p = 0.003). |
| Salinardi et al., 2013 [40] | N = 466 Boston companies employees IG: n = 84 M/F: 21/63 Age Mean ± SD = 48.6 ± 1.2 BMI ± SD = 33.3 ± 0.7 CG: n = 34 M/F: 8/26 Age Mean ± SD = 49.9 ± 2.1 BMI ± SD = 33.3 ± 1.2 | Overweight and obesity | USA | 12 months | IG: Intervention combined recommendations to consume a reduced-energy, low-glycemic load, high-fiber diet with behavioral change education. Employees who completed the weight-loss program were invited to reenroll in the 6-mo program (identical to the original except that the groups met once per month). CG: Wait-listed weight-loss program. | Worksites can be successful locations for the implementation of interventions that cause substantial mean weight loss (p < 0.001) and improve cardiometabolic risk factors (total cholesterol, glucose, systolic blood pressure, and diastolic blood pressure, p ≤ 0.02 for each). |
| Christensen et al., 2012 [41] | N = 98 health care workers M/F: 0/98 IG: n = 54 M/F: 0/54 Age Mean ± SD = 45.7 ± 8.7 BMI ± SD = 30.7 ± 5.4 CG: n = 44 M/F: 0/44 Age Mean ± SD = 46.0 ± 8.6 BMI ± SD = 30.4 ± 4.9 | Overweight and obesity | Denmark | 12 months | IG: one-hour weekly workplace intervention consisting of diet, physical exercise and cognitive-behavioral training. CG: monthly two-hour oral presentation during working hours about the Danish Dietary recommendations and other health-related topics. | The intervention generated substantial reductions in body weight (p < 0.001), BMI (p < 0.001) and body fat percentage (p < 0.001). The positive results support the workplace as an efficient arena for weight loss among overweight females. |
| Thorndike et al., 2012 [42] | N = 330 Massachusetts General Hospital employees IG: n = 174 M/F: 17/157 Age Mean ± SD = 44.2 ± 11.8 BMI ± SD = 28.0 ± 5.8 CG: n = 156 M/F: 28/128 Age Mean ± SD = 41.6 ± 13.6 BMI ± SD = 27.5 ± 5.9 | Overweight and obesity | USA | 10 weeks | Ten-week exercise and nutrition program (IG and CG) immediately following by 9-month maintenance intervention. IG: Internet support with a website for goal-setting and self-monitoring of weight and exercise plus minimal personal support (for 9 months). CG: usual care (for 9 months). | The initial program resulted in moderate weight loss and improvements in diet and exercise behaviors at 1 year (p < 0.001) in both groups, but no difference in weight loss between groups. The Internet-based maintenance program immediately following did not improve these outcomes. |
| Linde et al., 2012 [43] | N = 1672 in six worksites IG: n = 723 M/F: 273/450 Age (%), <30 =18.3% 31–40 = 24.3% 41–50 = 31.1% 51–60 = 23.4% >60 = 3.0% BMI ± SD = 28.7 ± 6.6 CG: n = 949 M/F: 40.5%/59.5% Age (%), <30 =15.6% 31–40 = 26.0% 41–50 = 31.9% 51–60 = 22.8% >60 = 3.7% BMI ± SD = 28.3 ± 6.1 | Overweight and obesity | USA | 2 years | IG: A four-component environmental intervention focused on food availability and price, physical activity promotion, scale access, and media