Phytochemistry, Traditional Use and Pharmacological Activity of Picrasma quassioides: A Critical Reviews
Abstract
1. Introduction
2. Methods
3. Botanical Description, Taxonomy and Geographical Distribution of Picrasma quassioides
3.1. Botanical Description and Taxonomy
3.2. Geographical Distribution
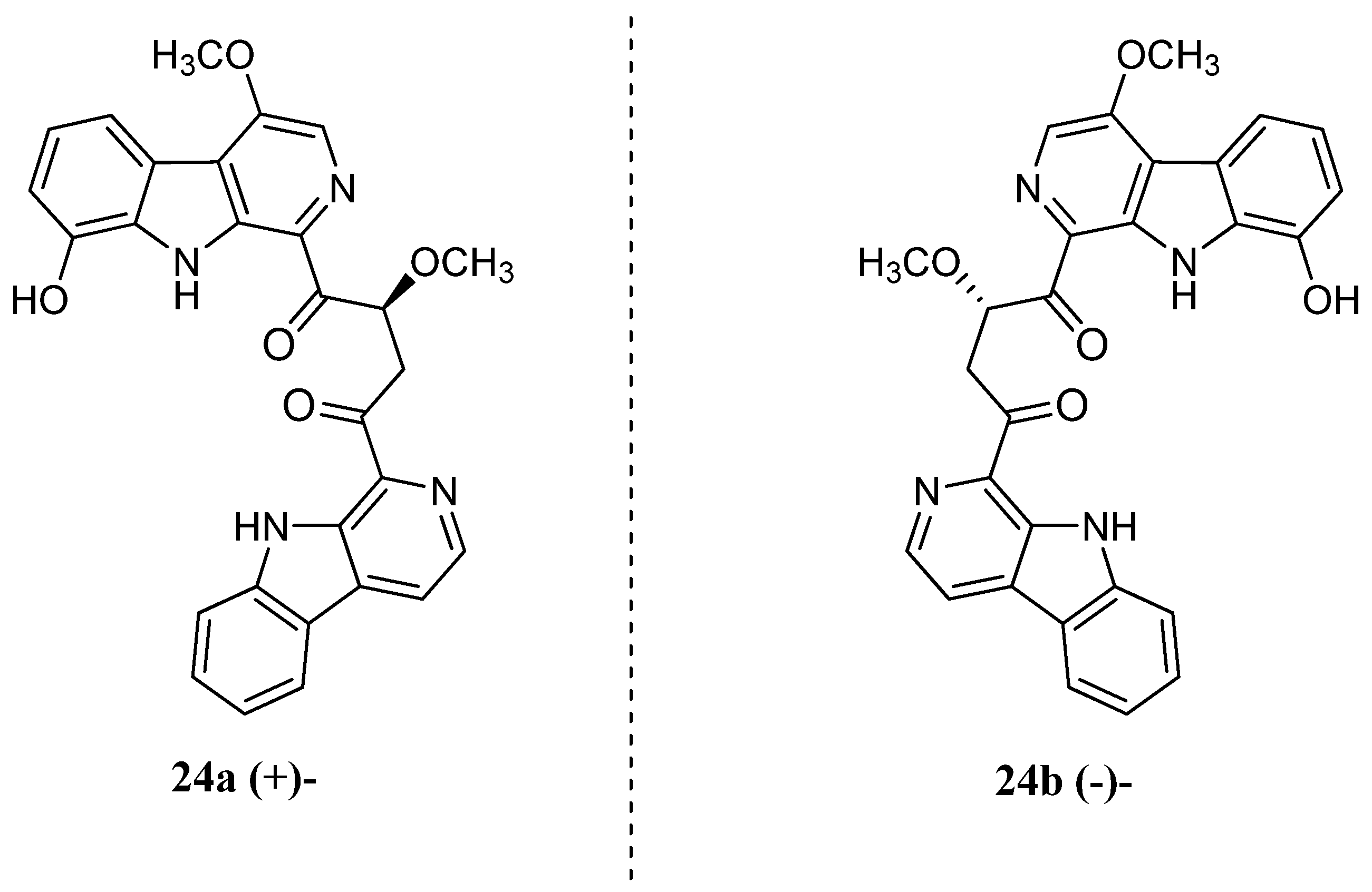
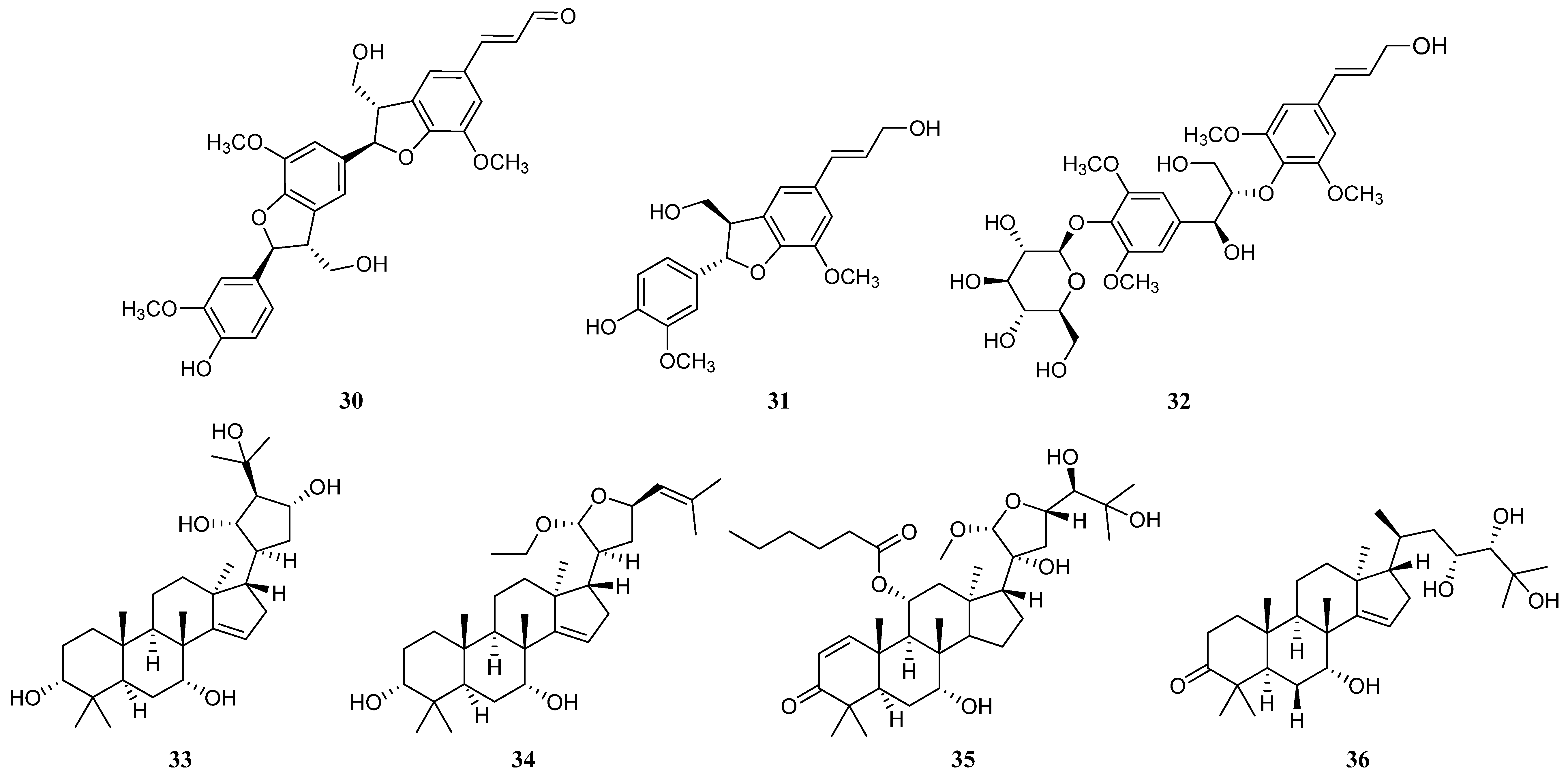
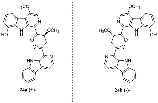
4. Phytochemicals in Picrasma quassioides
5. Traditional Uses of Picrasma quassioides
5.1. Use for Treating Gastric Discomfort
5.2. Use for Pediculosis
5.3. Use in Treatment of Fever and Infection
6. Pharmacological Activities of Picrasma quassioides
6.1. Anti-Inflammatory Properties
6.1.1. Gastric Dyspepsia Treatment
6.1.2. Anti-Hypertensive Effect
6.1.3. Asthma Treatment
6.2. Antioxidant Activity
6.2.1. Osteoporosis Prevention
6.2.2. Neuroprotective Activity
6.3. Anti-Cancer Activity
6.4. Anti-Microbial Effect
6.5. Anti-Parasitic Capability
6.5.1. Anti-Malarial Property
6.5.2. Pediculosis Treatment
7. Possible Toxicity
8. Limitation of the Studies
9. Conclusions
Author Contributions
Funding
Acknowledgments
Conflicts of Interest
References
- Alves, I.A.B.S.; Miranda, H.M.; Soares, L.A.L.; Randau, K.P. Simaroubaceae Family: Botany, Chemical Composition and Biological Activities. Braz. J. Pharmacogn. 2014. [Google Scholar] [CrossRef]
