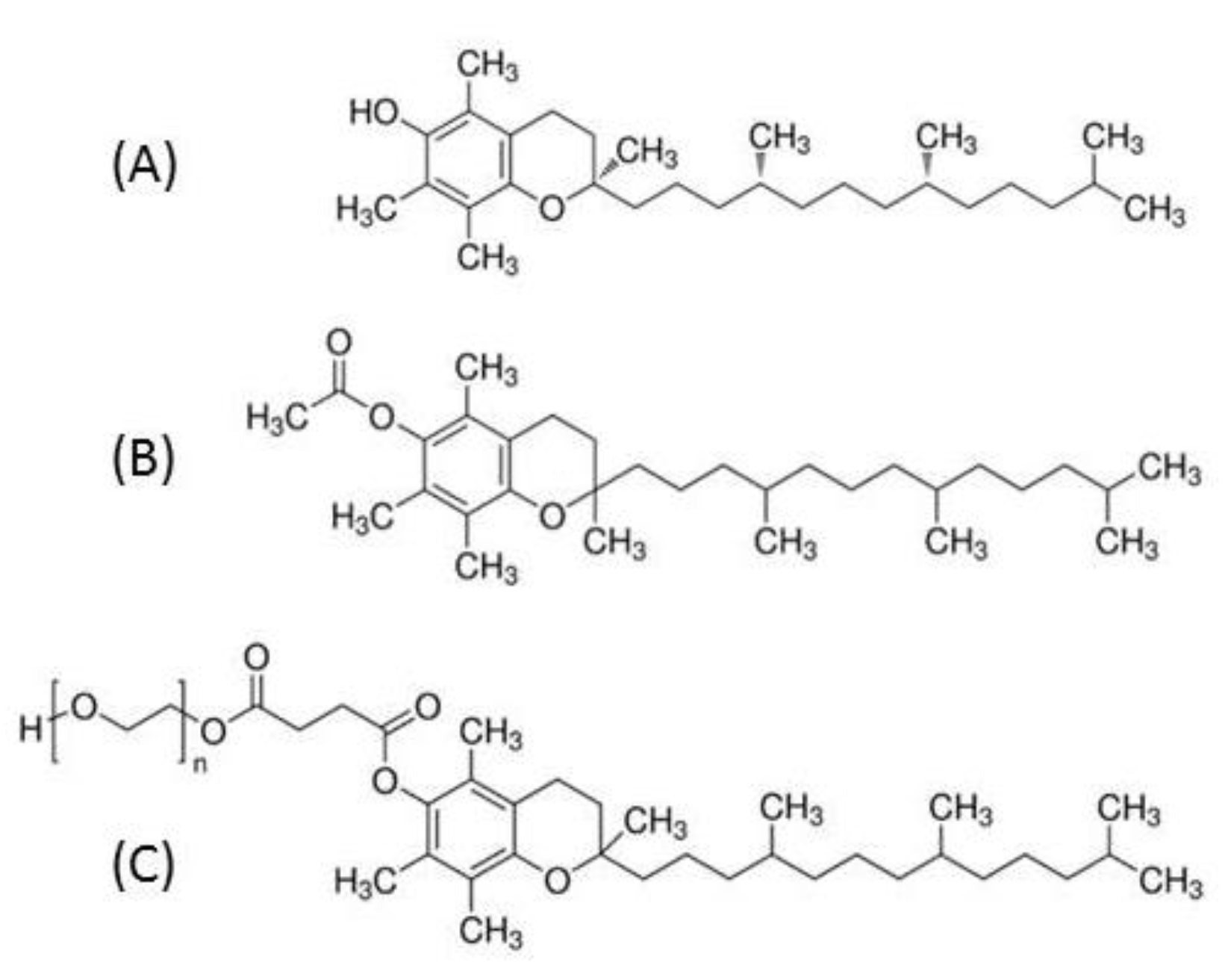
Comparison of α-Tocopherol, α-Tocopherol Acetate, and α-Tocopheryl Polyethylene Glycol Succinate 1000 Absorption by Caco-2 TC7 Intestinal Cells
Abstract
1. Introduction
2. Materials and Methods
2.1. Chemicals
2.2. Preparation of Vitamin-Rich Micelles
2.3. Caco-2 TC7 Cell Culture
2.4. Vitamin E Absorption by Caco-2 TC7 Cells
2.5. Vitamin E Extraction and HPLC Analysis
- α-tocopherol and TAC
- TPGS
2.6. Vitamin E HPLC Analysis
2.7. Statistics
3. Results
3.1. α-Tocopherol Absorption by Caco-2 TC7 Monolayers
3.2. TAC
3.3. TPGS
3.4. Percentage of Secretion of Each Vitamers
4. Discussion
Author Contributions
Funding
Institutional Review Board Statement
Informed Consent Statement
Data Availability Statement
Conflicts of Interest
References
- Suskind, D.L. Nutritional deficiencies during normal growth. Pediatr. Clin. N. Am. 2009, 56, 1035–1053. [Google Scholar] [CrossRef] [PubMed]
- Alvarez, F.; Landrieu, P.; Laget, P.; Lemonnier, F.; Odievre, M.; Alagille, D. Nervous and ocular disorders in children with cholestasis and vitamin A and E deficiencies. Hepatology 1983, 3, 410–414. [Google Scholar] [CrossRef] [PubMed]
- Reboul, E. Vitamin E intestinal absorption: Regulation of membrane transport across the enterocyte. IUBMB Life 2019, 71, 416–423. [Google Scholar] [CrossRef] [PubMed]
- Traber, M.G. Vitamin E inadequacy in humans: Causes and consequences. Adv. Nutr. 2014, 5, 503–514. [Google Scholar] [CrossRef]
- Sokol, R.J.; Heubi, J.E.; Iannaccone, S.; Bove, K.E.; Balistreri, W.F. Mechanism causing vitamin E deficiency during chronic childhood cholestasis. Gastroenterology 1983, 85, 1172–1182. [Google Scholar] [CrossRef]
- Thebaut, A.; Nemeth, A.; Le Mouhaer, J.; Scheenstra, R.; Baumann, U.; Koot, B.; Gottrand, F.; Houwen, R.; Monard, L.; de Micheaux, S.L.; et al. Oral Tocofersolan Corrects or Prevents Vitamin E Deficiency in Children with Chronic Cholestasis. J. Pediatr. Gastroenterol. Nutr. 2016, 63, 610–615. [Google Scholar] [CrossRef]
- Staggers, J.E.; Hernell, O.; Stafford, R.J.; Carey, M.C. Physical-chemical behavior of dietary and biliary lipids during intestinal digestion and absorption. 1. Phase behavior and aggregation states of model lipid systems patterned after aqueous duodenal contents of healthy adult human beings. Biochemistry 1990, 29, 2028–2040. [Google Scholar] [CrossRef]