enhancements to promote a healthier workforce and improve weight control. CG: Following the last round of data collection, control sites were offered a DVD containing intervention materials and an opportunity to ask questions of intervention staff as needed. | BMI was not significantly affected by environmental changes. Mean weight and BMI gain was higher at intervention sites relative to controls. Results about environmental change at worksites may be not sufficient for population weight gain prevention. |
| Nanri et al., 2012 [44] | N = 102 employees of a company in Kanagawa Prefecture IG: n = 49 M/F: 49/0 Age Mean ± SD = 53.7 ± 6.1 BMI ± SD = 26.0 ± 2.4 CG: n = 53 M/F: 53/0 Age Mean ± SD = 52.8 ± 7.4 BMI ± SD = 25.6 ± 2.3 | Metabolic syndrome (MS) | Japan | 6 months | IG: received a six-month lifestyle modification program focused on exercise and diet behavior from a trained occupational health nurse at the baseline and at one and three months. CG: Standard health guidance by an occupational health nurse using a leaflet at the baseline. | The program did not lead to a greater decrease in the prevalence of metabolic syndrome. However, WC (p = 0.02), body weight (p < 0.001), BMI (p = 0.001) and glycated hemoglobin (p = 0.005) were significantly decreased in the intervention group, as well as a significant reduction in sugar and sweetener intake (p = 0.002), in cereal intake (p = 0.002) and an increase in physical activity (p < 0.001). |
| Brehm et al., 2011 [45] | N = 341 manufacturing companies employees M/F (%) = 60/40 Age Mean ± SD = 43.8 ± 10.0 BMI ± SD = 29.0 ± 5.5 IG: n = 168 CG: n = 173 | Obesity | USA | 1 year | IG: Multicomponent environmental intervention that included employee advisory committees, point-of-decision prompts, walking paths, cafeteria/vending changes, and educational materials. | There were no intervention effects for outcome variables. Findings indicate that subtle environmental changes alone may not impact employees’ weight and health. |
| Christensen et al., 2011 [46] | N = 144 health care workers IG: n = 54 M/F: 0/54 Age Mean ± SD = 45.7 ± 8.7 BMI ± SD = 30.5 ± 5.4 CG: n = 44 M/F: 0/44 Age Mean ± SD = 46.0 ± 8.6 BMI ± SD = 30.4 ± 4.9 | Overweight and obesity | Denmark | 12 months | IG: An individually dietary plan with an energy deficit of 1200 kcal/day, strengthening exercises and cognitive-behavioral training during working hours 1 h/week. Leisure time aerobic fitness was planned for 2 h/week. CG: Monthly oral presentations. | The significantly reduced body weight, body fat, waist circumference and blood pressure as well as increased aerobic fitness in the intervention group (p ≤ 0.001) show the great potential of workplace health promotion among this high-risk workgroup. |