- Houël, E.; Bertani, S.; Bourdy, G.; Deharo, E.; Jullian, V.; Valentin, A.; Chevalley, S.; Stien, D. Quassinoid Constituents of Quassia Amara L. Leaf Herbal Tea. Impact on Its Antimalarial Activity and Cytotoxicity. J. Ethnopharmacol. 2009, 126, 114–118. [Google Scholar] [CrossRef] [PubMed]
- Houel, E.; Stien, D.; Bourdy, G.; Deharo, E. Quassinoids: Anticancer and Antimalarial Activities. In Natural Products: Phytochemistry, Botany and Metabolism of Alkaloids, Phenolics and Terpenes; Ramawat, K.G., Mérillon, J.M., Eds.; Springer: Heidelberg, Germany, 2013; pp. 3082–3775. [Google Scholar]
- Takasu, K.; Shimogama, T.; Saiin, C.; Kim, H.S.; Wataya, Y.; Ihara, M. π-Delocalized β-Carbolinium Cations as Potential Anti-malarials. Bioorganic Med. Chem. Lett. 2004, 14, 1689–1692. [Google Scholar] [CrossRef] [PubMed]
- Falcão, H.D.S.; Leite, J.A.; Barbosa-Filho, J.M.; De Athayde-Filho, P.F.; Chaves, M.C.D.O.; Moura, M.D.; Ferreira, A.L.; De Almeida, A.B.A.; Souza-Brito, A.R.M.; Diniz, M.D.F.F.M.; et al. Gastric and Duodenal Antiulcer Activity of Alkaloids: A Review. Molecules 2008, 13, 3198–3223. [Google Scholar] [CrossRef] [PubMed]
