Very Low-Carbohydrate Ketogenic Diet for the Treatment of Severe Obesity and Associated Non-Alcoholic Fatty Liver Disease: The Role of Sex Differences
Abstract
1. Introduction
2. Materials and Methods
2.1. Definitions
2.2. Measurements
- For males 50 + [0.91 × (height in centimeters − 152.4)];
- For females 45.5 + [0.91 × (height in centimeters − 152.4)].
2.3. Very Low-Carbohydrate Ketogenic Diet
2.4. Statistical Analysis
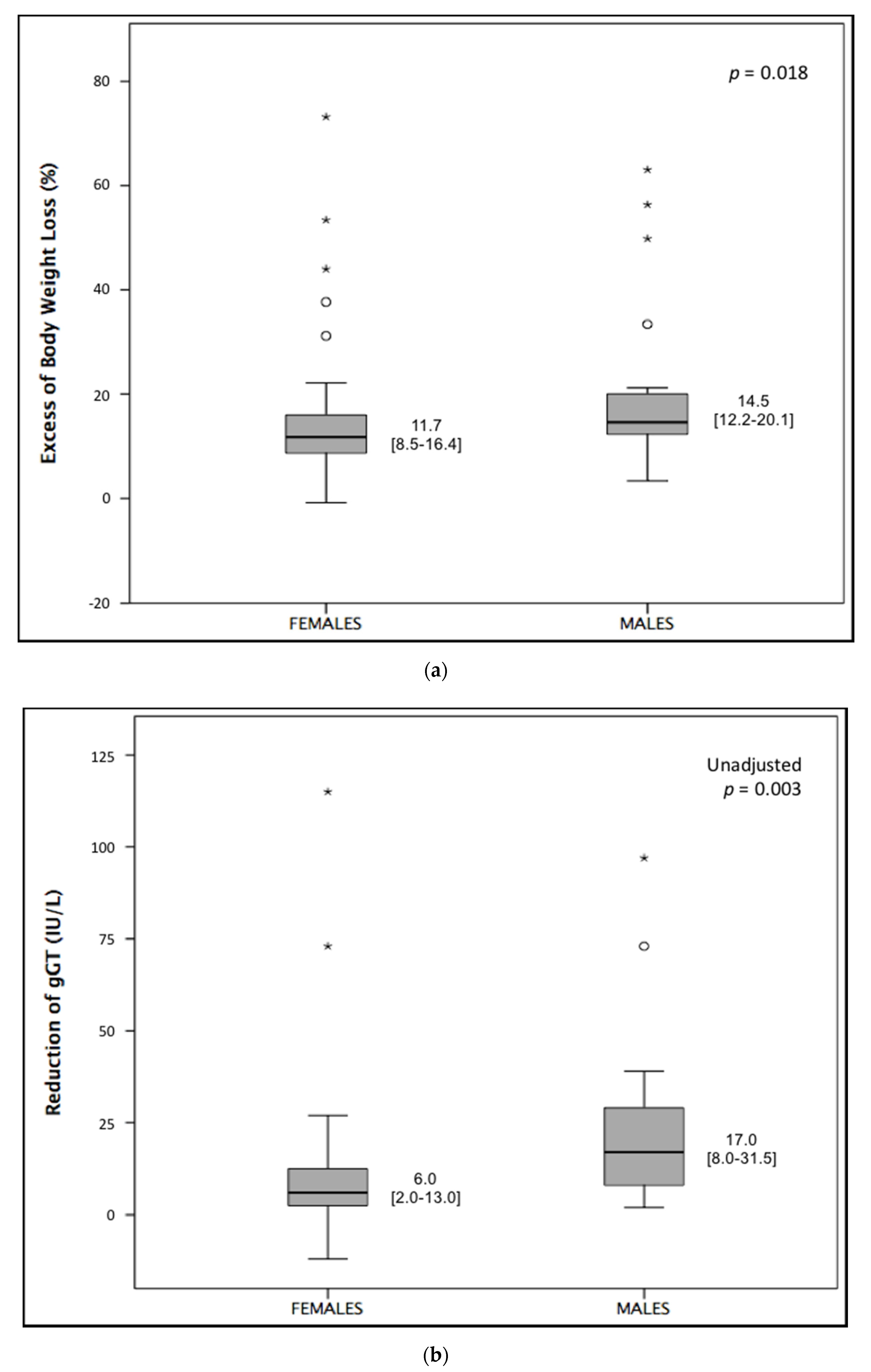
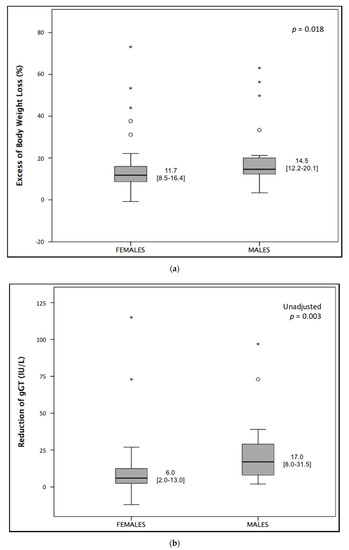
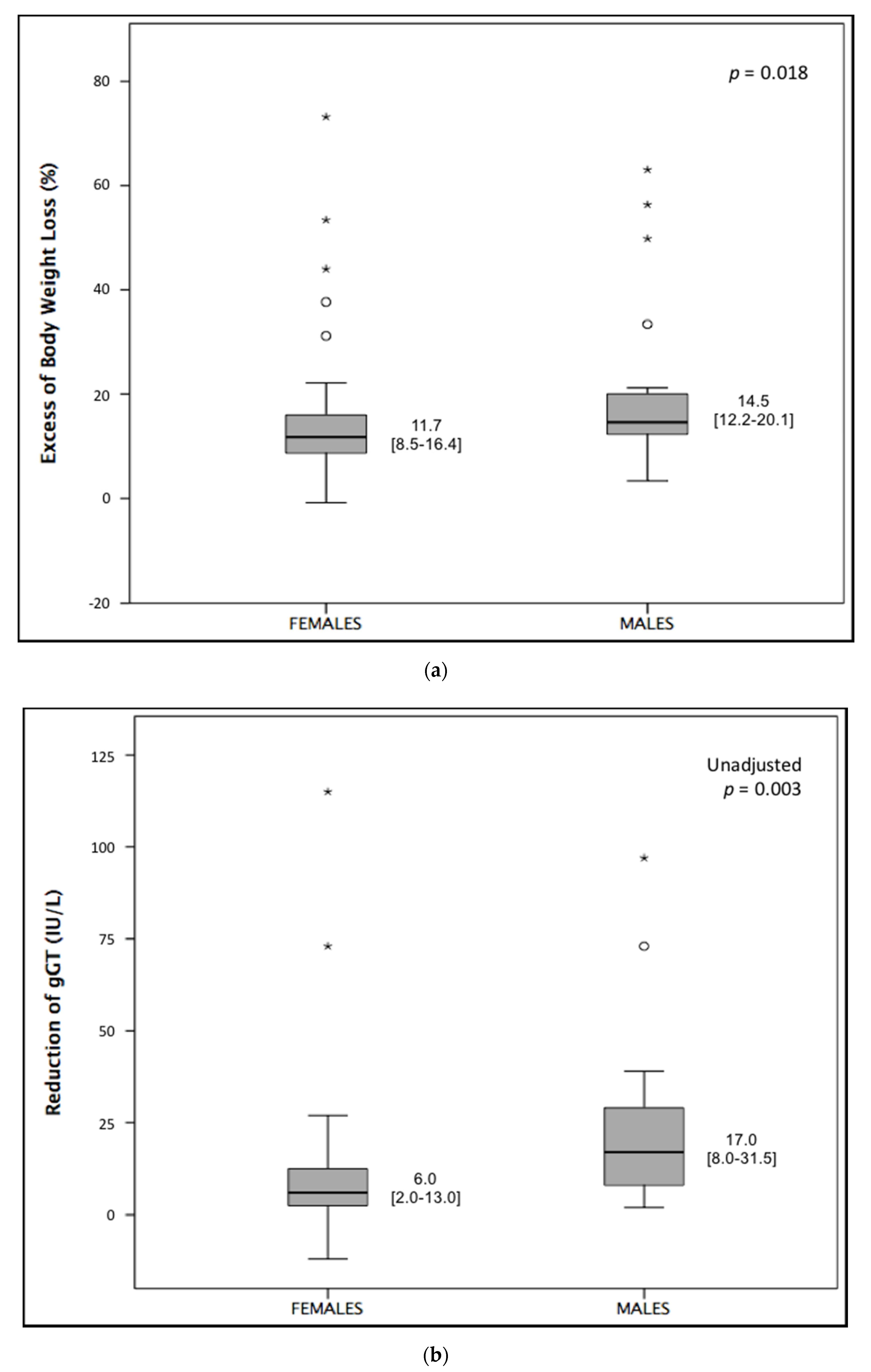
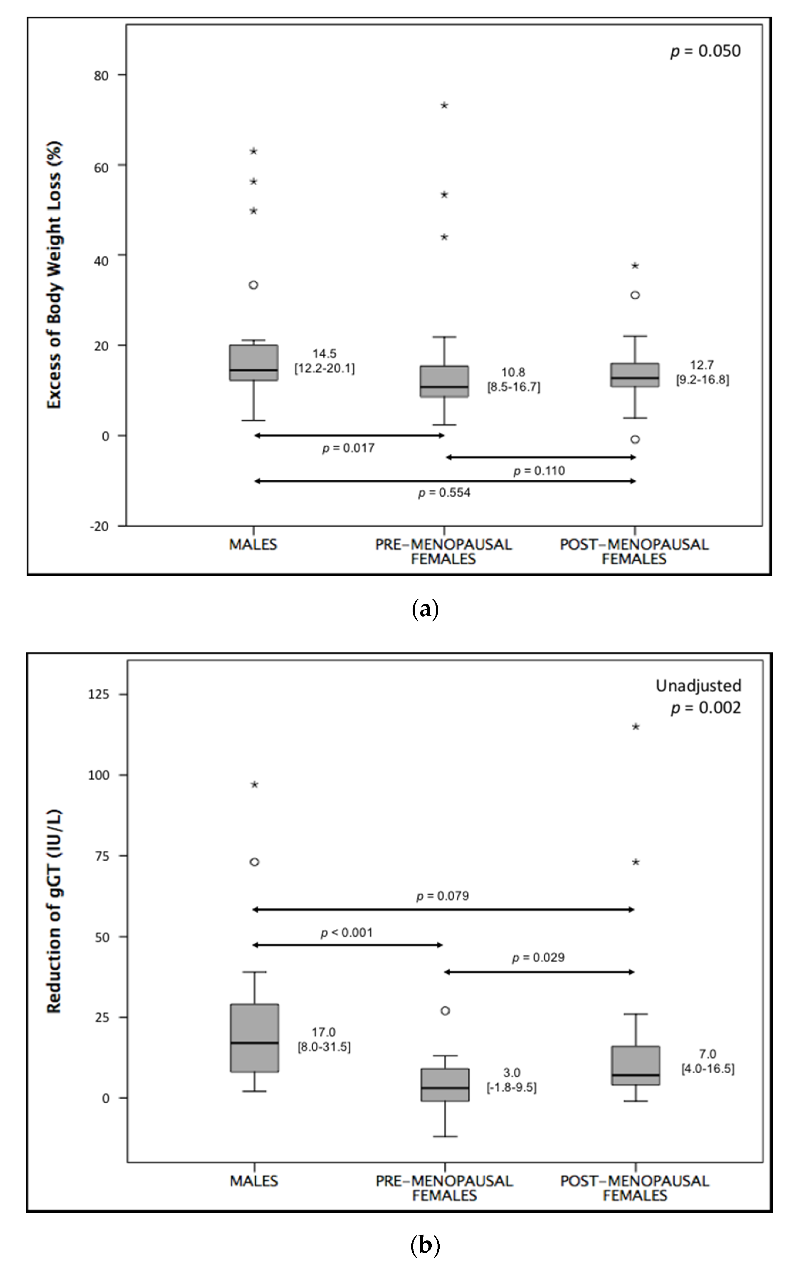
3. Results
4. Discussion
Supplementary Materials
Author Contributions
Funding
Conflicts of Interest
References
- World Health Organization. Obesity and Overweight. Fact Sheet. 2018. Available online: http://www.who.int/mediacentre/factsheets/fs311/en/ (accessed on 1 July 2020).