| Barham et al., 2011 [47] | N = 45 employees of Onondaga County Department of Probation, Health and Social Services IG: n = 21 M/F: 4/17 Age Mean ± SD = 51.1 ± 9.6 BMI ± SD = 39.4 ± 6.9 CG: n = 24 M/F: 3/21 Age Mean ± SD = 51.2 ± 6.4 BMI ± SD = 36 ± 6.9 | Overweight, obesity and type 2 diabetes | USA | 3 months | IG: 3-month program (12 one-hour weekly midday group sessions) that targeted healthy diet, physical activity, and stress reduction, followed by a monthly maintenance program with the groups choosing topics that they considered of greatest benefit. CG: Wait list control group. | The IG lost significant weight compared to the wait CG over the first 3 months, with a decrease in BMI (p < 0.001) and waist circumference (p = 0.004), an increase in physical activity (p = 0.011) and lower dietary fat intake (p = 0.018). A worksite intervention program can help government employees adopt healthier lifestyles and achieve modest weight loss. |
| Ferdowsian et al., 2010 [48] | N = 113 GEICO company employees IG: n = 68 M/F: 18/50 Age Mean ± SD = 46 ± 10 BMI ± SD = Not provided CG: n = 45 M/F: 2/43 Age Mean ± SD = 42 ± 10 BMI ± SD = Not provided | Overweight, obesity and diabetes type 2 | USA | 22 weeks | IG: Follow a low-fat vegan diet for 22 weeks, group meetings, cooking demonstrations. Also provided with practical tools and a grocery store tour. CG: They were compensated with gift certificates ($60) and informed that the nutrition program would be provided upon study completion. | IG participants experienced greater weight changes compared with CG (p < 0.0001), as well as greater changes in waist circumference and waist ratio hip (p < 0.0001). An intervention using a low-fat, vegan diet effectively reduced body weight and waist circumference. |
| Maruyama et al., 2010 [49] | N = 99 office workers of the Nichirei Group Corporation IG: n = 52 M/F: 52/0 Age Mean ± SD = 43.1 ± 7.7 BMI ± SD = 25.7 ± 3.7 CG: n = 47 M/F: 47/0 Age Mean ± SD = 35.5 ± 8.1 BMI ± SD = 25.8 ± 3.3 | Metabolic diseases | Japan | 4 months | IG: Individualized assessment and collaborative goal-setting sessions based on food group intake and physical activity, followed by two individual counseling sessions with a registered dietitian and physical trainer, and received monthly website advice. CG: No intervention. | Mean inter-group differences in changes were significant at level p ≤ 0.01 for body weight, BMI and homeostasis model assessment of insulin resistance. And at level p ≤ 0.05 for fasting plasma glucose and hemoglobin A1c. The LiSM10! program improved insulin resistance-related metabolic parameters. |
| Siegel et al., 2010 [50] | N = 413 elementary school personnel IG: n = 211 M/F: 35/176 Age Mean ± SE = 40.0 ± 0.73 BMI ± SE = 28.4 ± 0.45 CG: n = 202 M/F: 53/149 Age Mean ± SE = 39.5 ± 0.84 BMI ± SE = 27.9 ± 0.51 | Overweight and obesity | USA | 3 years | IG: Develop and implement health promotion activities (improving diet, increasing physical activity, stress management, etc.) for employees. Each intervention school was given a stipend of $3500 per year (for 3 years) to subsidize its wellness activities. CG: Was given an unrestricted stipend of $1000 at baseline and follow-up. | Intervention schools presented a significant change in BMI (p <0.05) but not on waist–hip ratio, physical activity, or fruit and vegetable consumption. The participatory process appeared to be an effective means for stimulating change. The intervention may have slowed and perhaps reversed the tendency of adults to gain weight progressively with age. |