- Funayama, S.; Cordell, G.A. Alkaloids Derived from Tryptophan; Elsevier: Amsterdam, The Netherlands, 2015. [Google Scholar] [CrossRef]
- Scragg, A.H.; Allan, E.J. Picrasma quassioides Bennet (Japanese Quassia Tree): In Vitro Culture and Production of Quassin; Springer: Heidelberg, Germany, 1993; Volume 21, pp. 249–268. [Google Scholar] [CrossRef]
- Flora of China. Picrasma quassioides in Flora of China @ Efloras. Available online: http://www.efloras.org/florataxon.aspx?flora_id=2&taxon_id=200012490 (accessed on 3 January 2020).
- Plant For A Future. Picrasma quassioides Nigaki PFAF Plant Database. Available online: https://pfaf.org/user/Plant.aspx?LatinName=Picrasma+quassioides (accessed on 13 September 2019).
- World Health Organization; Regional Office for the Western Pacific. Medicinal Plants in the Republic of Korea: Information on 150 Commonly Used Medicinal Plants. Available online: http://iris.wpro.who.int/handle/10665.1/6739 (accessed on 21 July 2020).
- Davis Landscape Architecture. Picrasma quassioides. Available online: https://davisla.wordpress.com/2015/09/28/picrasma-quassioides/ (accessed on 17 July 2020).
- The International Plant Names Index and World Checklist of Selected Plant Families. Picrasma quassioides (D.Don) Benn. Available online: http://apps.kew.org/wcsp/ (accessed on 11 January 2020).