- Gerdts, E.; Regitz-Zagrosek, V. Sex differences in cardiometabolic disorders. Nat. Med. 2019, 25, 1657–1666. [Google Scholar] [CrossRef] [PubMed]
- Martin, M.J.; Beekley, A.; Kjorstad, R.; Sebesta, J. Socioeconomic disparities in eligibility and access to bariatric surgery: A national population-based analysis. Surg. Obes. Relat. Dis. 2010, 6, 8–15. [Google Scholar] [CrossRef] [PubMed]
- Stroh, C.E.; Groh, C.; Weiner, R.; Ludwig, K.; Wolff, S.; Kabelitz, M.; Manger, T. Are There Gender-Specific Aspects of Gastric Banding? Data Analysis from the Quality Assurance Study of the Surgical Treatment of Obesity in Germany. Obes. Surg. 2013, 23, 1783–1789. [Google Scholar] [CrossRef] [PubMed]
- Williams, R.L.; Wood, L.G.; Collins, C.E.; Callister, R. Effectiveness of weight loss interventions—Is there a difference between men and women: A systematic review. Obes. Rev. 2015, 16, 171–186. [Google Scholar] [CrossRef] [PubMed]
- Robertson, C.; Avenell, A.; Boachie, C.; Stewart, F.; Archibald, D.; Douglas, F.; Hoddinott, P.; Van Teijlingen, E.; Boyers, D.; Information, P.E.K.F.C. Should weight loss and maintenance programmes be designed differently for men? A systematic review of long-term randomised controlled trials presenting data for men and women: The ROMEO project. Obes. Res. Clin. Pract. 2016, 10, 70–84. [Google Scholar] [CrossRef] [PubMed]
- Estes, C.; Razavi, H.; Loomba, R.; Younossi, Z.M.; Sanyal, A.J. Modeling the epidemic of nonalcoholic fatty liver disease demonstrates an exponential increase in burden of disease. Hepatology 2017, 67, 123–133. [Google Scholar] [CrossRef]
- Younossi, Z.; Anstee, Q.M.; Marietti, M.; Hardy, T.; Henry, L.; Eslam, M.; George, J.; Bugianesi, E. Global burden of NAFLD and NASH: Trends, predictions, risk factors and prevention. Nat. Rev. Gastroenterol. Hepatol. 2017, 15, 11–20. [Google Scholar] [CrossRef]
- Lonardo, A.; Nascimbeni, F.; Ballestri, S.; Fairweather, D.; Win, S.; Than, T.A.; Abdelmalek, M.F.; Suzuki, A. Sex Differences in Nonalcoholic Fatty Liver Disease: State of the Art and Identification of Research Gaps. Hepatolody 2019, 70, 1457–1469. [Google Scholar] [CrossRef]
- Cheung, O.K.-W.; Cheng, A.S. Gender Differences in Adipocyte Metabolism and Liver Cancer Progression. Front. Genet. 2016, 7. [Google Scholar] [CrossRef]
- Ministrini, S.; Montecucco, F.; Sahebkar, A.; Carbone, F. Macrophages in the pathophysiology of NAFLD: The role of sex differences. Eur. J. Clin. Investig. 2020, 50, e13236. [Google Scholar] [CrossRef]
- Bueno, N.B.; De Melo, I.S.V.; De Oliveira, S.L.; Ataide, T.D.R. Very-low-carbohydrate ketogenic diet v. low-fat diet for long-term weight loss: A meta-analysis of randomised controlled trials. Br. J. Nutr. 2013, 110, 1178–1187. [Google Scholar] [CrossRef] [PubMed]
- Paoli, A.; Rubini, A.; Volek, J.S.; Grimaldi, K.A. Beyond weight loss: A review of the therapeutic uses of very-low-carbohydrate (ketogenic) diets. Eur. J. Clin. Nutr. 2013, 67, 789–796. [Google Scholar] [CrossRef] [PubMed]