| Van Wier et al., 2009 [51] | N = 1386 workers from two IT-companies, two hospitals, an insurance company, a bank and a police force IG phone: n = 462 M/F = 321/141 Age Mean ± SD = 43 ± 8.8 BMI ± SD = 29.5 ± 3.5 IG internet: n = 464 M/F = 302/162 Age Mean ± SD = 43 ± 8.4 BMI ± SD = 29.6 ± 3.4 CG: n = 460 M/F = 306/154 Age Mean ± SD = 43 ± 8.7 BMI ± SD = 29.6 ± 3.7 | Overweight | Netherlands | 6 months | All groups received self-help materials (dealt with overweight, healthy diet and physical activity plus pedometer). Additionally, the IG received a lifestyle intervention program (10 modules about nutrition, physical activity…). IG phone: Received the program in a binder. Counseling by phone every two weeks. IG internet: Had access to an interactive website. Counseling by email when the employee finished a module. CG: Received only the self-help materials and no counseling. | Both groups had a significant decrease in weight loss (p < 0.001) and WC (p < 0.05 internet, p < 0.001 phone) in comparison with the CG. The difference between the intervention groups was not statistically significant. Weight loss intervention plus lifestyle counseling by phone and e-mail is effective for reducing body weight and WC. Furthermore, counseling by phone is effective for reducing fat intake and increasing physical activity. |
| Leslie et al., 2002 [52] | N = 122 petrochemical work-site (staff) IG1 Energy deficit diet (ED): n = 61 M/F: 61/0 Age Mean ± SD = 41.3 ± 8.1 BMI ± SD = 31.5 ± 3.7 IG2 Generalized low calorie diet (GLC): n = 61 M/F: 61/0 Age Mean ± SD = 42.1 ± 7.8 BMI ± SD = 30.4 ± 3.7 | Overweight and obesity | UK | 12 weeks weight loss plus 12 weeks weight maintenance | IG1 (ED): Individualized energy prescriptions (600 kcal subtracted from estimated daily energy requirements). Diet with and without meat. IG2 (GLC): They were given a 1500 kcal eating plan. Diet with and without meat. CG: Volunteers were randomized to different combinations (ED meat, ED no meat, GLC meat, GLC no meat). One-third of subjects were randomized to an initial control period prior to receiving dietary advice. | Both the ED and GLC groups had a significant mean weight loss at week 12 (p < 0.0001) in contrast with CG. But no difference was evident between diet groups in mean weight loss at 12 weeks (p = 0.34). The inclusion of lean red meat in the diet did not impair weight loss. The weight maintenance intervention was not effective, with a significant mean weight gain in all groups (p ≤ 0.003). |