- Zhao, W.Y.; Song, X.Y.; Zhao, L.; Zou, C.X.; Zhou, W.Y.; Lin, B.; Yao, G.D.; Huang, X.X.; Song, S.J. Quassinoids from Picrasma quassioides and Their Neuroprotective Effects. J. Nat. Prod. 2019, 82, 714–723. [Google Scholar] [CrossRef]
- Hikino, H.; Ohta, T.; Takemoto, T. Picrasins, Simaroubolides of Japanese Quassia Tree Picrasma quassioides. Phytochemistry 1975, 14, 2473–2481. [Google Scholar] [CrossRef]
- Robins, R.J.; Morgan, M.R.A.; Rhodes, M.J.C.; Furze, J.M. Determination of Quassin in Picogram Quantities by an Enzyme-Linked Immunosorbent Assay. Phytochemistry 1984, 23, 1119–1123. [Google Scholar] [CrossRef]
- Chen, J.; Yan, X.H.; Dong, J.H.; Sang, P.; Fang, X.; Di, Y.T.; Zhang, Z.K.; Hao, X.J. Tobacco Mosaic Virus (TMV) Inhibitors from Picrasma quassioides Benn. J. Agric. Food Chem. 2009, 57, 6590–6595. [Google Scholar] [CrossRef]
- Gong, G.; Lin, Q.; Xu, J.; Ye, F.; Jiang, L.; Liu, W.; He, M.F.; Feng, F.; Qu, W.; Xie, N. In Vivo SAR and STR Analyses of Alkaloids from Picrasma quassioides Identify 1-Hydroxymethyl-8-Hydroxy-β-Carboline as a Novel Natural Angiogenesis Inhibitor. RSC Adv. 2016, 6, 9484–9494. [Google Scholar] [CrossRef]
- Zhao, F.; Tang, Q.; Xu, J.; Wang, S.; Li, S.; Zou, X.; Cao, Z. Dehydrocrenatidine Inhibits Voltage-Gated Sodium Channels and Ameliorates Mechanic Allodia in a Rat Model of Neuropathic Pain. Toxins 2019, 11, 229. [Google Scholar] [CrossRef]
- Jiao, W.H.; Chen, G.D.; Gao, H.; Li, J.; Gu, B.B.; Xu, T.T.; Yu, H.B.; Shi, G.H.; Yang, F.; Yao, X.S.; et al. (±)-Quassidines i and J, Two Pairs of Cytotoxic Bis-β-Carboline Alkaloid Enantiomers from Picrasma quassioides. J. Nat. Prod. 2015, 78, 125–130. [Google Scholar] [CrossRef] [PubMed]
- Zhang, Z.; Lv, Z.; Zhang, W.; Shao, Y.; Zhao, X.; Guo, M.; Li, C. A New Cinnamamide Derivative and Two New β-Carboline Alkaloids from the Stems of Picrasma quassioides. Aquaculture 2019, 734427. [Google Scholar] [CrossRef]
- Zhao, W.Y.; Zhou, W.Y.; Chen, J.J.; Yao, G.D.; Lin, B.; Wang, X.B.; Huang, X.X.; Song, S.J. Enantiomeric β-Carboline Dimers from Picrasma quassioides and Their Anti-Hepatoma Potential. Phytochemistry 2019, 159, 39–45. [Google Scholar] [CrossRef] [PubMed]
- Fan, H.; Qi, D.; Yang, M.; Fang, H.; Liu, K.; Zhao, F. In Vitro and in Vivo Anti-Inflammatory Effects of 4-Methoxy-5- Hydroxycanthin-6-One, a Natural Alkaloid from Picrasma quassioides. Phytomedicine 2013, 20, 319–323. [Google Scholar] [CrossRef]
- Jiang, M.X.; Zhou, Y.J. Canthin-6-One Alkaloids from Picrasma quassioides and Their Cytotoxic Activity. J. Asian Nat. Prod. Res. 2008, 10, 1009–1012. [Google Scholar] [CrossRef]
- Sasaki, T.; Li, W.; Ohmoto, T.; Koike, K. Evaluation of Canthinone Alkaloids as Cerebral Protective Agents. Bioorganic Med. Chem. Lett. 2016, 26, 4992–4995. [Google Scholar] [CrossRef]
- Zhao, F.; Chen, L.; Bi, C.; Zhang, M.; Jiao, W.; Yao, X. In Vitro Anti-Inflammatory Effect of Picrasmalignan A by the Inhibition of INOS and COX-2 Expression in LPS-Activated Macrophage RAW 264.7 Cells. Mol. Med. Rep. 2013, 8, 1575–1579. [Google Scholar] [CrossRef]