- Reboul, E.; Klein, A.; Bietrix, F.; Gleize, B.; Malezet-Desmoulins, C.; Schneider, M.; Margotat, A.; Lagrost, L.; Collet, X.; Borel, P. Scavenger receptor class B type I (SR-BI) is involved in vitamin E transport across the enterocyte. J. Biol. Chem. 2006, 281, 4739–4745. [Google Scholar] [CrossRef]
- Reboul, E.; Trompier, D.; Moussa, M.; Klein, A.; Landrier, J.F.; Chimini, G.; Borel, P. ATP-binding cassette transporter A1 is significantly involved in the intestinal absorption of alpha- and gamma-tocopherol but not in that of retinyl palmitate in mice. Am. J. Clin. Nutr. 2009, 89, 177–184. [Google Scholar] [CrossRef]
- Traber, M.G.; Goldberg, I.; Davidson, E.; Lagmay, N.; Kayden, H.J. Vitamin E uptake by human intestinal cells during lipolysis in vitro. Gastroenterology 1990, 98, 96–103. [Google Scholar] [CrossRef]
- Traber, M.G.; Burton, G.W.; Hughes, L.; Ingold, K.U.; Hidaka, H.; Malloy, M.; Kane, J.; Hyams, J.; Kayden, H.J. Discrimination between forms of vitamin E by humans with and without genetic abnormalities of lipoprotein metabolism. J. Lipid Res. 1992, 33, 1171–1182. [Google Scholar] [PubMed]
- Anwar, K.; Kayden, H.J.; Hussain, M.M. Transport of vitamin E by differentiated Caco-2 cells. J. Lipid Res. 2006, 47, 1261–1273. [Google Scholar] [CrossRef] [PubMed]
- Reboul, E.; Soayfane, Z.; Goncalves, A.; Cantiello, M.; Bott, R.; Nauze, M.; Terce, F.; Collet, X.; Comera, C. Respective contributions of intestinal Niemann-Pick C1-like 1 and scavenger receptor class B type I to cholesterol and tocopherol uptake: In vivo v. in vitro studies. Br. J. Nutr. 2012, 107, 1296–1304. [Google Scholar] [CrossRef] [PubMed]
- Burton, G.W.; Ingold, K.U.; Foster, D.O.; Cheng, S.C.; Webb, A.; Hughes, L.; Lusztyk, E. Comparison of free alpha-tocopherol and alpha-tocopheryl acetate as sources of vitamin E in rats and humans. Lipids 1988, 23, 834–840. [Google Scholar] [CrossRef]
- Brisson, L.; Castan, S.; Fontbonne, H.; Nicoletti, C.; Puigserver, A.; Ajandouz, E.H. Alpha-tocopheryl acetate is absorbed and hydrolyzed by Caco-2 cells comparative studies with alpha-tocopherol. Chem. Phys. Lipids 2008, 154, 33–37. [Google Scholar] [CrossRef]
- Desmarchelier, C.; Tourniaire, F.; Preveraud, D.P.; Samson-Kremser, C.; Crenon, I.; Rosilio, V.; Borel, P. The distribution and relative hydrolysis of tocopheryl acetate in the different matrices coexisting in the lumen of the small intestine during digestion could explain its low bioavailability. Mol. Nutr. Food Res. 2013, 57, 1237–1245. [Google Scholar] [CrossRef]