| Pritchard et al., 1997 [53] | N = 58 business corporation employees IG (weight loss-diet-low fat): n = 18 Age Mean ± SD = 43.6 ± 6.0 M/F: 18/0 BMI ± SD = 29.0 ± 2.8 IG (weight loss-exercise): n = 21 Age Mean ± SD = 44.9 ± 6.5 M/F: 21/0 BMI ± SD = 29.2 ± 2.8 CG (weight maintenance): n = 19 Age Mean ± SD = 42.3 ± 4.5 M/F: 19/0 BMI ± SD = 28.6 ± 2.8 | Overweight | Australia | 12 months | IG (diet): Low fat intake (22% to 25% of energy) diet plus personalized dietary plan (on the basis of usual dietary pattern). IG (exercise): Subjects selected their own aerobic exercise regimen (realized in leisure time); minimum participation (three sessions of 30 min per week). CG: Monthly weight-monitoring sessions plus measurement protocol similar to those of the intervention groups and followed their usual pattern of activity and diet. | At 12 months the diet group was significantly different from baseline (p < 0.001) and from the CG in weight lost, BMI, total energy and total fat mass (p < 0.05). The dieters had greater weight loss than the exercise group (unsupervised aerobic exercise) (p < 0.05), as well as a lower BMI index. |
| Baer 1993 [54] | N = 70 management-level male employees IG: n = 33 M/F = 33/0 Age Mean ± SE = 44 ± 4.0 BMI ± SD = Not provided CG: n = 37 M/F = 37/0 Age Mean ± SE = 35 ± 3.0 BMI ± SD = Not provided | Coronary heart disease | USA | 1 year | All subjects met with a registered dietitian who explained the results of the lipid analysis and discussed risk factors for coronary heart disease with an emphasis on diet. IG: Nutrition intervention: individualized instruction about the step 1 diet; group sessions (1 h every 3 months) on eating out, dietary fiber, and maintaining heart-healthy behaviors, and individualized follow-up by telephone (one call per month). | Significant decreases (p < 0.05) in total cholesterol, triglycerides, body weight and body fat were observed in intervention subjects at the 1-year follow-up. Although weight reduction was not a goal of the program, by decreasing energy intake and increasing energy expenditure, subjects lost weight and decreased body fat. The worksite provides many opportunities for dietetics professionals to conduct nutrition education programs to decrease risk factors associated with coronary heart disease. |
| Follick et al., 1984 [55] | N = 48 employees of a general hospital M/F: 41/7 Age range: 20–69 IG: n = 24 BMI ± SD = Not provided CG: n = 24 BMI ± SD = Not provided | Overweight | USA | 18 weeks | IG: Weight loss program (14 session behavior modification program) plus incentive procedure. (5$ (×14) deposit was returned (one for each treatment session). CG: Weight loss program alone. | Both groups lost weight over the course of the intervention (p < 0.001) and there were no significant differences in weight loss between groups. The inclusion of an incentive procedure may improve the effectiveness of a behavioral weight loss intervention by decreasing attrition (p < 0.01). |