- Lou, L.L.; Yao, G.D.; Wang, J.; Zhao, W.Y.; Wang, X.B.; Huang, X.X.; Song, S.J. Enantiomeric Neolignans from Picrasma quassioides Exhibit Distinctive Cytotoxicity on Hepatic Carcinoma Cells through ROS Generation and Apoptosis Induction. Bioorganic Med. Chem. Lett. 2018, 28, 1263–1268. [Google Scholar] [CrossRef]
- Yoshikawa, K.; Sugawara, S.; Arihara, S. Phenylpropanoids and other secondary metabolites from fresh fruits of picrasma quassioides. Phytochemistry 1995, 40, 253–256. [Google Scholar] [CrossRef]
- Xu, J.; Xiao, D.; Lin, Q.H.; He, J.F.; Liu, W.Y.; Xie, N.; Feng, F.; Qu, W. Cytotoxic Tirucallane and Apotirucallane Triterpenoids from the Stems of Picrasma quassioides. J. Nat. Prod. 2016, 79, 1899–1910. [Google Scholar] [CrossRef]
- Zhao, W.Y.; Chen, J.J.; Zou, C.X.; Zhang, Y.Y.; Yao, G.D.; Wang, X.B.; Huang, X.X.; Lin, B.; Song, S.J. New Tirucallane Triterpenoids from Picrasma quassioides with Their Potential Antiproliferative Activities on Hepatoma Cells. Bioorg. Chem. 2019, 84, 309–318. [Google Scholar] [CrossRef] [PubMed]
- Guo, E.; Hu, Y.; Du, T.; Zhu, H.; Chen, L.; Qu, W.; Zhang, J.; Xie, N.; Liu, W.; Feng, F.; et al. Effects of Picrasma quassioides and Its Active Constituents on Alzheimer’s Disease In Vitro and In Vivo. Bioorg. Chem. 2019, 92, 103258. [Google Scholar] [CrossRef]
- Jensen, O.; Otkjaer Nielsen, A.; Bjerregaard, P. Pediculosis Capitis Treated with Quassia tincture. Acta Derm. Venereol. 1978, 58, 557–559. [Google Scholar] [PubMed]
- Wang, N.; Li, Z.Y.; Zheng, X.L.; Li, Q.; Yang, X.; Xu, H. Quality Assessment of Kumu Injection, a Traditional Chinese Medicine Preparation, Using Hplc Combined with Chemometric Methods and Qualitative and Quantitative Analysis of Multiple Alkaloids by Single Marker. Molecules 2018, 23, 856. [Google Scholar] [CrossRef] [PubMed]
- Song, Y.S.; Lee, Y.; Kwon, T.R.; Kim, Y.H.; Kim, B.J. Picrasma quassioides Inhibits LPS- and IFN-γ-Stimulated Nitric Oxide Production and Inflammatory Response in RAW264.7 Macrophage Cells. Biotechnol. Bioprocess Eng. 2014, 19, 404–410. [Google Scholar] [CrossRef]
- Jiao, W.H.; Gao, H.; Li, C.Y.; Zhao, F.; Jiang, R.W.; Wang, Y.; Zhou, G.X.; Yao, X.S. Quassidines A-D, Bis-β-Carboline Alkaloids from the Stems of Picrasma quassioides. J. Nat. Prod. 2010, 73, 167–171. [Google Scholar] [CrossRef]
- Wint, C.; Yu, W. Gastritis_ Causes, Diagnosis, and Treatment. Available online: https://www.healthline.com/health/gastritis (accessed on 21 July 2020).
- Niiho, Y.; Mitsunaga, K.; Koike, K.; Ohmoto, T. Studies on the Gastric Antiulcer Components from the Woods of Picrasma quassioides (Simaroubaceae). Nat. Med. 1994, 48, 116–121. [Google Scholar]
- Teja Sri, K.; Bhargavi, S.; Ushasri, S.; Amareswara Reddy, B.; Geethika Priscilla, M. Antiulcer herbal drugs—A compilation. Int. J. Uni. Pharm. Bio. Sci. 2013, 2, 285–297. [Google Scholar]
- Hwisa, N.T.; Gindi, S.; Rao, C.B.; Katakam, P. Evaluation of Antiulcer Activity of Picrasma quassioides Bennett Aqueous Extract in Rodents. Vedic Res. Int. Phytomedicine 2013, 1, 27. [Google Scholar] [CrossRef]
- National Heart Lung and Blood Institute. Atherosclerosis_National Heart, Lung, and Blood Institute (NHLBI). Available online: https://www.nhlbi.nih.gov/health-topics/atherosclerosis (accessed on 21 July 2020).