- Grober, J.; Lucas, S.; Sorhede-Winzell, M.; Zaghini, I.; Mairal, A.; Contreras, J.A.; Besnard, P.; Holm, C.; Langin, D. Hormone-sensitive lipase is a cholesterol esterase of the intestinal mucosa. J. Biol. Chem. 2003, 278, 6510–6515. [Google Scholar] [CrossRef]
- Hui, D.Y.; Howles, P.N. Carboxyl ester lipase: Structure-function relationship and physiological role in lipoprotein metabolism and atherosclerosis. J. Lipid Res. 2002, 43, 2017–2030. [Google Scholar] [CrossRef]
- Folmer, B.M.; Barron, D.; Hughes, E.; Miguet, L.; Sanchez, B.; Heudi, O.; Rouvet, M.; Sagalowicz, L.; Callier, P.; Michel, M.; et al. Monocomponent hexa- and dodecaethylene glycol succinyl-tocopherol esters: Self-assembly structures, cellular uptake and sensitivity to enzyme hydrolysis. Biochem. Pharmacol. 2009, 78, 1464–1474. [Google Scholar] [CrossRef]
- Rigtrup, K.M.; Kakkad, B.; Ong, D.E. Purification and partial characterization of a retinyl ester hydrolase from the brush border of rat small intestine mucosa: Probable identity with brush border phospholipase B. Biochemistry 1994, 33, 2661–2666. [Google Scholar] [CrossRef]
- Rigtrup, K.M.; McEwen, L.R.; Said, H.M.; Ong, D.E. Retinyl ester hydrolytic activity associated with human intestinal brush border membranes. Am. J. Clin. Nutr. 1994, 60, 111–116. [Google Scholar] [CrossRef] [PubMed]
- Rigtrup, K.M.; Ong, D.E. A retinyl ester hydrolase activity intrinsic to the brush border membrane of rat small intestine. Biochemistry 1992, 31, 2920–2926. [Google Scholar] [CrossRef] [PubMed]
- Traber, M.G.; Thellman, C.A.; Rindler, M.J.; Kayden, H.J. Uptake of intact TPGS (d-alpha-tocopheryl polyethylene glycol 1000 succinate) a water-miscible form of vitamin E by human cells in vitro. Am. J. Clin. Nutr. 1988, 48, 605–611. [Google Scholar] [CrossRef] [PubMed]
- Collnot, E.M.; Baldes, C.; Wempe, M.F.; Hyatt, J.; Navarro, L.; Edgar, K.J.; Schaefer, U.F.; Lehr, C.M. Influence of vitamin E TPGS poly(ethylene glycol) chain length on apical efflux transporters in Caco-2 cell monolayers. J. Control. Release 2006, 111, 35–40. [Google Scholar] [CrossRef]
- Sokol, R.J.; Heubi, J.E.; Butler-Simon, N.; McClung, H.J.; Lilly, J.R.; Silverman, A. Treatment of vitamin E deficiency during chronic childhood cholestasis with oral d-alpha-tocopheryl polyethylene glycol-1000 succinate. Gastroenterology 1987, 93, 975–985. [Google Scholar] [CrossRef]