| Author | 1 | 2 | 3 | 4 | 5 | 6 | 7 | 8 | 9 | 10 | 11 | 12 | 13 | 14 | 15 | 16 | 17 | 18 | 19 | 20 | 21 | 22 | 23 | 24 | 25 | Total | % |
|---|---|---|---|---|---|---|---|---|---|---|---|---|---|---|---|---|---|---|---|---|---|---|---|---|---|---|---|
| Thorndike et al. [22] | 1 | 1 | 0.5 | 1 | 1 | 0.5 | 0.5 | 1 | 0 | 0 | 0.5 | 1 | 0.5 | 0.5 | 1 | 1 | 0.5 | 1 | 0 | 1 | 0 | 1 | 1 | 0 | 0 | 15.5 | 62 |
| Röhling et al. [23] | 1 | 1 | 0 | 1 | 1 | 0.5 | 0.5 | 1 | 1 | 0 | 0.5 | 1 | 1 | 0.5 | 1 | 1 | 0.5 | 1 | 1 | 1 | 1 | 1 | 1 | 1 | 1 | 20.5 | 82 |
| Iturriaga et al. [24] | 1 | 1 | 0.5 | 0.5 | 0 | 0.5 | 0 | 0.5 | 0 | 0 | 0.5 | 0.5 | 1 | 0.5 | 0 | 1 | 0.5 | 0 | 0 | 0 | 0 | 1 | 1 | 1 | 1 | 12 | 48 |
| Day et al. [25] | 1 | 1 | 0.5 | 0.5 | 0 | 0.5 | 0.5 | 0 | 0 | 0 | 0 | 0 | 1 | 0.5 | 1 | 1 | 0.5 | 0 | 0 | 1 | 0 | 1 | 1 | 0 | 0 | 11.5 | 46 |
| Kempf et al. [26] | 1 | 1 | 0 | 0.5 | 0 | 0.5 | 0.5 | 1 | 1 | 0 | 0.5 | 0.5 | 1 | 0.5 | 1 | 1 | 0.5 | 0 | 1 | 1 | 1 | 1 | 1 | 0 | 1 | 16.5 | 66 |
| Tene et al. [27] | 1 | 1 | 0.5 | 0.5 | 1 | 0.5 | 0 | 1 | 0 | 0 | 0.5 | 1 | 0 | 0.5 | 1 | 0 | 0.5 | 0 | 0 | 1 | 0 | 1 | 1 | 0 | 1 | 13 | 52 |
| Viester et al. [28] | 1 | 1 | 0.5 | 0.5 | 1 | 0.5 | 0.5 | 0.5 | 0 | 1 | 0.5 | 0.5 | 1 | 0 | 1 | 0 | 0.5 | 0 | 0 | 1 | 0 | 1 | 1 | 0 | 0 | 13 | 52 |
| Shrivastava et al. [29] | 1 | 1 | 0.5 | 0.5 | 1 | 0.5 | 0 | 0.5 | 0 | 0 | 0 | 0.5 | 1 | 0.5 | 1 | 1 | 0.5 | 0 | 0 | 1 | 0 | 1 | 1 | 0 | 1 | 14 | 56 |
| Gepner et al. [30] | 1 | 1 | 0.5 | 0.5 | 1 | 0.5 | 0.5 | 1 | 0 | 0 | 0.5 | 0.5 | 1 | 0.5 | 1 | 1 | 0.5 | 0 | 0 | 1 | 0 | 1 | 1 | 0 | 1 | 15 | 60 |
| Faghri et al. [31] | 0.5 | 1 | 0.5 | 0.5 | 1 | 0.5 | 0 | 0 | 0 | 0 | 0 | 0.5 | 0 | 0 | 1 | 0 | 0.5 | 0 | 0 | 1 | 0 | 1 | 0 | 0 | 1 | 9 | 36 |
| Geaney et al. [32] | 1 | 1 | 0.5 | 0.5 | 0 | 0.5 | 0.5 | 0.5 | 0 | 1 | 0 | 0.5 | 1 | 0 | 1 | 1 | 0.5 | 0 | 0 | 1 | 1 | 1 | 1 | 1 | 1 | 15.5 | 62 |
| Solenhill et al. [33] | 1 | 1 | 0 | 0 | 1 | 0.5 | 0 | 0 | 0 | 0 | 0 | 0 | 1 | 0 | 1 | 1 | 0.5 | 0 | 0 | 1 | 0 | 1 | 0 | 0 | 1 | 10 | 40 |
| Mitchell et al. [34] | 1 | 1 | 0.5 | 0.5 | 1 | 0.5 | 0.5 | 0.5 | 0 | 0 | 0.5 | 0.5 | 1 | 0 | 1 | 1 | 0.5 | 0 | 0 | 1 | 1 | 1 | 1 | 0 | 1 | 15.5 | 62 |
| Fernández et al. [35] | 1 | 1 | 0.5 | 0.5 | 1 | 0.5 | 0 | 0 | 0 | 0 | 0.5 | 0.5 | 1 | 0.5 | 1 | 1 | 0.5 | 0 | 0 | 1 | 1 | 1 | 0 | 0 | 1 | 13.5 | 64 |
| Almeida et al. [36] | 1 | 1 | 1 | 1 | 0 | 0.5 | 0 | 1 | 0 | 0 | 0 | 0.5 | 1 | 0.5 | 1 | 1 | 0.5 | 0 | 0 | 1 | 1 | 1 | 1 | 1 | 1 | 16 | 64 |
| Østbye et al. [37] | 0.5 | 1 | 1 | 1 | 1 | 0.5 | 0 | 0.5 | 0 | 0 | 0 | 0.5 | 0.5 | 0.5 | 1 | 1 | 0.5 | 0 | 0 | 1 | 0 | 1 | 1 | 0 | 1 | 14 | 56 |
| Van Berkel et al. [38] | 0.5 | 1 | 0.5 | 0.5 | 1 | 0.5 | 0.5 | 0 | 0 | 0 | 0 | 0.5 | 1 | 0.5 | 1 | 1 | 0.5 | 0 | 0 | 1 | 0 | 1 | 1 | 0 | 1 | 13 | 52 |
| Mishra et al. [39] | 1 | 1 | 0.5 | 1 | 1 | 0.5 | 0.5 | 0.5 | 0 | 0 | 0 | 0.5 | 1 | 0 | 1 | 1 | 0.5 | 0 | 0 | 1 | 0 | 1 | 0 | 0 | 0 | 12 | 48 |
| Salinardi et al. [40] | 0.5 | 1 | 0 | 0 | 0 | 0.5 | 0 | 0.5 | 0 | 0 | 0 | 1 | 1 | 0.5 | 1 | 1 | 0.5 | 1 | 0 | 0 | 0 | 1 | 0 | 0 | 0 | 9.5 | 38 |