- Zhao, F.; Gao, Z.; Jiao, W.; Chen, L.; Chen, L.; Yao, X. In Vitro Anti-Inflammatory Effects of Beta-Carboline Alkaloids, Isolated from Picrasma quassioides, through Inhibition of the INOS Pathway. Planta Med. 2012, 78, 1906–1911. [Google Scholar] [CrossRef]
- Zhao, W.; Yu, J.; Su, Q.; Liang, J.; Zhao, L.; Zhang, Y.; Sun, W. Antihypertensive Effects of Extract from Picrasma Quassiodes (D.Don) Benn. in Spontaneously Hypertensive Rats. J. Ethnopharmacol. 2013, 145, 187–192. [Google Scholar] [CrossRef] [PubMed]
- Park, I.S.; Lee, K.M.; Lee, I.S.; Han, J.I.; Jeon, W.K. Screening of Anti-Thrombotic Activity of Herbal Extracts in Ferric Chloride-Induced Thrombosis Model. Korea J. Herbol. 2013, 28, 33–38. [Google Scholar] [CrossRef]
- Cerveri, I.; Fanfulla, F.; Zoia, M.C. Definition of Asthma. Eur. Resp. Rev. 1993, 3, 424–427. [Google Scholar]
- Shin, N.R.; Shin, I.S.; Jeon, C.M.; Hong, J.M.; Oh, S.R.; Hahn, K.W.; Ahn, K.S. Inhibitory Effects of Picrasma quassioides (D.Don) Benn. On Airway Inflammation in a Murine Model of Allergic Asthma. Mol. Med. Rep. 2014, 10, 1495–1500. [Google Scholar] [CrossRef]
- Lee, J.W.; Park, J.W.; Shin, N.R.; Park, S.Y.; Kwon, O.K.; Park, H.A.; Lim, Y.; Ryu, H.W.; Yuk, H.J.; Kim, J.H.; et al. Picrasma Quassiodes (D.Don) Benn. Attenuates Lipopolysaccharide (LPS)-Induced Acute Lung Injury. Int. J. Mol. Med. 2016, 38, 834–844. [Google Scholar] [CrossRef]
- Gagné, F. Oxidative Stress. Biochem. Ecotoxicol. Princ. Methods 2014, 103–115. [Google Scholar] [CrossRef]
- Nimse, S.B.; Pal, D. Free Radicals, Natural Antioxidants, and Their Reaction Mechanisms. RSC Adv. 2015, 5, 27986–28006. [Google Scholar] [CrossRef]
- Xuan, Y.H.; Jin, Y.; Row, K.H.; Jin, Y.S. Antioxidant and Anticancer Activities of Extracts from Picrasma quassioides (D.Don) Benn. Asian J. Chem. 2010, 22, 7219–7226. [Google Scholar]
- Lewiecki, E.M. Osteoporosis. In Metabolic Bone Diseases: A Case-Based Approach; Camacho, P.M., Ed.; Springer International Publishing: Cham, Switzerland, 2019; pp. 1–13. [Google Scholar]
- Youn, Y.N.; Lim, E.; Lee, N.; Kim, Y.S.; Koo, M.S.; Choi, S.Y. Screening of Korean Medicinal Plants for Possible Osteoclastogenesis Effects in Vitro. Genes Nutr. 2008, 2, 375–380. [Google Scholar] [CrossRef]
- Kong, L.; Wang, B.; Yang, X.; Guo, H.; Zhang, K.; Zhu, Z.; Liu, J.; Hao, D. Picrasidine i from Picrasma quassioides Suppresses Osteoclastogenesis via Inhibition of RANKL Induced Signaling Pathways and Attenuation of ROS Production. Cell. Physiol. Biochem. 2017, 43, 1425–1435. [Google Scholar] [CrossRef]
- MayoClinic. Alzheimer’s Disease. 2019. Available online: https://www.mayoclinic.org/diseases-conditions/alzheimers-disease/symptoms-causes/syc-20350447 (accessed on 21 July 2020).