- Castellana, M.; Conte, E.; Cignarelli, A.; Perrini, S.; Giustina, A.; Giovanella, L.; Giorgino, F.; Trimboli, P. Efficacy and safety of very low calorie ketogenic diet (VLCKD) in patients with overweight and obesity: A systematic review and meta-analysis. Rev. Endocr. Metab. Disord. 2019, 21, 5–16. [Google Scholar] [CrossRef]
- Leonetti, F.; Campanile, F.C.; Coccia, F.; Capoccia, D.; Alessandroni, L.; Puzziello, A.; Coluzzi, I.; Silecchia, G. Very Low-Carbohydrate Ketogenic Diet Before Bariatric Surgery: Prospective Evaluation of a Sequential Diet. Obes. Surg. 2014, 25, 64–71. [Google Scholar] [CrossRef] [PubMed]
- Popov, V.B.; Lim, J.K. Treatment of non-alcoholic fatty liver disease: The role of medical, surgical and endoscopic weight loss. J. Clin. Transl. Hepatol. 2015, 3, 230–238. [Google Scholar]
- Pilone, V.; Tramontano, S.; Renzulli, M.; Romano, M.; Cobellis, L.; Berselli, T.; Schiavo, L. Metabolic effects, safety, and acceptability of very low-calorie ketogenic dietetic scheme on candidates for bariatric surgery. Surg. Obes. Relat. Dis. 2018, 14, 1013–1019. [Google Scholar] [CrossRef]
- Ministrini, S.; Calzini, L.; Migliola, E.N.; Ricci, M.A.; Roscini, A.R.; Siepi, D.; Tozzi, G.; Daviddi, G.; Martorelli, E.-E.; Paganelli, M.T.; et al. Lysosomal Acid Lipase as a Molecular Target of the Very Low Carbohydrate Ketogenic Diet in Morbidly Obese Patients: The Potential Effects on Liver Steatosis and Cardiovascular Risk Factors. J. Clin. Med. 2019, 8, 621. [Google Scholar] [CrossRef]
- Ndrepepa, G.; Kastrati, A. Gamma-glutamyl transferase and cardiovascular disease. Ann. Transl. Med. 2016, 4, 481. [Google Scholar] [CrossRef]
- American Diabetes Association. Standards of Medical Care in Diabetes-2020 Abridged for Primary Care Providers. Clin. Diabetes 2020, 38, 10–38. [Google Scholar] [CrossRef]
- Williams, B.; Mancia, G.; Spiering, W.; Rosei, E.A.; Azizi, M.; Burnier, M.; Clement, D.L.; Coca, A.; De Simone, G.; Dominiczak, A.F.; et al. 2018 ESC/ESH Guidelines for the management of arterial hypertension. Eur. Hear. J. 2018, 39, 3021–3104. [Google Scholar] [CrossRef]
- Sharma, A.M.; Kushner, R.F. A proposed clinical staging system for obesity. Int. J. Obes. 2009, 33, 289–295. [Google Scholar] [CrossRef]
- Nahler, G. Lorentz-formula. In Dictionary of Pharmaceutical Medicine; Springer: Wien, Austria, 2009. [Google Scholar]
- Josep, A.E.; Saverymuttu, S.H.; Al-Sam, S.; Cook, M.G.; Maxwell, J.D. Comparison of liver histology with ultrasonography in assessing di use parenchymal liver disease. Clin. Radiol. 1991, 43, 26–31. [Google Scholar] [CrossRef]
- Matthews, D.R.; Hosker, J.P.; Rudenski, A.S.; Naylor, B.A.; Treacher, D.F.; Turner, R.C. Homeostasis model assessment: Insulin resistance and beta-cell function from fasting plasma glucose and insulin concentrations in man. Diabetologia 1985, 28, 412–419. [Google Scholar] [CrossRef] [PubMed]
- Beechy, L.; Galpern, J.; Petrone, A.; Das, S.K. Assessment tools in obesity—Psychological measures, diet, activity, and body composition. Physiol. Behav. 2012, 107, 154–171. [Google Scholar] [CrossRef] [PubMed]