| Christensen et al. [41] | 1 | 1 | 0.5 | 0.5 | 1 | 0.5 | 0 | 0.5 | 1 | 1 | 0.5 | 0.5 | 1 | 0.5 | 0 | 1 | 0.5 | 0 | 0 | 1 | 0 | 1 | 1 | 0 | 1 | 15 | 60 |
| Thorndike et al. [42] | 1 | 1 | 0 | 1 | 0 | 0.5 | 0.5 | 0.5 | 0 | 0 | 0 | 1 | 1 | 0 | 1 | 1 | 0.5 | 0 | 0 | 1 | 0 | 1 | 1 | 0 | 1 | 10 | 40 |
| Linde et al. [43] | 1 | 1 | 0.5 | 0.5 | 1 | 0.5 | 0 | 1 | 0 | 1 | 0 | 0.5 | 1 | 0 | 1 | 1 | 0.5 | 0 | 0 | 1 | 0 | 1 | 1 | 0 | 1 | 14 | 56 |
| Nanri et al. [44] | 1 | 1 | 0.5 | 0.5 | 0 | 0.5 | 0 | 0 | 0 | 0 | 0 | 0.5 | 1 | 0 | 1 | 1 | 0.5 | 0 | 0 | 1 | 1 | 1 | 1 | 0 | 1 | 12.5 | 50 |
| Brehm et al. [45] | 1 | 1 | 0.5 | 0.5 | 1 | 0.5 | 0 | 0.5 | 0 | 0 | 0 | 0.5 | 1 | 0 | 0 | 1 | 0.5 | 0 | 0 | 0 | 0 | 1 | 0 | 0 | 0 | 9 | 36 |
| Christensen et al. [46] | 1 | 1 | 0.5 | 0.5 | 1 | 0.5 | 0.5 | 0.5 | 1 | 1 | 0.5 | 0.5 | 1 | 0 | 1 | 1 | 0.5 | 0 | 0 | 0 | 1 | 1 | 1 | 0 | 0 | 12 | 48 |
| Barham et al. [47] | 0.5 | 1 | 0 | 0 | 1 | 0.5 | 0 | 0 | 0 | 0 | 0 | 0.5 | 0.5 | 0 | 1 | 0 | 0.5 | 0 | 0 | 0 | 0 | 1 | 0 | 0 | 0 | 6.5 | 26 |
| Ferdowsian et al. [48] | 0.5 | 0.5 | 0 | 0.5 | 0 | 0 | 0 | 0 | 0 | 0 | 0 | 0.5 | 1 | 0 | 0 | 1 | 0.5 | 0 | 1 | 1 | 0 | 0 | 1 | 0 | 1 | 8.5 | 34 |
| Maruyama et al. [49] | 1 | 1 | 0.5 | 0 | 0 | 0.5 | 0 | 0.5 | 0 | 1 | 0 | 0.5 | 1 | 0.5 | 1 | 1 | 0.5 | 0 | 0 | 1 | 0 | 1 | 0 | 0 | 1 | 13 | 52 |
| Siegel et al. [50] | 1 | 1 | 0 | 0 | 0 | 0.5 | 0 | 0 | 0 | 0 | 0 | 0 | 0.5 | 0 | 1 | 1 | 0.5 | 0 | 0 | 0 | 1 | 1 | 0 | 0 | 1 | 9.5 | 38 |
| Van Wier et al. [51] | 1 | 1 | 1 | 0.5 | 0.5 | 0.5 | 0.5 | 0.5 | 0 | 0 | 0 | 0.5 | 1 | 0 | 1 | 1 | 0.5 | 0 | 0 | 1 | 0 | 1 | 1 | 0 | 1 | 15 | 56 |
| Leslie et al. [52] | 0.5 | 1 | 0.5 | 0.5 | 0.5 | 0.5 | 0.5 | 0 | 1 | 0 | 0 | 0.5 | 0.5 | 0 | 1 | 0 | 0.5 | 0 | 0 | 0 | 0 | 1 | 0 | 0 | 1 | 9 | 36 |
| Pritchard et al. [53] | 0.5 | 1 | 0 | 0 | 0 | 0.5 | 0 | 0 | 0 | 0 | 0 | 1 | 1 | 0 | 1 | 1 | 0.5 | 0 | 0 | 0 | 0 | 1 | 0 | 0 | 1 | 8.5 | 34 |
| Baer [54] | 1 | 0.5 | 0 | 0 | 0 | 0.5 | 0 | 0 | 0 | 0 | 0 | 0.5 | 0 | 0 | 1 | 0 | 0.5 | 0 | 0 | 0 | 0 | 1 | 0 | 0 | 0 | 6 | 24 |
| Follick et al. [55] | 0.5 | 1 | 0 | 0 | 0 | 0.5 | 0 | 0 | 0 | 0 | 0 | 0 | 0 | 0 | 0 | 0 | 0.5 | 0 | 0 | 0 | 0 | 1 | 0 | 0 | 0 | 3.5 | 14 |
| ID | Autor | Change Effect | Baseline BMI | Int | ID | Autor | Change Effect | Baseline BMI | Int |
|---|---|---|---|---|---|---|---|---|---|
| 1 | Röhling et al. | 0.53 | 3 | 1 | 19 | Solenhill et al. | 0.57 | 2 | 3 |
| 2 | Christensen et al. | 0.54 | 3 | 1 | 20 | Solenhill et al. | 0.58 | 2 | 3 |
| 3 | Leslie et al. | 0.53 | 3 | 1 | 21 | Mitchell et al. | 0.55 | 2 | 3 |
| 4 | Leslie et al. | 0.53 | 3 | 1 | 22 | Mitchell et al. | 0.53 | 2 | 3 |
| 5 | Pritchard et al. | 0.52 | 2 | 1 | 23 | Almeida et al. | 0.58 | 3 | 3 |
| 6 | Pritchard et al. | 0.54 | 2 | 1 | 24 | Almeida et al. | 0.58 | 3 | 3 |
| 7 | Thorndike et al. | 0.58 | 2 | 2 | 25 | Østbye et al. | 0.56 | 3 | 3 |
| 8 | Thorndike et al. | 0.58 | 2 | 2 | 26 | Østbye et al. | 0.56 | 3 | 3 |