- Liou, S. About Glutamate Toxicity. Available online: https://hopes.stanford.edu/about-glutamate-toxicity/ (accessed on 21 July 2020).
- National Cancer Institute. What Is Cancer? Available online: https://www.cancer.gov/about-cancer/understanding/what-is-cancer#:~:text=Cancer%20is%20the%20name%20given,up%20of%20trillions%20of%20cells (accessed on 21 July 2020).
- Kwon, H.S.; Lee, H.; Lee, J.S.; Lee, K.; Choi, J.H.; Jang, D.S. Two New β-Carboline Alkaloids from the Stems of Picrasma quassioides. Arch. Pharm. Res. 2018, 41, 513–518. [Google Scholar] [CrossRef] [PubMed]
- Shi, Y.; Zhan, H.; Zhong, L.; Yan, F.; Feng, F.; Liu, W.; Xie, N. Total Ion Chromatographic Fingerprints Combined with Chemometrics and Mass Defect Filter to Predict Antitumor Components of Picrasma Quassioids. J. Sep. Sci. 2016, 39, 2633–2641. [Google Scholar] [CrossRef] [PubMed]
- Hanif, M.A.; Bhatti, H.N.; Jamil, M.S.; Anjum, R.S.; Jamil, A.; Khan, M.M. Antibacterial and Antifungal Activities of Essential Oils Extracted from Medicinal Plants Using CO2supercritical Fluid Extraction Technology. Asian J. Chem. 2010, 22, 7787–7798. [Google Scholar]
- Herchline, T.E.; Simon, R.Q. Malaria. Available online: https://emedicine.medscape.com/article/221134-overview, (accessed on 21 July 2020).
- World Health Organization. Malaria. Available online: https://www.who.int/news-room/fact-sheets/detail/malaria (accessed on 21 July 2020).
- Gonzalez-Coloma, A.; Reina, M.; Diaz, C.E.; Fraga, B.M. Natural Product-Based Biopesticides for Insect Control; Elsevier Inc.: Amsterdam, The Netherlands, 2010; Volume 3. [Google Scholar] [CrossRef]
- Isman, M. Insect Antifeedants. Pestic. Outlook 2002, 13, 152–157. [Google Scholar] [CrossRef]
- Rossini, C.; Castillo, L.; González, A. Plant Extracts and Their Components as Potential Control Agents against Human Head Lice. Phytochem. Rev. 2008, 7, 51–63. [Google Scholar] [CrossRef]
- Gong, G.; Jiang, L.; Lin, Q.; Liu, W.; He, M.F.; Zhang, J.; Feng, F.; Qu, W.; Xie, N. In Vivo Toxic Effects of 4-Methoxy-5-Hydroxy-Canthin-6-One in Zebrafish Embryos via Copper Dyshomeostasis and Oxidative Stress. Comp. Biochem. Physiol. Part C Toxicol. Pharmacol. 2018, 204, 79–87. [Google Scholar] [CrossRef]








| Compound No. | Molecular Group | Phytochemical Name | Molecular Formula | Extract Source | References |
|---|---|---|---|---|---|
| 1 | Quassinoids | Bruceantin | C28H36O11 | Stem | [3] |
| 2 | Kumulactone A | C31H38O10 | Stem | [13] | |
| 3 | Kumulactone B | C22H32O7 | Stem | ||
| 4 | Picrasinoside J | C27H40O12 | Stem | ||
| 5 | Picrasinoside K | C29H42O13 | Stem | ||
| 6 | Quassine | C22H28O6 | Wood bark | [7] | |
| 7 | Neoquassine | C22H30O6 | Wood bark | ||
| 8 | Simalikalactone D | C25H34O9 | Tea leaves | [2,3] | |
| 9 | Simalikalactone E | C30H42O11 | Tea leaves | ||
| 10 | Picrasin A | C26H34O8 | Stem | [14] | |
| 11 | Picrasin B | C21H28O6 | Stem | ||
| 12 | Picrasin C | C23H34O7 | Stem | ||
| 13 | 12-hydroxyquassin | C22H28O7 | Leaf, twigs | [15,16] | |
| 14 | Nigakihemiacetal A | C22H34O7 | Leaf, twigs | ||