- Caprio, M.; Infante, M.; Moriconi, E.; Armani, A.; Fabbri, A.; Mantovani, G.; Mariani, S.; Lubrano, C.; Poggiogalle, E.; Migliaccio, S. Very-low-calorie ketogenic diet (VLCKD) in the management of metabolic diseases: Systematic review and consensus statement from the Italian Society of Endocrinology (SIE). J. Endocrinol. Investig. 2019, 42, 1365–1386. [Google Scholar] [CrossRef] [PubMed]
- Graffy, P.M.; Pickhardt, P.J. Quantification of hepatic and visceral fat by CT and MR imaging: Relevance to the obesity epidemic, metabolic syndrome and NAFLD. Br. J. Radiol. 2016, 89. [Google Scholar] [CrossRef]
- Neeland, I.J.; Ross, R.; Després, J.-P.; Matsuzawa, Y.; Yamashita, S.; Shai, I.; Seidell, J.; Magni, P.; Santos, R.D.; Arsenault, B.; et al. Visceral and ectopic fat, atherosclerosis, and cardiometabolic disease: A position statement. Lancet Diabetes Endocrinol. 2019, 7, 715–725. [Google Scholar] [CrossRef]
- Perry, R.J.; Peng, L.; Cline, G.W.; Wang, Y.; Rabin-Court, A.; Song, J.D.; Zhang, D.; Zhang, X.-M.; Nozaki, Y.; Dufour, S.; et al. Mechanisms by which a Very-Low-Calorie Diet Reverses Hyperglycemia in a Rat Model of Type 2 Diabetes. Cell Metab. 2018, 27, 210–217. [Google Scholar] [CrossRef]
- Ballestri, S.; Nascimbeni, F.; Baldelli, E.; Marrazzo, A.; Romagnoli, D.; Lonardo, A. NAFLD as a Sexual Dimorphic Disease: Role of Gender and Reproductive Status in the Development and Progression of Nonalcoholic Fatty Liver Disease and Inherent Cardiovascular Risk. Adv. Ther. 2017, 34, 1291–1326. [Google Scholar] [CrossRef]
- Vilar-Gomez, E.; Chalasani, N.P. Non-invasive assessment of non-alcoholic fatty liver disease: Clinical prediction rules and blood-based biomarkers. J. Hepatol. 2018, 68, 305–315. [Google Scholar] [CrossRef]
- Bedogni, G.; Bellentani, S.; Miglioli, L.; Masutti, F.; Passalacqua, M.; Castiglione, A.; Tiribelli, C. The Fatty Liver Index: A simple and accurate predictor of hepatic steatosis in the general population. BMC Gastroenterol. 2006, 6, 33. [Google Scholar] [CrossRef] [PubMed]
- Ferraioli, G.; Monteiro, L.B.S. Ultrasound-based techniques for the diagnosis of liver steatosis. World J. Gastroenterol. 2019, 25, 6053–6062. [Google Scholar] [CrossRef] [PubMed]



| Parameter | Males (n = 28) | Females (n = 42) | p | |
|---|---|---|---|---|
| Age (years), median (IR) | 46 (20–62) | 50 (17–67) | 0.808 | |
| Weight (kg) | 148 ± 23 | 119 ± 20 | 0.425 | |
| Body mass index (kg/m2) | 48 ± 7 | 46 ± 8 | 0.208 | |
| Excess of body weight (kg) | 70 ± 18 | 66 ± 21 | 0.396 | |
| Waist circumference (cm) | 129 ± 20 | 140 ± 13 | 0.008 * | |
| Fasting blood glucose (mg/dL) | 120 ± 55 | 102 ± 23 | 0.122 | |
| HOMA-IR | 7.8 ± 6.5 | 5.5 ± 5.9 | 0.503 | |
| HbA1c (%) | 6.5 ±1.5 | 7.0 ± 5.0 | 0.342 | |
| AST (IU/L) | 31 ± 11 | 24 ± 14 | 0.448 | |
| ALT (IU/L) | 46 ± 24 | 27 ± 16 | 0.080 | |
| γGT (IU/L) | 57 ± 38 | 31 ± 27 | <0.001 * | |
| Fat mass (%) | 44 ± 9 | 50 ± 3 | <0.001 * | |