| 9 | Geaney et al. | 0.57 | 2 | 2 | 27 | Salinardi et al. | 0.46 | 3 | 3 |
| 10 | Geaney et al. | 0.57 | 2 | 2 | 28 | Christensen et al. | 0.51 | 3 | 3 |
| 11 | Geaney et al. | 0.56 | 2 | 2 | 29 | Thorndike et al. | 0.55 | 2 | 3 |
| 12 | Fernández et al. | 0.55 | 2 | 2 | 30 | Thorndike et al. | 0.56 | 2 | 3 |
| 13 | Brehm et al. | 0.59 | 2 | 2 | 31 | Nanri et al. | 0.55 | 2 | 3 |
| 14 | Brehm et al. | 0.59 | 2 | 2 | 32 | Maruyama et al. | 0.55 | 2 | 3 |
| 15 | Brehm et al. | 0.59 | 2 | 2 | 33 | Siegel et al. | 0.59 | 2 | 4 |
| 16 | Viester et al. | 0.58 | 2 | 3 | 34 | Mishra et al. | 0.52 | 3 | 5 |
| 17 | Viester et al. | 0.58 | 2 | 3 | 35 | Iturriaga et al. | 0.56 | 1 | 5 |
| 18 | Shrivastava et al. | 0.55 | 2 | 1 | Pooled | 0.55 |
| Variable | Baseline BMI | Sig. | Int-1 | Sig. | Int-2 | Sig. | Int-3 | Sig. | Int-4 | Sig. | Int-5 | Sig. |
|---|---|---|---|---|---|---|---|---|---|---|---|---|
| INTERCEPT | 1.36 | <0.01 | −0.39 | <0.01 | −0.81 | <0.01 | −0.52 | <0.01 | −0.59 | <0.01 | −0.52 | <0.01 |
| Coef | −0.85 | <0.01 | −1.26 | <0.01 | 0.94 | <0.01 | −0.11 | 0.37 | 0.55 | 0.12 | −0.44 | 0.03 |
| Adjusted | Baseline BMI | Sig. | Int-1 | Sig. | Int-2 | Sig. | Int-3 | Sig. | Int-4 | Sig. | Int-5 | Sig. |
| INTERCEPT | 0.47 | 0.16 | ||||||||||
| Coef | −0.48 | <0.01 | −0.87 | <0.01 | 0.62 | <0.01 | 0.13 | 0.59 | 0.48 | 0.21 | −0.46 | 0.08 |
Publisher’s Note: MDPI stays neutral with regard to jurisdictional claims in published maps and institutional affiliations. |
© 2021 by the authors. Licensee MDPI, Basel, Switzerland. This article is an open access article distributed under the terms and conditions of the Creative Commons Attribution (CC BY) license (https://creativecommons.org/licenses/by/4.0/).
Share and Cite
Melián-Fleitas, L.; Franco-Pérez, Á.; Caballero, P.; Sanz-Lorente, M.; Wanden-Berghe, C.; Sanz-Valero, J. Influence of Nutrition, Food and Diet-Related Interventions in the Workplace: A Meta-Analysis with Meta-Regression. Nutrients 2021, 13, 3945. https://doi.org/10.3390/nu13113945
Melián-Fleitas L, Franco-Pérez Á, Caballero P, Sanz-Lorente M, Wanden-Berghe C, Sanz-Valero J. Influence of Nutrition, Food and Diet-Related Interventions in the Workplace: A Meta-Analysis with Meta-Regression. Nutrients. 2021; 13(11):3945. https://doi.org/10.3390/nu13113945
Chicago/Turabian StyleMelián-Fleitas, Liliana, Álvaro Franco-Pérez, Pablo Caballero, María Sanz-Lorente, Carmina Wanden-Berghe, and Javier Sanz-Valero. 2021. "Influence of Nutrition, Food and Diet-Related Interventions in the Workplace: A Meta-Analysis with Meta-Regression" Nutrients 13, no. 11: 3945. https://doi.org/10.3390/nu13113945
APA StyleMelián-Fleitas, L., Franco-Pérez, Á., Caballero, P., Sanz-Lorente, M., Wanden-Berghe, C., & Sanz-Valero, J. (2021). Influence of Nutrition, Food and Diet-Related Interventions in the Workplace: A Meta-Analysis with Meta-Regression. Nutrients, 13(11), 3945. https://doi.org/10.3390/nu13113945