| 15 | Nigakilactone A | C21H30O6 | Leaf, twigs | ||
| 16 | Nigakilactone B | C22H32O6 | Leaf, twigs | ||
| 17 | β-carbolines | 1-hydroxymethyl-8-hydroxy-β-carboline | C12H10N2O2 | Stem | [17] |
| 18 | Dehydrocrenatidine | C15H14N2O2 | Stem | [18] | |
| 19 | Quassidine I | C29H27N4O3 | Stem | [19] | |
| 20 | Quassidine J | C30H29N4O3 | Stem | ||
| 21 | Picrasidine I | C14H14N2O2 | Stem | ||
| 22 | 6,12-dimethoxy-3-ethyl- β-carboline | C15H16N2O2 | Stem | [20] | |
| 23 | Kumudine A | C23H22N2O4 | Stem | [21] | |
| 24 | Kumudine B | C28H22N4O5 | Stem | ||
| 25 | Canthinones | 5-hydroxy-4-methoxycanthin-6-one (Nigakinone) | C15H10N2O3 | Bark | [6,22,23] |
| 26 | 4,5-dimethoxycanthin-6-one (Methylnigakinone) | C16H12N2O3 | Bark | [6,23] | |
| 27 | Picrasidine O | C16H12N2O3 | Stem | [24] | |
| 28 | 4,5-dimethoxy-10-hydroxycanthin-6-one | C16H12N2O4 | Wood bark | [23] | |
| 29 | 8-hydroxycanthin-6-one | C14H8N2O4 | Wood bark | ||
| 30 | Neolignans | Picrasmalignan A | C30H30O9 | Stem | [25] |
| 31 | Dehydrodiconiferyl alcohol | C20H22O6 | Stem | [26] | |
| 32 | Picraquassioside C | C28H38O14 | Fruits | [27] | |
| 33 | Apotirucallanes | Picraquassin A | C30H50O5 | Stem | [28] |
| 34 | Picraquassin B | C32H52O4 | Stem | ||
| 35 | Picraquassin C | C37H59O9 | Stem | ||
| 36 | Picraquassin D | C30H50O5 | Stem | ||
| 37 | Tirucallanes | Picraquassin E | C31H50O3 | Stem | |
| 38 | Picraquassin I | C31H53O5 | Stem | ||
| 39 | Picraquasssin J | C31H53O5 | Stem | ||
| 40 | Picraquassin K | C32H54O5 | Stem | ||
| 41 | Kumuquassin A | C30H44O5 | Stem | [29] | |
| 42 | Kumuquassin B | C30H46O6 | Stem | ||
| 43 | Kumuquassin C | C30H45O5 | Stem | ||
| 44 | Cinnamamides | Picrasamide A | C21H21N2O6 | Stem | [30] |
© 2020 by the authors. Licensee MDPI, Basel, Switzerland. This article is an open access article distributed under the terms and conditions of the Creative Commons Attribution (CC BY) license (http://creativecommons.org/licenses/by/4.0/).
Share and Cite
Mohd Jamil, M.D.H.; Taher, M.; Susanti, D.; Rahman, M.A.; Zakaria, Z.A. Phytochemistry, Traditional Use and Pharmacological Activity of Picrasma quassioides: A Critical Reviews. Nutrients 2020, 12, 2584. https://doi.org/10.3390/nu12092584
Mohd Jamil MDH, Taher M, Susanti D, Rahman MA, Zakaria ZA. Phytochemistry, Traditional Use and Pharmacological Activity of Picrasma quassioides: A Critical Reviews. Nutrients. 2020; 12(9):2584. https://doi.org/10.3390/nu12092584
Chicago/Turabian StyleMohd Jamil, Muhammad Daniel Hakim, Muhammad Taher, Deny Susanti, Md Atiar Rahman, and Zainul Amiruddin Zakaria. 2020. "Phytochemistry, Traditional Use and Pharmacological Activity of Picrasma quassioides: A Critical Reviews" Nutrients 12, no. 9: 2584. https://doi.org/10.3390/nu12092584
APA StyleMohd Jamil, M. D. H., Taher, M., Susanti, D., Rahman, M. A., & Zakaria, Z. A. (2020). Phytochemistry, Traditional Use and Pharmacological Activity of Picrasma quassioides: A Critical Reviews. Nutrients, 12(9), 2584. https://doi.org/10.3390/nu12092584