- Heuman, R.; Sjodahl, R.; Tagesson, C. Passage of molecules through the wall of the gastrointestinal tract. Intestinal permeability to polyethyleneglycol 1 000 in patients with Crohn’s disease. Acta Chir. Scand. 1982, 148, 281–284. [Google Scholar]
- Dimitrov, N.V.; Meyer-Leece, C.; McMillan, J.; Gilliland, D.; Perloff, M.; Malone, W. Plasma alpha-tocopherol concentrations after supplementation with water- and fat-soluble vitamin E. Am. J. Clin. Nutr. 1996, 64, 329–335. [Google Scholar] [CrossRef]
- Cuerq, C.; Henin, E.; Restier, L.; Blond, E.; Drai, J.; Marcais, C.; Di Filippo, M.; Laveille, C.; Michalski, M.C.; Poinsot, P.; et al. Efficacy of two vitamin E formulations in patients with abetalipoproteinemia and chylomicron retention disease. J. Lipid Res. 2018, 59, 1640–1648. [Google Scholar] [CrossRef]




| Publisher’s Note: MDPI stays neutral with regard to jurisdictional claims in published maps and institutional affiliations. | 
© 2020 by the authors. Licensee MDPI, Basel, Switzerland. This article is an open access article distributed under the terms and conditions of the Creative Commons Attribution (CC BY) license (http://creativecommons.org/licenses/by/4.0/).
Share and Cite
Cuerq, C.; Bordat, C.; Halimi, C.; Blond, E.; Nowicki, M.; Peretti, N.; Reboul, E. Comparison of α-Tocopherol, α-Tocopherol Acetate, and α-Tocopheryl Polyethylene Glycol Succinate 1000 Absorption by Caco-2 TC7 Intestinal Cells. Nutrients 2021, 13, 129. https://doi.org/10.3390/nu13010129
Cuerq C, Bordat C, Halimi C, Blond E, Nowicki M, Peretti N, Reboul E. Comparison of α-Tocopherol, α-Tocopherol Acetate, and α-Tocopheryl Polyethylene Glycol Succinate 1000 Absorption by Caco-2 TC7 Intestinal Cells. Nutrients. 2021; 13(1):129. https://doi.org/10.3390/nu13010129
Chicago/Turabian StyleCuerq, Charlotte, Claire Bordat, Charlotte Halimi, Emilie Blond, Marion Nowicki, Noël Peretti, and Emmanuelle Reboul. 2021. "Comparison of α-Tocopherol, α-Tocopherol Acetate, and α-Tocopheryl Polyethylene Glycol Succinate 1000 Absorption by Caco-2 TC7 Intestinal Cells" Nutrients 13, no. 1: 129. https://doi.org/10.3390/nu13010129
APA StyleCuerq, C., Bordat, C., Halimi, C., Blond, E., Nowicki, M., Peretti, N., & Reboul, E. (2021). Comparison of α-Tocopherol, α-Tocopherol Acetate, and α-Tocopheryl Polyethylene Glycol Succinate 1000 Absorption by Caco-2 TC7 Intestinal Cells. Nutrients, 13(1), 129. https://doi.org/10.3390/nu13010129
 
        