| Fat-free mass (kg) | 80 ± 14 | 59 ± 8 | <0.001 * | |
| Hypertension, number (%) | 15 (55) | 19 (45) | 0.428 | |
| Diabetes mellitus, number (%) | 12 (42) | 10 (24) | 0.405 | |
| Active smokers, number (%) | 6 (21) | 9 (21) | 0.621 | |
| Liver steatosis, number (%) | No steatosis | 0 (0) | 2 (5) | 0.096 |
| Grade 1 | 2 (7) | 11 (25) | ||
| Grade 2 | 10 (36) | 12 (28) | ||
| Grade 3 | 16 (57) | 17 (40) | ||
| Edmonton stage, number (%) | 0 | 3 (11) | 10 (24) | 0.308 |
| 1 | 8 (29) | 15 (36) | ||
| 2 | 14 (50) | 14 (33) | ||
| 3 | 3 (10) | 3 (7) | ||
| Parameter | Pre-Menopause (n = 21) | Post-Menopause (n = 21) | p | p (Pre-Menopause vs. Males) | p (Post-Menopause vs. Males) | |
|---|---|---|---|---|---|---|
| Age (years), median (IR) | 42 (17–53) | 58 (44–67) | <0.001 * | 0.206 | 0.003 * | |
| Weight (kg) | 125 ± 18 | 113 ± 21 | 0.043 * | 0.949 | 0.569 | |
| Body mass index (Kg/m2) | 47 ± 7 | 45 ± 9 | 0.430 | 0.450 | 0.176 | |
| Excess of body weight (kg) | 70 ± 19 | 61 ± 21 | 0.546 | 0.995 | 0.458 | |
| Waist circumference (cm) | 127 ± 17 | 130 ± 19 | 0.593 | 0.052 | 0.171 | |
| FBG (mg/dL) | 99 ± 23 | 105 ± 22 | 0.428 | 0.038 * | 0.467 | |
| HOMA-IR | 3.9 ± 3.0 | 7.0 ± 7.0 | 0.229 | 0.194 | 0.983 | |
| HbA1c (%) | 7.8 ± 9.0 | 6.0 ± 1.0 | 0.045 * | 0.056 | 0.284 | |
| AST (IU/L) | 19 ± 6 | 30 ± 18 | 0.014 * | <0.001 * | 0.272 | |
| ALT (IU/L) | 19 ± 5 | 36 ± 20 | 0.001 * | <0.001 * | 0.509 | |
| γGT (IU/L) | 23 ± 13 | 39 ± 34 | 0.016 * | <0.001 * | 0.281 | |
| Fat mass (%) | 51±4 | 49 ± 3 | 0.661 | 0.001 * | <0.001 * | |
| Fat-free mass (kg) | 61 ± 6 | 57 ± 9 | 0.114 | <0.001 * | <0.001 * | |
| Liver steatosis, number (%) | No steatosis | 2 (10) | 0 (0) | 0.011 * | 0.002 * | 0.949 |
| Grade 1 | 11 (50) | 1 (5) | ||||
| Grade 2 | 4 (20) | 7 (33) | ||||
| Grade 3 | 4 (20) | 13 (62) | ||||
| Edmonton stage, number (%) | 0 | 7 (33) | 3 (14) | 0.006 * | 0.010 * | 0.873 |
| 1 | 11 (52) | 4 (19) | ||||
| 2 | 2 (10) | 12 (57) | ||||
| 3 | 1 (5) | 2 (10 | ||||
| Males (n = 28) | Females (n = 42) | Pre-Menopausal Females (n = 21) | Post-Menopausal Females (n = 21) | ||||||||||
|---|---|---|---|---|---|---|---|---|---|---|---|---|---|
| Parameter | Before | After | p | Before | After | p | Before | After | p | Before | After | p | |
| Weight (kg) | 137 ± 18 | 124 ± 20 | <0.001 * | 119 ± 20 | 109 ± 20 | <0.001 * | 125 ± 18 | 113 ± 20 | <0.001 * | 113 ± 21 | 104 ± 19 | <0.001 * | |
| BMI (kg/m2) | 46 ± 7 | 42 ± 7 | <0.001 * | 46 ± 8 | 42 ± 8 | <0.001 * | 47 ± 7 | 42 ± 8 | <0.001 * | 45 ± 9 | 41 ± 8 | <0.001 * | |
| Waist (cm) | 138 ± 12 | 128 ± 12 | <0.001 * | 129 ± 19 | 121 ± 18 | <0.001 * | 127 ± 20 | 118 ± 18 | 0.003 * | 130 ± 18 | 123 ± 18 | <0.001 * | |
| HOMA-IR | 11.3 ± 9.2 | 4.5 ± 4.1 | 0.004 * | 5.5 ± 6.0 | 2.9 ± 2.8 | 0.035 * | 4.0 ± 3.1 | 3.4 ± 3.7 | 0.439 | 6.6 ± 7.2 | 2.6 ± 1.8 | 0.048 * | |
| HbA1c (%) | 6.5 ± 1.4 | 5.9 ± 1.3 | <0.001 * | 7.1 ± 5.3 | 5.7 ± 0.7 | 0.014 * | 7.9 ± 8.0 | 5.5 ± 0.6 | 0.481 | 6.4 ± 1.0 | 5.8 ± 0.8 | 0.015 * | |
| AST (IU/L) | 30 ± 12 | 35 ± 15 | 0.153 | 24 ± 2 | 24 ± 2 | 0.956 | 19 ± 5 | 20 ± 7 | 0.456 | 28 ± 14 | 27 ± 11 | 0.815 | |
| ALT (IU/L) | 47 ± 28 | 52 ± 38 | 0.491 | 26 ± 15 | 31 ± 17 | 0.088 | 19 ± 5 | 26 ± 18 | 0.098 | 33 ± 17 | 35 ± 16 | 0.537 | |
| γGT (IU/L) | 65 ± 42 | 40 ± 28 | <0.001 * | 32 ± 30 | 20 ± 13 | <0.001 * | 23 ± 14 | 19 ± 12 | 0.152 | 40 ± 37 | 21 ± 13 | <0.001 * | |
| Fat mass (%) | 44 ± 9 | 40 ± 7 | 0.016 * | 50 ± 5 | 47 ± 5 | <0.001 * | 50 ± 3 | 47 ± 7 | 0.024 * | 49 ± 3 | 48 ± 3 | <0.001 * | |
| FFM (kg) | 77 ± 14 | 74 ± 10 | 0.053 | 59 ± 8 | 56 ± 9 | <0.001 * | 61 ± 6 | 59 ± 10 | <0.001 * | 57 ± 9 | 54 ± 8 | <0.001 * | |
| Steatosis grade (%) | 0 | 0.0 | 6.3 | 0.002 * | 5.6 | 15.2 | <0.001 * | 11.1 | 33.3 | 0.020 * | 0.0 | 0.0 | 0.009 * |
| 1 | 4.2 | 37.5 | 25.0 | 45.5 | 44.4 | 53.3 | 5.6 | 38.9 | |||||
| 2 | 37.5 | 37.5 | 27.8 | 21.2 | 22.2 | 13.3 | 33.3 | 27.8 | |||||
| 3 | 58.3 | 18.8 | 41.7 | 18.2 | 22.2 | 0.0 | 61.1 | 33.3 | |||||
| Edmonton stage (%) | 0 | 10.7 | 6.7 | <0.001 * | 23.8 | 41.9 | <0.001 * | 33.3 | 66.7 | 0.020 * | 14.3 | 18.8 | 0.083 |
| 1 | 28.6 | 20.0 | 35.7 | 22.6 | 52.4 | 26.7 | 19.0 | 18.8 | |||||
| 2 | 50.0 | 53.3 | 33.3 | 32.3 | 9.5 | 6.7 | 57.1 | 56.3 | |||||
| 3 | 10.7 | 20.0 | 7.1 | 3.2 | 4.8 | 0.0 | 9.5 | 6.3 | |||||
© 2020 by the authors. Licensee MDPI, Basel, Switzerland. This article is an open access article distributed under the terms and conditions of the Creative Commons Attribution (CC BY) license (http://creativecommons.org/licenses/by/4.0/).
Share and Cite
D’Abbondanza, M.; Ministrini, S.; Pucci, G.; Nulli Migliola, E.; Martorelli, E.-E.; Gandolfo, V.; Siepi, D.; Lupattelli, G.; Vaudo, G. Very Low-Carbohydrate Ketogenic Diet for the Treatment of Severe Obesity and Associated Non-Alcoholic Fatty Liver Disease: The Role of Sex Differences. Nutrients 2020, 12, 2748. https://doi.org/10.3390/nu12092748
D’Abbondanza M, Ministrini S, Pucci G, Nulli Migliola E, Martorelli E-E, Gandolfo V, Siepi D, Lupattelli G, Vaudo G. Very Low-Carbohydrate Ketogenic Diet for the Treatment of Severe Obesity and Associated Non-Alcoholic Fatty Liver Disease: The Role of Sex Differences. Nutrients. 2020; 12(9):2748. https://doi.org/10.3390/nu12092748
Chicago/Turabian StyleD’Abbondanza, Marco, Stefano Ministrini, Giacomo Pucci, Elisa Nulli Migliola, Eva-Edvige Martorelli, Vito Gandolfo, Donatella Siepi, Graziana Lupattelli, and Gaetano Vaudo. 2020. "Very Low-Carbohydrate Ketogenic Diet for the Treatment of Severe Obesity and Associated Non-Alcoholic Fatty Liver Disease: The Role of Sex Differences" Nutrients 12, no. 9: 2748. https://doi.org/10.3390/nu12092748
APA StyleD’Abbondanza, M., Ministrini, S., Pucci, G., Nulli Migliola, E., Martorelli, E.-E., Gandolfo, V., Siepi, D., Lupattelli, G., & Vaudo, G. (2020). Very Low-Carbohydrate Ketogenic Diet for the Treatment of Severe Obesity and Associated Non-Alcoholic Fatty Liver Disease: The Role of Sex Differences. Nutrients, 12(9), 2748. https://doi.org/10.3390/nu12092748

